Servicios Personalizados
Revista
Articulo
Indicadores
-
Citado por SciELO -
Accesos
Links relacionados
-
Citado por Google -
Similares en
SciELO -
Similares en Google
Compartir
Lecturas de Economía
versión impresa ISSN 0120-2596
Lect. Econ. no.83 Medellín jul./dic. 2015
https://doi.org/10.17533/udea.le.n83a03
ARTÍCULOS
La baja de largo plazo en los precios de las drogas duras: una explicación1
The long-run fall in the prices of hard drugs: an explanation
Une explication de la baisse des prix des drogues dures à long terme
Leonardo Raffo*
* Profesor Asociado en el Departamento de Economía de la Universidad del Valle. Miembro del Grupo de Investigación de Conflicto, Aprendizaje y Teoría de Juegos de la Universidad del Valle y del Grupo de Investigación de Desarrollo Económico, Crecimiento y Mercado Laboral de la Universidad del Valle. Dirección postal: Calle 13 N. 100-00, Universidad del Valle, Sede Meléndez, edificio 387, oficina 2017 (Cali, Colombia). E-mail: leonardo.raffo@correounivalle.edu.co.
Agradezco la excelente asistencia de investigación realizada por el economista José Luis Segura. La estudiante del Programa de Economía de la Universidad del Valle Yulli Estefanny Corredor hizo labores de monitoría. Agradezco los comentarios de mis colegas Boris Salazar, Carlos H. Ortiz, Javier A. Castro y Jaime H. Escobar a versiones anteriores del modelo desarrollado, exposiciones y documentos previos en la investigación que vengo desarrollando desde hace varios años en la temática. También agradezco los comentarios de todos los asistentes al curso electivo Teoría Microeconómica de los Bienes Ilegales ofrecido bajo mi orientación durante el primer semestre de 2013 y el primer semestre de 2014 para los estudiantes del Programa de Maestría en Economía Aplicada de la Universidad del Valle y algunos estudiantes aventajados del Programa de Pregrado en Economía de la misma Universidad..
–Introducción. –I. Literatura relacionada. –II. Marco teórico e hipótesis de partida. –III. El modelo. –IV. La solución del modelo con redes regulares. –Conclusiones.–Anexo. –Bibliografía
Primera versión recibida el 5 de septiembre de 2014; versión final aceptada el 27 de marzo de 2015
RESUMEN
El propósito de esta investigación es avanzar en la compresión de los mercados ilegales de drogas duras y explicar la baja de largo plazo que se presentó en los precios de los estupefacientes durante las décadas anteriores. Para ello, siguiendo el enfoque de Poret y Téjedo (2006), y teniendo en cuenta la influencia de las redes de tráfico y distribución de las drogas ilícitas, se desarrolló un modelo analítico que permite entender el comportamiento de los mercados de ventas finales de drogas ilegales. Esto resulta novedoso en el ámbito de la economía del crimen y, en particular, en el de la teoría económica de los bienes ilegales. El modelo permitió probar varios resultados importantes, entre ellos, que la expansión y la densificación de las redes de tráfico y distribución de drogas son factores que explican la baja de largo plazo en los precios de las drogas duras.
Palabras clave: narcotráfico, redes delictivas, mercados ilegales, teoría de juegos, teoría de las redes sociales, políticas de represión.
Clasificación JEL: K42, D43, L13, C72, D85.
ABSTRACT
The goal of this research is to advance in the comprehension of illicit hard drug markets and to explain the long-run fall exhibited by the prices of hard drugs during the last three decades. Following Poret and Téjedo's (2006) approach, an analytical model was developed to understand the performance of hard drug markets taking into account the influence of the drug trafficking and distribution networks that support them. This represents a contribution in the field of crime economics and, in particular, in the line of research pertaining to the economic theory of illegal goods. The model proves some key results about the functioning of illegal markets. Among them, that the expansion and densification of drug trafficking and distribution networks are powerful forces that explain to some extent the long-run fall in hard drug prices.
Key words: drug trafficking, delinquent networks, illegal markets, game theory, social networks, law enforcement.
JEL classification: K42, D43, L13, C72, D85.
RÉSUMÉ
Le but de cette recherche est comprendre le marché de drogues illicites dures, et d'expliquer la chute de leurs prix au cours des trois dernières décennies. En suivant l'approche de Poret et Téjedo (2006) et en tenant compte de l'influence des réseaux de trafic et de distribution des drogues dures, nous proposons un modèle qui étudie la vente de drogues. Notre étude représente une contribution dans le domaine de l'économie du crime, dans l'approche théorique des biens illégaux. Le modèle proposé montre quelques résultats clés concernant le fonctionnement des marchés illicites. Tout particulièrement, nous montrons que l'expansion et l'ampleur des réseaux de trafic et de distribution des drogues sont des forces puissantes, lesquelles expliquent, dans une certaine mesure, la baisse à long terme des prix de drogues dures.
Mots-clés: trafic de drogues, réseaux délinquants, marchés illégaux, théorie de jeux, théorie des réseaux sociaux, application de la loi.
JEL: K42, D43, L13, C72, D85.
Introducción
Uno de los fenómenos más inquietantes sobre el comportamiento de los mercados ilegales de drogas duras, como la cocaína y la heroína, es la baja dramática de largo plazo que se presentó en los precios de los estupefacientes durante las tres décadas anteriores, a pesar de la aplicación de rigurosas políticas de represión a la oferta de drogas en el contexto de la llamada guerra contra drogas2. En el caso de la cocaína, para las dos décadas anteriores, el precio al por mayor en E.E.UU. (ajustado por inflación a precios del 2009) descendió de US$ 85 por gramo en 1990 a US$ 57 por gramo en el año 2008, tras haber alcanzado un mínimo de US$ 33 por gramo en el año 2005 (UNOCD, 2011). Tendencias similares se observan para los precios al por menor del alcaloide en ese país. En Europa se presentó una caída aún más marcada en los precios al por mayor y al por menor de la cocaína durante el mismo periodo (UNOCD, 2011).
Este comportamiento ha sido reconocido por diversos autores como un enigma aun no resuelto en el campo de la economía del crimen y, en particular, en el de la teoría económica de los bienes ilegales (Miron, 2003; Poret y Téjédo, 2006; Caulkins y Reuter, 2010; Costa Storti y De Grauwe, 2008, 2009, entre otros). El propósito de la investigación en la que se basa este artículo es avanzar en la comprensión de los mercados ilegales de drogas duras y, así mismo, en la solución del enigma de la baja de largo plazo en los precios de las drogas duras. Para ello se desarrolló un modelo analítico que permite entender el comportamiento de los mercados de ventas finales de drogas ilegales, teniendo en cuenta la influencia de las redes criminales que soportan su funcionamiento bajo la ilegalidad.
El modelo da luces sobre algunos de los factores que jalonaron la dramática caída en los precios de las drogas duras durante las tres décadas anteriores. La hipótesis principal de este trabajo es que la transformación de las redes de tráfico y distribución de las drogas ilegales (RTD) jugó un papel fundamental en la evolución de los mercados ilegales y sus precios a lo largo del periodo observado (1990-2009). Como resultado de las reacciones estratégicas de los narcotraficantes ante las fuertes políticas de represión implementadas y las condiciones históricas cambiantes de la época, se produjeron cambios en las estructuras de las organizaciones ilegales de la mano de una transformación de las redes sociales que constituyen su base social. Estos eventos condujeron a una fuerte expansión de las RTD a nivel local e internacional –especialmente durante la década de los noventa– conjugada con el desarrollo de procesos de densificación de las mismas a nivel local, lo que mejoró notoriamente la eficiencia del tráfico y distribución de los estupefacientes. El resultado de estos procesos es una baja progresiva de los costos de tráfico y distribución de los alucinógenos, que en parte explica la caída de largo plazo en los precios de las drogas duras.
Esta hipótesis cobra importancia si se tienen en cuenta las particularidades de este tipo de actividades ilegales de producción y tráfico de drogas. Si bien todas las transacciones mercantiles requieren para su realización, en el seno de determinados contextos históricos e institucionales, del funcionamiento de una serie de relaciones y estructuras sociales, en el caso especial de las transacciones ilegales es más intrincada la incidencia de los diferentes tipos de relaciones y estructuras sociales –en este caso de carácter ilegal y criminal– que las soportan. Esto se da porque el desarrollo y la reproducción de este tipo de actividades bajo la prohibición de la ley y la persecución ejercida por las autoridades de control, requiere de la operación de varios tipos de redes sociales. Las actividades ilegales –como cualquier otra actividad económica– requieren del funcionamiento de una serie de redes de producción, tráfico y distribución como base social para la realización de todas las actividades económicas de la cadena productiva. Además, requieren para su realización de la operación de un conjunto de redes de defensa y corrupción que garanticen la seguridad y defensa de las organizaciones frente a la persecución de las autoridades de control y ante el ataque de otras organizaciones o grupos criminales rivales, ya sea a través del uso de la fuerza, la coerción o la corrupción. El modelo que se expone en este artículo se concentra en el análisis de la incidencia de las RTD sobre los mercados de ventas finales de drogas ilegales.
