INTRODUCCIÓN
En la literatura académica se ha destacado el papel de la educación en el fomento de la movilidad social. Pero ¿cuánta movilidad han permitido históricamente las universidades de alta calidad? En este estudio de caso me enfoco en estimar la movilidad social a lo largo de la historia de la Universidad de los Andes entre 1948 y 2018, lo que permite estudiar las cohortes de los estudiantes nacidos entre 1914 y 1993.
La movilidad social intergeneracional, definida como la relación entre el estatus social de dos generaciones, ha sido ampliamente estudiada utilizando las encuestas de hogares que empezaron a ser recolectadas a partir de la década de los sesenta1. Sin embargo, la movilidad social histórica ha sido más difícil de estudiar, ya que la medición de esta relación multigeneracional requiere datos longitudinales o retrospectivos. En los últimos años el estudio de la movilidad social ha avanzado con la digitalización de censos históricos completos y las nuevas metodologías de vinculación automatizada de registros. Por ejemplo, las estimaciones de movilidad social a largo plazo para Estados Unidos (Olivetti y Paserman, 2015; Feigenbaum, 2018; Ward, 2021), Inglaterra (Long y Ferrie, 2018; Pérez, 2019), Suecia (Berger et al., 2021) o Argentina (Pérez, 2017) van hasta mediados del siglo XIX. Con el objetivo de superar los estrictos requerimientos de información, Guell et al. (2013) propusieron un método para la medición de la movilidad social que requiere una base única de información que contenga apellidos y alguna variable de estatus socioeconómico. Esta metodología ha sido utilizada por Barone y Mocetti (2021) y Gabbuti (2022) para estimar la movilidad social en el pasado en Italia2.
El estudio de la movilidad social en Colombia se ha centrado en la segunda mitad del siglo XX y ha utilizado datos de encuestas con preguntas retrospectivas (Angulo et al., 2012; Ramírez-Zuluaga, 2016; Moyano y Galvis, 2014; Galvis y Meisel, 2014; Dahan y Gaviria, 1999). En general, los estudios arrojan que la movilidad social se aceleró especialmente durante las últimas tres décadas del siglo XX y se desaceleró e incluso disminuyó durante los últimos diez años3. En comparación con otros países, Colombia sigue siendo considerado uno de los países con menos movilidad social, en el que “pasar de la pobreza a la riqueza en una generación es prácticamente imposible” (Behrman et al., 2001, p.11)4. Ramírez-Zuluaga (2016), por ejemplo, estima que los hijos de una familia de bajos ingresos requerirían más de diez generaciones para alcanzar el ingreso medio (véase también OECD, 2018, p.27).
Ahora bien, en la literatura faltan mediciones de movilidad social para el siglo XIX o principios del siglo XX, que son necesarias para entender de manera comprensiva la evolución de los procesos de movilidad social. Esta investigación tiene como objetivo contribuir a estas mediciones ofreciendo un nuevo enfoque metodológico y unas nuevas estimaciones que permitan contar con una perspectiva de largo plazo a pesar de las limitaciones de información.
Suponiendo que las personas con un apellido raro (que lo tienen pocas personas en la población) forman parte de la misma familia extensa, rastreo familias desde la época colonial y sigo su estatus social a lo largo de generaciones, como proponen Guell et al. (2007), Clark (2014) y otros5. Para ello, me baso en los datos compilados por Jaramillo-Echeverri y Álvarez (2023) y utilizo datos administrativos del registro de matrícula en educación primaria SIMAT (Sistema de Información de Matrícula), con el propósito de obtener la muestra más completa de apellidos colombianos en el sistema educativo; luego, sigo apellidos raros de grupos étnicos y de élites sociales y económicas del siglo XVIII, de finales del siglo XIX y de principios del siglo XX.
Díaz Vidal (2014) presenta un ejemplo cercano a esta metodología para una sociedad similar a la colombiana. El autor calcula la correlación intergeneracional de los ingresos ocupacionales en Chile. Para ello, estudia dos generaciones de finales del siglo XX siguiendo los apellidos de catorce grupos históricos y se centra en una comparación entre mapuches chilenos y grupos de élite (terratenientes del siglo XIX y migrantes europeos). A diferencia del trabajo de Diaz Vidal (2014), este estudio abarca más grupos sociales: dos étnicos (afrodescendientes e indígenas) y un conjunto más amplio de grupos de élite, incluidos aquellos que se remontan al período colonial.
Para medir el estatus social a través de las generaciones, estimo la representación relativa de apellidos de quienes se graduaron de la Universidad de los Andes desde 1949 hasta 2018. La Universidad de los Andes es una institución privada fundada en Bogotá en 1949 y es considerada una de las mejores y más exclusivas del país. Con esta información divido la muestra de personas graduadas en dos cohortes de 35 años: las personas graduadas entre 1949-1983 y las graduadas entre 1984 y 20186. Comparando la representación relativa en ambas cohortes, estimo un límite inferior de la correlación intergeneracional del estatus, a nivel de apellidos y de grupo.
A nivel de apellidos, estimo un coeficiente de movilidad intergeneracional de 0.52, que coincide con otras estimaciones para el caso colombiano y sugiere una lenta regresión a la media. A nivel de grupo, los resultados evidencian que los grupos históricos que representaban a la élite en los siglos XVIII, XIX y XX aparecen sobrerrepresentados en ambas cohortes de graduados de la Universidad de los Andes, mientras que los grupos históricamente marginados aparecen siempre subrepresentados.
