Servicios Personalizados
Revista
Articulo
Indicadores
-
Citado por SciELO -
Accesos
Links relacionados
-
Citado por Google -
Similares en
SciELO -
Similares en Google
Compartir
Biotecnología en el Sector Agropecuario y Agroindustrial
versión impresa ISSN 1692-3561
Rev.Bio.Agro vol.12 no.1 Popayán ene./jun. 2014
ESTRUCTURA, COMPOSICIÓN Y DIVERSIDAD DE LOS BOSQUES NATURALES DE SMURFIT KAPPA CARTÓN DE COLOMBIA: POPAYÁN Y CAJIBÍO
STRUCTURE, COMPOSITION AND DIVERSITY OF THE NATURAL FORESTS OF SMURFIT KAPPA CARDBOARD OF COLOMBIA:POPAYÁN AND CAJIBÍO
ESTRUTURA, COMPOSIÇÃO E DIVERSIDADE DAS FLORESTAS NATURAIS COMPANHIA SMURFIT KAPPA cartãoCOLÔMBIA: POPAYÁN E CAJIBÍO
CATALINA GARCÍA SOLÓRZANO1*, HARVEY MARÍN PALADINES2, DIMAN MORIONES RUIZ2, MÓNICA MUÑOZ MUÑOZ2, CRISTIAN VALENCIA AGUILAR2
1 Universidad del Cauca, Facultad de Ciencias Agropecuarias, Departamento de Ciencias Agropecuarias, Grupo de Investigación para el Desarrollo Rural (TULL).Profesor asistente. Popayán, Colombia.
2Universidad del Cauca, Facultad de Ciencias Agropecuarias.Estudiante Ingeniería Forestal. Popayán, Colombia.
Correspondencia: catalinagarcia@unicauca.edu.co
Recibido para evaluación: 01-03-2013. Aprobado para publicación: 01-05-2014.
RESUMEN
Con el objetivo de conocer las características estructurales más importantes del bosque natural del Núcleo Forestal Meseta, Departamento del Cauca, perteneciente a la Compañía Smurfit Kappa Cartón de Colombia, se establecieron cuatro transectos de 1000 m2 en los que se midieron todas las variables estructurales a la vegetación ≥ 2,5 cm de diámetro a la altura de pecho y se realizó la identificación taxonómica de las especies presentes. Se encontró que las familias más abundantes fueron Erythroxylaceae, Rubiaceae, Moraceae y Clusiaceae, las especies de mayor importancia ecológica fueron Erythroxylum popayanense, Alchornea latifolia, Pseudolmedia sp. y Nectandra sp.; al comparar los cuatro sitios evaluados se encontraron diferencias a nivel de densidad y riqueza de especies, así como entre sus áreas basales, mostrando un comportamiento típico del bosque tropical en donde predomina una gran densidad de especies representadas por pocos individuos. Adicionalmente, se logró establecer que la especie más abundante en términos generales fue Erythroxylum popayanense.
PALABRAS CLAVES:Densidad, Dominancia, Especies, Estructura horizontal, Estructura vertical.
ABSTRACT
With the aim of to know the more important structural characteristics the natural forest of the Forest Nucleus Plateau, Department of the Cauca, pertaining to the Company Smurfit Kappa Cardboard of Colombia, four transects of 1000 settled down m2 in which all the structural variables to the vegetation were moderate ≥ 2,5 cm of diameter around chest and taxonomic identification of the present species was realised. One was that the most abundant families were Erythroylaceae, Rubiaceae, Moraceae and Clusiaceae, the species of greater ecological importance were Erythroxylum popayanense, Alchornea latifolia, Pseudolmedia sp. y Nectandra sp.; when comparing the four evaluated sites were differences concerning density and wealth of species, as well as between their basal areas, showing a typical behavior of the tropical forest where a great density of species represented by few individuals predominates. Additionally, it was managed to establish that the most abundant species in general terms was Erythroxylum popayanense.
KEYWORDS: Density, Dominance, horizontal Structure, vertical Structure, Species.
RESUMO
Com o alvo de para saber as características estruturais mais importantes a floresta natural do platô do núcleo da floresta, Departamento do Cauca, pertencendo ao companhia Smurfit Kappa cartão Colômbia, quatro transectos de 1000 estabeleceram para baixo o m2 em que todas as variáveis estruturais à vegetação eram o ≥ moderado 2,5 cm do diâmetro em torno da caixa e da identificação taxonomic da espécie atual foi realizado. Um era que as famílias as mais abundantes eram Erythroylaceae, Moraceae e o Clusiaceae, a espécie de maior importância ecológica eram Erythroxylum popayanense, Alchornea latifolia, Pseudolmedia sp. y Nectandra sp; ao comparar os quatro locais avaliados eram diferenças a respeito do densidad e da riqueza da espécie, e também entre suas áreas básicas, mostrando um comportamento típico da floresta tropical onde um grande densidad da espécie representada por poucos indivíduos predominates. Adicionalmente, controlou-se estabelecer que a espécie a mais abundante era em geral Erythroxylum popayanense.
