SciELO - Scientific Electronic Library Online

 
vol.86 número210Uso de la espectroscopia Vis NIR-SWIR para la predicción del estado hídrico de las plantas de soya en el Piedemonte Llanero ColombianoProducción e impacto ambiental del aceite Ricinus Communis L como biocombustible índice de autoresíndice de materiabúsqueda de artículos
Home Pagelista alfabética de revistas  

Servicios Personalizados

Revista

Articulo

Indicadores

Links relacionados

  • En proceso de indezaciónCitado por Google
  • No hay articulos similaresSimilares en SciELO
  • En proceso de indezaciónSimilares en Google

Compartir


DYNA

versión impresa ISSN 0012-7353

Dyna rev.fac.nac.minas vol.86 no.210 Medellín jul./sep. 2019

https://doi.org/10.15446/dyna.v86n210.74851 

Artículos

Determination the coefficients of San’s model, to calculate the percentage of removal flocculent particles with three coagulants types

Determinación de los coeficientes del modelo de San, para calcular el porcentaje de remoción de partículas floculentas con tres tipos de coagulantes

Diego Alejandro Pulgarín a  

Felipe Santamaría-Álzate a  

Juan Carlos Ruge b  

Oscar Iván Orduz c  

a Facultad de Ingeniería, Programa de Ingeniería Civil, Universidad Católica de Colombia, Bogotá, Colombia. dapulgarin@ucatolica.edu.co fsantamaria@ucatolica.edu.co

b Facultad de Ingeniería, Programa de Ingeniería Civil, Universidad Militar Nueva Granada, Bogotá, Colombia. juan.ruge@unimilitar.edu.co

c Facultad de Ingeniería, Programa de Ingeniería Civil, Universidad Católica de Colombia, Bogotá, Colombia. oiorduz75@ucatolica.edu.co


Abstract

This study calculated coefficients for the model elaborated by Hasan Ali San in 1989 based on the percentage of flocculated particles removed by three coagulants commonly used for water purification. The coagulants used were type A aluminum sulfate, type B aluminum sulfate and ferric chloride. An experiment was designed to study water with initial turbidity between 25 and 30 Nephelometric Turbidity Units (NTU). The experiment consisted of filling a sedimentation column with water and colloid particles which were agitated rapidly and then slowly with compressed air. This allowed the percentage of particles removed from the remaining turbidity to be determined at different times and different depths by measuring sedimentation of the flocculated particles. Once percentages of material removed had been calculated, an isoconcentration graph was elaborated and multiple linear regression was used to determine the coefficients of the model proposed by San.

Keywords: coagulation; flocculation; isoconcentration curves; sedimentation.

Resumen

El objeto de esta investigación es determinar los coeficientes del modelo de San para calcular el porcentaje de remoción de las partículas floculentas, al utilizar tres de los coagulantes más comúnmente utilizados en la potabilización del agua. Para ello se realizaron pruebas de laboratorio que comprenden el estudio de un agua problema, la cual presenta una turbiedad inicial en un rango comprendido entre 25 y 30 UNT. Los coagulantes utilizados para el desarrollo de la prueba fueron: sulfato de aluminio tipo A, sulfato de aluminio tipo B y cloruro férrico. El experimento consiste en llenar la torre de sedimentación con las partículas floculentas generadas después de una agitación con aire comprimido, de tal manera que se genere la mezcla rápida y lenta; lo que permite que posteriormente mediante el proceso de sedimentación de las partículas floculentas, se determinen a diferentes tiempos y diferentes rangos de profundidad, el porcentaje de remoción de las partículas a partir de la turbiedad remanente. Con los porcentajes de remoción calculados se elabora una gráfica de isoconcentración y se realiza una regresión lineal múltiple para determinar los coeficientes del modelo propuesto por San en 1989.

Palabras clave: coagulación; floculación; curvas de isoconcentración; sedimentación.

1. Introduction

As water moves around and through the planet, it comes into contact with elements that change its properties. This is the result of either natural processes associated with the hydrological cycle or processes associated with human activities. These are the two main factors of water pollution. One element of changes in the properties of water that can restrict its use in certain human activities is called total solids (TS). Total suspended solids (TSS) is the fraction of TS composed of colloidal particles and flocs suspended in the water. Flocs adsorb organic particles and act as safe havens for viruses and bacteria [1]. Removal of TSS, an essential step in reduction of water pollution, can be achieved through different processes including coagulation/flocculation and sedimentation/filtration. Currently, sedimentation is one of the best practices for pollution management since it controls volume of contaminated while simultaneously treating them through decanting suspended particles [2].