De los resultados de esta investigación se desprenden varias contribuciones. En primer lugar, el estudio de la movilidad social en la Universidad de los Andes nos ofrece una primera aproximación empírica al estudio de la movilidad social en la educación en Colombia. En segundo lugar, nos proporciona una visión de largo plazo de los patrones de movilidad social al contar con cohortes nacidas entre 1914 y 1993. Por último, los resultados revelan que diversos grupos históricos han seguido patrones de persistencia diferentes. Las estimaciones de esta investigación confirman los patrones de baja movilidad encontrados en otros estudios para Colombia y sugieren que las familias que estuvieron sobrerrepresentadas en la universidad en el pasado lo estarán en el futuro. En particular, la lenta regresión a la media es especialmente notable para las familias que aparecen tanto en los grupos coloniales como en los grupos de finales del siglo XIX y principios del XX. Para estas familias, estimo un coeficiente de movilidad intergeneracional de 0.55. Los grupos de élite del período colonial no han mostrado una completa regresión a la media y los coeficientes intergeneracionales estimados se ubican entre 0.44 y 0.61. Por su parte, los grupos étnicos tienen un coeficiente de correlación pequeño y no significativo, que se explica principalmente por su persistente ausencia de la universidad durante todo el período. Estos resultados evidencian que el papel de la educación como motor de movilidad social está limitado por una baja movilidad social y alta segregación dentro de las mismas instituciones educativas.
Finalmente, esta investigación muestra que la aplicación de este tipo de métodos puede ser especialmente útil para estudiar países como Colombia, donde ha sido difícil contar con información consistente y de largo plazo para calcular la movilidad social. El uso de los apellidos parece particularmente relevante en este contexto, en el que el trabajo de personas genealogistas, profesionales y aficionadas, sigue sin ser explotado por los historiadores económicos (Clark et al., 2015; Mejía, 2012).
DATOS
El estudio de la movilidad social intergeneracional en el largo plazo ha suscitado interés en distintos campos de las ciencias sociales. Las contribuciones empíricas más importantes provienen del estudio de bases de datos que contienen registros administrativos y datos individuales (véase, por ejemplo, Chetty et al., 2014; Abramitzky et al., 2020; Ward, 2021). Sin embargo, el estudio de la movilidad social histórica se ve obstaculizado no solo por la disponibilidad de datos longitudinales que vinculen a la misma familia a lo largo del tiempo, sino también por la escogencia de una medida de estatus social que sea históricamente comparable7. El estatus social se ha medido usando alfabetización (Beltrán Tapia y de Miguel Salanova, 2021), ocupación (Berger et al., 2021; Long y Ferrie, 2018; Pérez, 2019) o ingresos (Feigenbaum, 2018). La medida ideal debería mostrar cómo se transmite el estatus social entre generaciones, pero la educación, la ocupación o los ingresos permanentes no siempre se observan al mismo tiempo en las generaciones estudiadas. Además, el uso de una única observación del estatus social da lugar a errores de medición y sesgos de atenuación en la medición de la movilidad social (Ward, 2021; Santavirta y Stuhler, 2020; Clark y Cummins, 2013; Clark et al., 2015). Finalmente, otra limitación importante a la hora de comparar diferentes medidas de movilidad social es la manera en la que se estima. Algunos estudios se han centrado en estimar un coeficiente intergeneracional de estatus (Clark et al., 2015; Ward, 2021) mientras que otros han utilizado medidas como la estadística Altham (Long y Ferrie, 2013; Modalsli, 2015; Pérez, 2017; Cilliers y Fourie, 2018). En este estudio, para estimar movilidad social en educación de alta calidad, me enfoco en las personas graduadas de la Universidad de los Andes para medir el estatus social de las familias en varias generaciones y así identificar cómo el acceso a educación terciaria de alta calidad ha cambiado en el tiempo para grupos étnicos y de élite.
La Universidad de los Andes fue fundada el 16 de noviembre de 1948 por un grupo de intelectuales y empresarios liderados por Mario Laserna Pinzón con el objetivo principal de crear una universidad independiente, sin afiliación política o religiosa, que formara personas profesionales competitivas siguiendo los más altos estándares internacionales. La fundación de la universidad respondió también a los nuevos gobiernos liberales de los años treinta y cuarenta, que iniciaron el proceso de masificación de la educación en el país con la idea de modernizarlo a través de la educación. La universidad abrió sus puertas con siete carreras a 79 estudiantes y empezó con 16 profesores, pero este número creció rápidamente. Las primeras personas graduadas de la universidad, en 1949, fueron economistas que, en su mayoría, eran bachilleres del Gimnasio Moderno. Poco después, en 1954, se graduó una cohorte de ingeniería y otra de arquitectura.
Entre 1950 y 2016, los gobiernos colombianos estuvieron conformados en su mayoría por personas egresadas de la Universidad de los Andes. Asimismo, la política fiscal y monetaria del país fue dirigida por egresados y egresadas de esta universidad: más del 60 % de los directores del Banco de la República y del Departamento de Planeación Nacional tenían un título de Los Andes (Pearce y Montoya, 2022). Según un informe reciente de la universidad, el 95 % de las personas egresadas están empleadas y ganan un salario promedio mensual de $3.000.000 de pesos (Universidad de los Andes, 2022). En comparación, la tasa nacional de desempleo juvenil (personas entre 15 y 28 años) es del 18 % y el salario medio mensual es de $1.200.000 de pesos.
La literatura ha señalado que la educación tiene en sí misma la capacidad de promover la movilidad social y que al ampliar la oferta educativa se puede desencadenar un proceso democratizador de las oportunidades ocupacionales (Breen y Karlson, 2014; Torche, 2014). Sin embargo, como sostienen Chetty et al. (2017) y Cárdenas et al. (2021), la segregación en el acceso a una educación de alta calidad puede limitar la movilidad social. Esto podría ser especialmente importante en un país como Colombia, que registró, según el Banco Mundial, un aumento de la educación terciaria del 4 % en 1970 al 60 % en 2017. Sin embargo, desde la década de 1980 menos del 0.03 % de las personas entre 20 y 29 años se han graduado de la Universidad de los Andes (como se muestra en la Figura 1), y de los 363.039 estudiantes que se matricularon en una universidad en 2016 solo 2.949 se matricularon en Los Andes, lo que equivale al 0.8 % de los estudiantes activos.

