Servicios Personalizados
Revista
Articulo
Indicadores
-
Citado por SciELO -
Accesos
Links relacionados
-
Citado por Google -
Similares en
SciELO -
Similares en Google
Compartir
Revista Facultad de Ingeniería Universidad de Antioquia
versión impresa ISSN 0120-6230versión On-line ISSN 2422-2844
Rev.fac.ing.univ. Antioquia n.50 Medellín oct./dic. 2009
Prototipo de sistema en lazo cerrado para administración de anestesia intravenosa
Closed loop system prototype for intravenousanesthesia administration
Jorge Andrés Ruiz Rada, Juan Manuel Fernández, Alher Mauricio Hernández Valdivieso*
Programa de Bioingeniería, Universidad de Antioquia, Calle 67 No 53-108, Oficina: 19-415, Medellín, Colombia
Resumen
En este artículo se presenta el desarrollo de un sistema en lazo cerrado de administración de anestesia intravenosa. Para lograr esto se implementan diferentes subsistemas: un modelo multicompartimental de distribución de fármacos en el cuerpo humano, un algoritmo para determinar la curva de velocidades a las que debe infundirse el anestésico Propofol para obtener el efecto de anestesia general, un protocolo de comunicación para enviar el vector de velocidades a una bomba de infusión convencional y un lazo de realimentación para controlar todo el sistema a partir del índice bi-espectral que se utiliza como indicador de la profundidad de anestesia.
El resultado final es un instrumento versátil, con prestaciones similares a las de equipos comerciales y con una interfaz interactiva, que facilita la operación por parte del anestesiólogo desde un computador convencional.
Palabras clave: Modelado de sistemas, sistemas de control, anestesia intravenosa, farmacocinética, bioinstrumentación
Abstract
This paper presents the development of a closed-loop system for intravenous administration. Therefore, several sub-systems have been developed independently. A multi-compartment drug distribution model for the human body, an algorithm for determining the infusion rate of Propofol to achieve the desired anesthesia effect, a communication protocol for sending the infusion rate array to a conventional infusion pump. Finally, a feedback to control the whole system based on a bi-spectral index signal (BIS) as an anesthetic deepness measure. The final result is a useful instrument, similar to commercially available systems, with a friendly interface that can be controlled by the anesthesiologist from a personal computer.
Keywords: system modeling, control systems, intravenous anesthesia, farmaco kinetics, bioinstrumentation
Introducción
Desde hace algunos años en las salas de cirugía alrededor del mundo se ha venido implementando la anestesia intravenosa (IV) como una alternativa distinta al método tradicional de inducción de anestesia a través de vaporizadores de agentes halogenados. La principal causa de este surgimiento radica en que la modalidad IV requiere un menor tiempo de inducción y despertar, brindando una mayor estabilidad hemodinámica y mejorando la calidad de la recuperación del paciente pues disminuye las náuseas y el vómito postquirúrgico [1-3]. Además, cada componente de la anestesia puede ser controlado independientemente con base en la respuesta del paciente a la estimulación durante la cirugía [3]. El suministro de anestesia IV, donde el fármaco es directamente inyectado por vía venosa al paciente, busca al igual que en el método tradicional, los cuatro efectos inductivos de la anestesia general: hipnosis, analgesia, relajación muscular y estabilización vegetativa [4], efectos que pueden lograrse mediante la combinación de anestesia IV y la utilización de vaporizadores, o exclusivamente mediante la inyección de fármacos intravenosos. Este último caso es conocido como anestesia total intravenosa (TIVA, acrónimo en inglés).
La administración de anestesia IV se puede hacer de dos maneras diferentes: usando velocidades de infusión continuas que el anestesiólogo administra manualmente, o mediante bombas de infusión que pueden ser controladas por un computador mediante un algoritmo que basado en modelos farmacocinéticos y farmacodinámicos calcula las velocidades de infusión requeridas para mantener estable la concentración de fármaco previamente establecida por el anestesiólogo. Esta última metodología ha sido denominada infusión controlada por concentración objetivo (TCI, acrónimo en inglés) y básicamente puede ser de dos tipos: TCI plasmática (TCIp) y TCI en sitio efectivo (TCIe). En TCIp el objetivo es mantener constante la concentración en plasma y en TCIe hacer lo propio con la concentración en el sitio efectivo [5]. Hace aproximadamente 30 años se han venido desarrollando en las universidades y centros de investigación de Sudáfrica, Europa, Australia y Estados Unidos sistemas para la administración de fármacos asistidos por computador [1], y a pesar de que la administración TCIe describe mejor el comportamiento del efecto del fármaco en el paciente [5, 6], al modificar la concentración objetivo, dispositivos comercialmente disponibles, tales como el Diprifusor (AztraZeneca), OTCI (B. Braun) y Base Primea (Fresenius) utilizan el método TCIp [5].