PALAVRAS CHAVES: Densidade, espécies, domínio, estrutura horizontal, estrutura vertical.
INTRODUCCIÓN
Los ecosistemas andinos son importantes al ser consideradoscomo los mayores proveedores del recurso hídrico de Colombia, en ellos, predomina una alta diversidad de epífitas, donde se pueden distinguir briofitos, árnicas, teridofitos, licopodios y una gran variedad de orquídeas[1];por lo cual se debe resaltar la importancia de su conocimiento para garantizar su conservación.
Los bosquesde la meseta de Popayán, clasificados como bosques andinos, han sufrido un deterioro progresivo, a través de la fragmentación de sus ecosistemas por las diferentes prácticas implementadas para su aprovechamiento y explotación, lo que ha provocado una amplia disminución en su área. La CompañíaSmurfit Kappa Cartón de Colombia S.A.dentro de sus área, además de tener tierras destinadas a la producción forestal tiene otra parte destinada a la conservación de bosques, en el Núcleo Meseta tiene 1250,1 ha de bosque natural con periodos de regeneración que alcanzan hasta 30 años, lo que ha generado un aporte importante en la conservación de los ecosistemas andinos en la meseta de Popayán.
Los bosques en estudio aunque son propiedad privada, se encuentran muy cerca de poblados que a través de los años han ido acabando sus ecosistemas, lo que genera presión sobre ellos, además, la falta de información acompañada de la presencia de especies como Quercus humboldtii Bonpl.en la zona de estudio, hacen necesario y relevante conocer lo que se está conservando. Así pues el objetivo principal de esta investigación fue conocer las características más importantescomo son la diversidad arbórea, la estructura vertical y horizontal y establecer las posibles diferencias en composición entre los sitios estudiados.
Este estudio se realizó bajo el Convenio Marco Interinstitucional para la Realización de Prácticas Académicas e Investigaciones suscrita entre la Universidad del Cauca y la Compañía Smurfit Kappa Cartón de Colombia S.A.
MÉTODOS
El estudio se realizó en el Departamento del Cauca, en los Municipios de Popayán y Cajibio. Los bosques naturales estudiados se encontraron en fincas de la Compañía Smurfit Kappa Cartón de Colombia S.A. (cuadro 1).
La zona tiene una precipitación media anual 2200 mm, con una temperaturaA través de un muestreo bietápico se eligieron los fragmentos de bosque estudiados los cuales tenían más de 15 hectáreas. Se usaron los resultados del estudio realizado según lareferencia [3] como información base para calcular el tamaño de muestra, este estudio se realizó sobre cuencas hidrográficas del Valle del Cauca que vierten al Río Cauca.
Para un error de muestreo del 10% (37 especies por hectárea) se obtuvo que el número necesario de parcelas tipo RAP para el núcleo meseta era de 4.
Para la selección de los sitios de muestreo se realizaron recorridos de reconocimiento durante los cuales se identificaron las zonas de mayor representatividad de la vegetación arbórea y se consideró el grado de conservación de dichos ecosistemas.La localización de los sitios en donde se establecieron las parcelas se realizó teniendo en cuenta la información de los recorridos y considerando el criterio de expertos de la Universidad del Cauca, funcionarios de la empresa SKCC y los autores de este trabajo.
Después de definir los sitios y las áreas se siguió la metodología del Programa de Evaluaciones Rápidas (Rapid Assesment Program- RAP) adaptada de Gentry (1982). Con el fin de describir la vegetación, serealizaron 4 transectos distribuidos en diferentes subnúcleos (cuadro 2). Cada transecto de 1000 m² representado por la suma de 10 subparcelas de 25 x 4 m, distanciadas entre sí 20 m; en ellas se midieron todos los individuos con diámetro a la altura del pecho mayor o igual a 2,5 cm.
La estructura horizontal del bosque se describió a partir de la distribución de los individuos con DAP mayor de 2,5 cm y para la estructura vertical del bosque se tomaron los individuos con DAP mayor o igual a 10 cm y se construyeron los perfiles de cada sitio de estudio [4].
