Introducción
En las últimas décadas se ha observado un incremento en los efectos erosivos en Colombia, lo cual pone en riesgo tanto las infraestructuras como el paisaje. Martínez (1993) presenta un escenario donde al modificar las corrientes, y en general las condiciones oceanográficas, se produciría un desequilibrio en el ambiente dinámico costero. Tal fenómeno podría verse reflejado, entre otros, en la erosión severa en determinados sectores de la costa. Rangel-Buitrago et al. (2015) afirman que las evidencias de la erosión costera se atribuyen a factores naturales como los cambios del nivel del mar, la altura de oleaje, el desequilibrio en el balance de sedimentos, entre otros, que interactúan junto con un número creciente de intervenciones antropogénicas.
Núñez-Ravelo (2017) refuerza esta posición al resaltar que los estudios de la evolución geomorfológica buscan explicar, mediante diversas técnicas y herramientas, no solo los agentes y procesos involucrados en su dinámica, sino también las posibles amenazas y afectaciones a las que pueden estar expuestas. A su vez, Molina-Flórez (2014) resalta que el transporte de sedimentos a lo largo de la costa es uno de los procesos más importantes en el control de la morfología de las playas, puesto que determina en gran medida si la costa está erosionando, creciendo o se encuentra estable. Por tanto, el estudio de la geomorfología costera, las características y la modelación hidrodinámica litoral aportan al entendimiento de la dinámica del sector costero del Atlántico para abordar la problemática de la erosión.
Sin embargo, en los estudios que se han llevado a cabo sobre las líneas costeras aún no se ha analizado la relación del balance sedimentario con el clima marítimo en las costas colombianas. En Colombia, muchas de las soluciones de erosión costera fueron mal diseñadas y construidas apresuradamente, sin un conocimiento adecuado de las características hidrodinámicas y morfodinámicas de la zona, afectando negativamente a los ecosistemas (Rangel-Buitrago et al., 2018). Por ende, el entendimiento de las condiciones del oleaje y su influencia en los procesos erosivos permitirá una mejor gestión de riesgo costero y, a su vez, un manejo integral de las zonas costeras. Lo anterior tiene en cuenta que los estudios hidrodinámicos del oleaje en aguas someras y del transporte potencial longitudinal de sedimentos a distintas escalas permiten un diagnóstico más preciso tanto de las causales de erosión como del diseño de medidas certeras de mitigación y/o prevención de riesgos a largo plazo.
Asimismo, el estudio de los cambios de la línea de costa a escala intraanual e interanual se puede abordar mediante sistemas de información geográfica (SIG), puesto que permiten hacer cálculos usando técnicas geoespaciales. En este estudio, la herramienta de extensión Digital Shoreline Analysis System (DSAS) es eficaz para facilitar un análisis exhaustivo del progreso histórico y temporal de la geometría de los acantilados y la alteración de las posiciones de las costas (Moore, 2000; Oyedotun, 2014; Nassar et al., 2019). La extensión DSAS es un componente del proyecto Coastal Change Hazards del Servicio Geológico de EE. UU., el cual permite realizar cálculos de los cambios de la costa.
La presente investigación intenta esclarecer la relación de los procesos hidrodinámicos del oleaje con el transporte potencial longitudinal de sedimentos, de acuerdo con los procesos sedimentarios desde Bocas de Cenizas hasta la playa Caño Dulce en el departamento del Atlántico (Colombia).
Área de estudio
La zona de estudio comprende la línea de costa del departamento del Atlántico, ubicada al noroeste de Colombia (Figura 1). El área de estudio abarca los municipios de Barranquilla, Puerto Colombia y Tubará, donde se localizan ocho playas de alta afluencia turística.
Según Mendivelso et al. (2010), los depósitos marinos de playa (Qmp) se encuentran a lo largo de la línea de costa, ante todo compuesta por arenas de grano fino a medio, e incluye restos de material de bioclastos localizados en las playas actuales debido a la acción mecánica del oleaje y a las corrientes marinas; esto permitió la formación de las siguientes unidades geomorfológicas: espigas, barras, zonas de manglar, ciénagas, entre otras.
Por la situación geográfica, las playas tienen un régimen climático influenciado por los desplazamientos norte-sur de la zona de convergencia intertropical (ZCIT) (Poveda, 2004). La climatología de la zona se caracteriza por tener dos épocas climáticas diferentes en el año. La estacionalidad de la posición de la ZCIT corresponde a la estación seca (diciembre a abril), y de lluvias (agosto a octubre) (Pujos etal., 1986; Etter etal., 1987). Asimismo, en el año ocurren dos épocas de transición. La estación de transición comprende los meses de abril a junio, caracterizada por algunas lluvias; mientras que, el periodo de veranillo se presenta como una época de aumento temporal de los vientos alisios comprendida entre junio a agosto (Magaña et al., 1999).