Notas: La línea negra muestra la tasa bruta de matriculación en educación terciaria. La línea azul muestra las personas graduadas de Los Andes como proporción de la población total en edades comprendidas entre los 20 y 29 años. Fuente: los datos de matrícula en educación terciaria vienen del Banco Mundial, el número de personas entre 20 y 29 años provienen del Departamento Administrativo Nacional de Estadística (DANE) y el número de personas graduadas proviene de la Universidad de los Andes (2020).
Figura 1 Matrícula en educación terciaria y graduados de la Universidad de los Andes
Para seguir generaciones en el tiempo utilizo apellidos raros, los cuales son definidos usando datos administrativos del registro de matrícula de educación primaria SIMAT, el cual contiene la muestra más completa de apellidos colombianos en el sistema educativo. Para que un apellido sea definido como raro debe cumplir con dos condiciones: en primer lugar, debe haber menos de un 2 % de personas que lleven ese apellido en comparación con el número total de personas que llevan el apellido más común en la muestra (que para el caso de Colombia es Rodríguez); en segundo lugar, los apellidos raros deben tener al menos tres titulares para evitar posibles errores de ortografía. Modifico la definición de rareza utilizando diferentes umbrales, pero en general no encuentro diferencias significativas, como se muestra en los apéndices. Para definir los grupos de élite y étnicos utilizo los datos históricos compilados por Jaramillo-Echeverri y Álvarez (2023) para asignar a los apellidos raros un estatus social histórico. Estos datos proporcionan listas de apellidos que pertenecen a un grupo social específico que puede relacionarse con un período concreto de la historia de Colombia (Cuadro 1).
Cuadro 1 Grupos históricos

Fuente: para información detallada acerca de los grupos históricos, su posición económica y social a lo largo de la historia y las fuentes de donde se recolectaron los datos ver Jaramillo-Echeverri y Álvarez (2023).
En total analizo seis grupos de élite y dos grupos étnicos: los encomenderos de finales del siglo XVI y los esclavistas en 1851, que representan, junto con los estudiantes de las primeras escuelas fundadas en Bogotá, la élite colonial; los fundadores de los bancos durante el sistema de banca libre en la década de los setenta del siglo XIX y los fundadores de Jockey Club (1874), el primer club social de Colombia, que representan los orígenes de la élite moderna; y los apellidos indígenas y afrocolombianos, que representan grupos sociales que han sido históricamente marginalizados y, como confirmará esta investigación, han permanecido ausentes de la Universidad de los Andes.
GRUPOS HISTÓRICOS EN LA UNIVERSIDAD DE LOS ANDES
La presencia de cada grupo histórico en la universidad desde 1949 hasta 2018 se resume en el Cuadro 2 y la Figura 2. El Cuadro 2 muestra el número de apellidos raros que coincidieron con el SIMAT usando la definición preferida de rareza y el número total de personas graduadas de Los Andes entre 1949 y 2018. El número de personas graduadas de la universidad con un apellido de élite es hasta diez veces el número de la muestra seleccionada del SIMAT. Es decir, en promedio se gradúan diez personas con uno de los apellidos de élite de la muestra.

Fuente: para los grupos históricos véase Jaramillo-Echeverri y Álvarez (2023). Los datos de las personas graduadas vienen de la Universidad de los Andes (2020).
Figura 2 Número de graduados por grupos (1949-2018)
Cuadro 2 Apellidos y grupos históricos en el SIMAT y Los Andes

Notas: La columna 2 muestra el número de apellidos en cada grupo histórico. La columna 3 muestra el número de apellidos raros en el SIMAT con la definición descrita arriba. La columna 4 muestra el número total de personas graduadas con un apellido raro en cada grupo histórico para todo el período. Fuentes: los grupos históricos se construyeron a partir de Jaramillo-Echeverri y Álvarez (2023), el SIMAT, y el número de personas graduadas proviene de la Universidad de los Andes (2020).
Por el contrario, hay muchas menos personas graduadas en Los Andes con apellidos étnicos que apellidos étnicos en la muestra, lo que comprueba lo difícil que es encontrar un apellido étnico entre quienes se gradúan de esta universidad.
Como se muestra en la Figura 2, la mayoría de los grupos tuvieron un crecimiento considerable en el número de personas graduadas desde la apertura de la universidad en 1948. Los esclavistas y estudiantes de los colegios coloniales muestran el mayor aumento, lo cual se explica principalmente por el mayor número de apellidos raros en estos grupos. Sin embargo, el número de personas graduadas con un apellido perteneciente a los grupos del Jockey Club, los encomenderos y los banqueros también aumentó a lo largo de los años. Por el contrario, las personas afrocolombianas e indígenas mantienen una tendencia estable a lo largo del período. Como se reporta en el Cuadro 2, en los 73 años estudiados en esta investigación, solo 47 personas egresadas tienen apellido indígena y 39 apellido afrocolombiano.