Las muestras colectadas de la vegetación fueron identificadas en el herbario de la Universidad del Cauca (CAUP) y allí quedaron conservados algunos ejemplares del muestreo.
La diversidad florística fue evaluada mediante los índices de diversidad de Margalef, índice de dominancia Simpson y el coeficiente de similaridad de Jaccard, los cálculos fueron realizados en el Software BioDiversity Pro 2.
Con el fin de establecer las diferencias entre los cuatro sitios estudiados se realizó un análisis de varianza para la variable densidad de tallos para individuos con diámetros mayores a 10 cm, densidad de tallos para diámetros menores de 10 cm, riqueza, área basal y altura por medio del programa SPSS.
RESULTADOS
En cuanto a riqueza y composición florística en los cuatro transectos se registraron 1.091 individuos, de los cuales 837 (76,72%) correspondieron a individuos con DAP ≥ 2,5 cm y < 10 cm y 254 (23,28%) correspondieron a individuos con DAP ≥ 10 cm. Se reportó un total de 149 especies, agrupadas en 37 familias y 59 géneros; las familias con mayor número de individuos fueron Erythroxylaceae (15,67%) y Rubiaceae (12,56 %).
La finca Primavera presentó el mayor número de individuos y la mayor riqueza, con 24 familias, 35 géneros y 79 especies, el sitio con menor reporte fue Versalles con un total de 13 familias, 17 géneros y 31 especies (cuadro 3). Al contrastar los resultados con un estudio realizado en La Lomita (Cauca)[5] se encontró un menor número de individuos en el presente estudio;respecto al número de familias reportadas se observa que los datos son similares puesto que en la zona de La Lomita se presentan 25 Familias; mientras que en los 4 lugares de muestreo se obtuvieron valores entre 24 y 13 familias; en cuanto al número de especies encontradas en otros bosques intervenidos situados en localidades próximas se compara con14 especies en el río Pescador, Caldono [6], 20 en el Río Cabuyal, Caldono [7], 31 en los Robles, Timbío [8] y 42 en La Lomita [5], estas diferencias se explican por características particulares del sitio como la historia de uso de los mismos, el tipo e intensidad de las perturbaciones pasadas, la topografía del lugar y la fauna existente [9], sin embargo, se considera que se deberían realizar estudios más de detallados que permitan concluir con significancia estadística que variables influyen en el número de especies como es el caso de la calidad del suelo.
Para el análisis de estructura horizontal se procedió a identificar la especie más abundante en los bosques en cuestión, se encontró que Erythroxylum popayanense de la familia Erythroxylaceae, está presente y es la más abundante en tres de los cuatros transectos analizados (Primavera, Santa Rosa y Versalles), presentando una variación en Cabuyerita en donde la especie más abundante fue Pseudolmedia sp. de la familia Moraceae (figura 1); se encontraron en común algunas familias de bosques cercanos a Popayán aunque no con las mismas abundancias, la familia ASTERACEAE es mencionada con el mayor número de individuos en la Lomita [5] y la Rejoya [10]. Estos resultados sugieren que la variación en las abundancias de las especies entre sitios, puede estar relacionada con el grado de intervención local, los patrones de dispersión de especies y otras características particulares de los sitios que pueden condicionar el establecimiento y permanencia de las especies [11]
