Servicios Personalizados
Revista
Articulo
Indicadores
-
Citado por SciELO -
Accesos
Links relacionados
-
Citado por Google -
Similares en
SciELO -
Similares en Google
Compartir
Revista de la Facultad de Medicina Veterinaria y de Zootecnia
versión impresa ISSN 0120-2952
Rev. Med. Vet. Zoot. v.57 n.1 Bogotá ene./abr. 2010
DESCRIPCIÓN MATEMÁTICA DE LA FUNCIÓN GOMPERTZ
APLICADA AL CRECIMIENTO DE ANIMALES
MATHEMATICAL DESCRIPTION OF THE GOMPERTZ FUNCTION
APPLIED TO ANIMAL'S GROWTH
C. A. Martínez1, A. P. Rodríguez2*, A. Jiménez3, C. Manrique4
Grupo de estudio en Mejoramiento y Modelación animal GEMMA,
Departamento de Ciencias para la Producción animal,
Facultad de Medicina veterinaria y de Zootecnia,
1camartinezn@unal.edu.co ,3ajimenezro@unal.edu.co ,4cmanriquep@unal.edu.co
*Departamento de Matemáticas, Facultad de Ciencias,
Universidad nacional de Colombia sede Bogotá.
2anprodriguezza@unal.edu.co
Artículo recibido: 01 de febrero de 2010; aprobado: 9 de abril de 2010
RESUMEN
Desde su aparición en 1825, la curva sigmoidea propuesta por Benjamin Gompertz ha sido aplicada en diferentes campos. En ciencias animales se usa frecuentemente para describir el crecimiento de los individuos. En el presente trabajo se muestra un análisis matemático de la función y la construcción de algunos de los parámetros que se obtienen de la misma.
Palabras clave: modelos matemáticos, crecimiento, función de Gompertz.
ABSTRACT
Since its appearing in 1825, the sigmoideal curve proposed by Benjamin Gompertz has been applied in different fields. In animal sciences it is frequently used to describe the individual´s growth. The present work shows a mathematical analysis of the function and the construction of some of the parameters obtained from it.
Key words: Mathematical models, growth, Gompertz function.
INTRODUCCIÓN
Desde su aparición en 1825 (1), la curva signoidea propuesta por Benjamin Gompertz ha sido aplicada en diferentes campos, aunque por mucho tiempo fue de interés solamente en seres humanos (2). En ciciencias animales es una de las funciones más empleadas para describir el crecimiento de los individuos.
El desconocimiento de las curvas de crecimiento y de parámetros productivos de interés económico ha limitado la implementación de programas de mejoramiento zoot'cnico que permitan aumentar la productividad (3), por tanto, resulta importante hacer uso de este tipo de herramientas en los sistemas de producción animal.
Ante la necesidad de un conocimiento adecuado de las funciones empleadas en la modelación de fenómenos biológicos y de los procesos matemáticos mediante los cuales se obtiene información acerca de las mismas, en el presente trabajo se describe matemáticamente la función de Gompertz y se muestra en detalle la construcción de los parámetros que de esta se derivan, los cuales brindan importante información acerca del fenómeno biológico que se está modelando. Dichos parámetros son: tasa de crecimiento, asíntotas horizontales, aceleración del crecimiento, punto de inflexión, tasa máxima de ganancia de peso, valor delta, tasa relativa de crecimiento, tasa de madurez sexual y grado de madurez absoluta.
LA FUNCIÓN GOMPERTZ
La función está definida de la siguiente manera:
f : R+ • R+
x g f(x)
Al ser aplicada para describir el crecimiento desde el nacimiento (edad 0) hasta la edad adulta la función es la siguiente:
En donde y corresponde al peso en el tiempo x,; xm es la edad a la madurez, mientras que a, b y c son constantes definidas así:
0 < a ε R, corresponde al peso adulto o asintótico.
1 < b ε R, es un parámetro de ajuste cuando y ≠ 0 ó x ≠ 0.
0 <c< 1, c ε R, es el índice de madurez.
Teniendo en cuenta la información anterior se tiene que 0 < y ε R
El recorrido de la función es [PN,a), en donde PN es el peso al nacimiento y a el peso adulto, esta es una función es inyectiva.
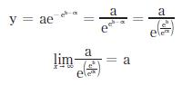
Como se mencionó previamente, el parámetro a se conoce como peso asintótico debido a que corresponde a una asíntota horizontal de la función. A continuación se prueba este hecho. Para encontrar esta asíntota horizontal se calcula limx →∞f(x) (4), pero antes de aplicar el límite se hace una modificación algebraica de la función, como sigue:
Por tanto, a es una asíntota horizontal de la función.
PUNTOS CRÍTICOS
La primera derivada de la función que corresponde a la velocidad de crecimiento es:
como ae
=y; la primera derivada dy/dx = cyeb-cx, que es una de las formas en las que más comúnmente aparece referenciada (1-2). Esta derivada puede transformarse mediante manipulación algebraica, llegando a otra de sus formas más conocidas, dy/dx = -cyln (y/a) = cyln (a/y). El siguiente es el procedimiento para llegar a esta expresión:
Al igualar la primera derivada a cero se evidencia que no existen puntos críticos puesto que
, de donde dy/dx y por consiguiente no existen puntos críticos.