La hipótesis planteada en este trabajo es soportada por Poret y Téjédo (2006), quienes muestran clara evidencia de una reorganización en la producción y el transporte de cocaína desde los años noventa, que conllevó a la consolidación de un gran número de nuevas y más flexibles organizaciones ilegales de tráfico y distribución de drogas. En su modelo este efecto es explicado por incrementos en el número de traficantes en el mercado, que implican cambios en la estructura de los mercados de drogas ilegales hacia mercados más competitivos. En el contexto del modelo expuesto en este trabajo, los incrementos en el número de traficantes no solo implican cambios en la estructura de los mercados en el mismo sentido, sino también expansiones de las RTD que los soportan.
Desde una perspectiva analítica diferente, basada en el planteamiento de un modelo de competencia monopolística, Costa Storti y de Grauwe (2008, 2009) aducen que la explicación fundamental de la caída en los precios, y en los márgenes de intermediación, es la expansión de las actividades de tráfico a una escala global y la transformación en las estructuras de mercado y las redes de tráfico como resultado de este proceso de globalización. Este planteamiento también es consistente con el defendido en este artículo.
Además de esta introducción, el presente artículo se estructura de la siguiente manera: en la sección I se hace referencia a algunos trabajos relevantes para el desarrollo del modelo; en la sección II se exponen el marco teórico y la hipótesis de partida; en la sección III se exponen los supuestos del modelo; en la sección IV se resuelve el modelo para el caso de redes regulares y, por último, se plantean algunas conclusiones.
I. Literatura relacionada
En diversos trabajos en el área de la criminología (Sutherland, 1947) y de la sociología del crimen (Hagedorn, 1988; Padilla, 1992; Thornberry et al., 2003) se ha analizado el rol de las redes de vínculos sociales en las actividades delictivas. Estos trabajos apuntan a mostrar que el desarrollo de las actividades delictivas está ligado a la presencia de vínculos sociales –muchas veces vínculos fuertes (Granovetter, 1973) de parentesco o amistad–, los cuales son la base para el adiestramiento e inmersión de muchos individuos en este tipo de prácticas. Esta perspectiva ha sido denominada en la literatura sociológica como el modelo de facilitación social (Ballester, Calvó-Armengol y Zenou, 2009).
En algunos trabajos pertenecientes al campo de la economía del crimen (Calvó-Armengol y Zenou, 2004; Ballester, Calvó-Armengol y Zenou, 2006, 2009) se ha probado que las interacciones locales entre los delincuentes generan una serie de externalidades en red, a manera de efectos de derrame o peer effects, que cumplen un papel esencial en el aprendizaje y ejecución de las actividades criminales. A través de la construcción de modelos con juegos en redes, estos autores desarrollaron una heurística potente para entender la incidencia de las redes sociales en el análisis de la delincuencia.
Por otra parte, en algunos trabajos en el campo más específico de la teoría económica de los bienes ilegales se han construido modelos formales de los mercados de bienes ilegales, en donde se analiza la incidencia de las transformaciones en las estructuras de mercado en el contexto de mercados oligopólicos (Poret y Téjédo, 2006), los cambios en el tamaño del mercado en el contexto de mercados de competencia monopolística (Costa Storti y De Grauwe, 2008, 2009) o de las redes de distribución de drogas y la estructura vertical de la cadena productiva de las actividades ilegales (Poret, 2002). Pero ninguno de estos trabajos ha desarrollo un modelo formal del mercado de drogas ilegales en el que, aparte de la modelación tradicional de los productores y demandantes en el contexto de una estructura de mercado particular, se incorpore el análisis de la incidencia de las redes criminales que soportan el funcionamiento de esta clase de mercados, utilizando la teoría de redes sociales.
El modelo analítico que se expone a continuación constituye una estructura general que puede resolverse analíticamente y numéricamente para cualquier tipo de estructura de redes. No obstante, con el propósito de entender el comportamiento agregado de los mercados de drogas ilegales y sus precios, en el presente artículo sólo se expone la solución del modelo con redes regulares.
II. Marco teórico e hipótesis de partida
El marco teórico de esta investigación es la economía del crimen y la teoría económica de los bienes ilegales, en especial los modelos a los que se ha hecho referencia arriba; sin embargo, la utilización de la teoría de juegos, la teoría de redes sociales y el análisis de estructuras de mercado también son vitales en ella. El modelo alternativo que se propone se basa en el trabajo de Poret y Téjédo (2006), pero se parte de una hipótesis diferente sobre la probabilidad de detección y arresto (PDA) de los narcotraficantes.
A. El modelo de Poret y Téjédo
El propósito del artículo de Poret y Téjédo (2006) es "explicar la multiplicación paradójica de los narcotraficantes resultante del endurecimiento de la represión ejercida en su contra, y en particular, en contra de los traficantes más grandes" (p. 101)3. Para entender este fenómeno los autores desarrollaron un modelo de equilibrio parcial con el propósito de explicar el comportamiento de los mercados de drogas ilegales.
Su modelo parte de que la competencia entre los traficantes se desenvuelve en una estructura de mercado oligopólica a la Cournot sujeta a represión por parte de las autoridades de control. Su punto de partida es la hipótesis de que la PDA de un narcotraficante depende de la cantidad de drogas ilegales que vende en relación con las ventas agregadas del mercado. Así, en su modelo la PDA de un traficante viene dada por:
di = d(qi / q),
en donde 0 < d < 1 es un parámetro que representa la probabilidad de detección de una transacción ilegal (equivalente a la transacción de una unidad de drogas), qi representa las ventas ilegales del traficante i, y q las ventas agregadas del mercado.
Su hipótesis de partida se apoya en tres argumentos: 1) los traficantes de tamaño mediano desean que las autoridades eliminen del mercado a los cárteles o traficantes más grandes. 2) La opinión pública conoce los grandes traficantes y las autoridades de control hacen esfuerzos para capturarlos y arrestarlos. 3) El propio tamaño de los grandes traficantes atrae la atención de las autoridades de control (Poret y Téjédo, 2006). Pero, más allá de estos argumentos, lo que sustenta su hipótesis es que la visibilidad de un traficante ante la ley está ligada a la proporción que representan sus ventas en las ventas totales del mercado.
Al resolver su modelo para el equilibrio de corto plazo los autores encuentran que una intensificación de la represión por parte de las autoridades de control induce a una baja en las ventas agregadas de drogas. Al endogenizar la estructura horizontal del mercado de drogas ilegales en su modelo, Poret y Téjédo hallan que en el equilibrio de largo plazo, al intensificarse la represión, el número óptimo de traficantes se incrementa. Como resultado de lo anterior, a pesar de que una mayor represión induce a cada traficante a vender menos drogas, el efecto neto sobre las ventas agregadas del mercado es nulo, ya que al intensificarse la represión entran nuevos traficantes en el mercado. Esto último da como resultado un incremento en las ventas agregadas de drogas que compensa el primer efecto. Este resultado es de gran relevancia en el campo, pues demuestra que, bajo las hipótesis del modelo, las políticas de represión son inocuas.
B. Una hipótesis de partida alternativa
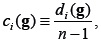
En este trabajo se parte de una hipótesis alternativa sobre la PDA de un narcotraficante. Se supone que ésta es directamente proporcional a su centralidad de grado en la red de contactos sociales y, en particular, en la RTD en la que se encuentra conectado para ejecutar sus distintos plantes y acciones. La centralidad de grado de un agente inmerso en una red de contactos sociales es una medida de centralidad que mide cuántos contactos directos tiene éste (con otros agentes pertenecientes a la misma red) en relación con el número total de agentes en la red. Ésta es la medida de centralidad más sencilla que existe y se define formalmente así:

en donde n es el número de nodos –en este caso traficantes– en la red g; di(g) < n – 1 es el grado del traficante i en g. El grado de un agente en una red de contactos sociales, di(g), mide el número de contactos directos que aquel tiene. El valor de la centralidad de grado de un agente puede estar entre 0 (para un agente aislado sin ningún vínculo social) y 1 (para un agente conectado con el resto de agentes en la red) (Jackson, 2008). Tanto di(g) como n son variables discretas en N0+.
Esta idea ha sido defendida ampliamente en una serie de trabajos en el campo de la criminología y el estudio de las organizaciones desde una perspectiva de redes sociales, en donde se sustenta que la PDA de un delincuente (como es el caso de un traficante) está correlacionada positivamente con su centralidad de grado en la red criminal en donde se desenvuelve (Baker y Faulkner, 1993; Morselli, 2009, 2010; Calderoni, 2011).
En su trabajo clásico sobre las prácticas concertadas para fijar los precios y las redes ilegales en la industria de equipo eléctrico pesado en EE.UU., Baker y Faulkner (1993) advierten que en las redes ilegales el grado de un agente es crítico porque indica su vulnerabilidad legal. En cambio, afirman que la centralidad de intermediación (betweenness-centrality) de un agente refleja qué tan estratégicamente ubicado se encuentra aquel como puente entre los diferentes actores de la red, por lo que en principio no es indicador de la visibilidad de los agentes ante la ley. Esta medida de centralidad capta qué tan central es un individuo como intermediario clave o broker dentro de una red (Morselli, 2010). Formalmente, la centralidad de intermediación de un nodo i compara el número de trayectorias más cortas entre otros dos nodos j y k en las que éste intermedia. Se define como:

en donde Pi(kj) denota en número de trayectorias más cortas entre k y j que pasan por i, y P(kj) el número total de trayectorias más cortas entre k y j (Jackson, 2008).
En su análisis empírico de la estructura de las redes de prácticas concertadas para fijar precios, Baker y Faulkner (1993) estiman una serie de regresiones logísticas para explicar la probabilidad de declaración de culpabilidad de los individuos participantes en las redes ilegales estudiadas. Ellos hallan que la centralidad de grado de los individuos de la muestra es significativa al 1% e incide positivamente en la probabilidad de declaración de culpabilidad de los participantes en las rede ilegales. También encontraron que la centralidad de intermediación no resulta ser significativa.
En su estudio sobre una red de distribución de drogas conformada por los Angeles del Infierno de Quebec, Canadá (Quebec Hells angels), Morselli (2010) también encuentra evidencia a favor de la centralidad de grado como indicador de la vulnerabilidad y visibilidad de los participantes en dicha red ante la ley. Con fines analíticos divide la muestra de individuos estudiados en cuatro grupos: los participantes con baja centralidad de grado y baja centralidad de intermediación, los participantes con baja centralidad de grado y alta centralidad de intermediación, los participantes con alta centralidad de grado y baja centralidad de intermediación y, por último, aquellos con niveles altos de las dos medidas de centralidad. Como era de esperarse, Morselli halla que la proporción más alta de los arrestos de los miembros de la red criminal en la llamada Operación Springtime (85%) corresponde al grupo de individuos con mayor centralidad de grado y menor centralidad de intermediación.
Según Calderoni (2011) la literatura criminológica en la materia ha recalcado que diferentes medidas de la centralidad de los agentes muestran diferentes tipos de influencia en la probabilidad de detección, captura, arresto y sentencia de los agentes ilegales: mientras que el grado de los agentes tiende a incidir positivamente en dicha probabilidad, la centralidad de intermediación lo hace de forma negativa. A su vez, a medida que un mayor grado de un agente en la red delictiva en la que se desenvuelve implica una mayor vulnerabilidad y visibilidad, un mayor nivel de intermediación proporciona un cierto poder de intermediación estratégico que no necesariamente implica una mayor visibilidad ante la ley.
Por todo lo anterior, tiene sentido en este modelo utilizar la centralidad de grado como el determinante principal de la PDA de los traficantes. Así, en este modelo se parte de que la PDA de un agente depende de forma directamente proporcional de su centralidad en la red en la que se desenvuelve como delincuente.
Por otra parte, siguiendo la literatura sobre economía del crimen, mencionada al comienzo, se supone que la PDA de un traficante también depende de forma inversamente proporcional de la actividad delictiva realizada por parte de los traficantes que se encuentran conectados a él en la red criminal. En particular, se supone que la PDA de cada narcotraficante depende de forma inversamente proporcional de la centralidad de los agentes con los que se encuentra conectado. Esta dependencia capta el hecho de que un agente que posee un determinado número de vínculos directos en su red criminal y además los agentes con los que se encuentra conectado de forma directa (sus vecinos en términos técnicos) tienen menos vínculos directos que él, no tendrá el mismo nivel de visibilidad que el de un agente con el mismo número de vínculos directos pero con vecinos que poseen un mayor número de vínculos directos que él: la PDA del primero será mayor que la del segundo, ya que su visibilidad relativa ante la ley frente a la de sus vecinos será mayor.
Por lo tanto, las conexiones directas de los vecinos de un narcotraficante, o sea sus conexiones indirectas a dos vínculos de distancia geodésica4, producen a éste una serie de externalidades que inciden de forma negativa en su PDA.
Teniendo en cuenta lo anterior, la hipótesis de partida define formalmente la PDA de un traficante así:

en donde ci(g) es la centralidad de grado del agente i en la red g; 0 < h < 1 es un parámetro que representa la probabilidad de detección de una transacción ilegal, que equivale, al igual que el parámetro d en el modelo de Poret y Téjedo (2006), a la probabilidad de detectar una unidad de drogas; gij representa el posible vínculo que el agente i tiene con otro agente j, de modo que gij = 1 si existe un vínculo entre ellos, y gij = 0 en caso contrario.
Puede probarse que en (1) la PDA de un traficante depende de forma directamente proporcional de su propia centralidad, e inversamente de los niveles de centralidad de los demás agentes con los que se encuentra conectado. La expresión en el numerador de (1) capta el efecto positivo que tiene la centralidad de grado sobre la visibilidad del agente i y, por ello, en su PDA. Mientras tanto, la expresión del denominador y, en particular, el término
captura el efecto de las externalidades locales o efectos de derrame (peer effects) generados por las conexiones sociales de los vecinos de i. Esto se fundamenta en los trabajos recientes de la economía del crimen a los que ya se hizo referencia antes. Además, la expresión en el denominador de (1) permite escalar su valor entre 0 y 1, lo que es necesario debido a que fi(h,g) expresa una probabilidad, de ahí que en el denominador se incluya también el término ci(g).
III. El modelo
La contribución de este modelo es la incorporación al análisis de la incidencia de las redes de tráfico y distribución de drogas ilícitas (RTD), las cuales pueden concebirse como una clase particular de redes criminales al servicio de las organizaciones ilegales que se encargan del tráfico y distribución de los estupefacientes. Al igual que en los modelos de Poret (2002, 2009) y Poret y Téjédo (2006), en este trabajo se parte de que el comportamiento de los mercados de ventas finales de drogas ilegales puede concebirse como una estructura de mercado oligopólica con competencia a la Cournot. Se trata de un modelo de equilibrio parcial, de modo que el análisis se concentra en el sector ilegal; por tal razón, el parámetro h de probabilidad de detección de una transacción ilegal –en (1)– se supone constante.
Siguiendo a Poret y Téjédo (2006) se parte de que en el mercado de drogas ilícitas interactúan tres tipos de agentes diferentes: n >1 traficantes o distribuidores de drogas, las autoridades de control –pueden ser entidades estatales como la policía antinarcóticos, el ejército u otras entidades internacionales o multilaterales de control– y los compradores de drogas. Se supone que la venta de una unidad de drogas equivale a una sola transacción; así, cuando el traficante i vende qi unidades de drogas está realizando qi transacciones.
Todos los traficantes se articulan a una RTD, g, la cual formalmente se representa por el grafo (N,V) que está constituido por un conjunto de nodos (N) y un conjunto de vínculos entre ellos (V); el conjunto de nodos corresponde al conjunto de n vendedores de drogas en el mercado. Cuando el traficante i sostiene una relación social con j se tiene que gij = 1, en caso contrario gij = 0.
Siguiendo a Calvó-Armengol y Zenou (2004), y por sencillez, se supone que g, representa un grafo no dirigido, de modo que gij = gji, ∀i, ∀j ∈ N. Este supuesto implica que los vínculos sociales de los traficantes en su RTD son recíprocos, lo que es natural para redes criminales o ilegales, debido a que los vínculos se basan en la confianza y lealtad mutua de las partes. De hecho, la presencia de vínculos estrechos de parentesco y amistad es vital para garantizar el funcionamiento de las diferentes transacciones ilegales del narcotráfico (Silva de Sousa, 2004). Aunque en el caso de redes regulares, que es el tipo de solución del modelo que se presenta en este artículo, es lógico suponer que los vínculos son recíprocos y, por ende, que la matriz de adyacencia correspondiente a g, es simétrica, para casos más generales de solución –no abordados en este artículo– este supuesto podría relajarse sin mayores implicaciones para los principales resultados del modelo. Además, se supone por convención que gii = 0, ∀ ∈ N.
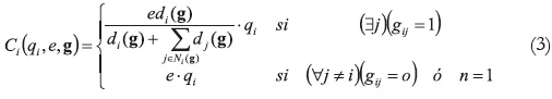
Siguiendo a Poret y Téjédo (2006) se supone que las autoridades de control utilizan dos instrumentos para ejercer represión contra la oferta de drogas: en primer lugar, sus esfuerzos para detectar y arrestar a los traficantes y, en segundo lugar, una multa pagada por los vendedores cuando son arrestados y sentenciados como castigo por su delito. El primer instrumento se capta por la PDA que enfrenta cada traficante, fi(h,g) tal como se definió en (1) y se explicó en la sección anterior.
Sea Ni(g) = {ij ∈ g|gij = 1} la vecindad de i en g. Con esta definición, de (1) teniendo en cuenta que
, tras simplificar, la PDA de i se puede expresar como:

Puede constatarse de (1') que la PDA de un traficante i depende de forma directamente proporcional de su grado en g, di(g), pero inversamente del grado de sus vecinos, dj(g), ∀j ∈ Ni(g). Esto se desprende de lo planteado en (1).
La multa pagada por los traficantes capturados es una función lineal de la cantidad de drogas vendida por los traficantes (Burrus, 1999; Poret 2002; Poret y Téjédo, 2006). Ésta viene dada por
S(qi) = sqi, (2)
en donde s es un parámetro positivo. Multiplicando los parámetros s y h se puede definir la sanción unitaria esperada (por transacción) para un monopolio (n =1) o para un agente aislado como e ≡ hs > 0; ésta es una medida de la intensidad de la represión ejercida por las autoridades de control. Juntando los dos instrumentos de control, se pueden definir los costos esperados derivados de la represión o control a las drogas que enfrenta un vendedor i; éstos corresponden a la PDA multiplicada por S(qi):

Esta es una función de costos lineal en qi. Por sencillez, se supone que los traficantes no enfrentan ningún otro costo asociado a las ventas de drogas.
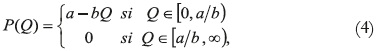
Finalmente, se supone que la función inversa de demanda de drogas es lineal del tipo

en donde a y b son parámetros positivos, y
es la cantidad total de drogas vendida en el mercado.
IV. La solución del modelo con redes regulares
La solución del modelo con redes regulares es muy interesante por dos razones: primero, el modelo puede resolverse fácilmente hallando un equilibrio simétrico de Nash para las ventas de drogas individuales de los traficantes y, segundo, se puede analizar fácilmente el impacto agregado de cambios en los parámetros de la red y en el de política (e).
Se supone que cada traficante tiene el mismo número de contactos, de modo que el grado de todos ellos en g, es el mismo; por lo tanto di(g) = d > 0, ∀i ∈ N. Por la simetría de la RTD, d corresponde al grado medio de los agentes en la red, mientras que d/(n –1) representa la densidad media en g. En este caso la PDA de cada agente queda así:

expresión que simplificando queda simplemente como:

Esta ecuación revela que con redes regulares los únicos factores determinantes en la PDA son h y d, parámetro que en este caso capta las externalidades positivas originadas por las conexiones directas de los vecinos de i. Sin embargo, la expresión que capta el grado de los vecinos j también desaparece de la expresión –como puede verse arriba–, pues se cancela con el grado de i, ya que ambos son iguales por tratarse de redes regulares. Por lo tanto, en este caso, el efecto directo de la centralidad de grado no influye en la PDA. La razón para esto es obvia: como todos los agentes poseen la misma centralidad de grado, todos tienen el mismo nivel de visibilidad frente a la ley, pero el impacto de las externalidades positivas derivadas de las conexiones de los vecinos de los traficantes sí influye de forma inversamente proporcional sobre su PDA, a través del parámetro d en el denominador de la PDA.
El problema que enfrenta cada vendedor ilegal es maximizar sus ganancias esperadas:

en donde q–i ≡ (q1, q2,... qi+1,...,qn) denota el vector de cantidades de drogas vendidas por los demás traficantes en el mercado. Su condición de primer orden es:

Puede observarse que para cada i se cumple la condición de segundo orden para un máximo, ya que
Despejando qi* de (7) se halla la función de reacción de las ventas de i en función de las cantidades vendidas por el resto de agentes:

Resolviendo el modelo para el equilibrio simétrico de Nash se obtienen los siguientes resultados. Las ventas de equilibrio de cada traficante son:

Las ventas agregadas son

Puede verse que q* y Q* son positivos sí y solo sí

El nivel
de la multa unitaria esperada representa un umbral más allá del cual no existe ningún mercado ilegal. Como 0 < d < n – 1 queda claro que a <
< an . Como la represión es costosa tiene sentido suponer que se cumple la condición de (11). Lo mismo plantean Poret y Téjédo (2006) en su modelo. En efecto, el nivel
generalmente no es alcanzable en el mundo real.
La ecuación (10) corrobora que se cumple la Proposición 1 de Poret y Téjédo (2006). La siguiente proposición establece el mismo resultado en este modelo.
A. Proposición 1
Si 0 < d < n – 1 y e <
se cumple que:
i) Dados los valores de n y d, un incremento (descenso) en la intensidad de la represión (e) causa una disminución (un incremento) en las ventas agregadas de drogas.
ii) Dados los valores de e y d, las ventas agregadas de drogas crecen (bajan) al incrementarse (disminuir) n.
Prueba: (ver Anexo).
La primera parte de la Proposición 1 prueba que, ceteris paribus, una política de represión más fuerte causa siempre una reducción en las ventas agregadas de drogas. Esto se explica por el impacto que tiene esta medida sobre cada traficante: al incrementarse e se incrementan los costos esperados marginales y totales de la represión. Esto queda claro al observar la función costos esperados derivados de la represión, que en este caso es

La derivada
, puede interpretarse como la eficacia marginal de la represión; ésta también depende de los parámetros de la red. No obstante, no depende del propio valor de , lo que indica que las ventas agregadas descienden linealmente en . El Gráfico 1 ilustra esto.
La segunda parte de la Proposición 1 muestra que, ceteris paribus, un incremento en el número de traficantes en el mercado resulta en un incremento en las ventas agregadas de drogas. Como Poret y Téjédo (2006) advierten, se trata de un efecto de la mayor competencia. A pesar de esto, al crecer n bajan las ventas individuales de cada traficante. Nótese que
. Esto se explica porque la mayor competencia tiende a deprimir los precios de la drogas, haciendo que también descienda el ingreso marginal que enfrenta cada traficante, por lo que cada uno reduce sus ventas. Por lo tanto, a nivel agregado, este efecto individual es más que compensado por la presencia de más vendedores en el mercado. Sin embargo, los incrementos que se producen al crecer n están acotados para niveles altos de este parámetro: puede observarse que en el límite cuando n → ∞, Q* es asíntota en
. El Gráfico 2 muestra que Q* es una función convexa creciente de n.
Dado un valor fijo de n, un incremento (descenso) en la densidad media de la red (d/n –1) es proporcional a un incremento (una disminución) en el grado medio de la red (d). Por ello, en lo que sigue, se analizan los efectos de los cambios en la densidad media de la red a través del examen de los efectos de los cambios en el grado medio de la red. Se puede plantear la siguiente proposición.
B. Proposición 2
Supóngase que 0 < d < n –1 y que e <
. Dados los valores de e y n, un incremento (descenso) en la densidad media de la red conduce a un aumento (una baja) en las ventas agregadas de drogas.
Prueba: (ver Anexo).
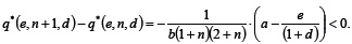
Este resultado se explica por el impacto que tiene una mayor densidad media de la red sobre cada traficante. Al incrementarse ésta crece el número de conexiones directas de las que dispone cada agente y, en consecuencia, el grado d de cada uno en g. Esto significa que se intensifican las externalidades locales positivas o efectos de derrame (peer effects) derivados de las conexiones de los vecinos de cada agente con otros traficantes, lo que conduce a una baja en sus PDA (ver ecuación (5))6. Como consecuencia de lo anterior, disminuye el valor de sus costos esperados totales y marginales derivados de la represión (ver ecuación (6)), por lo que, en equilibrio, los traficantes tienen incentivos para vender una mayor cantidad de drogas. Tal como ya se observó antes, el impacto directamente proporcional de la centralidad de grado de i sobre su propia PDA no influye con redes regulares, debido a que todos los agentes por definición tienen la misma centralidad de grado en este caso.
Obsérvese que 
De modo que al crecer d bajan los costos esperados de represión que enfrenta cada traficante, por lo que cada uno tiene incentivos para vender más. De (12) se desprende que la presencia de una mayor cantidad de externalidades positivas originadas en las conexiones directas de sus vecinos permite reducir sus costos esperados: 
La tasa de cambio de Q* con respecto a un cambio unitario en d también depende de la estructura concreta de la RTD; de hecho, puede probarse que Q* es una función cóncava creciente de d y es asíntota en el límite cuando d → ∞ en
. El Gráfico 3 ilustra esta relación.
Reemplazando Q* en la función inversa de demanda se obtiene el precio de mercado de equilibrio:

Para e <
sta ecuación siempre da valores positivos, como era de esperarse. Esta ecuación corrobora que en equilibrio existe una relación directamente proporcional entre la intensidad de la represión y el precio de equilibrio de las drogas. Con una función inversa de demanda de pendiente negativa esta relación es consecuencia de lo que acontece con Q* cuando cambia e. Este resultado ha sido probado en muchos trabajos y es uno de los hallazgos más importantes en el campo de la economía del crimen y, en particular, en el de la teoría económica de los bienes ilegales a nivel teórico (Ortiz, 2009; Poret y Téjédo, 2006; Becker, Murphy y Grossman, 2006; Caulkins y Reuter, 2010; Raffo, 2010, entre otros). La Proposición 3 establece esto formalmente.
C. Proposición 3
Si 0 < d < n –1 y e <
, entonces se cumple que:
i) Dados los valores de n y d, un incremento (descenso) en la intensidad de la represión (e) causa un aumento (una disminución) en el precio de equilibrio de las drogas ilícitas.
ii) Dados los valores de e y d, el precio de equilibrio de las drogas desciende (sube) al crecer (disminuir) n.
Prueba: (ver Anexo).
La expresión
puede concebirse como el impacto marginal de la política de represión sobre los precios de las drogas. Puede observarse que ésta, a su vez, depende de los parámetros de la red (n y d), pero no depende de e, lo que indica que P* crece linealmente con e, como lo muestra el Gráfico 4.
La segunda parte de la Proposición 3 revela que un incremento en el número de vendedores conduce, ceteris paribus, a una caída en el precio de equilibrio de las drogas. Esto se debe a que el incremento en el número de agentes genera una mayor competencia que jalona las ventas totales de drogas y, a la postre, induce una baja en su precio de equilibrio. La tasa de cambio en P*, cuando se presenta un cambio unitario en n –como se puede ver arriba–, también depende de los parámetros de la red (n y d), al igual que de e y a. En efecto, puede probarse que P* es una función convexa decreciente en n, como muestra el Gráfico 5.
Ahora bien, un incremento en la densidad media de la RTD lleva a que el precio de equilibrio descienda. Este fenómeno puede concebirse como otro efecto de la mayor competencia, en esta ocasión propiciado por la presencia de redes más densas y, por ello, más eficientes. Esto también es un resultado directo de lo que sucede con Q* cuando cambia d. La siguiente proposición establece esto formalmente.
D. Proposición 4
Supóngase que 0 < d < n –1 y que e <
. Entonces dados los valores de e y n, un incremento (descenso) en la densidad media de la red induce un descenso (aumento) en el precio de equilibrio.
Prueba: (ver Anexo).
El impacto marginal de un incremento en d depende de los parámetros de la red; puede probarse que P* es una función convexa decreciente de d. El Gráfico 6 lo evidencia.
Finalmente, con los resultados anteriores pueden calcularse las ganancias esperadas de equilibrio de los traficantes. Sustituyendo (9) y (13) en la función de ganancias esperadas se obtiene

