Servicios Personalizados
Revista
Articulo
Indicadores
-
Citado por SciELO -
Accesos
Links relacionados
-
Citado por Google -
Similares en
SciELO -
Similares en Google
Compartir
Boletín de Geología
versión impresa ISSN 0120-0283
bol.geol. vol.36 no.1 Bucaramanga ene./jun. 2014
NECHÍ
Gabriel Rodríguez1; María Isabel Arango1; Gilberto Zapata1; José Gilberto Bermúdez1
1 Servicio Geológico Colombiano - GTR, Calle 75 Nº 79a-51, Medellín, teléfono 2644949 ext. 8107, grodriguez@sgc.gov.co
Forma de citar: Rodríguez, G., Arango, M.I., Zapata, G., y Bermúdez J.G. 2014. Petrografía y geoquímica del Neis de Nechí. Boletín de Geología, 36(1): 71-84.
El Neis de Nechí aflora dentro del terreno Tahami, al occidente de la Falla Otú-Pericos en la Serranía de San Lucas; se extiende como una franja de 35 km de largo por 10 km de ancho, desde El Porvenir (al sur) hasta el corregimiento Méjico (al norte); comprende neises y granofels cuarzo feldespáticos con anfíbol y biotita; presenta sectores donde la roca conserva el aspecto ígneo del protolito y sectores con estructura néisica con bandas granulares intercaladas con bandas néisicas. El metamorfismo regional sobre impuesto alcanzó la facies anfibolita baja, representada por la asociación cuarzo-plagioclasa-biotita-epidota-esfena y los minerales heredados del protolito ígneo son: hornblenda-cuarzo-ortoclasa-plagioclasa. Dentro de la unidad se observan vetas de cuarzo lechoso con mineralización de oro y polisulfuros y diques de pegmatitas de cuarzo y plagioclasa. La geoquímica de óxidos mayores y elementos trazas ubican las rocas dentro de la serie calcoalcalina alta en K, formadas a partir de un protolito ígneo intermedio, localizándolas en el diagrama TAS en los campos de las tonalitas y dioritas. El comportamiento de los elementos traza y las tierras raras indican que el protolito se desarrolló en un ambiente de arco, con enriquecimiento en elementos traza ligeros y empobrecimiento de los trazas pesados, con afinidad hacia los magmas magnesianos. La edad U/Pb obtenida en circones de 277,3 ± 3,0 Ma (Pérmico), fue interpretada como edad de intrusión del granitoide; si se asocia con los resultados geoquímicos, permite sugerir la existencia de un arco plutónico de margen continental relacionado a subducción, que intruyó un basamento más viejo, el cual fue sometido a metamorfismo regional durante el Triásico, afectando todo el conjunto y arrojando una edad de metamorfismo de 236,4 ± 6,6 Ma similar al del Complejo Cajamarca.
Palabras Clave: Petrografía, geoquímica, metamorfismo, Neis de Nechí.
PETROGRAPHY AND GEOCHEMISTRY OF THE NECHI GNEISS
ABSTRACT
The Nechi's Gneiss outcrops within the Tahami terrain to the west of the Otu-Pericos fault, and It's located in the San Lucas range. It extends from El Porvenir, in the southern part, as a band of 35 Km length by 10 Km wide, to the Mejico's town in the northern part. It is composed by quartzfeldespathic gneisses and granofels with amphibole and biotite, in some areas, these rocks present igneous aspect from their protolith and sectors with gneissic structure with granular bands interspersed with gneissic bands. The subsequent regional metamorphic reached low amphibole facies, is represented by quartz-plagioclase-biotite- epidote- titanite association, and the inherited igneous minerals from protolith are: hornblende, quartz, orthoclase, plagioclase. Inside the unit, milky quartz veins with gold and polysulphures mineralizations, and pegmatites dikes of quartz and plagioclase are observed. The majors oxides chemistry and traces elements, place these rocks among of the high in K calc-alkaline series, which are formed from an intermediate igneous protolith, located in the TAS diagram in the tonalities and diorites fields. The traces elements and rare earth elements behaviour suggests that the protolith was developed in an arc environment with enrichment in light traces elements and impoverishment of heavy traces, with affinity to magnesian magmas. The U/Pb zircons age is 277.3± 3.0 Ma (Permian), it was interpreted as the granitoide's intrusion age. This age and the geochemistry analysis allow to suggest the existence of a plutonic arc of continental margin, related to subduction, which intruded the oldest basement that was submitted to regional metamorphism during the Triassic; affecting the whole unit, besides of giving a metamorphism age of 236.4 ± 6.6 Ma, similar to Cajamarca Complex.