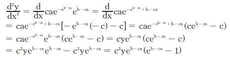
d2y/dx2 = c2yeb-cx(eb-cx - 1) = 0, implica que eb-cx - 1 = 0, por tanto:
eb-ex = 1
lneb-cx = ln1
(b - cx)lne = 0
b - cx = 0 de donde x = b/c
Por consiguiente, el punto de inflexión es (b/c, a/e)
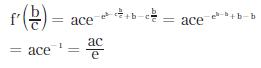
Tasa máxima de ganancia
Corresponde al valor de la primera derivada (razón de cambio instantánea) en el punto de inflexión, esto es:
Punto de inflexión
Para encontrar el punto en donde cambia la concavidad de la función se obtiene la segunda derivada, la cual corresponde a la aceleración del crecimiento, esta se iguala a cero y se soluciona la ecuación resultante en términos de x para hallar la abscisa al punto de inflexión, luego se calcula la imagen de la misma para llegar a las coordenadas de dicho punto (4), esto es:
Valor delta
Es un parámetro de utilidad ya que indica de la fase de estructuración del animal, también conocida como fase Lag. Matemáticamente corresponde al punto de corte con la abscisa de la recta tangente al punto de inflexión, por tanto se debe encontrar la ecuación de dicha recta, labor para la cual se conoce la pendiente de la misam, es decir, la tasa máxima de ganacia y un punto por el cual pasa, correspondiente al punto de inflexión.
En la función Gompertz la pendiente de la recta b*es:
b* = a/e - (ac/e)(b/c) = a/e(1-b)
Al analizar la anterior expresión se advieret que b* < 0, ya que b > 1, por tanto, para el caso de la función bajo estudio el valor delta es:
VD = -b*/m = a/e(b - 1)
ac/e
La anterior expresión se puede simplificar llegando a una mucho más sencilla.
Tasa relativa de crecimiento
Este parámetro proporciona datos que no dependen de la dimensión, es útil para comparar líneas o especies y se define como (1/y)(dy/dx) (2-3). Esto es:
TRC = (1/y)cyeb - cx = ceb - cx
La TRC también se puede expresar como:
TRC = (1/y)cyln(a/y) = c(lna - lny)
Expresada en la primera forma se conoce como tasa relativa en función del tiempo, y en la segunda se conoce como tasa relativa de crecimiento en función del tamaño (2).
Tasa de madurez sexual
Según Agudelo et ál. (3), este parámetro fue propuesto por Taylor en 1971. Es el cociente entre el peso en el tiempo t y el peso adulto, si el valor del mismo se multiplica por cien se obtiene el porcentaje del peso adulto que se ha alcanzado en el tiempo t.
Grado de madurez absoluta
Definida como (1/a)(dy/dx) (3), descomponiendo esta expresión se tiene:
Existen varios trabajos con datos de campo empleando la función Gompertz para modelar el crecimiento de animales, como el de Davidson (5) en bovinos, Agudelo-Gómez et ál. (6) en búfalos, Helmink et ál. (7) con perros, entre otros.
CONSIDERACIONES
En ciencias animales se deben seguir empleando diferentes tipos de funciones para estudiar los fenómenos biológicos relacionados con la producción ya que este conocimiento se ha convertido en una poderosa herramienta que contribuye al desarrollo de tecnologías para el sector pecuario. Para quienes trabajan en modelación resulta necesario tener un conocimiento claro, desde el punto de vista matemático, de las diferentes funciones con las cuales trabajan, esto implica la definición formal y los pasos mediante los cuales se obtienen los diferentes parámetros de las mismas.
REFERENCIAS
1. Gompertz B. On the nature of the function expressive of the law of human mortality, and on a new mode on determining the value of live contingencies. Philosophical transactions of the royal society of London 1825; 115: 513-585. [ Links ]
2. Winsor CP. The gompertz curve as a growth curve. Proceedings of the national academy of sciences 1932; 18: 1-8. [ Links ]
3. Agudelo-Gómez DA, Cerón-Muñoz MF, Restrepo LF. Modelación de funciones de crecimiento aplicadas a la producción animal. Rev Col Cien Pec 2007; 20: 157-173. [ Links ]
4. Stewart J. Cálculo de una variable. Trascendentes tempranas. 6 ed. México DF: Cengage Learning; 2008. p. 270-347. [ Links ]
5. Davidson FA. Growth and senescence in Purebred Jersey Cows. Agr Exp Sta Bull 1928; 302: 192-199. [ Links ]
6. Agudelo-Gómez D, Hurtado-Lugo N, Cerón-Muñoz MF. Growth Curves and Genetic Parameters in Colombian Buffaloes (Bubalus bubalis Artiodactyla, Bovidae). Rev Colom Cien Pecu 2009; 22: 178-188. [ Links ]
7. Helmink SK, Shanks RD, Leighton EA. Breed and sex differences in growth curves for two breeds of dog guides. J anim sci 2000; 78: 27-32. [ Links ]