Sedimentation is defined as the use of gravity to separate suspended particles whose specific weights are greater than that of water. There are four types of sedimentation:

Type 1: Sedimentation of discrete particles

Type 2: Sedimentation of flocculated particles

Type 3: Concentrated suspensions, zone settling, hindered settling

Type 4: Compression sedimentation (sludge thickening).

This study focuses on type 2 sedimentation in which a dilute, suspended particles agglutinate or flocculate during sedimentation. Agglutinations of particles have larger masses than do individual particles and settle at faster rates [3].

Given flocculent sedimentation’s stochastic characteristics [4], it has been possible to develop computerized interpolation algorithms, analytical equations and empirical models for its analysis [5]. In practice, sedimentation of flocculated particles has been analyzed on the basis of sedimentation tower testing. This is widely recommended for the design of sedimentation tanks [6] because it allows evaluation of efficiency of removal of solids suspended in water for varying initial conditions when there are no mathematical relationships that describe the phenomenon [7].

Among the methods used to calculate the percentage of particles removed in Type sedimentation are the graphical method, known as the conventional method [6], analytical methods [8, 6, 9, and 2], approximations using fractal theory [10], and computational fluid dynamics [11].

This study uses the graphical method to determine the real percentage of particles removed and the model proposed by San's in 1989 which uses the analytical method. The object of this study is to use laboratory tests to determine the coefficients of San's model in order to predict the percentage of flocculent particles that will be removed when water is purified by any of the three most commonly used coagulant.

2. Methodology

First, we designed a laboratory water problem. Then physicochemical parameters of coagulant dosage, mixing speeds and water-coagulant contact time were selected on the basis of jar tests. This was followed by rapid and slow mixing using compressed air in a sedimentation tower to simulate the real-world mixing process. Once the coagulation-flocculation process had finished, the mass of water was allowed to rest so that sedimentation of particles occurred. Turbidity was measured in Nephelometric Turbidity Units (NTUs) at various depths of the sedimentation tower in various time ranges. Isoconcentration curves were then constructed using the data obtained, and multiple linear regression was used to obtain an equation for the percentage of flocculated particles removed as a function of time and depth.

2.1. Preparation of the water problem

Bentonite clay, which has negative colloidal characteristics, was added to one liter of clean water until a concentration that would maintain a turbidity range of 30 ± 5 NTUs was obtained. The process involves weighing different amounts of bentonite, then diluting it in a volumetric flask containing one liter of water. Once the solution was diluted, a turbidimeter measured turbidity [15].

2.2. Determination of the mixture’s parameters

The three coagulants chemicals most commonly used in water treatment processes, aluminum sulfate type A, aluminum sulphate type B and ferric chloride, were used in this study [12].

A jar test was performed according to the methodology presented by Crittenden [13]. Taking into account the physicochemical characteristics of the water, a stirring speed of 20 RPM and a mixing time of 25 min were defined for slow mixing time while a stirring speed of 100 RPM and a mixing time of 1 minute were defined for rapid mixing as defined and presented by Romero [14].

One test was performed for each coagulant for a total of three tests. By graphing the dosage of the coagulant against turbidity, we were able to define the dose that represents the best formation and floc consistency which results in good sedimentation without resuspension of particles.

The optimal dosage of each coagulant used in problem samples is presented in Table 1.

Table 1. Optimal dose of coagulant. 

Source: The Authors.

2.3. Sedimentation test

Rapid and slow mixing of clay into the water was accomplished through injecting compressed air into the water in the lower part of the sedimentation tower. For fast mixing the compressor output pressure was 30 psi, but for slow mixing it was 5 psi.

After mixing, the turbidity in the water column in the sedimentation tower show Fig. 1, was left to settle for different intervals of time and measured at various depths. Each measurement corresponds to the turbidity remaining at that point, so that the percentage of material removed at each depth and time could be calculated.

Source: The Authors.

Figure 1.  Sedimentation tower built for this research. 

This process was repeated with each coagulant and the optimal doses presented in Table 1.

2.4. Isoconcentration curves

An isoconcentration graph of curves with the same percentage of material removed that relate sedimentation time, sedimentation depth within the tower and the percentage of flocculated particles removed was elaborated using the removal percentages calculated from the turbidity values measured in the sedimentation tower.