A su vez, el oleaje presente en la zona de estudio muestra un comportamiento bimodal por los vientos Alisios del NE que coincide con los periodos de viento fuerte (época seca) y de vientos más débiles (época húmeda) (Osorio et al., 2009). Dada estas circunstancias, en época seca la altura de oleaje significativa (H) tendría valores promedios de 1 a 1,25 metros, mientras que, durante la época húmeda se darían valores medios de 0,5 metros (Orejarena-Rondón et al., 2015).
Metodología
Señalar la evolución de las líneas de costa es un elemento esencial para detectar los terrenos más sensibles a distintos peligros costeros. Se destaca que esta clase de estudio permite evaluar el estado de la costa y formaría la primera línea base para la evaluación de vulnerabilidad útil en cualquier toma de decisiones costeras (Anfuso y Martínez del Pozo, 2005; Rangel-Buitrago y Anfuso, 2015).
El estudio de la dinámica del transporte potencial longitudinal de sedimentos permite asociar la evolución de las líneas de costa con los procesos de acumulación de sedimentos, teniendo en cuenta la influencia del oleaje. A su vez, los parámetros del TPLS evidencian los procesos de avance o de retroceso en la costa durante las distintas épocas climáticas.
La metodología aplicada al área de estudio requirió de las siguientes etapas fundamentales: i) caracterización de la zona de estudio mediante información secundaria para los datos del modelo de oleaje; ii) realización de una campaña de campo para la caracterización de las playas; iii) implementación del modelo de oleaje espectral SWAN (Simulating WAves Nearshore) (Booij et al., 1999); iv) descripción de las propiedades hidrodinámicas del oleaje a escala intraanual e interanual del área de estudio; v) estimación del transporte potencial longitudinal de sedimentos a partir de la aplicación de las formulaciones de transporte potencial litoral de sedimentos propuestas por Coastal Engineering Research Center - Shore Protection Manual (CERC, 1984) y Kamphuis (1991); y vi) evaluación de los cambios históricos de la línea de costa con la herramienta de ARCGIS 10,5 con la extensión DSAS versión 4,3 de la USGS.
Campaña de campo
Para determinar el transporte longitudinal de sedimentos, se realizó una campaña de campo que se llevó a cabo en febrero de 2021. Durante la salida de campo se realizaron distintos perfiles de playa con el propósito de evaluar la pendiente de la playa y su granulometría. Se recolectaron ocho muestras de sedimentos en la zona de swash de las playas visitadas. Los puntos de control exhiben distintos tipos de playas debido a factores como las variadas características del oleaje y del transporte de sedimentos (ver Figura 1).
Modelo SWAN
Las simulaciones numéricas se realizaron con el modelo de oleaje espectral SWAN. El modelo numérico efectúa la propagación del oleaje de fondo (swell) y el oleaje local (sea) generado por el viento local, tomando en cuenta la fricción del fondo que permite reproducir de manera adecuada la transformación del oleaje como la refracción, difracción, disipación de energía por rotura, entre otros.
El modelo SWAN da respuesta a la ecuación del balance de la acción de la onda:
En el lado izquierdo de la ecuación se manifiestan los cambios de frecuencia relativa, la refracción, entre otros; es decir, los cambios locales y los cambios advectivos. En contraste, del lado derecho de la ecuación se manifiestan los resultados de la fuente de sumideros de energía, entre estos los vientos, el oleaje y la fricción del fondo. N (σ, θ) representa la densidad de acción de la onda y está definida como N = E(σ, θ)/σ, donde E es el espectro de densidad de energía y a es la frecuencia angular en la cual se distribuye la energía del oleaje; C g es la velocidad de grupo en el espacio, θ es la dirección de propagación de la onda y S es la fuente y sumideros de energía.
Caracterización y generación del oleaje
La fiabilidad del modelo SWAN está definida por la comparación de los datos de reanálisis con datos instrumentales mediante distintos índices como: Willmott, Pearson y error cuadrático medio. El indicador de Willmott muestra el error cuadrático medio de la diferencia entre los valores esperados y observados. Si los valores de Willmott son próximos a 0 indica una disociación completa, mientras que si el valor es más próximo a 1 indica una perfecta asociación de los datos medidos y modelados (Willmott, 1981).
Vega-Fuentes (2017) calibró el modelo SWAN a partir de la comparación con datos medidos de la boya de DIMAR 41194 ubicada en Puerto Bolívar en las coordenadas (12°21'4"N 72°13'4"W), donde se encontró un buen ajuste que asciende al 89,5%. La configuración utilizada por Vega-Fuentes (2017) coincide con los empleados por Ortiz et al. (2014), en el que realizaron una calibración previa a partir de las series de oleaje medidas en la boya de la DIMAR.
Para obtener las series sintéticas del oleaje en la costa del Atlántico, se requiere implementar el modelo SWAN a lo largo de la zona litoral. Los datos propagados con el modelo SWAN provienen de la boya de reanálisis de la NOAA, la cual tiene en cuenta factores como la batimetría, el viento y el oleaje. La boya está ubicada al noroccidente del tajamar de Bocas de Ceniza, aproximadamente a unos 29 km de Punta Roca. Esta serie tiene una extensión de 40 años desde 1979 hasta 2018.