Keywords: Petrography, Geochemistry, metamorphism, Nechi Gneiss.
El presente estudio se enmarca dentro de los trabajos adelantados por geólogos del Servicio Geológico Colombiano de la sede Medellín, relacionados con la cartografía geológica de la plancha 83, donde se cartografió el Neis de Nechí. La información petrográfica y geoquímica presentada en este trabajo pretende aportar nuevos datos acerca de la génesis y evolución del magmatismo pre-Triásico y metamorfismo Triásico de la Cordillera Central de Colombia.
El Neis de Nechí se localiza en el borde occidental de la Serranía de San Lucas, en la margen oriental del río Nechí, hace parte del basamento triásico de la Cordillera Central, el cual está limitado al oriente por la Falla El Bagre-Palestina que lo separa del Neis de San Lucas de edad Precámbrico (FIGURA 1).
Como Neis de Nechí se denomina a un cuerpo de neises cuarzo feldespáticos y anfibólicos, que González (2001), en el Mapa Geológico de Antioquia, agrupa como parte del Complejo Cajamarca y lo denominó "Neises Cuarzo Feldespáticos y Alumínicos". Posteriormente fue llamado por Restrepo et al. (2010) Neis de Nechí, y recientemente Leal (2011) lo describe con el nombre de Neis Metatonalítico de las Facies Nechí, interpretando esta unidad como un cuerpo intrusivo holocristalino fanerítico jurásico, afectado por foliación penetrativa metamórfica. Restrepo et al. (2010) reportan una edad Pérmico de 277,3 ± 3,0 Ma para el Neis de Nechí, donde la mayoría de los circones analizados son de origen ígneo y la consideran como la edad de intrusión del granitoide; además, encuentran para cuatro (4) cristales de circón una edad Triásico de 236,4 ± 6,6 Ma que la interpretan como la edad del metamorfismo que afectó el granitoide.
Se realizó el análisis de siete (7) secciones delgadas y se tuvo acceso al análisis petrográfico de secciones delgadas de la Empresa Exploradora Minera S.A., además de las descripciones de secciones delgadas del trabajo de Montoya y Ordoñez (2010); también se consultó la descripción petrográfica realizada por Leal (2011).
Los análisis químicos de óxidos mayores, elementos traza y elementos de las tierras raras se realizaron en el laboratorio de geoquímica del Servicio Geológico Colombiano por el método de fluorescencia de rayos X para óxidos mayores y algunos elementos traza y por el método de espectrometría de masas con plasma inductivamente acoplado ICP-MS para los elementos de tierras raras y elementos traza.
La unidad está constituida por rocas isotrópicas a bandeadas y localmente plegadas, presenta sectores del cuerpo donde la roca tiene aspecto ígneo sin orientación mineral, está compuesta por rocas faneríticas de grano medio con textura granular que varían en composición de cuarzodiorita, tonalita a granodiorita (FIGURA 2). Presenta sectores con bandas decimétricas definidas y difusas, donde el contenido de minerales máficos y félsicos varía de una banda a otra, que corresponden a neises y granofels cuarzo - feldespáticos con anfíbol y biotita o el equivalente metaígneo como metatonalitas, metacuarzodioritas y metagranodioritas (FIGURA 2C).
La unidad está atravesada por vetas de cuarzo lechoso con mineralización de oro y sulfuros como calcopirita, pirita, galena y esfalerita que se encuentran a manera de nidos y rellenando fracturas y por pegmatitas de cuarzo y plagioclasa. Las vetas presentan contactos netos con fragmentos de neis en su interior.