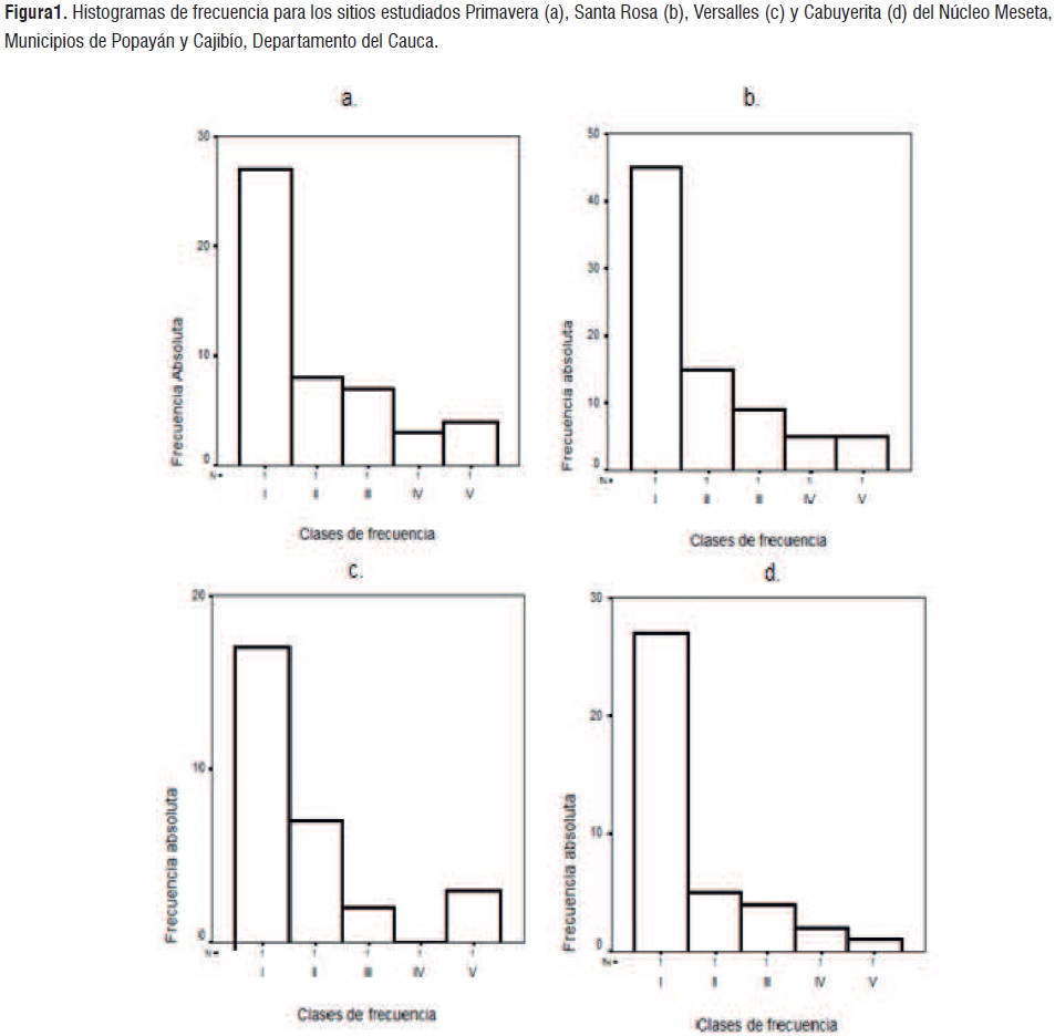
Los histogramas de frecuencia para los cuatro sitios de estudio fueron similares, mostrando que el mayor porcentaje de las especies se encuentra en la clase de frecuencia I, mientras que para las otras clases el porcentaje es mucho menor; lo que indica presencia de bosques heterogéneos con especies distribuidas a lo largo del paisaje (figura 2).
En cuanto a ladominancia,el bosque localizado en Santa Rosa fue el que presentó mayor área basal con 14,68 m2/0,1 ha; mientras que Primavera presentó la menor área basal con 8,31 m2/0,1 ha (cuadro 4). En general en los cuatro sitios de estudio se encontró que el 76,72% de los individuos correspondieron a individuos con DAP ≥ 2,5 cm y < 10 cm, es decir que los bosques en estudio están conformados por una gran cantidad de individuos pequeños,revelando quése encuentran en proceso de regeneración [7]. Estos resultados fueron similares a los de los bosques estudiados en la referencia[12], en donde el número de individuos decrece logarítmicamente con el incremento del diámetro.Las diferencias en tamaños máximos alcanzados por los árboles en las parcelas, podrían ser el resultado de la fertilidad de los suelos [9], es el caso de Santa Rosa el cual presentó el mayor valor promedio, mostrando que los sitios estudiados presentaron unas leves diferencias en sus estructuras diamétricas, consecuencia posiblemente de las características exclusivas de cada sitio.
El índice de Valor de Importancia (IVI) se encuentra distribuido en 3 especies, apreciando que en los cuatro bosques analizados, la mayor parte de las especies fueron raras (figura 3); si el mayor peso ecológico lo tienen las especies raras en su conjunto, se estaría caracterizando un ecosistema altamente heterogéneo y por consiguiente rico en especies [1].
Cuadro 4. Promedio de área basal para cuatro sitios del Núcleo Meseta
En Primavera las especies de mayor peso ecológico fueron Inga edulis (90,14%), Erythroxylum popayanense(54,56%) y Palicourea heterochroma (32,02%); en Santa Rosa fueron Myrcia sp.(79,65%), Erythroxylum popayanense (62,36%) y Alchornea latifolia(55,45%); en Versalles Alchornea latifolia(81,09%), Pseudolmedia sp.(66,61%) y Erythroxylum popayanense (66,49%);mientras que en Cabuyerita fue Myrcia popayanensis(86,86%), Pseudolmedia sp.(68,3%) y Alchornea latifolia(47,92%). Es importante resaltar que ninguno de los transectos realizados se reportó Quercus humboldtii como especie dominante, siendoesta típica del ecosistema analizado.Se presenta un orden diferente en los valores de las especies con mayor importancia ecológica en el área de La Lomita, donde las especies con mayor IVI son: Nectandra acutifolia (26,93), Nectandra sp. (25,47), Lacistema aggregatum (25,01), Alchornea latifolia (24,41) y, Cybianthus poeppigii (23,89) [5].