El modelo SWAN fue implementado en una malla computacional rectangular de resolución espacial de 200 metros. En la Figura 2 se exhibe el dominio computacional empleado por SWAN; los puntos negros a lo largo de la costa representan la localización del registro temporal de la altura de ola, periodo de pico y dirección. Se obtuvieron alrededor de 105 puntos a lo largo de la costa del Atlántico, con una distancia aproximada de 200 metros entre cada punto. La configuración del modelo fue la empleada por Vega-Fuentes (2017), el cual había sido calibrado previamente para la zona.
Transporte potencial longitudinal de sedimentos
Para poder estimar el transporte potencial longitudinal de sedimentos en el área de estudio, se emplearon las siguientes fórmulas: CERC (1984) y Kamphuis (1991). Las formulaciones anteriores tienen aplicaciones para el estudio de costas a nivel mundial para el cálculo del transporte longitudinal de sedimentos.
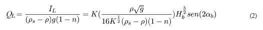
Fórmula CERC (1984) o método delflujo de energía: la ecuación propuesta por CERC menciona que, el transporte de sedimentos es directamente proporcional al flujo medio de la energía de la ola en la zona de rompientes. Para estimar dicha tasa se tiene en cuenta el transporte de peso sumergido (I L ) y la tasa de transporte volumétrico (QL), cuya relación resulta en la tasa potencial de transporte de sedimentos en términos de volumen:
Donde H b y α b son la altura de ola en rotura y el ángulo de rotura del oleaje respecto a la línea de costa; p es la densidad del sedimento; p, la densidad del agua de mar; g es la aceleración gravitacional; n es la porosidad; (1-n) Q L es el volumen sólido de transporte; y K es el índice de rotura.
Para la fórmula de CERC, se consideran tres valores de K, tomando en cuenta a varios autores: el propuesto por Kamphuis et al. (1986), en donde propone una nueva fórmula en la que K es inversamente proporcional al diámetro medio del sedimento (D50); Komar e Inman (1970) introducen un valor de diseño recomendado de K = 0,77 para su utilización de la altura de ola media cuadrática (H rmsb );CERC (1984) propone un valor K=0,39 constante basado en cálculos, donde se utiliza la altura de ola significante.
FórmulaKamphuis (1991)o método del análisis dimensional: la ecuación fue propuesta por Kamphuis, y está basada en un análisis adimensional puesto que muchos de los procesos físicos y sus interacciones no son bien conocidos. Por tanto, Kamphuis determinó que el transporte de sedimentos a lo largo de la costa, como la masa sumergida en kg/s, está dado por la siguiente fórmula:
Donde H b es la altura de ola en rotura; T p , el periodo de pico; m b es la pendiente de la playa; D50 es el diámetro medio; y α b es el ángulo de rotura del oleaje respecto a la línea de costa.
Evaluación geoespacial con la extensión DSAS
Se usaron imágenes históricas de Google Earth de los años 2005 al 2020 del mes de enero para evaluar la evolución del litoral. Se digitalizaron de forma manual las distintas líneas de costa de los años 2005 al 2020, las cuales fueron convertidas en formato shapefiles, suavizadas y combinadas en ARCGIS. Las líneas de costa están definidas como la frontera entre la tierra y el mar, cuyos cambios continuos se deben a un entorno ambiental dinámico (Mentaschi et al., 2018).
La capa combinada de las diferentes líneas de costa se denominó shoreline. La línea base se generó con una amortiguación de 10 m con la herramienta buffer. A partir de las capas de baseline y shoreline se pudieron generar transectos a 2000, 1500 y 500 metros usando la herramienta DSAS, con un espaciado de 10 metros para evaluar los cambios en la deriva litoral. La capa shoreline comprende los periodos de tiempo en formato de archivo que le permite a la extensión de DSAS estimar las útiles tasas de cambio en la línea costera.
Adicionalmente, se tomaron en cuenta los cálculos de Linear Regression Rate (LRR) y End Point Rate (EPR). El método de regresión lineal determina la tasa de cambio mediante una tendencia lineal entre las fechas más antiguas y recientes de la línea costera, mientras que EPR solamente toma en cuenta dos líneas de costa, y su resultado se basa en la división de la distancia del movimiento de la costa por el tiempo transcurrido entre las mediciones iniciales y las más recientes (Baig et al., 2020).
Resultados
Variabilidad intraanual e interanual del oleaje
En la Figura 3 se observa la distribución acumulada y la dirección del oleaje, a partir de la serie de oleaje de la boya BV_11,17N_75,0W, con información de cada 3 horas. Entre los años 1979 y 2018 se encuentra un rango de altura de ola significante (H s ) desde 0,1 m hasta 4,86 m. Respecto a la distribución acumulada, se puede analizar que el 99% y 90% del tiempo H s tiene valores por debajo de 3,32 a 2,62 metros, respectivamente. Estas olas extremas en la costa Caribe colombiana se pueden asociar a huracanes o frentes fríos (Ortiz-Royero, 2012; Rangel-Buitrago y Anfuso, 2013). La dirección predominante del oleaje es del NE con un 94,1% de frecuencia.