Los sistemas mencionados anteriormente funcionan en lazo abierto, es decir que no tienen en cuenta una señal de realimentación que sirva para ajustar el sistema y por tanto el anestesiólogo varía la concentración objetivo de acuerdo a los signos vitales del paciente. Con la aparición de procesadores más rápidos y la disponibilidad de monitores más confiables para medir el efecto de los fármacos, la automatización aplicada a la anestesiología ha ganado popularidad y recientemente se han publicado trabajos acerca de la aplicación de anestesia en lazo cerrado [7].
Los sistemas en lazo cerrado son aquellos capaces de tomar decisiones para alcanzar y mantener estable la profundidad de anestesia (PDA) en el paciente con base en una señal de realimentación [8]. La señal de realimentación ideal, sería en este caso un indicador de la PDA del paciente, pero como el nivel de dicha variable no puede ser medido directamente, se han desarrollado monitores que a partir del procesamiento digital de la señal electroencefalográfica (EEG), estiman el nivel de PDA del paciente. Dentro de estos sistemas los indicadores más comunes para conformar la realimentación son: el índice bi-espectral (BIS, Aspect Medical Systems Inc., Newton, MA, USA), la latencia media del potencial evocado auditivo (AEPindex, Kenny et al.) y el potencial evocado somato-sensorial (SEP, Ting et al) [7]. Actualmente en Colombia, el uso de la anestesia tradicional por vaporizadores sigue siendo notablemente mayor que el de la anestesia IV a pesar de sus beneficios. Sin embargo, existe un grupo de anestesiólogos alrededor del país que han venido fomentando su masificación dando el impulso inicial para el presente proyecto.
En el presente artículo se muestra el desarrollo de un instrumento virtual para la aplicación de anestesia IV en lazo cerrado, utilizando los programas LabView y Matlab. El modelo farmacocinético empleado fue el de Marsh, ya que este fue desarrollado para el Propofol, un opioide de uso cotidiano en los quirófanos y del cual se deriva uno de los modelos farmacocinéticos más aceptados a nivel mundial, implementado en el Diprifusor® [1]. Utilizando este modelo se implementó en Matlab un algoritmo desarrollado por Shafer y colaboradores [9] para el cálculo de las velocidades de infusión con el fin de mantener constante la concentración de fármaco en el cerebro. Luego, analizando el protocolo de comunicación entre un programa para el control de bombas de infusión denominado Stanpump y la bomba de infusión Graseby 3400® se implementó en Labview un programa para la comunicación con la bomba de infusión. Por último se desarrolló un lazo de realimentación que simula valores del índice bi-espectral (BIS), una medida de la PDA, y se transformaron por medio de una regresión cuadrática los datos de PDA en datos de concentración en el cerebro. Esta concentración fue ingresada al algoritmo para el cálculo de las velocidades de infusión y de esta manera se obtuvo un sistema en lazo cerrado. Los datos obtenidos mediante el simulador desarrollado fueron comparados con la información arrojada por Stanpump y se obtuvo una correlación del 99% para los perfiles de concentración en sitio efectivo y en plasma. El programa desarrollado fue probado en una rinoplastia en la IPS de la Universidad de Antioquia, la anestesia general fue considerada exitosa por el grupo de anestesiólogos y el paciente reportó satisfacción con respecto a la cirugía y la fase postquirúrgica.
Experimentación
Para su elaboración el proyecto se dividió en las siguientes fases:
Fase 1: Desarrollo de un simulador multicompartimental.
Fase 2: Implementación de un algoritmo para el cálculo de la velocidad de infusión en modo TCIe.
Fase 3: Protocolo de comunicación con la bomba de infusión Graseby 3400.
Fase 4: Implementación de un lazo de realimentación e integración de las fases anteriores para obtener un sistema en lazo cerrado.