Los patrones desiguales entre los grupos históricos también se reflejan en el año que aparece por primera vez un apellido de cada grupo histórico en las personas graduadas de Los Andes. Como se reporta en el Cuadro 3, todos los grupos de élite han tenido al menos una persona graduada en cada año desde que la universidad abrió sus puertas en 1949. Los grupos étnicos, por su parte, para aparecer en esta lista tuvieron que esperar trece años en el caso de las personas afrocolombianas y veintisiete en el de las indígenas. Por otra parte, mientras los grupos de élite acceden a una amplia gama de carreras —con personas egresadas en cerca de 50 de las 97 carreras que ofrece la universidad—, las personas egresadas de los grupos étnicos en cuestión se concentran en menos de 20 carreras. Notablemente, en todos los grupos históricos la carrera más popular es Ingeniería.
Cuadro 3 Los programas educativos preferidos de los grupos históricos

Nota: La columna 2 muestra el primer año en que un apellido perteneciente a un grupo histórico apareció entre las personas graduadas de Los Andes. La columna 3 muestra el número de carreras estudiadas por grupo histórico. La columna 4 muestra el título más popular. Fuentes: para los grupos históricos véase Jaramillo-Echeverri y Álvarez (2023). Los datos de las personas graduadas provienen de la Universidad de los Andes (2020).
Estos datos confirman un patrón de segregación en el acceso a la Universidad de los Andes en el que sobresale la presencia de las élites y la ausencia de grupos étnicos. En lo que resta de este documento, me enfocaré en medir la movilidad social en dos generaciones de graduados estimando coeficientes intergeneracionales de movilidad social.
ESTIMACIONES DE MOVILIDAD SOCIAL
En general, todo estudio de movilidad social busca estimar la correlación entre una medida del estatus social actual (ingresos, educación, riqueza o salud) y sus valores en las generaciones pasadas: es decir, la correlación entre generaciones adyacentes. Esto supone que la influencia de la familia en el estatus social de una persona puede medirse por la correlación entre su estatus y el de su madre y padre o el de sus abuelos y abuelas (Becker, 1993).
Según el trabajo seminal de Becker (1993), “el bienestar de varias generaciones consecutivas de una misma familia estaría estrechamente vinculado siempre que la posibilidad de heredar y de invertir sean sustanciales” (p. 212). Esto implica que en las sociedades en las que las herencias desempeñan un papel importante la movilidad social será menor. Del mismo modo, en las sociedades en las que la propensión a invertir en las generaciones futuras difiere mucho entre las familias la influencia de los antecedentes familiares en la posición económica relativa de las y los hijos es mayor. En general, a nivel global las sociedades diferirán en sus niveles de movilidad social en gran medida debido a sus normas sociales y políticas sobre la herencia, mientras que a nivel nacional las familias diferirán en su movilidad social en función de la propensión a invertir en las generaciones futuras.
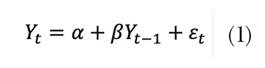
Ahora bien, para medir el proceso de movilidad social la mayor parte de la literatura empírica asume que la movilidad social sigue un proceso autorregresivo y se mide estimando el coeficiente β en un modelo de dos generaciones, como se muestra en la Ecuación (1)8.
Aquí Y t es una medida del estatus social, β es la tasa de persistencia del estatus y 1- β es la tasa de movilidad social. Por definición, β debe ser mayor que 0 y menor que 1, donde 0 representa un mundo de movilidad social perfecta en el que el resultado de la descendencia no está relacionado al papel del padre o de la madre, mientras que 1 representa la inmovilidad completa porque el estatus de las y los hijos puede predecirse perfectamente por el estatus del padre o de la madre9. Sin embargo, en los estudios empíricos las estimaciones del coeficiente β oscilan entre 0.3 y 0.9 dependiendo del país y el contexto histórico10.
Ahora bien, el tamaño del coeficiente β puede interpretarse como la influencia de la familia a largo plazo. Becker (1993) afirma que un coeficiente intergeneracional menor a 0.4 implica que en no más de tres generaciones desaparecerán todas las ventajas y desventajas de las y los antepasados, lo que sugiere una rápida regresión a la media. La evidencia para diferentes países apunta, sin embargo, a tasas de movilidad social más lentas (Clark y Cummins, 2014; Ward, 2021).
Para Colombia, la investigación sobre movilidad social se ha centrado en la correlación de ingresos o educación entre dos generaciones utilizando datos de encuestas contemporáneas (Behrman et al., 2001; Angulo et al., 2012; Ramírez-Zuluaga, 2016). Hertz et al. (2007) constatan un aumento en la movilidad social a lo largo de cincuenta años y estos resultados son similares a los de Behrman et al. (2001) y Angulo et al. (2012), quienes encuentran un cambio en los patrones de movilidad del país en los últimos treinta años. Además, estas investigaciones corroboran que la movilidad social sigue una trayectoria diferente cuando el estatus social se mide con educación o con un índice de riqueza11. En general, los resultados muestran que cuando el estatus social se aproxima con el nivel educativo, hay mayor movilidad social que cuando se hace lo mismo con los ingresos. También se evidencia que en Colombia es difícil pasar de una clase social a otra, especialmente en los dos extremos de la escala social. Como muestra el Cuadro 4, el coeficiente intergeneracional estimado para Colombia oscila entre 0.51 y 0.8, según el método de estimación y las variables utilizadas.
Cuadro 4 Estimaciones de la movilidad social para Colombia

Notas: La tabla reporta los resultados de la literatura sobre movilidad social en Colombia. Se incluyen los resultados que aparecen en las tablas principales de cada artículo para el cual se presenta un coeficiente intergeneracional. Un coeficiente más alto indica menor movilidad social.