La heterogeneidad macroscópica y microscópica que presenta el Neis de Nechí, en textura y estructura, se interpreta como el grado de afectación que tiene el protolito por el metamorfismo regional sobre impuesto, debido a la ausencia de deformación penetrativa uniforme; es decir, algunos sectores conservan la estructura y textura ígnea del protolito, sin embargo, se formaron minerales metamórficos y algunas texturas metamórficas, además, algunos sectores del cuerpo con textura granular pueden o no presentar intercalaciones de bandas con estructura neísica y granofélsica. Otros sectores del cuerpo fueron afectados por la deformación que está unida al evento metamórfico y desarrollaron estructura néisica y texturas augen porfidoclásticas, en algunos casos con bandas granoblásticas, lepidoblásticas y nematoblásticas. En la FIGURA 3, se muestra la localización de muestras con análisis petrográfico; las rocas 900585 y 900586 fueron tomadas en el mismo lugar por lo que en la figura se superponen, al igual para las rocas 900589 y 900590.
Para la caracterización petrográfica, además de los siete análisis realizados por los autores, se compila las descripciones presentadas en el trabajo de Montoya y Ordoñez (2010), (TABLA 1), se conserva la clasificación y los porcentajes de autores del trabajo original, además, se grafican en el triangulo QAP las siete secciones delgadas analizadas para mostrar la composición del protolito, considerando que el metamorfismo no causó cambios en el contenido de cuarzo, plagioclasa y feldespato alcalino (FIGURA 4).
De acuerdo a los análisis petrográficos se consideran minerales ígneos heredados del protolito cuarzodiorítico-tonalítico- granodiorítico los siguientes: plagioclasa, feldespato alcalino, cuarzo y hornblenda, y los accesorios como circón y allanita. Los minerales metamórficos corresponden a cuarzo, plagioclasa, biotita, epidota, esfena y apatito, los cuales marcan la estructura néisica de la roca.
Minerales como plagioclasa, ortoclasa y hornblenda desarrollan texturas augen porfidoclásticas, con sombras de presión asimétricas causadas por deformación rotacional, se observan en estos tres minerales deformación con fracturamiento de algunos cristales y desarrollo de minerales sincinemáticos a lo largo de las fracturas, así como flexionamiento con desarrollo de extinción ondulatoria y en algunos casos microfallamiento.
El cuarzo aparece en mosaicos irregulares de cristales xenomórficos (< 1 mm), de menor tamaño que la plagioclasa, ortoclasa y hornblenda (FIGURA 5), se encuentra intersticial entre la red de cristales de feldespatos, con desarrollo incipiente de contactos triples; tiene bordes irregulares y limpios; en algunas rocas los cristales están ligeramente alongados en el sentido de la esquistosidad y tienen extinción ondulatoria. El cuarzo desarrolla poligonización y recristalización a cristales de menor tamaño, los mosaicos forman glomeroporfidoclastos rodeados por los minerales sincinemáticos y en otros se deforma y genera coronas alrededor de porfidoclastos de plagioclasa y orientación en sentido de la foliación metamórfica.
La plagioclasa corresponde a andesina (An33 a An39), la cual se clasificó siguiendo el método de Michel-Lévy; se presenta en porfidoclastos xenoblásticos a subidioblásticos que desarrollan texturas augen y sombras asimétricas; es un mineral heredado del protolito, con extinción ondulatoria, maclado según albita, albita - Carlsbad y periclina, de tamaños entre 1 y 2 mm, con recristalización local hacia los bordes de los porfidoclastos; pueden mostrar localmente texturas mirmequíticas a manera de gotas de cuarzo en plagioclasa; en los bordes de algunos cristales se presentan desmezclas antipertíticas; el relieve es mayor al del bálsamo; tiene inclusiones a lo largo del clivaje y transversales a la foliación de la roca; las inclusiones son de láminas finas de biotita y en algunas rocas se altera a sericita en escamas microcristalinas. La plagioclasa más fina (0,03 mm a 0,1 mm) es metamórfica, producto de recristalización en los bordes de cristales ígneos; en las rocas con texturas relictas ígneas, la plagioclasa conserva la forma euhedral tabular y zonación normal con el núcleo más cálcico que los bordes de los cristales, algunas tienen desarrollo de lamelas de deformación y recristalización a subgranos en los límites entre lamelas (FIGURA 6).
El feldespato es ortoclasa desdoblándose a microclina, se presenta en cristales subidiomórficos heredados del protolito ígneo, de tamaños por lo general menores a 1,5 mm, de formas tabulares cortas en las rocas menos deformadas, mientras que en las de estructura néisica formó augenes o está intersticial entre el cuarzo y la plagioclasa, con desarrollo de pertitas en forma de trenzas y también como antipertitas en bordes de cristales de plagioclasa, puede tener maclas de microclina, tiene inclusiones de plagioclasa y biotita. En contactos con plagioclasa desarrolla bordes de reacción y texturas mirmequíticas (FIGURA 6).