Modelo matemático
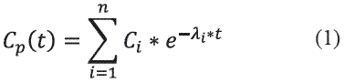
El comportamiento farmacocinético de la mayoría de fármacos es descrito mediante una función poli-exponencial [9] descrita por la ecuación 1.
Donde t es el tiempo, λi representa las constantes de velocidad y la suma de C1,…Cn es igual a la concentración presente en t = 0 luego de aplicar un bolo. En la práctica usualmente n es fijado en 2 o 3.
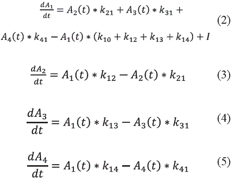
Esta función poli-exponencial puede ser matemáticamente transformada en un modelo compartimental, el cual consiste en un número finito de subsistemas homogéneos, bien mezclados y agrupados, los cuales se denominan compartimentos, estos intercambian materia entre sí y con el medio, de tal manera que su comportamiento puede ser descrito por ecuaciones diferenciales de primer orden [10]. En la figura 1 se muestra una representación del modelo implementado y en las ecuaciones 2 a 5 se presenta el modelado mediante ecuaciones diferenciales.
Donde A1, A2, A3, y A4 representan la concentración instantánea en cada uno de los compartimentos, kij son las constantes de transferencia del compartimento i al j, t el tiempo e I es la velocidad de infusión.
Figura 1 Modelo farmacocinético de 4 compartimentos
El modelo presentado es lineal con respecto a la dosis e invariante en el tiempo con respecto a las constantes farmacocinéticas, por tanto si la dosis se dobla, la concentración en los compartimentos también y si se suministran múltiples dosis secuenciales, la respuesta es la superposición de la contribución de cada dosis desplazada en el tiempo [11]. Se considera una farmacocinética arterial ya que la farmacocinética venosa presenta un retraso entre la aplicación del bolo y el pico máximo alcanzado en la concentración plasmática. El cuarto compartimento o compartimento de sitio efectivo se implementa para correlacionar mejor la farmacocinética con la farmacodinámica, ya que al agregar este compartimento se predicen mejor los efectos de los fármacos con respecto al tiempo [5, 6].
El fármaco inicialmente se administra en el compartimento central V1 y luego se distribuye a los compartimentos periféricos (figura 1). V2 es el compartimento que entra en equilibrio de manera rápida con el compartimento central y comprende los órganos que presentan una mayor perfusión sanguínea, tales como el corazón, el hígado y los pulmones; este compartimento es llamado el compartimento periférico rápido y V3 comprende los órganos de baja perfusión y es denominado compartimento periférico lento. La suma de todos los volúmenes en los compartimentos es el volumen de distribución en estado estable.
Cálculo de la velocidad de infusión
Para la implementación del algoritmo que permite calcular la velocidad de infusión se utiliza el algoritmo propuesto por Shafer y colaboradores [9], que consiste en una discretización del modelo multicompartimental resuelto mediante métodos iterativos.
A continuación se describe la metodología utilizada para implementar el algoritmo de cálculo de velocidad de infusión.
Discretización
La discretización es fundamental para encontrar la velocidad de infusión mediante métodos computacionales. Se realiza aplicando el método de Euler a las ecuaciones 2 a 5, así:
Donde A1, A2, A3 y A4 representan la concentración instantánea en cada uno de los compartimentos, kij son las constantes de transferencia del compartimento i al j, n el contador de iteraciones,
t el intervalo de tiempo, definido como 1 segundo, e I la velocidad de infusión.
Respuesta al escalón unitario
La evaluación de la respuesta ante un escalón unitario da una idea del comportamiento temporal del sistema cuando se aplica un bolo de fármaco. Este cálculo se realiza sólo una vez y puede hacerse antes de comenzar la infusión. La curva de respuesta representa el comportamiento del sistema luego de infundir durante 10 segundos a una velocidad de 1 ug/s, dando como resultado la caracterización del sistema en términos de la concentración máxima y del tiempo pico (tpico), que corresponde al tiempo en el cual se alcanza dicha concentración. Estos valores son necesarios para calcular la velocidad de infusión qué consigue mantener constante la concentración de fármaco en el cerebro.
Cálculo de la cantidad remanente de fármaco
En la primera iteración del algoritmo la concentración remanente de fármaco es igual a cero. Luego, a partir de las ecuaciones 6 a 9 con I igual a cero, se calculan las concentraciones de fármaco remanentes, lo que se denomina respuesta de entrada cero (IZR), es decir la concentración residual en los compartimentos cuando no se infunde fármaco.