Estatus social: apellidos y representación relativa
Como ya se ha mencionado, el análisis de la movilidad social requiere la definición de una variable de estatus social históricamente comparable entre dos o más generaciones. La medida ideal debería mostrar cómo se transmite el estatus social entre generaciones, pero la ocupación, el ingreso o la riqueza rara vez se observan en el mismo momento de la vida para las dos generaciones estudiadas. Por lo tanto, varios estudios utilizan observaciones únicas de la ocupación, lo que da lugar a errores de medición y a la atenuación del coeficiente intergeneracional12. A diferencia de países como Estados Unidos, en el caso de Colombia contamos con datos limitados que vinculen padres y madres con hijos e hijas y que permitan la observación de las múltiples ocupaciones del padre para aproximar mejor su estatus social (Abramitzky et al., 2020; Abramitzky et al. 2021).
Para medir el estatus promedio de las familias y grupos históricos sigo la metodología explicada en Clark y Cummins (2013) y asumo que la pertenencia a una universidad de élite revela una parte importante del estatus social. Asimismo, esta pertenencia está fuertemente relacionada con el estatus social implícito de la familia. Sin embargo, el estatus social de la familia también depende de un componente aleatorio, y cuanto mayor sea la varianza de este componente, mayor será el sesgo de atenuación. Para minimizar este sesgo, agrupo familias en grupos étnicos o históricos, dado que el promedio del componente aleatorio de estos grupos debería tender a cero si el número de familias en cada grupo es elevado. No obstante, es probable que mi medida del estatus educativo cree un sesgo de atenuación adicional, ya que mi muestra solo incluye información sobre la Universidad de los Andes. De Los Andes tomamos una muestra de personas de élite graduadas en una institución de alta calidad, pero en Bogotá y el resto del país hay más universidades de élite. Lamentablemente, ha sido difícil obtener datos de otras universidades, incluida la Universidad Nacional de Colombia (la universidad pública más importante del país). Dado que no observo el conjunto completo de universidades de élite, las estimaciones de esta investigación deben considerarse como un límite inferior de la movilidad social en la educación de alta calidad en Colombia.
Para medir el estatus social, calculo la representación relativa de cada apellido raro j (y de los veinte apellidos comunes) en los egresados de Los Andes desde 1949 hasta 2018, t, siguiendo la Ecuación (2). Esta relación debería ser 1 para los apellidos comunes, mayor que 1 para los apellidos de estatus alto y menor que 1 para los apellidos de estatus bajo13. La representación relativa a nivel de grupo se calcula como la promedio en una cohorte de cinco años por cada grupo para reducir el error de medición, ya que las observaciones de un solo año pueden sesgar severamente las estimaciones si hay shocks transitorios o errores en los datos (Ward, 2021).
La Figura 3 muestra la representación relativa de cada grupo desde 1974 hasta 201814. Como se esperaba, la RR de los apellidos comunes fluctúa alrededor de 1, lo que demuestra que estos apellidos no han estado sobrerrepresentados ni subrepresentados históricamente en Los Andes. Por su parte, durante el período de setenta años que abarca este estudio los apellidos indígenas nunca obtienen una RR mayor a 1. Además, hay cinco cohortes en las que ninguna persona graduada de Los Andes tiene un apellido indígena. El grupo afrocolombiano muestra un patrón similar al indígena: hay tres cohortes sin ninguna persona graduada de este grupo. Sin embargo, en 1962 aparece una persona graduada de Los Andes con apellido afrocolombiano, y este apellido aparece en cinco personas en el SIMAT, por lo que la representación relativa estimada es superior a 15 (Figura 6). Salvo esa excepción, para el resto del período, los apellidos afrocolombianos mantienen una RR inferior a uno. Por el contrario, la mayoría de los grupos de élite, con excepción de los encomenderos, siempre estuvieron sobrerrepresentados en Los Andes por más de dos veces su participación en el SIMAT. Llama la atención que los apellidos asociados a los fundadores de los bancos y del Jockey Club aparecen más de cinco veces el promedio de apellidos, incluso durante la cohorte 2014-2018, lo cual indica que estos grupos han mantenido su estatus de élite por más de cien años. Aunque los encomenderos aparecen con la menor RR de todos los grupos de élite, siguen estando ligeramente sobrerrepresentados entre quienes se gradúan de la universidad, lo que sugiere que el grupo también ha mantenido su estatus social a lo largo del tiempo.

Notas: La línea punteada indica la representación relativa de 1. El eje y está en escala logarítmica para facilitar la interpretación. Fuentes: para los grupos históricos véase Jaramillo-Echeverri y Álvarez (2023). La representación relativa se calcula usando datos del SIMAT. Los datos de las personas graduadas provienen de la Universidad de los Andes (2020).
Figura 3 Representación relativa promedio en cohortes de cinco años, por grupo
Estos resultados son consistentes con la literatura previa que señala que las clases bajas tienen una movilidad social más lenta y mayores barreras para ascender (Angulo et al., 2012). Tal como se observa en la gráfica, los grupos étnicos no logran converger hacia la media durante los setenta años estudiados, mientras que los grupos de élite sí muestran cierta convergencia hacia la media. Cabe destacar asimismo que todos los grupos de élite siguen estando sistemáticamente sobrerrepresentados, lo que sugiere una movilidad social baja para la élite, especialmente para los grupos del período colonial, como los estudiantes de los colegios de San Bartolomé y del Rosario.
Vale la pena señalar que el uso de apellidos y su representación relativa para la medición de la movilidad social ha sido criticado porque las estimaciones se hacen promediando a nivel de apellido o grupo social en lugar de proporcionar una comparación entre individuos (Chetty et al., 2014; Torche y Corvalán, 2018; Solon, 2018). Torche y Corvalán (2018) muestran que la movilidad social a nivel de apellidos difiere de la movilidad social a nivel individual porque los promedios a nivel de grupo incluyen características tanto individuales como grupales que no se pueden separar. Asimismo, Chetty et al. (2014) discuten que las estimaciones a nivel de grupo pueden identificar el comportamiento del grupo en lugar del comportamiento individual. Esta distinción entre persistencia individual y grupal es especialmente importante para la interpretación de los resultados y la adecuada comparabilidad con otros estudios15.