Figura 3 Características hidrodinámicas de la boya 11,17N_75,0W. A. Distribución acumulada. B. Boxplot a escala media mensual. C. Dirección del oleaje. D. Transformada de Fourier a escala media mensual.
Para el análisis intraanual del oleaje en aguas profundas, se obtuvieron los promedios mensuales desde 1980 hasta 2018. Se omitió el año de 1979 debido a la ausencia de datos para el cálculo de la media mensual. Los resultados muestran que los eventos de frentes fríos (diciembre a mayo) muestran incrementos por los vientos alisios, mientras que la época húmeda (agosto a noviembre) demuestra una disminución en la altura del oleaje debido al aumento de las precipitaciones y al debilitamiento de los vientos alisios del norte (ver Figura 3B). Asimismo, los puntos negros evidencian valores atípicos de la media mensual multianual cuyo intervalo se encuentra entre 1,2 a 3 metros en los meses de enero, febrero, mayo y diciembre.
Para identificar los fenómenos intraanuales e interanuales que influyen en la altura y en la dirección de oleaje, se graficó la transformada de Fourier (ver Figura 3D). Los armónicos más significativos de la transformada de Fourier (ver Tabla 1) exponen el 69,7% de la varianza de la serie, por tanto, se puede destacar que las mayores influencias poseen una ciclicidad semestral a anual. Asimismo, el oleaje estaría influenciado por fenómenos intraestacionales e interanuales como la migración de la zona de convergencia intertropical (ZCIT) o el Niño Oscilación del Sur (ENSO). Los periodos de estos fenómenos estarían asociados a una periodicidad cuatrimestral, semestral y anual, respectivamente.
A continuación, para el análisis, y por el espacio, se seleccionaron puntos de interés a lo largo de la costa de estudio y también más cercanos a la ubicación de las playas visitadas en la salida de campo realizada en este trabajo. El intervalo correspondiente va desde 224 metros a 1 kilómetro.
En la Figura 4, se pueden observar las rosas del oleaje respecto a la ubicación de los datos seleccionados. Con base en los resultados, la dirección del oleaje viene del norte con olas predominantes entre 0,5 a 1,0 m de altura. Sin embargo, en la marina de Puerto Velero y Playa Caño Dulce se evidencia una dirección preeminente del W-SW con alturas de 0,05 metros, debido a que la ubicación de estos puntos de registro se encuentra en una playa protegida, lo que implica una refracción de los frentes de oleaje.

Figura 4 Rosas de oleaje desde Bocas de Ceniza hasta Playa Caño Dulce. A. Bocas de Ceniza. B. Country Sabanilla. C. Puerto Colombia. D. Puerto Velero. E. Playa Caño Dulce. F. Ubicación de las boyas de retroanálisis.
Teniendo en cuenta las series propagadas del modelo SWAN en cada punto, se procedió a graficar la distribución acumulada (ver Figura 5). En primer lugar, en el caso de Bocas de Ceniza, el 75% del tiempo las olas se encuentran con valores menores a 0,6 m. Ortiz et al. (2014) afirman que los resultados reflejan principalmente los efectos de refracción, la difracción y reflexión debido al tajamar de Bocas de Ceniza. En cuanto a la distribución acumulada, cabe resaltar que las playas del Country Sabanilla, Punta Sabanilla, Castillo de Salgar, Puerto Colombia y Puerto Velero, el 50% del tiempo se encuentran en un intervalo de 0,875 a 1,003 metros de altura. Para los casos extremos del oleaje, los valores se encuentran por encima de 1,7 metros de altura. En segundo lugar, las olas de playa Caño Dulce y la marina de Puerto Velero poseen una media de 0,008 a 0,007 metros de altura, lo cual confirma que son playas protegidas.

Figura 5 Distribución acumulada de H s desde Bocas de Ceniza hasta Playa Caño Dulce. A. Bocas de Ceniza. B. Country Sabanilla. C. Puerto Colombia. D. Puerto Velero. E. Playa Caño Dulce. F. Ubicación de las boyas de retroanálisis.
Se analizaron los regímenes extremos de oleaje en las playas de Country Sabanilla y de Puerto Colombia por ser playas en donde se presentan los máximos de H s con un valor de 2,5 metros, y estas exhiben espolones u otros factores antrópicos. La altura de ola con periodo de retorno de 25 años para el caso de la playa de Country Sabanilla registra un valor de 2,5 metros, mientras que el periodo de retorno de 50 años indica un resultado aproximado de 2,65 metros. Las distintas zonas costeras de este trabajo exponen valores similares, a excepción de Bocas de Ceniza, marina de Puerto Velero y playa Caño Dulce, debido a los procesos de disipación de energía que ocurren en la sección de estas playas, los cuales son muy importantes para evitar desastres por eventos extremos del oleaje. El evento más intenso de oleaje ocurrió en Puerto Colombia en marzo del 2009 por un frente frío, el cual derrumbo gran parte del muelle, provocando un aumento en el retroceso de línea de costa (Ortiz et al., 2014).