The data obtained were then subjected to multiple linear regression which, through the use of computational tools, was used to obtain the coefficients of a linearized equation. From this equation it is possible to calculate the percentage of particles expected to be removed at a given depth and at a previously defined retention time.

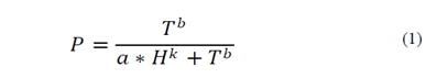
According to San [6], the equation that conforms to the isoconcentration curves for flocculated particles in suspension is Where a, b and k are specific parameters of a given suspension, P is the percentage of material removed, T is sedimentation time, and H is the depth.

By rearranging the parameters of eq. (1) in the form of a multilinear expression, we obtain

To obtain the coefficients of eq. (2), an analysis was done by means of multiple linear correlation. The values of the coefficients are presented in Table 5.

3. Results and discussion

3.1. Evaluation of sedimentation data

The percentages of material removed from the water in the sedimentation column for coagulants and optimal doses used in this study are shown in Tables [2-4]. Each test was performed in a sedimentation tower whose maximum height is 175 cm. Tests lasted 120 minutes, and samples were taken at various depths.

Table 2 Percentage of flocculated particles removed from the sedimentation column using 80 mg of aluminum sulfate type A per liter. 

Source: The Authors.

Table 3. Percentage of flocculated particles removed from the sedimentation column using 80 mg of aluminum sulfate type B per liter. 

Source: The Authors.

Table 4. Percentage of flocculated particles removed from the sedimentation column using 70 mg of ferric chloride per liter. 

Source: The Authors.

3.2. Interpolation and simulation

The conventional method for drawing isoconcentration curves has been used. This method consists of plotting a scatter diagram of points (time, depth) for percentages of material removed and later interpolating the values as smoothed curves as shown in. Figs 2- 4.

Interpolation of values to obtain the isoconcentration curves was done by means of a graphic procedure that has the following steps:

Source: The Authors.

Figure 2.  Isoconcentration curves for aluminum sulfate type A. Vertical axis: Depth (cm). Horizontal axis: Time (min).  

  • A graph is drawn that relates a point in time to a depth in the sedimentation tower.

  • For each pair of points (time, depth), the corresponding percentage of material removed is calculated. This point is located on the graph and labelled with the corresponding value of removal efficiency.

  • The horizontal distance between two consecutive removal percentage points is determined. Then, by means of interpolation between the two points, the percentage of material removed corresponding to the isoconcentration curve that is to be found is calculated.

The model presented by San in 1989 was used to adjust the equation to fit the dispersion of points measured during the test. The isoconcentration curves that represent the removal efficiency of the coagulants used in this study were constructed with this equation. For each coagulant, constants a, b and k, which represent the unknowns of the model, were determined.

3.3. Results

To check the model’s validity when the constants obtained (a, b and k) are used, we compared, the percentages of material removal interpolated by means of the graphic procedure with the percentages obtained through a model simulation.

Figs. 2-4 shows the isoconcentration curves obtained in the current study. These curves show the characteristics behavior isoconcentration curves in sedimentation type 2, where for the same removal efficiency, the relationship between time and depth is directly proportional.

Source: The Authors.

Figure 3.  Isoconcentration curves for type B aluminum sulphate. Vertical axis: Depth (cm). Horizontal axis: Time (min).  

Sourse: The Authors.

Figure 4. Isoconcentration curves for ferric chloride. Vertical axis: Depth (cm). Horizontal axis: Time (min). 

Table 5 shows the constants of the eq. (1) reported in the literature, as well as the results of the correlation coefficients (CC) and the standard error (SE) obtained after multiple linear regression of series of laboratory data.

Table 5. Values of constants for the model of Hasan Ali San reported in the literature. 

Source: The Authors.

The values of parameters a, b and k, as well as the standard error (SE) and the correlation coefficient (CC) obtained in this study by means of a multiple linear regression are presented in Table 6.

Table 6. Values for a,b,k, the correlation coefficient and the standard error for the Hasan Ali San model obtained in this study. 

Source: The Authors.

As expected, when turbidity was between 25 NTU and 30 NTU and ferric chloride, aluminum sulfate type A, or aluminum sulfate type B were used as coagulants, type II sedimentation resulted. The average percentage of material removed according to the aluminum sulfate type A isoconcentration curve for sedimentation time greater than 60 min in columns of water from 100 cm to 175 cm was 59.3%.