En particular, los resultados individuales pueden diferir de los resultados grupales si existen diferentes patrones de persistencia entre los grupos estudiados, como es el caso de los grupos étnicos. Por ejemplo, Chetty et al. (2014) muestran que los grupos raciales marginalizados de Estados Unidos presentan patrones de movilidad social diferentes a los de la persona estadounidense promedio. Dado que la movilidad social está determinada por una amplia gama de características individuales y socioeconómicas, también puede verse afectada en gran medida por las características del grupo. Por ejemplo, Ward (2021) mostró recientemente que, para el caso de Estados Unidos, la asociación entre padre e hijo entre 1840 y 1910 aumentó de 0.3 a 0.7 tras incluir a familias negras.
Más allá de la posibilidad de diferenciar la movilidad social entre grupos de la movilidad social dentro de un grupo, este estudio está enmarcado dentro de la representación relativa como medida de estatus socioeconómico para superar las limitaciones de información que son importantes en el país. Con esta medida estimo el coeficiente de movilidad social intergeneracional siguiendo la Ecuación (3), que estima la correlación entre dos cohortes de personas graduadas dividiendo la muestra completa en dos cohortes de 35 años. Esta división me permite entonces comparar dos cohortes adyacentes. Vale la pena señalar que el análisis está limitado a estas dos cohortes de 35 años para mantener la consistencia en las comparaciones entre padres e hijos. Si se dividiera el período entre más cohortes, por ejemplo, en cohortes de 20 años, la comparación incluiría también a hermanos, lo que dificultaría la comparación con otros estudios.
Dado que la distribución de la representación relativa se agrupa alrededor del cero y tiene una larga cola derecha, para producir una distribución más cercana a la normal utilizo una transformación logarítmica para la variable de representación relativa. Transformo la variable tomando el logaritmo de 1+RRt para evitar log (0)=indeterminado. Adicionalmente, para minimizar los problemas que pueden desprenderse de los valores atípicos de la distribución, calculo todas las estimaciones con la muestra completa y truncada16.
RR j,t es la transformación logarítmica de la representación relativa del apellido j, en la cohorte t (1984-2018), y RR j,t−1 es la representación relativa del apellido j, en la cohorte t-1 (1949-1983). El coeficiente β puede interpretarse como la elasticidad intergeneracional entre dos generaciones. Es importante señalar que, dado que utilizo los apellidos para seguir a las familias en el largo plazo, este coeficiente presenta el coeficiente de correlación entre grupos. Además, estimo esta ecuación por cada grupo histórico. Como ya se ha discutido, el número reducido de apellidos en determinados grupos puede limitar la interpretación de los resultados. Del mismo modo, como me centro únicamente en la Universidad de los Andes, es probable que las estimaciones del coeficiente de movilidad intergeneracional estén sesgadas a la baja.
RESULTADOS
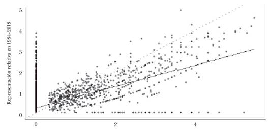
La Figura 4 muestra, para todos los apellidos raros, la relación entre la representación relativa en la generación de personas graduadas entre 1949 y 1983, y entre la representación relativa en la generación de 1984 y 2018. La gráfica muestra la representación relativa promedio a nivel de apellido, la relación lineal que se predice es la línea negra y la línea gris punteada representa la relación hipotética en completa ausencia de movilidad. En una sociedad completamente inmóvil la línea correspondiente tendría una pendiente de 1. Por el contrario, en una sociedad móvil, la pendiente se aproximaría a cero. Intuitivamente, la línea de 45 grados implica que la RR de 1949-1983 predice perfectamente la RR de 1984-2018.

Nota: Cada punto representa la representación relativa promedio de un apellido raro en cada generación siguiendo la Ecuación (2) y la representación relativa corresponde al log (1+RR). La línea punteada gris representa una situación de inmovilidad perfecta, mientras que la línea negra es la correlación lineal que predicen los datos. Fuente: Universidad de los Andes (2020).
Figura 4 Asociación entre dos generaciones
A nivel agregado, el gráfico sugiere una correlación fuerte y positiva entre la representación relativa en t y en t-1. En otras palabras, las familias que estaban sobrerrepresentadas en t-1, están sobrerrepresentadas en t, lo que sugiere una baja movilidad social en Los Andes. No obstante, cuando comparamos la línea negra con la línea gris punteada la figura revela cierto grado de movilidad entre las dos generaciones. También llama la atención el número de ceros que aparecen en ambas generaciones, lo que concuerda con la exclusividad de la universidad. Los ceros son especialmente importantes en la primera generación, en la que varias familias no aparecen a pesar de tener una alta representación relativa en el segundo período. Como hay menos casos de familias que aparecen en la primera cohorte y desaparecen en la segunda, la presencia de ceros podría, por tanto, sesgar a la baja las estimaciones del coeficiente de movilidad intergeneracional.
La Figura 5 muestra la relación entre la representación relativa en la cohorte de personas graduadas entre 1949 y 1983 y la representación relativa entre 1984 y 2018 por grupos históricos. Los resultados confirman que los distintos grupos históricos tienen patrones de movilidad social diferentes. Las personas indígenas muestran baja movilidad, principalmente porque la única familia que aparece en las dos generaciones aparece con una RR mayor a 1 en ambos períodos. El resto de los apellidos indígenas que aparecen en Los Andes pertenecen a personas graduadas en el período entre 1984 y 2018. No obstante, el total de apellidos indígenas en todo el período de estudio es muy bajo. Las personas afrocolombianas muestran un patrón distinto, en el que la correlación estimada sugiere una movilidad casi perfecta, pero nuevamente este resultado es explicado por el bajo número de apellidos afrocolombianos presentes en la universidad. Adicionalmente, los resultados también se explican por una familia que aparece con una representación relativa muy alta en el período 1949-1983, pero que desaparece en la segunda generación.