La hornblenda se presenta en cristales subidiomórficos a xenomórficos heredados del protolito ígneo, localmente forman porfidoclastos de 1 mm a 4 mm, rodeados de láminas de biotita y cristales de epidota y esfena; de color verde con un pleocroísmo X: amarillo pálido, Y: verde y Z: verde oliva, algunos muestran variación de color a manera de parches difusos. En los bordes de los cristales se forma biotita a partir de la hornblenda a manera de corona y a lo largo del clivaje se forma biotita y epidota de origen metamórfico; presenta extinción ondulatoria y fracturamiento por deformación dinámica; a lo largo de las fracturas se desarrolla biotita, epidota y esfena de origen metamórfico; pueden tener inclusiones a manera de micro gotas simplectíticas de cuarzo; presenta inclusiones de cuarzo y biotita a lo largo del clivaje y menos frecuente circón, esfena, epidota y apatito. La deformación puede dar lugar a orientación de la hornblenda en algunas rocas y generalmente los cristales tienen bordes irregulares (FIGURA 7).
La biotita se encuentra en láminas idioblásticas a subidioblásticas intersticiales, es un mineral metamórfico sincinemático de menor tamaño que los minerales ígneos heredados, generalmente de tamaño menor a 1mm, marca la foliación de la roca y la estructura néisica, se localizan entre los cristales de feldespato, plagioclasa y hornblenda y junto a epidota y esfena; dependiendo de la roca presenta colores verdes ó pardos. La biotita verde tiene pleocroísmo X: amarillo pálido, Y=Z: verde oliva y la parda X: amarillo pálido, Y=Z: marrón; ligeramente dobladas, puede formarse a partir de la hornblenda; se encuentra alrededor de ésta formando una corona de láminas de biotita o a lo largo de los planos de clivaje y fracturas; puede mostrar simplectitas de cuarzo en micro gotas, además de inclusiones de circón con halo pleocroico (FIGURA 7F).
La epidota se presenta en cristales idioblásticos a xenoblásticos y en agregados, localmente se encuentra como corona alrededor de cristales idiomórficos de allanita de color pardo, asociada a biotita marcando la esquistosidad de la roca, con birrefringencia anómala azul Berlín del primer orden al rojo del segundo orden, de color amarillo pálido, tiene inclusiones de esfena, plagioclasa, biotita y apatito (FIGURA 7E).
La esfena se presenta en microcristales idiomórficos a xenomórficos, sincinemáticos orientados en bandas delgadas junto a láminas de biotita y epidota, es de color pardo con pleocroísmo moderado en tonos medios y claros, relieve alto, se localizan en los límites entre láminas de biotita o a lo largo del clivaje e incluidos en epidota, puede aparecer en cristales de formas rómbicas idioblásticas (FIGURA 8).
El apatito se presenta en microcristales xenomórficos, algunos de formas subredondeadas en cortes basales, incluidos o junto a bandas conformadas por epidota, esfena y biotita, menos frecuentes idiomórficos de formas hexagonales.
El circón se encuentra en microcristales euhedrales a anhedrales, como inclusiones en hornblenda o a lo largo de la esquistosidad junto a biotita, epidota y esfena, y también incluido en biotita con desarrollo de halo pleocroico.
Se considera que las rocas metamórficas del Neis de Nechí fueron sometidas a igual metamorfismo, a pesar de que muestran diferencias estructurales como texturas heredadas del protolito ígneo plutónico, orientación mineral y estructura néisica formada por metamorfismo regional dinamo - térmico; las diferencias de fábrica se deben a la condiciones locales de deformación. La paragénesis de los minerales metamórficos es la misma en todas las rocas analizadas, que corresponde a la asociación cuarzo-plagioclasa-biotita-epidota-esfena, y los minerales heredados del protolito ígneo son hornblenda, cuarzo, feldespato alcalino y plagioclasa.
Aunque esta mineralogía no es diagnóstica de una facies en particular, si se considera que minerales como plagioclasa recristalizan por encima de 500°C, que corresponde al límite entre facies esquisto verde y anfibolita. Las rocas del Neis de Nechí fueron sometidas a metamorfismo en la facies anfibolita baja. Además, se podría pensar que las pertitas y el desdoble de ortosa a microclina puede ser resultado del metamorfismo regional.