Comportamiento medio anual del oleaje
Tomando en cuenta que el oleaje propagado hacia la isobata de 5 m se sigue comportando como oleaje de aguas intermedias, y que todavía no se obtiene la altura del oleaje en rotura para la correcta aplicación de las formulaciones de transporte litoral de sedimentos, se optó por ajustar estos datos mediante la teoría lineal hacia la zona de rotura en cada sector de la costa de estudio. Para ello, se definió como coeficiente de rotura la relación: h b = H b /0,8, en donde h b representa la profundidad de rotura y H b representa la altura de ola en rotura. En la Figura 6 se muestran los promedios mensuales de la altura de ola significante, el periodo y la dirección para las siguientes ubicaciones: Bocas de Ceniza, Punta Sabanilla y Puerto Colombia.
La mayor parte del oleaje tiene dirección predominantemente del norte, con periodos medios entre 6 a 8 s (ver Figura 6). Punta Sabanilla y Puerto Colombia muestran comportamientos similares respecto a la altura de oleaje, aunque, en el caso de la marina de Puerto Velero y Playa Caño Dulce, la serie presenta máximos valores alrededor de los 0,08 metros. Cabe añadir que el comportamiento de las series mensuales multianuales tiene una ciclicidad semestral a anual, asociada con fenómenos como la migración de la zona de convergencia intertropical (ZCIT).
En la Figura 7 se presentan las series de oleaje mensuales multianuales en la zona de rompientes. Para el caso de los máximos de altura significante del oleaje, se manifiestan entre diciembre a marzo, asociados a periodos de 7 s, y una dirección media norte, relacionada con el incremento de los vientos alisios en esta época del año para el Caribe colombiano. Mientras que las menores alturas de ola se encuentran entre abril y noviembre asociadas a un descenso en las intensidades de los vientos alisios.
Capacidad del transporte potencial longitudinal de sedimento (TPLS)
Para las ocho estaciones de campo, se recolectaron muestras de sedimentos en la zona de swash de las playas, a las cuales se les realizó el análisis granulométrico con el propósito de determinar el diámetro medio del sedimento (DJ0). En la Tabla 2 se ilustran los valores de la granulometría y de la pendiente de la playa. De acuerdo con el tamaño, los sedimentos que están entre 0,250 y 0,125 mm corresponden a la clasificación de arena fina. Además de los datos granulométricos y de las pendientes para calcular el TPLS, se usaron otros valores como la densidad del agua de mar (1025 kg/m3), la densidad del sedimento, cuyo valor oscila entre 2400 a 2600 kg/m3 y la porosidad (0,30 a 0,35). Para el caso del castillo de Salgar, se usaron los valores de 2600 kg/m3 y de 0,35.
De acuerdo con los datos de la Tabla 2, la mayoría de las playas se encuentran en la clasificación de playas intermedias a disipativas. Las playas disipativas poseen un tamaño de grano menor a 0,2 mm y una pendiente menor de 2°, tal son los casos de P1, P7 y P8. De lo anterior, se evidencia que la mayoría de las playas del norte del Atlántico se pueden considerar como playas intermedias, puesto que no poseen características de las playas reflectivas con un tamaño de grano mayor a 0,5 mm.
Tomando en cuenta la serie de oleaje a escala mensual, medio mensual multianual y medio anual, se calculó el TPLS mensual, medio mensual y medio anual para cada una de las estaciones de campo a lo largo de la costa del Atlántico. En las Figuras 8 y 9 se muestran los resultados de las tasas de TPLS a escala mensual de las ubicaciones de P1, P2, P5 y P6. Las distintas gráficas muestran variados resultados para las formulaciones de CERC y de Kamphuis (1991), puesto que se usaron diferentes parámetros para el valor de K tomando en cuenta a los distintos autores, Kamphuis et al. (1986) proponen que K es la inversa proporcional al diámetro medio del sedimento; Komar e Inman (1970) introducen un valor de K de 0,77 y CERC (1984) presente un valor de K de 0,39.

Figura 8 Series de transporte potencial longitudinal de sedimentos a escala mensual multianual, de acuerdo con las diferentes formulaciones propuestas para los puntos P1 y P2.

Figura 9 Series de transporte potencial longitudinal de sedimentos a escala mensual multianual, de acuerdo con las diferentes formulaciones propuestas para los puntos P5 y P6.
Los resultados anteriores muestran que los valores indicados por Kamphuis (1991) son los que generan mayores tasas de TPLS. En las Figuras 10, 11 y 12 se evidencia un patrón similar para cada uno de los resultados propuestos por CERC y Kamphuis. A partir de las ecuaciones anteriormente mencionadas, se puede suponer que los valores de CERC tienen el parámetro sensible de K, mientras que la ecuación de Kamphuis (1991) presenta valores sensibles a otras variables. Además, las figuras anteriormente mencionadas exhiben un comportamiento similar al de la Figura 7, lo cual indica que las series de TPLS exhiben un comportamiento parecido al de las series de oleaje.

Figura 10 Series de transporte potencial longitudinal de sedimentos a escala medio mensual multianual, de acuerdo con las diferentes formulaciones propuestas para los puntos P1, P2 y P3.