Nota: Cada punto representa la representación relativa promedio de un apellido raro en cada generación siguiendo la Ecuación (2) y la representación relativa corresponde al log(1 + RR j ). La línea punteada gris representa una situación de inmovilidad perfecta, mientras que la línea negra es la correlación lineal que predicen los datos. Fuente: Universidad de los Andes (2020).
Figura 5 Elasticidad intergeneracional en la Universidad de los Andes
La mayoría de los grupos de élite muestran una baja movilidad social, en particular los esclavistas, los graduados del Rosario y los miembros del Jockey Club. Estas élites tienen una correlación linear estimada que se aproxima a una situación de inmovilidad perfecta. Los encomenderos y los fundadores de los bancos son los grupos con mayor movilidad. Los últimos tienen una mayor representación relativa en la primera generación en comparación con la segunda, lo que explica la forma casi horizontal de la línea de predicción. Esto también se muestra en la (en el apéndice), donde los accionistas de los bancos tienen una RR de 45 en la cohorte de 1949.
El Cuadro 5 muestra el resultado de la estimación de la ecuación con la muestra completa y para cada uno de los grupos históricos. La primera columna sugiere que, en general, existe una elasticidad intergeneracional fuerte, positiva y significativa entre las dos cohortes (0.52). Esta elasticidad intergeneracional es menor en comparación con otras estimaciones para Colombia (Cuadro 4), pero implica que una familia tardaría más de cuatro generaciones en volver a la situación media. Las columnas 2 a 9 presentan los resultados para cada grupo. Las diferencias en los coeficientes (y en los R-cuadrados) apoyan la idea de diferentes patrones de movilidad social a nivel de grupo y permiten dar otra mirada a la movilidad social comparativa entre estos grupos históricos.
Cuadro 5 Elasticidad intergeneracional en los graduados de Los Andes

Notas: Las estimaciones se basan en un modelo OLS. La columna 1 muestra los resultados agregados utilizando todos los apellidos raros en Los Andes. Las columnas 2 a 9 reportan los resultados para cada grupo. El panel A muestra las estimaciones basadas en apellidos raros definidos como aquellos que tienen de 3 a 150 titulares en el SIMAT. El panel B muestra los resultados de la definición de rareza discutida en la sección anterior. El panel C muestra los resultados basados en apellidos raros definidos como aquellos que poseen entre 3 y 500 titulares en el SIMAT. Los errores estándar aparecen entre paréntesis y *** p<0.01, ** p<0.05, * p<0.1 indica en nivel de significancia.
Cuadro 6 La élite duradera: elasticidad intergeneracional

Notas: Las estimaciones se basan en un modelo OLS. La columna 1 muestra los resultados para los apellidos de élite que aparecen en más de un período histórico. La columna 2 reporta los resultados para apellidos que aparecen solo en la élite preindustrial y la columna 3 muestra los resultados de las familias que aparecen solo en el período moderno. El panel A muestra las estimaciones basadas en apellidos raros definidos como aquellos que poseen entre 3 y 150 individuos en el SIMAT. El panel B muestra los resultados de la definición de rareza discutida en la sección anterior. El panel C muestra los resultados basados en apellidos raros definidos como aquellos que poseen entre 3 y 500 titulares en el SIMAT. Los errores estándar aparecen entre paréntesis y *** p<0.01, ** p<0.05, * p<0.1 indica en nivel de significancia.
Los resultados muestran una elasticidad intergeneracional del estatus social significativa, alta y positiva para casi todos los grupos, con excepción de las personas afrocolombianas, que tienen una elasticidad intergeneracional pequeña y no significativa, explicada por el reducido número de observaciones. Los apellidos de los fundadores del Jockey Club, los esclavistas y los estudiantes del Rosario se comportan de manera muy similar y tienen un coeficiente superior a 0.5, lo que sugiere que estos grupos son los de menor movilidad social. En el caso de los alumnos del San Bartolomé, los fundadores de bancos y los encomenderos se observa un coeficiente menor (alrededor de 0.45), lo que indica una mayor movilidad en comparación con el total de la muestra y los otros grupos de élite. Cabe enfatizar que mientras la representación relativa ha disminuido con el tiempo para los grupos modernos, como se muestra en la Figura 3, la representación relativa se ha mantenido estable (aunque menor) en los grupos premodernos. Los resultados son robustos y no están condicionados por las diferentes definiciones de rareza ni por los valores atípicos, como se muestra en el (en el apéndice) , donde repito las estimaciones con la muestra truncada.
Por último, para separar las diferencias de movilidad social entre los grupos de élite estimo el coeficiente de elasticidad intergeneracional para las familias de élite que aparecen tanto en los grupos de élite premodernos como en los modernos, así como el de las que solo aparecen en un período histórico.
Estos resultados muestran que las élites que sobreviven desde la colonia tienen una movilidad social más baja y tasas de persistencia más altas en comparación con las familias que no logran insertarse en grupos de élites modernas o las familias de élite que solo aparecen en el período moderno. Las familias de la élite duradera tienen un coeficiente intergeneracional cercano a 0.55, mientras que las familias que solo pertenecen al período moderno tienen un coeficiente de 0.33. Sin embargo, es importante notar que hay menos de cuarenta familias que aparecen solo en el período moderno.