Teniendo en cuenta que las rocas del Neis de Nechí conservan estructuras isotrópicas, minerales relictos, texturas que no evidencian un metamorfismo penetrativo y que presentan una misma paragénesis mineral, se realizó el análisis de las muestras infiriendo que su química es primaria, de carácter ígneo y no fue afectada por los procesos deformativos sobre impuestos.
Para la interpretación de los óxidos mayores que están expresados en porcentaje en peso, se realizó la corrección por pérdida de ignición de cuatro muestras que se presentan en la TABLA 2. Las rocas se localizan en facies intermedias con tendencia hacia rocas ácidas; de acuerdo con el diagrama De la Roche et al. (1980) (FIGURA 9) caen en los campos de tonalitas (900584 y 900586) con contenidos de SiO2 entre 62,75 al 64,25% y dioritas para las rocas 900585 y 900588 con contenidos de sílice entre 57,58 al 58,23%.
El índice de saturación de alúmina muestra una impronta metaluminosa donde Al2O3< (CaO+Na2O+K2O) pero Al2O3> (Na2O+K2O), con valores menores de álcalis para las rocas 900584 y 900585 que por su composición más félsica tienden hacia el campo de granitoides peralcalinos y valores mayores para las rocas 900585 y 900588; este tipo de rocas presentan una mineralogía predominante de biotita, anfíbol y piroxeno (Debon and Le Fort, 1983. FIGURA 10), asociada con los análisis petrográficos realizados.
En el diagrama AFM (FIGURA 11), se refleja un carácter calcoalcalino ubicando las rocas más félsicas cerca del límite de los campos toleíticas y calcoalcalinas (Irvine and Baragar, 1971). Se tienen valores de CaO entre 4,44 a 6,15%, el FeO+Fe2O3 alcanza el 7% y el MgO con un 3,60% que incrementa hacia las rocas más intermedias, lo cual es congruente con la presencia mineralógica de hornblenda, biotita y titanita donde se hospedan estos elementos. Por su parte, el K2O se presenta entre 2,28 a 2,67% localizando las rocas en el diagrama de Peccerillo and Taylor (1976) en series calcoalcalinas con alto potasio, separando las de composición más félsicas de aquellas con contenidos mayores de minerales máficos.
Los contenidos en elementos traza y tierras raras se muestran en la TABLA 3. La concentración de estos elementos muestran patrones químicos similares que reflejan un mismo tipo de protolito ígneo intermedio. Las rocas están enriquecidas en elementos traza ligeros (REE) hasta 100 veces con respecto al valor normalizado de condrito (FIGURA 12) (Nakamura, 1974), y decaen progresivamente hacia los elementos pesados hasta 10 veces por encima del valor de condrito, siendo la roca 900586 la que muestra un mayor empobrecimiento.
Se presentan valores promedios que se acomodan a los típicos de arcos según Winter (2001), Ni: entre 10 a 60ppm, Cr: 25 a 100ppm y V:100 a 200ppm, con relaciones moderadas a altas de La/YbN =11,51 a 26,94; La/SmN = entre 3,74 y 5,57 y Gd/YbN= 2,05 a 3,24. El espectro de decaimiento que se observa en la FIGURA 12 es característico de ambientes de arco con series de medio a alto K, donde el enriquecimiento en Sr, Rb, K y Ba por ser elementos de bajo potencial iónico se debe a su movilización desde fluidos que interactúan en la zona de subducción hacia el magma.
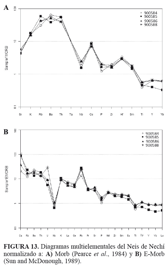
De acuerdo con Pearce et al. (1984), en los diagramas de multielementos normalizados a MORB y EMORB (FIGURA 13 A y B) se muestran empobrecimientos en los elementos inmóviles Nb, Ti y P que pueden corresponder a separación en fases minerales accesorias como titanita, rutilo y apatito reflejando una evolución magmática, donde el Nb puede comportarse geoquímicamente similar al Ti. Los mayores valores de los elementos litófilos de alto radio iónico (LILE) Cs, Ba y Th indican una afinidad de corteza continental (márgenes convergentes) donde abundan estos elementos altamente incompatibles. Valores mayores en Sr, K, Ba y Rb y las anomalías negativas de Nb, Ti e Y son características de arcos magmáticos relacionados a ambientes de subducción.