El cociente de mezcla en los cuatro subnúcleos varió entre 1/4 y 1/7 (cuadro 5), indicando que por cada especie encontrada se presentan aproximadamente de 4 a 7 individuos. Se observó que los bosques de Primavera y Santa Rosa tienen la mayor proporción de mezcla, en los cuales las especies en promedio están representadas por aproximadamente cuatro (4) y cinco (5) individuos, mientras que los bosques en Versalles y Cabuyerita manifiestan una menor complejidad, con aproximadamente siete (7) individuos por especie, esta complejidad del ecosistema se explica en gran parte por la cercanía de estos ecosistemas a centros poblados. Los valores encontrados, se aproximan a lo expuesto por la referencia [13] quien presenta un valor promedio del cociente de mezcla en Colombia de 1:7.
Para analizar estadísticamente las diferencias presentadas por los bosques en estudio respecto a variables estructurales, se realizó un análisis de varianza que mostró que las variables densidad de individuos con DAP ≥ 10 cm y altura total, no presentaron diferencias para los cuatro sitios evaluados; mientras que para las variables riqueza, área basal y densidad de individuos con DAP ≤ 10 cm se presentaron diferencias significativas; en el área basal se obtuvo un nivel de significancia de 0,0040, mientras que la riqueza de especies presentóun valor de significancia de 0,000 y densidad de individuos con DAP ≤ 10 se tuvo valores de 0,0260 con un nivel de significancia de 0,05. Lo anterior permite afirmar que la Meseta de Popayán aunque tiene características similares de clima, suelos y topografía, presenta diferencias a lo largo del paisaje dentro de sus bosques en variables como área basal y riqueza de especies dentro de sus bosques
Al realizar el análisis de estructura vertical se observó que la vegetación presente es típicamente de bosques secundarios con individuos que no superan los 14 m de altura. En los subnúcleos Primavera, Santa Rosa y Versalles se lograron diferenciar tres (3) estratos a lo largo del perfil vertical; un estrato superior entre los 11 y 14 m conformando el dosel del bosque; un estrato medio entre los 7 y 10 m y uno inferior entre los 3 y 6 m; mientras que para el subnúcleo Cabuyerita, se identificaron dos (2) estratos; un estrato inferior entre 3 y 6 m y uno medio entre los 7 y 10 m.
En general para los cuatro sitios de estudio la característica predominante es un dosel de tipo discontinuo, debido a que los individuos con DAP ≥ 10 cm se encuentran distribuidos uno espaciado del otro favoreciendo la entrada de luz, siendo la incidencia de este factor, el principal generador de la estratificación de la vegetación en las áreas en sucesión [14].
Para la comparación de los bosques en cuanto a diversidad florística se usó el índice de Jaccard, este muestra que las especies encontradas en los bosques muestreados presentan baja similaridad, a pesar de que pertenecen al mismo Núcleo (Meseta) con características similares en cuanto al clima, altura y topografía; lo que refuerza lo encontrado mediante las pruebas de significancia, referidas a la estructura,exhibiendo queen la Meseta de Popayán existen diferentes tipos de ecosistemas; estas diferencias en composición florística se deben principalmente al estado sucesional en el que se encuentra cada una de las áreas estudiadas,por ello, cada ecosistema tiene y requiere estrategias de protección y recuperación propias que se ven reflejadas en la composición florística que exhiben [9]. Estudios más detallados que involucren la dinámica y desarrollo de los mismos, deben ser desarrollados para entender la complejidad de su funcionamiento y los patrones que éstos exhiben.
Se reportaron comofamiliassimilares para el área de estudio: Euphorbiaceae, Erythroxylaceae, Clusiaceae, Lauraceae, Melastomataceae, Moraceae, Myrtaceae, Piperaceae y Rubiaceae.Las familias con más especies son las mismas encontradas en otras localidades con altitud similar, sin muchas variaciones. Esto es el caso de las familias Melastomataceae, Rubiaceae, Lauraceae, Piperaceae, Asteraceae, Solanaceae, Ericaceae las cuales fueron reportadas según la referencia [15]
Estas familias tienen la característica de agrupar especies capaces de establecerse en sitios abiertos y en zonas de regeneración temprana, gracias a sus estrategias de dispersión, lo que les permite llegar a áreas más alejadas [16]. Ademásse encontraron 6 especies en común entre los sitios comoAlchornea latifolia, Cinnamomun triplinerve, Erythroxylum popayanense, Miconia caudata, Pseudolmedia sp.y Nectandra sp.