Cálculo de la velocidad de infusión instantánea
Ya que el modelo farmacocinético es lineal e invariante con el tiempo (LTI) se puede aplicar el teorema de superposición representado por la ecuación 1, donde la respuesta total del sistema es igual a la suma de la respuesta de entrada cero (IZR) y la respuesta de estado cero (SZR), siendo esta última la respuesta del sistema al escalón unitario multiplicada por la velocidad de infusión.
Donde A4 es la concentración en sitio efectivo o en el compartimento cuatro, B4 la concentración remanente en el mismo compartimento o IZR, E la respuesta al escalón unitario, I la velocidad de infusión y j el instante de tiempo discreto.
Despejando I de la ecuación 10, reemplazando A4 por la concentración deseada en el sitio efectivo y a j por la muestra correspondiente al tiempo pico (jpico), que representa el tiempo en el cual la ecuación 10 alcanza su máximo, se obtiene la siguiente ecuación:
Donde I es la velocidad de infusión necesaria para alcanzar la concentración deseada. El inconveniente con la ecuación 11 radica en que jpico, varía con la concentración remanente de fármaco. Por tanto para resolver dicha ecuación es necesario considerar los siguientes aspectos que se exponen mediante un diagrama de flujo en la figura 2:
1. Suponer un valor para jpico entre el tiempo actual y tpico, denominado jpo.
2. Reemplazar el valor anterior en la ecuación 10 y obtener I.
3. Luego se reemplaza la I obtenida en el paso anterior en la ecuación 9 y se calcula el tiempo en el cual se obtiene la máxima concentración (jp1).
4. Si el tiempo en jp1 corresponde con jpo, se ha encontrado el jpico y por tanto la velocidad de infusión.
5. Si jp1 y jpo no corresponden, se reemplaza jpo por jp1 y se repite el procedimiento a partir del numeral 2 hasta que el algoritmo converja.
Figura 2 Diagrama de flujo del algoritmo para calcular el perfil de velocidades de infusión
Actualización de los valores de concentración
A partir de la velocidad de infusión calculada mediante el procedimiento descrito en el apartado anterior y mediante las ecuaciones 6 a 9 y 12 a 15, se actualizan las concentraciones en los diferentes compartimentos.
Donde Ai es la concentración presente en el compartimento i y
Ai el cambio en la concentración.
La figura 2 muestra el diagrama de bloques utilizado para la implementación del algoritmo en Matlab.
Comunicación con la bomba de infusión
Para esta etapa se hizo uso de una bomba de infusión Graseby 3400 y de un computador ejecutando el programa Stanpump, el cual es de libre acceso y se puede descargar del sitio web http://anesthesia.standford.edu/Simulation/pages/default.aspx, este programa fue desarrollado por Shafer y colaboradores como parte de su programa de investigación en control computarizado de bombas de infusión en la Universidad de Stanford (EU).
En un computador se ejecutó el programa Stanpump y en otro el programa Protocol Analyzer, se estableció la comunicación entre el programa Stanpump y la bomba de infusión y al mismo tiempo se monitoreó la información que permitía el control de la bomba. El flujo de información en código hexadecimal fue traducido a formato ASCII por el programa Protocol Analyzer, que además facilitó su visualización.
Sistema en lazo cerrado
Para que una señal de realimentación pueda ser ingresada al calculador de velocidades de infusión (ecuaciones 6 a 9) es necesario hacer una transformación del dominio de la farmacodinámica al dominio de la farmacocinética, ya que los datos de entrada al calculador son concentraciones de fármaco en el cerebro y la señal de realimentación está en términos de PDA.
Con la asesoría de anestesiólogos, se estableció una correspondencia entre la concentración de fármaco y el índice BIS, la cual se presenta a continuación:
La concentración de despertar es alrededor de 1,5 ug/ml
Concentraciones de 3 a 5 ug/ml corresponden al rango apto para procedimientos quirúrgicos, correspondiente un rango de BIS entre 60 y 40, respectivamente.
El tiempo requerido para que el BIS, luego de la primera infusión de propofol pase de un valor de 100 a 40 es de 1 a 2 minutos.