Figura 11 Series de transporte potencial longitudinal de sedimentos a escala medio mensual multianual, de acuerdo con las diferentes formulaciones propuestas para los puntos P4, P5 y P6.

Figura 12 Series de transporte potencial longitudinal de sedimentos a escala medio mensual multianual, de acuerdo con las diferentes formulaciones propuestas para los puntos P7 y P8.
En el rango de Figuras 8-13 se observa una diferencia significativa en los parámetros de Kamphuis (1991) en comparación con CERC. Especialmente la Figura 12, donde se presenta el máximo en la Marina de Puerto Velero de CERC de Komar e Inman (K = 0,77) de 36 m3/mes, mientras que Kamphuis (1991) tiene un máximo de 950 m3/mes. La gran diferencia de los valores se debe principalmente a que Kamphuis (1991) consideró parámetros como la pendiente, la granulometría y el periodo.

Figura 13 Series de transporte potencial longitudinal de sedimentos a escala medio anual compuesto por las diferentes ecuaciones propuestas.
Cabe añadir que en la Figura 13 se ilustran los puntos representativos de la salida de campo a una escala media anual. Se puede observar que los valores más altos de la ecuación presentada por CERC corresponden al uso del valor constante de K de 0,77, propuesto por Komar e Inman (1970). Los puntos presentados de las tasas de TPLS de mayor a menor orden de Komar e Inman (1970) son P2, P3, P4, P5, P6, P1, P7 y P8, respectivamente. Por otro lado, las mayores tasas de TPLS de la zona de estudio se evidencian a partir de la ecuación de Kamphuis (1991), cuyo orden de mayor a menor en los puntos estudiados sería P6, P2, P4, P5, P3, P1, P7 y P8. Comparando los resultados de la TPLS media anual con la ubicación de los puntos de control, se puede asumir que las mayores tasas de transporte de sedimentos están asociadas a las zonas de mayor actividad erosivas en el norte del departamento del Atlántico.
Tasas de cambio de la línea costera del Atlántico del 2005 al 2020
Los mapas de erosión y de acreción se realizaron mediante los cálculos de LRR y EPR para poder analizar cuál es el método más eficiente al momento de evaluar los cambios en las líneas de costa. En la Figura 14, se observan los resultados de LRR, en donde se evidencia que este procedimiento cuenta con un análisis estadístico más amplio al evaluar varias líneas de costa. Por otro lado, el EPR solo manifiesta los resultados de la línea de costa del 2005 y del 2020.

Figura 14 Acreción y erosión de la costa del departamento del Atlántico, Colombia calculado mediante LRR y EPR.
Las tasas de cambio en la línea costera del Atlántico están definidas por línea base con longitud de 40,62 km, creada por un buffer con una amortiguación de 10 metros, cuyos transectos están definidos cada 10 metros. En la Figura 14 se ilustran las tasas de erosión y de acreción divididas en cinco categorías a lo largo de los municipios de Barranquilla, Puerto Colombia y Tubará. Los valores máximos de erosión y de acreción pueden llegar a -64,20 m/año y 138,70 m/ año, respectivamente, a lo largo de los últimos 16 años.
Por otro lado, la Tabla 3 indica los porcentajes de erosión, acreción y de estabilidad mostrados por el LRR y EPR a lo largo de la deriva litoral. Al calcular los resultados en el cambio de la tasa de erosión y de acreción, se evidencia que estos representan 20 y 13 km de longitud, respectivamente. Por lo anterior, los resultados de LRR y EPR llegan a la misma conclusión: las playas del Atlántico están en la categoría de moderadamente erosionadas.
Categorización de las tendencias generales de los cambios de las costas de Barranquilla, Puerto Colombia y Puerto Velero
Para analizar las diferentes clases de erosión y de acreción presentes en los diferentes municipios, se optó por el método de LRR para identificar los cambios en la línea costera en los últimos 16 años. Las Tablas 4, 5 y 6 muestran las diferentes clases propuestas para el análisis de costa desde el 2005 hasta el 2020. En las tablas anteriormente mencionadas, se ilustra la longitud total de la línea de costa, el número de transectos y el porcentaje de las diferentes clases de análisis.
Tabla 4 Diferentes clases de análisis de la línea costera de Barranquilla, Atlántico, utilizando Linear Regression Rate (LRR).
Tabla 5 Diferentes clases de análisis de la línea costera de Puerto Colombia, Atlántico, utilizando Linear Regression Rate (LRR).
Análisis de la evolución costera del Atlántico respecto a los 4 y 16 años significativos
Se analizaron 4 años significativos de las líneas de costa de los años 2007, 2011, 2015 y 2019 con diferencias de 4 años, debido a los distintos eventos climatológicos que han ocurrido durante ese lapso de tiempo como los fenómenos intraestacionales e interanuales, y asimismo evaluar si el DSAS tiene la capacidad de proporcionar resultados similares.