Los valores obtenidos en el índice de Margalef para los sitios evaluados mostraron altos valores de riqueza de especies. El valor promedio adquirido por este índice es similar para dos subnúcleos (cuadro 6). Los valores encontrados son bajos al confrontarlos con dos bosques en Buenos Aires (Cauca) los cuales tienen valores de 9,418 y 9,276 respectivamente [17], las diferencias encontradas en los sitios pude deberse especialmente al estado de conservación de los bosques en comparación.
Según los parámetros presentados por el índice de Simpson en los 4 bosques evaluados, se observa que la diversidad es menor en los subnúcleos Versalles y Cabuyerita los cuales presentan los valores más altos del índice, lo que muestra que el bosque se encuentra dominado por una o más especies lo que conlleva a la disminución de la diversidad, ocurriendo lo contrario en las parcelas Primavera y Santa Rosa con pequeñas diferencias en las que se marca la parcela 4 con un valor más alto de la diversidad (cuadro 6).
Para el análisis de equidad, se evaluó el inverso de Simpson (1/D), los subnúcleos Primavera y Santa Rosa mostraron una mayor equidad en cuanto a densidad dado que son bosques con mayor grado de conservación que los demás, lo cual puede estar explicado por la distancia de dichos fragmentos a las comunidades cercanas, otro aspecto a tener en cuenta son las plantaciones que se encuentran cercaa los transectos. Mientras que los resultados generados por los otros subnúcleos en términos generales, caracterizan una comunidad biótica poco diversa, con tendencia a la homogeneidad (poco heterogénea), típica de las sucesiones secundarias tempranas (cuadro 6). Al comparar los valores de este índice con los reportados en dos bosques en Buenos Aires (Cauca) se encontraron valores de 18,865 y 6,92 respectivamente [17], exhibiendo datos similares para las parcelas ubicadas en Versalles (6,41) y Cabuyerita (7,65); Entretanto Primavera superó al valor máximo encontrado para el primer bosque en Buenos Aires.
Finalmente, se realizó una curva especies área la cual mostró un incremento continuo de las especies del ecosistema, lo cual permite observar que la curva no se estabiliza (figura 6), encontrando nuevas especies en el área de estudio, la estabilización de ésta estuviera influenciada por la dinámica de sucesión que presenta el bosque y que implica el establecimiento de nuevas especies que incrementanla diversidad [18].
Es de señalar que el área escogida de 0,1 ha de muestreo es insuficiente para evaluar la diversidad de la zona, siendo necesario ampliar el área de cobertura a muestrear. Sin embargo, una mayor intensidad de muestreo no asegura una estabilidad de la curva especies-área, pues prácticamente en ningún estudio de plantas leñosas en bosque tropical la curva se estabiliza[19].
El bosque de Primavera mostró mayor acumulación de especies por área con respecto a los demás subnúcleos, esto se debe a que es el bosque que presentó un mayor grado de conservación influido básicamente por la distancia, lo cual permite disminuir la presión del hombre sobre los ecosistemas boscosos evitando su intervención. Caso contrario ocurrido para al bosque de Cabuyerita el cual es un ecosistema poco conservado debido a que alberga un número de especies menores con respecto a los demás transectos.
Según lo reportado en la base de datos de MAVDT se encontró una especie en estado vulnerable la cual fue Quercus humboldtii [20]. El género Quercus ha sufrido un indiscriminado aprovechamiento a través de la historia, siendo afectado principalmente por el cambio de uso de suelo, su madera ha sido ampliamente utilizada en construcción de viviendas, carrocerías, vagones, cabos de herramientas, ebanistería y la producción de carbón vegetal, conllevando a la reducción de esta especie en el territorio Colombiano [21].
CONCLUSIONES
El estudio permitió obtener información referente a la estructura, composición y diversidad florística de los bosques naturales en el Núcleo Forestal Meseta de SKCC en el Departamento del Cauca, la cual sirve como base para futuras investigaciones.