Utilizando los valores de dicha correspondencia, se realizaron diferentes regresiones las cuales se presentan en la figura 3.
Figura 3 Regresión BIS-concentración propofol
Como puede verse en la figura 3, la regresión que mejor se ajusta a los valores es la cuadrática, dado que presenta la menor norma residual. La ecuación obtenida mediante la regresión conforma lo que se denominó el transductor BIS-Concentración sitio efectivo.
Adicionalmente la anestesia IV presenta un rango terapéutico definido para un índice del BIS entre 60 y 40, lo cual corresponde a una concentración en sitio efectivo de 3 y 5 ug/ml respectivamente, cuando el paciente se encuentra en este rango presenta una PDA adecuada, pero si el índice de BIS es menor de 40 el paciente se encuentra en un estado demasiado profundo y si es mayor de 60 empieza a recuperar la sensibilidad, la conciencia y la motilidad. Por tanto el lazo de realimentación debe incluir un comparador, el cual determina si la señal de realimentación se encuentra o no dentro del rango terapéutico y de acuerdo a esto tomar acciones de control.
De esta forma se ha diseñado un sistema de control TCI en lazo cerrado, en el cual el brazo de realimentación consiste de una lectura del BIS, un transductor BIS-concentración y un comparador. La última fase del proyecto consiste en tomar lo necesario de las fases anteriormente explicadas, para formar un sistema de lazo cerrado y así aplicar anestesia IV utilizando el fármaco Propofol.
Para integrar todas estas fases, se ha diseñado la configuración de control representada en la figura 4. En donde, la concentración objetivo representa la señal de referencia, los bloques comparador, interruptor y controlador TCI constituyen el controlador propiamente dicho, el paciente representa la planta y los bloques BIS, transductor y comparador con histéresis conforman el lazo de realimentación.
Figura 4 Diagrama de Bloques del sistema en lazo cerrado
La filosofía general del diseño consiste en que inicialmente el usuario establece una concentración objetivo, el controlador calcula el vector de velocidades y utilizando el protocolo de comunicación ajusta la bomba para que infunda las velocidades calculadas, hasta este momento el control es en lazo abierto, pero una vez el controlador TCI por medio del detector de estado estable encuentra que la concentración objetivo ha sido alcanzada y el sistema se ha estabilizado, cambia de posición el interruptor y cierra el lazo de realimentación. A partir de este momento se lee el valor de BIS en el que se encuentra el paciente, se realiza la transducción correspondiente a un valor específico de concentración objetivo y a través de un comparador se aplica un nuevo valor objetivo al interruptor. Dicho nuevo valor objetivo corresponde a la diferencia entre el objetivo inicial y el actual medido mediante el índice BIS.
Resultados y discusión
A continuación se presentan los resultados obtenidos con el sistema de administración de anestesia IV diseñado. Dado que se trata de un sistema en su primera fase de desarrollo no se tiene un volumen elevado de cirugías en las cuales se haya utilizado, por tal motivo se presenta primero una comparación del simulador farmacocinético implementado (FARMACOSIM) con el sistema comercial STANPUMP, posteriormente se simula la administración de anestesia a un paciente con tabaquismo y presión arterial alta (ASA2) y finalmente se presentan los resultados obtenidos al utilizar el sistema en una cirugía bajo anestesia general intravenosa convencional.
Validación del simulador farmacocinético
Con el fin de validar el simulador farmacocinético desarrollado, se compara el FARMACOSIM con el programa STANPUMP. Las simulaciones se realizaron considerando un sujeto de 1,70 cm de estatura, 22 años de edad, 60 Kg de peso, al cual se le administra una dosis de 1,2 ml de propofol en una concentración de 10 μg/ml, utilizando el modelo de Marsh.
Los resultados de las simulaciones con los dos sistemas se presentan en las columnas 1 y 2 de la tabla 1, en donde además se muestra el índice de correlación obtenido entre las dos simulaciones.
Los valores de concentración máxima son muy similares entre las dos simulaciones, como lo demuestra el elevado índice de correlación en la tabla 1.
De los resultados anteriores se puede inferir que la respuesta del compartimento central es asi instantánea si se parte de condiciones iniciales iguales a cero. Es decir, al comienzo de la inducción de anestesia se podría llegar casi instantáneamente a la concentración deseada en plasma si fuera posible administrar el fármaco a una velocidad muy alta.