Para evaluar las disimilitudes existentes de acreción y de erosión de los años del 2005 al 2020 con respecto a los 4 años representativos de 2007, 2011, 2015 y 2019, se optó por relacionar los resultados con la evolución del litoral usando imágenes históricas de Google Earth del 2011, 2015 y 2019. Se identifica, en la Figura 15, la evolución de las líneas de costa de Puerto Velero, Puerto Colombia y ciénaga de Mallorquín, comparando los resultados propuestos del LRR para 4 y 16 años significativos. En primera instancia, se observan resultados similares en el caso de Puerto Velero, que se caracteriza como una de las playas que no manifiesta afectaciones a nivel antrópico a lo largo de los años.

Figura 15 Imágenes satelitales de Google Earth y los cambios en la línea costera calculados en Puerto Velero, Puerto Colombia y ciénaga de Mallorquín.
Para los casos de Puerto Colombia y ciénaga de Mallorquín, estos muestran variadas diferencias entre el 2005 y el 2020, probablemente a causa de los cambios antrópicos que han ocurrido a lo largo de los últimos 15 años. Por ejemplo, en el caso de Puerto Colombia, la instalación de estructuras duras ocasiona un desequilibrio en el balance de sedimentos; es decir, que los factores antrópicos en la costa ocasionan que de un lado de la playa se estén acumulando sedimentos, mientras que el otro lado se erosiona. Por ende, los cuatro años significativos no son suficientes para explicar la evolución histórica de las costas que presentan factores antrópicos.
Discusión
Los resultados del presente trabajo reflejan que cuando se proyecta el oleaje de aguas profundas a aguas someras en la costa del norte del departamento del Atlántico, el oleaje cambia su dirección y su altura de ola debido a los marcados procesos de refracción y difracción. Con base en lo anterior, sobre todo en aguas profundas, H s presenta valores marcados de 1,8 a 2,2 el 50 y 75% del tiempo, predominantes del N. Sin embargo, al proyectar estos valores a aguas someras, los valores típicos de H s se convierten en valores de 1 a 1,24 metros, respectivamente. Por lo tanto, los valores máximos significativos (relacionados con los eventos extremos) en la costa del Atlántico para los casos de aguas someras tendrían valores aproximados de 2,5 metros. Olas de estas magnitudes poseen periodos de retorno de ~25 años, lo que provoca graves daños a la infraestructura cercana a la costa. Debido a las afectaciones ocasionadas por los eventos extremos, las playas requieren de un largo periodo de recuperación para volver a su estado de equilibrio (Benavente et al., 2000; Rangel-Buitrago y Anfuso, 2011; Cueto y Otero, 2020).
La transformada de Fourier asume que los fenómenos intraestacionales influyen en la zona de estudio con una periodicidad cuatrimestral, semestral y anual. Estas ciclicidades se asocian a fenómenos de escala intraanual, tales como la zona de convergencia intertropical (ZCIT). Por otro lado, la serie mensual multianual indica que los fenómenos intraestacionales comprenden dos épocas climáticas (seco y húmedo) correspondientes a la estacionalidad de la ZCIT (Pujos et al., 1986; Etter et al., 1987). Teniendo en cuenta lo anterior, los resultados demuestran un comportamiento trimestral asociado a dos épocas secas y dos épocas húmedas con diferentes intensidades. La época seca abarca los meses de diciembre hasta febrero y de junio hasta agosto; mientras que, por su parte, la época húmeda abarca los periodos de septiembre hasta noviembre y marzo hasta mayo. Las distintas estaciones corresponderían al aumento o disminución de la altura significativa del oleaje H s , respectivamente.
El método más efectivo al evaluar la evolución del litoral fue el LRR, cuyos parámetros están basados en más de dos líneas de costas. Al comparar la acreción y la erosión de las diferentes clases de análisis para los distintos municipios, se puede observar que la erosión dominante se encuentra en Puerto Colombia, y la acreción más activa en Barranquilla. Según los estudios de Rangel-Buitrago et al. (2015), la playa de Puerto Colombia, a lo largo de 6,5 km de longitud, tiene valores de erosión que alcanzan los -29,5 m/año.
Los parámetros de Kamphuis (1991) muestran una alta disimilitud en comparación con los resultados CERC, siendo las diferencias significativa elementos como la pendiente, la altura de ola, la granulometría y el periodo. Según los estudios de Molina-Flórez (2014) en el Golfo de Urabá, el TPLS a escala media anual en CERC de Komar e Inman (1970) evidencia máximos de 6x104 m3/año, y en Kamphuis (1991) de hasta 400 m3/año. Por el contrario, en el norte del departamento del Atlántico los valores de CERC de Komar e Inman (1970) tienen valores próximos de 8x106 m3/año, mientras que Kamphuis (1991) tiene resultados de hasta 2x108 m3/año. La gran diferencia entre los parámetros de CERC y Kamphuis se debe principalmente a la sensibilidad de los coeficientes en la altura de ola H s , el periodo pico T p , y a b el ángulo de rotura del oleaje respecto a la línea de costa.