De acuerdo a los resultados de la caracterización de los fragmentos de bosque natural, se logró definir que la vegetación presente es típica de bosques secundarios, estableciendo así que los bosques pertenecientes a los subnúcleos Primavera y Santa Rosa son los que se encuentran en mejor estado de conservación en comparación con las áreas presentes en los subnúcleos Versalles y Cabuyerita, cuya vegetación está representada por árboles jóvenes con una estructura poco densa.
Las familias con mayor número de individuos en la Meseta de Popayán fueron; Erythroxylaceae y Rubiaceae.El estudio permitió definir que la especie que se encuentra con mayor densidad en términos generales en los bosques naturales de SKCC pertenecientes al Núcleo Forestal Meseta fue Erythroxylum popayanense.
Según los resultados obtenidos para la estructura y los índices evaluados para Primavera, Santa Rosa, Versalles y Cabuyerita se puede concluir que en la Meseta de Popayán los bosques naturales son heterogéneos.
Según resultados de la curva especies–área, se muestra que en el área de estudio cada vez se van encontrando nuevas especies mostrando así un comportamiento típico de bosques tropicales debido a su heterogeneidad.
El análisis de varianza permitió concluir que a nivel de paisaje los bosques naturales de la Meseta de Popayán son diferentes desde el punto de vista de su riqueza y estructura, posiblemente por la presencia de diferentes estados sucesionales.
AGRADECIMIENTOS
Los autores expresan sus agradecimientos a la UNIVERSIDAD DEL CAUCA por el apoyo en el convenio y el uso del herbario para la identificación de muestras botánicas, a SMURFIT KAPPA CARTÓN DE COLOMBIA por su colaboración y apoyo financiero brindando la oportunidad de realizar este trabajo en los bosques de su propiedad.
REFERENCIAS
[1] MELO, O.A. y VARGAS, R. Evaluación Ecológica y Silvicultural de Ecosistemas Boscosos. Ibagué (Colombia): Universidad del Tolima, CRQ-CARDER-CORPOCALDAS Y CORTOLIMA, 2003, p. 75. [ Links ]
[2] HOLDRIGE, L.R. Ecología basada en zonas de vida. IICA, San José (Costa Rica). En: Ecología y conservación de bosques neotropicales. Cartago (Costa Rica): Ediciones LUR, 2002, 692 p. [ Links ]
[3] CORPORACIÓN AUTÓNOMA REGIONAL DEL VALLE DEL CAUCA. Caracterización de los bosques naturales y zonificación de las tierras forestales en las cuencas hidrográficas de los ríos: CORDILLERA CENTRAL: La Paila, Las Cañas, Los Micos, Obando, La Vieja, Buga la grande, Morales, Tuluá, San Pedro, Guadalajara, Sonso, Guabas, Sabaletas, Cerrito, Amaime, Bolo-Fraile, Desbaratado. CORDILLERA OCCIDENTAL: Cañaveral, Catarina, Chanco, Garrapatas, Rut, Pescador, Riofrío, Piedras, Mediacanoa, Yotoco, Vijes, Mulaló, Yumbo, Arroyohondo, Cali, Lilí-Meléndez-Cañaveralejo, Jamundí, Río Claro y Timba. Cali (Colombia): Convenio Interadministrativo CVC No. 083, 2008. [ Links ]
[4] SMURFIT KAPPA CARTÓN DE COLOMBIA. Caracterización de las áreas naturales de SKCC. Yumbo (Colombia): 2005, p. 7-8 [ Links ]
[5] ALCÁZAR, C., DÍAZ, S., SALGADO, B. y RAMÍREZ,B. Estructura y composición de un relicto de bosque Subandino, Popayán, Colombia. P. 163-180. En: La Botánica en el Nuevo Milenio, Memorias del III Congreso Ecuatoriano de Botánica. Quito (Ecuador): Fundación Ecuatoriana para la Investigación y el Desarrollo de la Botánica (FUNBOTANICA),2002, p. 260. [ Links ]
[6] CAJAS, F.A. Biología de la reproducción de la especie arbórea nativa Ladenbergia oblongifolia (Mutis) L. Anderson[Tesis Licenciatura en Biología]. Popayán (Colombia):Universidad del Cauca, Facultad de Ciencias Naturales, Exactas y de la Educación, 1997. [ Links ]
[7] DIAGO, N.M. Caracterización florística de la subcuenca del Río Cabuyal de Caldono, Cauca. [Tesis Licenciatura en Biología]. Popayán (Colombia): Universidad del Cauca, Facultad de Ciencias Naturales Exactas y de la Educación, Departamento de Biología, Programa de Biología, 2001, p. 44. [ Links ]