El protolito de las rocas del Neis de Nechí muestra características de magmas tipo I (Andino o Cordillerano) de las series magnesianas los cuales reflejan una ligera diferenciación entre las rocas intermedias a las que tienden a ser más acidas (FIGURA 14, diagramas de Frost et al., 2001, y Whalen et al., 1987). Se trata de rocas con mayores contenidos de Sr, Ca, Fe3+, Fe2+ y menores contenidos de Cr y Ni, con porcentajes considerados de hornblenda y de afinidad metaluminosa a ligeramente peralcalinas, lo anterior sugiere que son rocas derivadas de una fuente ígnea mantélica probablemente de la fusión parcial de la placa subducida (Winter, 2001).
En los diagramas de discriminación de ambientes tectónicos se muestra que las rocas se localizan en ambientes de arco, en el diagrama multicatiónico de Batchelor and Bowden (1985) las rocas intermedias 900585, 900588 caen en el campo de ambientes de subducción (FIGURA 15), se observa que las más evolucionadas corresponden a las 900584 y 900585 y convergen hacia el campo de granito sin-colisional.
Las características macroscópicas y microscópicas de las rocas que conforman el Neis de Nechí indican un protolito ígneo plutónico de composición granodiorítica, tonalítica y cuarzodiorítica, el cual es reafirmado por los resultados de la geoquímica de óxidos mayores.
La heterogeneidad macroscópica y microscópica del cuerpo en cuanto a la fábrica, se interpreta como el grado de afectación que tiene el protolito por el metamorfismo regional sobreimpuesto, conservando en algunos sectores la estructura y texturas relictas del protolito, sin embargo, presenta minerales metamórficos, textura y estructura metamórfica como néisica y textura augen porfidoclástica, en algunos casos con bandas granoblásticas, lepidoblásticas y nematoblásticas.
Se trata de minerales heredados del protolito ígneo granodiorítico-tonalítico-cuarzodiorítico: plagioclasa, feldespato alcalino, cuarzo y hornblenda, y los accesorios como circón y allanita. Los minerales metamórficos corresponden a plagioclasa, cuarzo, biotita, epidota, esfena y apatito, los cuales marcan la estructura néisica de la roca, la foliación o recristalizaron debido al metamorfismo.
La paragénesis de los minerales metamórficos corresponde a la asociación cuarzo-plagioclasa-biotita-epidota- esfena, mineralogía que no es diagnóstica de una facies en particular y corresponde al límite entre las facies esquisto verde y anfibolita baja, pero la recristalización de la plagioclasa se da por encima de 500°C, sugiriendo que las rocas fueron sometidas a metamorfismo que se localiza en la zona de la facies anfibolita baja.
Las rocas del Neis de Nechí corresponden a la serie calcoalcalina con alto potasio, con valores de CaO entre 4,44 a 6,15%, el FeO+Fe2O3 alcanza el 7%, K2O entre 2,28 a 2,67% y el MgO con un 3,60% que incrementa hacia las rocas intermedias, lo cual es congruente con la presencia mineralógica de hornblenda, biotita y titanita donde se hospedan estos elementos.
Las rocas se muestran enriquecidas en elementos traza ligeros hasta 100 veces con respecto al valor normalizado de condrito que decaen progresivamente hacia los elementos pesados hasta 10 veces por encima del valor de condrito, muestran un espectro de decaimiento típico de rocas de arcos. Se localizan en los campos de magmas tipo Andino (I) de las series magnesianas, con valores promedios que se acomodan a los asociados a zonas de subducción.
La edad obtenida por Restrepo et al. (2010), para el protolito del Neis de Nechí, donde se considera la mayoría de circones analizados de origen ígneo, arrojó una edad de 277,3 ± 3,0 Ma (Pérmica), interpretada por estos autores como la edad de intrusión del granitoide; si se asocia con los resultados geoquímicos de esta unidad, permite sugerir la existencia de un arco plutónico, posiblemente de margen continental relacionado a subducción, que intruyó un basamento más antiguo, el cual posteriormente fue sometido a metamorfismo regional durante el Triásico, afectando todo el conjunto, y arrojando una edad de metamorfismo para el Neis de Nechí de 236,4 ± 6,6 Ma obtenida por los citados autores.