The average material removed under the same conditions for aluminum sulfate type B was 40.5%, and for ferric chloride it was 65%. These percentages correspond to typical removal percentages in water purification plants.

Coefficients obtained by multivariate regressions from application of San’s model were well within the ranges found in similar studies. Similarly, the mean square errors for the three types of coagulants were all higher than 0.92 indicating that the coefficients of San’s model presumptively approximate sedimentation characteristics related to the percentages of material removed in the laboratory. Aluminum sulfate type A was the closest approximation. This is explained by its high degree of purity which is a contrast to type B which is less dehydrated and has a higher percentage of impurities. San’s model provided a poorer approximation to ferric chloride, possibly due to its variable pH and tendency to acidity which makes it very soluble.

4. Conclusions

We compared the results of our experiments and analyses with those of seven other studies on this topic.

Analysis of these earlier studies of analytical methods to determine the number of flocculated particles removed by the use of coagulants shows very close agreement with the mathematical method proposed by San.

Also, the isoconcentration graphs elaborated from results of our sedimentation tower experiments showed greater percentages of particles removed as contact time and depth increased. These tendencies coincide with those described in the literature for Type 2 sedimentation.

Similarly, the coefficients obtained in this investigation are well within the ranges reported in the literature for removal of flocculated particles with the three coagulants most commonly used in water purification. This study has opened up the possibility of studying the behavior of this type of particles under real water treatment plant conditions with the settler in operation.

References

[1] Dawney, B. and Pearce, J.M., Optimizing the solar water disinfection (SODIS) method by decreasing turbidity with Nacl. Water, Sanitation and Hygiene for Development. 2, pp. 87-97, 2012. DOI: 10.2166/washdev.2012.043 [ Links ]

[2] Piro, P., Carbone, M, Penna, N. and Marsalek, J., Characterization of the settling process for wastewater from a combined sewer system. Water Research, 45, pp. 6615-6624, 2011. DOI: 10.1016/j.watres.2011.09.034 [ Links ]

[3] Tchobanoglous, G., Sistemas de manejo de aguas residuales para núcleos pequeños y descentralizados. McGraw Hill, Santafé de Bogotá, Colombia, 2001. [ Links ]

[4] Zanoni, A.E. and Blomquist, M.W., Column settling tests for flocculent suspensions. J. Envir. Engrg. Div., ASCE, 101(3), pp. 309-318, 1975. [ Links ]

[5] Ramatsoma, M.S. and Chirwa, E.M., Computational simulation of flocculent sedimentation based on experimental results. Water Science and Technology, 65, pp. 1007-1013, 2012. DOI: 10.2166/wst.2012.923 [ Links ]

[6] San, H.A., Analytical approach for evaluation of settling column data. Journal of Environmental Engineering, 115, pp. 455-461, 1989. DOI: 10.1061/(ASCE)0733-9372(1989)115:2(455) [ Links ]

[7] Ravindra, R.M.. Type II sedimentation: removal efficiency from column-settling tests. Journal of Environmental Engineering,118, pp. 438-441, 1992. DOI: 10.1061/(ASCE)0733-9372(1992)118:3(438) [ Links ]

[8] Özer, A., Simple equations to express setting column data. Journal of Environmental Engineering, 120(3), pp. 677-682, 1994. DOI: 10.1061/(ASCE)0733-9372(1994)120:3(677) [ Links ]

[9] Sithebe, N.P, Methula, B.G. and Chirwa, E.M., A finite velocity simulation of sedimentation behaviour of flocculating particles - A real-time model evaluation. Water SA, 40(1), pp. 109-116, 2013. DOI: 10.4314/wsa.v40i1.13 [ Links ]

[10] Sithebe, N.P., Flocculation modeling of differential sedimentation based on fundamental physics of settling particles and fractal theory. MSc. Thesis. Faculty of Engineering, Department of Chemical Engineering, Universidad de Pretoria, Pretoria, South Africa, 2013. [ Links ]

[11] Xiaofeng, L. and García, M.H., Computational fluid dynamics modeling for the design of large primary settling tanks. Journal of Hydraulic Engineering, 137(3), pp. 343-355, 2011. DOI: 10.1061/(ASCE)HY.1943-7900.0000313 [ Links ]