[8] GUTIÉRREZ, V.M. y ROJAS, A.A. Comparación de dos remanentes de bosque de la finca Los Robles, municipio de Timbío, Departamento del Cauca[Tesis Ecología]. Popayán (Colombia):Fundación Universitaria de Popayán, Facultad de Ciencias Naturales,1996, 91p. [ Links ]
[9] LEON, J.D., VELEZ, G. y YEPES, A.P. Estructura y composición florística de tres robledales en la región norte de la cordillera central de Colombia.RevistaBiología Tropical, 57(4), 2009, p. 1165-1182. [ Links ]
[10] COLOMBIA. MUSEO DE HISTORIA NATURAL Vegetación, estructura y composición de un área boscosa en el jardín botánico "Álvaro José Negret", Vereda la rejoya. Popayán (Colombia): Boletín Científico Centro de Museos, 2010, 4 (2), p. 19-38. [ Links ]
[11] GALINDO, R., BETANCUR, J. y CADENA, J.J. Estructura y composición florística de cuatro bosques andinos del santuario de flora y fauna Guanentá-Alto río Fonce, cordillera oriental colombiana. Caldasia, 25,2003, p. 313-335. [ Links ]
[12] MEDINA, J.P. Inventario florístico de la vegetación de la Reserva de Liverpool Río Frio (Portugal de Piedras) Valle del Cauca [Tesis Licenciatura en Biología]. Popayán (Cauca): Universidad del Cauca, Facultad de Ciencias Naturales Exactas y de la Educación, Departamento de Biología, Programa de Biología, 2001, 108 p. [ Links ]
[13] LAMPRECHT, H. Silvicultura en los Trópicos: Los ecosistemas Forestales en los bosques tropicales y sus especies arbóreas; posibilidades y métodos para un aprovechamiento sostenido. (Alemania):Deutsche Gesellschaft für Technische Zusammenarbeit, 1990, 335 p. [ Links ]
[14] ARIAS-ESCOBAR, M.A. y BARRERA-CATAÑO,J.I. Caracterización florística y estructural de la vegetación vascular en áreas con diferente condición de abandono en la cantera Soratama, localidad de Usaquén, Bogotá. Universitas Scientiarum, 12 (número especial 2),2007, p. 25-45. [ Links ]
[15] GÓMEZ, G.N.A. Estudio florístico de dos sitios localizados en el sector el cóndor del Parque Nacional Natural Munchique, Municipio de El Tambo, Departamento del Cauca, Colombia [Tesis Ingeniería Forestal].Popayán (Colombia): Universidad de Cauca, Facultad de Ciencias Agropecuarias, Departamento de Ciencias Agropecuarias, Programa de Ingeniería Forestal, 2008, p. 43-51. [ Links ]
[16] GENTRY, A., WOLF, J.H. y CASTAÑO, C. Bosque de niebla de Colombia. 1 ed. Bogotá (Colombia): Banco de Occidente, 1991, p. 28-35. [ Links ]
[17] DAZA, M. y SUAREZ, C. Estructura y diversidad florística de dos bosques naturales, Municipio de Buenos Aires, Departamento del Cauca Colombia [Tesis Ingeniería Forestal]. Popayán (Cauca): Facultad de Ciencias Agropecuarias, Departamento de Ciencias Agropecuarias, Programa de Ingeniería Forestal, 2009, p. 53. [ Links ]
[18] CABRERA, W.H. Diversidad florística de un bosque montano en los Andes tropicales del noroeste de Bolivia. Ecología en Bolivia, 40(3), 2005, p. 380-395. [ Links ]
[19] ROMERO-SALTOS, H., VALENCIA, R. y MACÍA, M.J. Patrones de diversidad y rareza de plantas leñosas en el Parque Nacional Yasuni y la Reserva Étnica Huaorani, Amazonia Ecuatoriana. En: Evaluación de Recursos no Maderables en la Amazonia Noroccidental. Amsterdam (Holanda): IBED, Universiteit van Ámsterdam, Amsterdam, 2001, p. 52. [ Links ]
[20] COLOMBIA. MINISTERIO DE MEDIO AMBIENTE, VIVIENDA Y DESARROLLO TERRITORIAL. Resolución número 383. Declaración de las especies silvestres que se encuentran amenazadas en el territorio nacional. Bogotá (Colombia): 2010.P. [ Links ]
[21] ORWA, M., KINDT, J. and SIMONS, A. Agroforestree Database: a tree reference and selection guide version 4.0[online]. 2009. Disponible enInternet:http://www.worldagroforestry.org/af/treedb/. [citado 15 de septiembre de 2010] [ Links ].