Se agradece al Servicio Geológico Colombiano, entidad que suministró los datos de los análisis de petrografía y geoquímica, así como a los evaluadores del artículo, cuyos comentarios permitieron mejorar el trabajo final.
Batchelor, R.A., and Bowden, P. 1985. Petrogenetic interpretation of granitoid rock series using multicationic parameters. Chemical Geology, 48: 43-55. [ Links ]
De la Roche, H., Leterrier, J., Granclaude, P., and Marchal, M. 1980. A classification of volcanic and plutonic rocks using R1-R2 diagram and major element analyses its relationships with current nomenclature. Chemical Geology, 29: 183-210. [ Links ]
Debon, F., and Le Fort, P. 1983. A chemical-mineralogical classification of common plutonic rocks and association. Transaction of the Royal Society of Edinburgh: Earth Sciences, 73: 135-149. [ Links ]
Frost, B.R., Barnes, C.G., Collins, W.J., Arculus, R.J., Ellis, S.J., and Frost, C.D. 2001. A geochemical classification for granitic rocks. Journal of Petrology, 42: 2033-2048. [ Links ]
González, H. 2001. Mapa geológico del Departamento de Antioquia. Escala 1:400.000. Memoria Explicativa. Ingeominas, Bogotá. 240p. [ Links ]
Irvine, T.N., and Baragar, W.R.A. 1971. A guide to the chemical classification of the common volcanic rocks. Canadian Journal Earth Science, 8: 523-548. [ Links ]
Leal, H. 2011. Phanerozoic gold metallogeny in the Colombian Andes: a tectonomagmatic approach. Tesis doctoral. Universitat de Barcelona. 989p. [ Links ]
Montoya, J.C., y Ordoñez, O. 2010. Cartografía geológica y caracterización petrográfica de las unidades litológicas asociadas a los cuerpos vetiformes de oro en el Distrito Minero Bagre-Nechí. Informe técnico Grupo de Investigación en Georecursos, Minería y Medio Ambiente (GEMMA). Universidad Nacional de Colombia. [ Links ]
Nakamura, N. 1974. Determination of REE, Ba, Fe, Mg, Na and K in carbonaceous and ordinary chondrites. Geochimica and Cosmochimica Acta, 38: 757-775. [ Links ]
Pearce, J.A., Harris, N.B.W., and Tindle, A.G. 1984. Trace element discrimination diagrams for the tectonic interpretation of granitic rocks. Journal of Petrology, 25: 956-983. [ Links ]
Peccerillo, A., and Taylor, S.R. 1976. Geochemistry of Eocene Calc-alkaline volcanic rocks from Kastamonir area, Northern Turkey. Contributions to Mineralogy and Petrology, 58: 63-81. [ Links ]
Restrepo, J.J., Ordoñez, O., and Armstrog, R. 2010. Triassic metamorphism in the northern part of the Central Cordillera of Colombia, VII SSAGI, Brasilia, 405-408p. [ Links ]
Siivola, J., and Schmid, R. 2007. A systematic nomenclature for metamorphic rocks. 12. List of Mineral Abbreviations. Recommendations by the IUGS Subcommission on the Systematics of Metamorphic Rocks: Web version 01.02.07. SCMR website http://www.bgs.ac.uk/SCMR. [ Links ]
Sun, S.S., and Mcdonough, W.F. 1989. Chemical and isotopic systematic of ocean basalts: implications for mantle composition and processes. In: Saunders, A.D., Norry, M.J. (Eds.), Magmatism in the Ocean Basins. Geological Society of London Special Publication, 42: 313-346. [ Links ]
Whalen, J.B., Currie, K.L., and Chappell, B.W. 1987. A-type granites: geochemical characteristics, discrimination and petrogenesis. Contributions to Mineralogy and Petrology 95: 407- 419 [ Links ]
Winter, J.D. 2001. An introduction to igneous and metamorphic petrology. Prentice Hall, New Jersey, 647p. [ Links ]
Trabajo recibido: octubre 08 de 2013
Trabajo aceptado: enero 20 de 2014






