En general, los resultados son coherentes con lo que otras investigaciones sobre movilidad social encuentran para Colombia, con un coeficiente intergeneracional global de 0.52 (Angulo et al., 2012; Behrman et al., 2001; Ramírez-Zuluaga, 2016; Hertz et al., 2007). Es importante señalar que, debido a la naturaleza de los datos utilizados en este estudio, centrados exclusivamente en la Universidad de los Andes, las estimaciones del coeficiente de movilidad intergeneracional pueden estar sesgadas. Esta subestimación podría deberse a que no se cuenta con datos de todas las instituciones de educación de alta calidad. A pesar de estas limitaciones, los resultados respaldan la idea de que existen diferentes patrones de movilidad social por grupos y de que la movilidad es muy baja en las partes altas y bajas de la distribución del estatus social. Todos los grupos de élite parecen experimentar una movilidad social lenta, mientras que los resultados de los grupos étnicos no son significativos dada su ausencia de la Universidad de los Andes. Sin embargo, la baja participación de los grupos étnicos puede considerarse como evidencia de que existe una fuerte influencia de los antecedentes familiares en la posición económica de las futuras generaciones.
CONCLUSIONES
Esta investigación tenía como objetivo estimar patrones de movilidad social en el largo plazo en la educación de alta calidad utilizando apellidos y su representación relativa, lo que permite ligar el pasado con el presente y superar limitaciones de información. Siguiendo apellidos raros de grupos indígenas y afrocolombianos, encomenderos, familias privilegiadas del siglo XVIII y XIX con acceso a la educación superior, esclavistas del siglo XIX y de élites sociales y bancarias de finales del siglo XIX, observo cambios generacionales en la representación relativa de estos grupos históricos entre los graduados de la Universidad de los Andes entre 1949 y 2018.
Estimo el coeficiente de correlación intergeneracional entre la representación relativa de dos cohortes entre 1949 y 2018 a partir del apellido y el grupo. Encuentro que las familias que estaban sobrerrepresentadas en la universidad en el pasado siguen estando sobrerrepresentadas hoy, lo que evidencia una baja movilidad social. En general, encuentro un coeficiente de movilidad intergeneracional de 0.52 para toda la muestra. En las estimaciones a nivel de grupo los coeficientes intergeneracionales oscilan entre 0.45 y 0.6 para los distintos grupos de élite. Cuando observo las familias de larga supervivencia encuentro una menor movilidad social en comparación con las familias que aparecen solo en el período moderno o solo en el período premoderno. Por su parte, los apellidos étnicos asociados con los grupos indígenas y afrocolombianos muestran unos patrones diferentes. Estos grupos tienen un coeficiente intergeneracional no significativo, explicado principalmente por su persistente ausencia durante todo el período estudiado.
Aunque la comparación con otros países está limitada por la medida de estatus social y el tamaño de los grupos, los resultados sugieren que la movilidad intergeneracional en la Universidad de los Andes es menor que en Estados Unidos en la década de los años treinta (Feigenbaum, 2018; Olivetti y Paserman, 2015). Mis estimaciones son inferiores a las del sistema educativo en Suecia e Inglaterra elaboradas por Clark y Cummins (2013) y Clark y Cummins (2014), pero esto podría deberse al sesgo de atenuación que resulta de utilizar solamente información de una universidad17.
En comparación con otros estudios de movilidad social en Colombia, mis estimaciones son en general más bajas, pero mis resultados concuerdan con la conclusión de que en Colombia la movilidad social es muy lenta en la parte superior de la distribución del estatus social. Incluso, si los grupos de élite convergen lentamente hacia la media, los resultados de las élites más antiguas, como los encomenderos, indican que, en contravía de la hipótesis de Becker, todos los grupos estudiados tardarán más de tres generaciones en converger hacia la media. Estos resultados también sugieren que desde la colonia los grupos de élite han conservado su elevado estatus manteniendo un acceso exclusivo a una educación de alta calidad, como en el caso de los alumnos del Colegio Mayor del Rosario y el San Bartolomé. Estos grupos siempre han estado sobrerrepresentados en las instituciones educativas de élite, mientras que los afrocolombianos y los indígenas rara vez han accedido a estas instituciones. Queda abierta la pregunta, para futuras investigaciones, de cuánto más o menos móvil ha sido la Universidad de los Andes en comparación con otras universidades de élite. En particular, los resultados pueden ser diferentes al examinar otras universidades de alta calidad pero públicas, como la Universidad Nacional o la Universidad de Antioquia. El costo relativamente bajo de estas universidades y su buena reputación pueden promover una mayor integración entre diferentes grupos sociales y tener mayores efectos en la movilidad social.
Finalmente, este estudio sugiere que la segregación social en la educación podría limitar la movilidad social en el país. La sobrerrepresentación de estudiantes de grupos de élite, junto a la casi completa ausencia de las minorías étnicas, señala la importancia de promover programas que aumenten la diversidad y la inclusión en las instituciones educativas para asegurar un acceso equitativo a oportunidades para todos los estudiantes. Investigaciones recientes de movilidad social en el sistema educativo muestran que el programa Ser Pilo Paga aumentó la inclusión e integración de estudiantes de diversas clases sociales en las universidades de élite, a pesar de que los costos de integración los asumen los estudiantes de nivel socioeconómico bajo (Álvarez-Rivadulla et al., 2022; Álvarez-Rivadulla et al., 2023). Otros artículos también han señalado la rápida movilidad social de los beneficiarios de este programa y los efectos generalmente positivos en diferentes universidades de élite del país (Londoño-Vélez, J. et al., 2020; Meisel y Granger, 2023). Al igual que dichas investigaciones, las conclusiones de este artículo subrayan la necesidad de investigar más los patrones de movilidad de diversos grupos que pueden estar limitados por la exclusividad del acceso a la educación de alta calidad en Colombia.




