Las diferentes formulaciones del TPLS muestran que los sectores de Punta Sabanilla y Country Punta Sabanilla presentan los valores más altos propuestos por CERC, a la vez que explican las tasas de erosión con base en los parámetros de H. Algunos sectores con las formulaciones de CERC no coinciden con la evolución de la línea de costa. Sin embargo, estos datos pueden dar una aproximación al transporte de sedimentos basado en la altura del oleaje. En contraste, los resultados de Kamphuis (1991) en los sectores de Puerto Velero y Punta Sabanilla tienen valores aproximados de 2x106 m3/año, cuyos resultados son acordes a zonas de moderada erosión.
Por otro lado, se evidencia una relación de la morfología de las playas con los resultados del TPLS. Por ejemplo, en el castillo de Salgar se presenta una playa tipo intermedia con una media de tamaño de grano de 0,343 mm, lo cual indica una alta capacidad de transporte de sedimentos. Caso contrario sería Bocas de Ceniza, que al tener valores de media granulométrica, pendiente y oleaje muy bajos, se clasifica como una playa tipo disipativa con poca capacidad de transporte. Cabe resaltar que, al comparar la disponibilidad del material transportado, la pendiente, el oleaje y otros factores, puede establecerse si el tipo de playa se encuentra en procesos de acumulación o de erosión, los cuales a su vez tienen una relación con el TPLS. Asimismo, teniendo en cuenta los valores obtenidos del TPLS, la altura de ola H s y el material disponible en estos tipos de playa, existe mayor posibilidad de relacionar la evolución de la línea de costa con respecto al transporte potencial longitudinal de sedimento.
Con base en los resultados, se puede discutir que 4 años representativos para la descripción de la evolución costera son suficientes para dar una aproximación a las tasas de acreción y de erosión en la zona de estudio dentro de una escala temporal de medio plazo. Con los datos suministrados del 2005 al 2020 se obtiene un resultado más completo en ciertos sectores de la costa como Puerto Colombia y Bocas de Ceniza. En otras palabras, para el análisis de las costas que manifiestan la instalación de estructuras duras, se deben evaluar más de 4 años de línea de costa por los desequilibrios ocasionados por los factores antrópicos.
Los valores obtenidos del TPLS con la formulación de Kamphuis (1991) se pueden asociar a la evolución del litoral, ya que se puede apreciar en los mapas de erosión y de acreción una relación entre ambos resultados. Ubicando la localización de los datos respecto a los transectos, se registra que las mayores tasas de erosión con el TPLS corresponden a Puerto Velero y Punta Sabanilla, mientras que las menores tasas de TPLS se asocian a la categoría de acreción en donde se encuentran los sectores de Bocas de Ceniza y Country Sabanilla. Por tanto, el conocimiento de las condiciones del oleaje y del TPLS con respecto a la evolución de la línea costera permite una mejor gestión del riesgo, lo cual contribuye a una gestión integral de las costas.
Conclusiones
A partir de los diferentes resultados, en los cambios recientes en la línea de costa entre Bocas de Ceniza y Puerto Velero, se concluye que:
La altura de ola en aguas profundas presenta valores por debajo de 1,8 a 2,3 metros el 50 y 75% del tiempo evaluado, proveniente del NE. En el caso de aguas someras, H s se encuentran valores típicos de 1 a 1,25 metros, provenientes del N, cuyos valores están intervenidos por diferentes eventos a escala intraanual e interanual. Además, la mayoría de los eventos extremos se presentan en la época seca con periodos de retorno entre los 25 y 50 años.
La tasa de regresión lineal es el método más efectivo para evaluar las tasas de acreción y de erosión dentro de los métodos evaluados. Con los datos se determinó que el municipio con mayor actividad de erosión es Puerto Colombia, y la acreción más activa es Barranquilla con valores de -50,06% y 42,45%, respectivamente. A su vez, la cantidad de datos suministrados por los cambios temporales de las líneas de costa permitirá tener un mejor análisis, debido a los desequilibrios sedimentarios ocasionados por los factores antrópicos.
Las ecuaciones propuestas por CERC omiten variables como la pendiente y la granulometría, cuyos resultados no guardan relación respecto a los mapas de regresión lineal. Por otro lado, los cálculos de Kamphuis (1991) manifiestan una mejor concordancia sobre los mapas de erosión y de acreción, lo cual indica que las variables más significativas son la pendiente, la granulometría y la altura de ola.
La mayoría de las playas que se encuentran en el Atlántico están clasificadas como playas intermedias a disipativas. De acuerdo con la morfología, la ubicación y el material disponible en este tipo de playa, se tendrá una mayor probabilidad de encontrar procesos de erosión o de acreción, tal es el caso, de la ubicación del punto de campo de Bocas de Ceniza, cuya localización presenta procesos de acreción; sin embargo, en futuras ocasiones en la campaña de campo, se tendrá en cuenta la caracterización morfológica en el área de estudio cada kilómetro para determinar en mayor profundidad la relación de las características hidrodinámicas, el transporte de sedimentos y los cambios multitemporales de las líneas de costa.

