o, lo que es lo mismo,

Esta ecuación revela que las ganancias esperadas de un traficante son proporcionales a sus ventas. Puede probarse que las ganancias esperadas de equilibrio, ceteris paribus, son una función cóncava decreciente de la intensidad de la represión. También puede probarse que, ceteris paribus, éstas son una función decreciente del número de vendedores en el mercado. La siguiente proposición formaliza estos resultados.
E. Proposición 5:
Suponiendo 0 < d < n –1 y que e <
se cumple que:
i) Dados los valores de n y d, las ganancias esperadas equilibrio de cada traficante son una función convexa decreciente en e.
ii) Dados los valores de e y d, las ganancias esperadas de equilibrio de cada traficante decrecen (suben) al incrementarse (disminuir) n.
Prueba: (ver Anexo).
El primer resultado se explica por el impacto negativo que tiene un endurecimiento de las políticas de represión sobre las ventas de cada traficante –que puede denominarse como efecto cantidades–, sumado al impacto positivo que induce sobre sus costos esperados (efecto costos). La forma convexa de la relación entre π* y e se explica por el impacto positivo que un incremento en e genera sobre el precio de equilibrio (efecto precio); no obstante, este último efecto no es lo suficientemente fuerte como para compensar los dos primeros, aunque para niveles relativamente altos de e éste tiende a potenciarse, dando lugar sólo a bajas pequeñas en las ganancias de los vendedores cuando se intensifica la represión.
Esto significa que, para niveles relativamente altos de represión, aunque la medida resulta eficaz para contener las ventas de drogas ilegales, no lo es tanto para constreñir las ganancias esperadas de los vendedores de forma significativa. Esto devela el porqué, aun considerando que no se lleguen a alterar los demás parámetros relevantes en el análisis, las políticas de represión a la oferta pueden ser poco eficaces para detener el funcionamiento de las actividades ilegales y doblegar las expectativas de ganancias que las soportan, si no logran contener las ganancias esperadas de los traficantes de forma significativa. En realidad, una política de represión tendría que inducir bajas muy fuertes en las ganancias esperadas de los traficantes para ser efectiva ya que, generalmente, éstas son extremadamente altas dados los elevados precios relativos de los estupefacientes. De hecho, como niveles de e cercanos a
. no son alcanzables en la práctica por los altos costos que comportan, los niveles de en que las ganancias esperadas se anulan no son alcanzables en la práctica. El Gráfico 7 representa a π* como una función de e.
La segunda parte de la proposición se explica por el efecto de competencia que produce la presencia de una mayor cantidad de traficantes: este efecto tiene un impacto negativo sobre las ventas individuales y, aparte de esto, deprime los precios de equilibrio de los alucinógenos. Puede probarse que las ganancias esperadas también son una función convexa decreciente de n; el Gráfico 8 lo muestra. La forma convexa de la relación se debe a que tanto p* como q* son funciones convexas decrecientes en n.
Por otra parte, puede probarse que, ceteris paribus, n y e un incremento en el grado medio de la red induce un repunte de las ganancias esperadas de equilibrio de los traficantes. Los incrementos en la densidad media de la red generan tres tipos de efectos diferentes: en primer lugar, afectan positivamente las ventas individuales (efecto cantidades); en segundo lugar, afectan negativamente los costos esperados de los vendedores (efecto costos) y, por último, inducen descensos en el precio de equilibrio del mercado (efecto precio). Sin embargo, este último efecto no logra compensar los dos primeros, por lo que el efecto neto es un incremento en las ganancias esperadas individuales. La siguiente proposición formaliza este resultado.
F. Proposición 6
Supóngase que 0 < d < n –1 y que e <
. Entonces dados los valores de e y n, un incremento (descenso) en la densidad media de la red induce un incremento en las ganancias esperadas de los traficantes.
Prueba: (ver Anexo).
El Gráfico 9 ilustra la relación entre π* y d.
Esta gráfica muestra que las ganancias esperadas siempre crecen con d, pero la curva tiene un tramo convexo inicialmente y luego se torna cóncava.
La forma, primero convexa y luego cóncava de la función, se explica por la confluencia de los tres tipos de efectos que se presentan cuando d crece, en especial por la forma cóncava en que crecen las ventas individuales y la forma convexa en que decrecen los costos esperados cuando se incrementa d.
Conclusiones
Al comienzo del artículo se planteó la hipótesis de que la transformación de las RTD jugó un papel fundamental en la evolución de los mercados ilegales y sus precios a lo largo del periodo observado. En efecto, el modelo expuesto revela que dos fenómenos que explican la caída de largo plazo de los precios, a pesar de la fuerte represión ejercida a la oferta de las drogas ilícitas en el contexto de la guerra contra las drogas, son, por una parte, los incrementos en el número de traficantes y, por otra, el incremento en la densidad media de las RTD.
La solución del modelo para el caso sencillo de redes regulares permitió probar los siguientes resultados en el contexto de la estructura analítica desarrollada. En primer lugar, en consonancia con los resultados de Poret y Téjédo (2006) se probó que, mientras una mayor intensidad de la represión conduce a un descenso en las ventas agregadas de drogas, un incremento en el número de traficantes en el mercado, o sea una expansión de las RTD subyacentes, induce un incremento de la misma variable.
En segundo lugar, se probó que redes criminales más (menos) densas implican mayores (menores) ventas agregadas en los mercados ilegales. Esto se debe a que la operación de redes más densas permite la generación de una mayor cantidad de externalidades positivas derivadas de la actividad delictiva de los traficantes inmersos en la red, que permiten disminuir la PDA de los traficantes y, con ello, los costos esperados derivados de la represión que enfrentan.
Estos hallazgos sobre las incidencia de las redes ilegales constituyen una contribución del artículo y permiten corroborar, para el caso del narcotráfico, la hipótesis de Calvó-Armengol y Zenou (2004) y Ballester et al. (2006, 2009), según la cual las actividades delictivas se potencian a medida que las redes criminales se expanden: redes más grandes y/ó más densas conllevan a la realización de un mayor nivel agregado de esfuerzo delincuencial, en este caso un mayor nivel de ventas de drogas ilegales.
En tercer lugar, se corroboró un resultado convencional en la materia: una mayor intensidad de la represión conduce a un incremento de los precios de equilibrio de las drogas.
En cuarto lugar, se probó que bajo los supuestos del modelo, con un mayor número de traficantes, o sea con RTD más grandes, se produce una mayor competencia conducente a menores precios de equilibrio de los estupefacientes. Por último, se constató que la densificación de las RTD también induce descensos en los precios de equilibrio de los alucinógenos.
En síntesis, el modelo teórico expuesto avanza en la solución del enigma de la baja de los precios a nivel teórico, porque revela que un mayor número de traficantes y mayores niveles de densidad en las redes de tráfico de drogas conducen a bajas en los precios de los estupefacientes. En la realidad ambos fenómenos –un mayor número de traficantes y mayores niveles de densidad en las redes de tráfico de drogas– pueden desenvolverse al mismo tiempo. En palabras de Caulkins y Reuter:
A more subtle factor is that the distribution network is more robust in larger markets. Drug distribution networks are embedded within a larger social network. The larger the drug market, the denser is the embedded distribution network. Denser networks have more redundant linkages, making it harder for enforcement to isolate a subnetwork through judicious elimination of certain nodes or arcs (2010, p. 242).
Una mayor densidad de las RTD implica una mayor eficiencia en todo el proceso de tráfico y distribución de las drogas ilegales y, en consecuencia, menores precios de las drogas al por mayor y al por menor.
Quedan por explorar otras implicaciones y predicciones del modelo cuando éste se simula y resuelve para otras estructuras de red más realistas: redes irregulares, como redes de jerarquía agrupada o redes de mundos pequeños, que replican de forma más precisa las redes reales de tráfico y distribución de drogas. Esto se pretende hacer en próximos artículos y permitiría avanzar en la comprensión de la incidencia que tienen las redes criminales, así como las diferencias en las posiciones operativas y jerárquicas de los distintos traficantes en ellas, y sobre la operación y el funcionamiento de los mercados ilegales.
El modelo también podría calibrarse para mercados de drogas y redes de tráfico de drogas concretas en Colombia, que a partir de trabajos de campo o de la información disponible en fuentes oficiales como la Policía Nacional puedan reconstruirse. Hacer esto permitiría diseñar políticas de represión más efectivas, teniendo en cuenta las particularidades de las redes criminales que sean objeto de investigación policíaca e identificando los agentes claves en ellas.
NOTAS
1 Este artículo es un producto del proyecto de investigación ¿Cómo inciden las redes de tráfico de drogas en los mercados ilegales?, el cual tuvo el apoyo del Centro de Investigaciones y Documentación Socioeconómica (CIDSE) y de la Facultad de Ciencias Sociales y Económicas de la Universidad del Valle.
2 Un comportamiento similar se puede observar para los precios de las metanfetaminas, aunque con un mayor grado de volatilidad (UNOCD, 2009, 2010, 2011, 2012, 2013; Fries et al., 2008).
3 La traducción es propia.
4 La distancia geodésica entre dos nodos corresponde a la trayectoria más corta entre ellos.
5 fi en (1) se define de forma discontinua, ya que cuando i es un agente aislado o cuando hay un solo agente (un monopolio), la expresión
se indetermina, pues por definición ci(g) es cero en ese caso.
6 Como ya se explicó antes, las externalidades locales positivas que enfrenta i actúan en proporción al grado de sus vecinos, o sea que se originan en las conexiones indirectas (a una distancia geodésica de dos vínculos) de i. Pero, –como ya se aclaró– con redes regulares el parámetro de grado de los vecinos desaparece de la expresión de la PDA al simplificar la expresión, quedando en su denominador solo 1 más el parámetro d (el grado de i).
Bibliografía
Baker, Wayne y Faulkner, Robert (1993). "The Social Organization of Conspiracy: Illegal Networks in the Heavy Electrical Equipment Industry", American Sociological Review, Vol. 58, No 6, pp. 837-860. [ Links ]
Ballester, Coralio; Calvó-Armengol, Antoni y Zenou, Yves (2006). "Who's Who in Networks. Wanted: The Key Player", Econometrica, Vol. 74, No 5, pp. 1403-1417. [ Links ]
Ballester, Coralio; Calvó-Armengol, Antoni y Zenou, Yves (2009). "Delinquent Networks", IZA Discussion Paper Series, No 4122. The Institute for the Study of Labor (IZA) [ Links ]
Becker, Gary; Murphy, Kevin y Grossman, Michael (2006). "The Market for Illegal Goods: The Case of Drugs", Journal of Political Economy, Vol. 114, No 1, pp. 38-60. [ Links ]
Burrus, Robert (1999). "Do Efforts to Reduce the Supply of Illicit Drugs Increase Turf War Violence? A Theoretical Analysis", Journal of Economics and Finance, Vol. 23, No 3, pp. 226– 234. [ Links ]
Calderoni, Francesco (2011). Strategic Positioning in Mafia Networks. Recuperado de: http://www.erdr.org/textes/calderoni.pdf (agosto 4 de 2013). [ Links ]
Calvó-Armengol, Antoni y Zenou, Yves (2004). "Social Networks and Crime Decisions: The Role of Social Structure in Facilitating Delinquent Behavior", International Economic Review, Vol. 45, No 3, pp. 939-958. [ Links ]
Caulkins, Jonathan y Reuter, Peter (2010). "How Drug Enforcement Affects Drug Prices?", Crime and Justice, Vol. 39, No 1, pp. 213-271. [ Links ]
Costa Storti, Claudia y De Grauwe, Paul (2008). "Modelling the Cocaine and Heroin Markets in the Era of Globalization and Drug Reduction Policies", CESifo Venice Summer Institute, 14-15 July 2008. Disponible en https://www.cesifo-group.de/portal/pls/portal/!PORTAL.wwpob_page.show?_docname=1054118.PDF (enero 3 de 2011). [ Links ]
Costa Storti, Claudia y De Grauwe, Paul (2009) "The Cocaine and Heroin Markets in the Era of Globalization and Drug Reduction Policies", International Journal of Drug Policy, Vol. 20, No 6, pp. 488-496. [ Links ]
Fries, Arthur; Anthony, Robert; Cseko, Andrew Jr.; Gaither, Carl y Schulman, Eric (2008). "The Price and Purity of Illicit Drugs: 1981- 2007", IDA Paper P-4369. Institute for Defense Analyses. Recuperado de: http://www.whitehouse.gov/sites/default/files/ondcp/policy-and-research/bullet_1.pdf (agosto 3 de 2013). [ Links ]
Granovetter, Mark (1973). "The Strenght of Weak Ties", American Journal of Sociology, Vol. 78, No 6, pp. 1360-1380. [ Links ]
Hagedorn, John. (1988). People and Folks: Gangs, Crime and the Underclass in a Rustbelt City. Chicago: Lake View Press. [ Links ]
Jackson, Matthew (2008). Social and Economic Networks. Princeton: Princeton University Press. [ Links ]
Miron, Jeffrey (2003). "The Effect of Drug Prohibition on Drug Prices: Evidence from de Market for Cocaine and Heroin", The Review of Economics and Statistics, Vol. 85, Issue 3, pp. 522-530. [ Links ]
Morselli, Carlo (2009). "Hells Angels in Springtime", Trends in Organized Crime, Vol. 12, Issue 2, pp. 145-158. [ Links ]
Morselli, Carlo (2010). "Assessing Vulnerable and Strategic Positions in a Criminal Network", Journal of Contemporary Criminal Justice, Vol. 26, Issue 4, pp. 382 -392. [ Links ]
Ortiz, Carlos. H. (2009). "The War on Drugs is Counterproductive, Once Again", Revista Lecturas de Economía, No 71, pp. 19-42. [ Links ]
Padilla, Félix (1992). The Gang as an American Enterprise. New Brunswick: Rutgers University Press. [ Links ]
Poret, Sylvaine (2002). "Paradoxical Effects of Law Enforcement Policies: The Case of the Illicit Drug Market", International Review of Law and Economics, Vol. 22, No 4, pp. 465-493. [ Links ]
Poret, Sylvaine (2009). "An optimal anti-drug law enforcement policy", International Review of Law and Economics, Vol. 29, No 3, pp. 221–228. [ Links ]
Poret, Sylvaine y Téjédo, Cyril (2006). "Law Enforcement and Concentration in Illicit Drug Markets", European Journal of Political Economy, Vol. 22, No 1, pp. 99-114. [ Links ]
Raffo, Leonardo (2010). "Narcotráfico y conflicto: Por qué bajó el precio de la cocaína", Revista de Economía Institucional, Vol. 12, No 23, pp. 229-258. [ Links ]
Silva de Sousa, R. (2004). "Narcotráfico y economía ilícita: las redes del crimen organizado en Río de Janeiro", Revista Mexicana de Sociología, Vol. 66, No. 1, pp.141-164. [ Links ]
Sutherland, Edwin H. (1947). Principles of Criminology (4th Ed.). Chicago: J. B. Lippincott. [ Links ]
Thornberry, Terence P.; Krohn, Marvin, D.; Lizotte, Alan, J. y Chard- Wierschem, Deborah, C. (1993). "The Role of Juvenile Gangs in Facilitating Delinquent Behavior", Journal of Research in Crime and Delinquency, Vol. 30, pp. 55-87. [ Links ]
UNODC (2009, 2010, 2011, 2012 y 2013). World Drug Report, New York. Recuperado de: https://www.unodc.org/wdr2014/en/previous-reports.html (julio 3 de 2013). [ Links ]
ANEXOS
Anexo: pruebas de las proposiciones






