[12] Lozano-Rivas, W.A. y Lozano-Bravo, G., Potabilización del agua, principios de diseño, control de procesos y laboratorio, Universidad Piloto de Colombia, Bogotá, Colombia 2015, pp. 90-92. [ Links ]

[13] Crittenden, J.C., Water treatment, principles and design. EEUU: MWH-Wiley, 2014. [ Links ]

[14] Romero, J.A., Purificación del agua. Escuela Colombiana de Ingeniería Ed., Colombia, 2006, 63 P. [ Links ]

[15] American Public Health Association. Standard methods for examination of water and wastewater. APHA-AWWA-WPCF, part 2130 , EE.UU, 2013, pp 2-14. [ Links ]

[16] Eckenfelder, W.W.Jr., Industrial water pollution control. McGraw- Hill Book Co., New York, N.Y., USA, 1966. [ Links ]

[17] O'Connor, D.J. and Eckenfelder, W.W.Jr., Biological water treatment. Pergamon Press, New York, N.Y., USA, 1961. [ Links ]

[18] Reynolds, T.D., Unit operations and processes in environmental engineering. Brooks/Cole. Engineering Division, Monterrey, Calif. 1982. [ Links ]

[19] Camp, T.R., Sedimentation and design of settlings tanks. Transactions, ASCE, 111, pp. 895-958, 1946. [ Links ]

[20] San, H.A., Yumaklasan danelerin clkelmesi ile ilgili numerik bir model - A numerical model on settling of flocculent suspension, PhD. Thesis, Technical University of Istanbul, ar Istanbul, Turkey, 1980. [ Links ]

[21] Zanoni, A.E. and Blomquist, M.W., Column settling tests for flocculent suspensions. J. Envir. Engrg. Div., ASCE, 101(3), pp. 309-318, 1975. [ Links ]

[22] Berthouex, P.M. and Stevens, D.K., Computer analysis of settling data. J. Envir. Engrg. Div., ASCE, 108(5), 1982. [ Links ]

[23] Reynolds, T.D. and Richards, P.A., Unit operations and processes in environmental engineering, 2nd ed., International Thomson Publishing, New York, USA, 1996. [ Links ]

[24] Peavy, H.S., Rowe, D.R. and Tchobanoglous, G., Environmental Engineering. McGraw-Hill, New York, USA, 1985. [ Links ]

How to cite: Pulgarín, D.A., Santamaría-Álzate, F., Ruge, J.C., and Orduz, O.I., Determination the coefficients of San’s model, to calculate the percentage of removal flocculent particles with three coagulants types. DYNA, 86(210), pp. 131-136, July - September, 2019.

D. Pulgarín, received the BSc. Eng in Sanitary Engineering in 2006 from the Universidad de Antioquia, Colombia, and MSc. in Civil Engineering with emphasis on Hydraulic Engineering in 2012 from the Universidad de los Andes, Colombia. He is currently assistant professor of the Universidad Católica de Colombia, Bogotá D.C., Colombia. ORCID: 0000-0003-2419-0278

F. Santamaría, received the BSc. Eng in Environmental and Sanitary Engineering in 2002 from the Universidad de La Salle, Colombia, Undergraduate degree in Environmental Sanitation in 2007 and MSc. in Civil Engineering with emphasis on Environmental Engineering in 2013 from Escuela Colombiana de Ingeniería, Colombia. He is currently assistant professor of the Universidad Católica de Colombia, Bogotá D.C., Colombia. ORCID: 0000-0001-5453-2190

J.C. Ruge, received the BSc. Eng in Civil Engineering in 2002 from the Universidad Francisco de Paula Santander (UFPS), Colombia, MSc. in Civil Engineering with emphasis on Geotechnics in 2005 from Universidad de Los Andes, and the PhD degree in Geotechnics in 2014 from the University of Brasilia (UnB), Brazil. Formerly postdoctoral researcher fellow in the Civil and Agricultural Department, at the Universidad Nacional de Colombia. He is currently assistant professor of the Universidad Militar Nueva Granada, Bogotá D.C., Colombia. ORCID: 0000-0002-9100-6058

O.I. Orduz, received the BSc. Eng in Civil Engineering in 2017 from the Universidad Católica de Colombia, Colombia. He is actually consulting engineer. ORCID: 0000-0002-3529-2352

Received: September 09, 2018; Revised: June 28, 2019; Accepted: July 16, 2019

Creative Commons License This is an open-access article distributed under the terms of the Creative Commons Attribution License