Otro resultado interesante en la comparación es la respuesta obtenida para el cuarto compartimento (sitio efectivo - columnas 3 y 4 en la tabla 1), utilizando los mismos parámetros de infusión descritos previamente.
Tabla 1 Comparación de concentraciones en plasma a partir de un bolo de 12 mg.
FARAMACOSIM se refiere a la simulación realizada en Matlab en este proyecto y STANPUMP es el modelo comercial. Las primeras dos columnas muestran los resultados obtenidos para concentración en plasma, las columnas 3 y 4 evidencian un error en el programa STANPUMP y las columnas 5 y 6 muestran los resultados para concentración en sitio efectivo corrigiendo el error en el programa comercial
A diferencia de lo ocurrido con la concentración en plasma, los resultados obtenidos para la concentración en sitio efectivo presentan gran diferencia entre los dos simuladores. Estos resultados han exigido una revisión más completa de la versión utilizada de STANPUMP, tras la cual se ha encontrado una inconsistencia en la selección del modelo, pues aunque se escoja una simulación con el modelo de Marsh, el programa STANPUMP siempre simula con el modelo de Schnider, el cual predice un tiempo menor para alcanzar la concentración objetivo [12]. Con el fin de corroborar el error detectado en el programa comercial, se modifican las constantes k41 y k14 relacionadas con la transferencia desde y hacia el sitio efectivo según el modelo de Schnider [13] y se obtienen los resultados presentados en las columnas 5 y 6 de la tabla 1. A modo de verificación adicional se realizaron más pruebas con diferentes dosis, obteniendo resultados semejantes, por lo cual se puede inferir que dados los coeficientes de correlación expuestos, los dos simuladores entregan perfiles farmacocinéticos equivalentes. Aun cuando ésta prueba no valida el valor de las concentraciones expresadas, resulta ser una alternativa viable ya que el STANPUMP ya ha sido validado y aceptado a lo largo de las últimas décadas.
Simulación paciente clasificado como ASA II
Con el fin de verificar la eficiencia del sistema de administración de anestesia IV en lazo cerrado, se ha seleccionado un paciente clasificado como ASA-II, lo cual indica que padece una enfermedad sistémica leve, controlada y no incapacitante que puede o no relacionarse con la causa de la intervención. El sistema de clasificación ASA (Sociedad Americana de Anestesiología) es utilizado para estimar el riesgo que plantea la anestesia para los distintos estados del paciente [14]. Este sistema se compone de cinco niveles, correspondiendo el nivel 1 (ASA-I) a pacientes saludables no sometidos a cirugía electiva y el nivel 5 (ASAV) a pacientes terminales o moribundos, cuya expectativa de vida no se espera sea mayor de 24 horas, con o sin tratamiento quirúrgico.
Se ha seleccionado un paciente ASA-II con antecedentes de tabaquismo y presión arterial alta, debido a que este tipo de pacientes presenta una mayor resistencia enzimática a los fármacos y por tanto para una concentración objetivo de 3 ug/ml no alcanza el rango terapéutico. Con el fin de simular estas condiciones se escogen valores del BIS que estén por encima de 60 y paulatinamente vayan disminuyendo debido al aumento en la concentración objetivo provocada por los cambios inducidos por la realimentación. Los valores de la simulación del BIS para pacientes tipo ASA-II son [70 65 60 60 60 60 50 40 40 45].
En la figura 5 se presenta la interfaz gráfica del sistema de administración de anestesia compuesto por una serie de selectores utilizados para realizar la configuración de la anestesia IV (sector izquierdo), unos botones de control principal (sector central superior) y tres gráficas para monitorear el comportamiento de la velocidad de infusión, la concentración plasmática y la concentración en sitio efectivo con respecto al tiempo. En el panel de control puede verse como la realimentación del BIS induce cambios en la concentración objetivo (se seleccionan 3 ug/ml y a partir del BIS registrado en el instante ilustrado, se está infundiendo 4,23 ug/ml). En las gráficas puede verse como el controlador re-calcula a través del tiempo el vector de velocidades de infusión (sector central inferior), suministrando pequeños bolos proporcionales a la concentración corregida y remanente que adicionalmente pueden verse reflejados en la gráfica de concentración en plasma (sector superior derecho).
inalmente, en la gráfica de concentración en sitio efectivo (sector inferior derecho - figura 5), se observa la evolución de la concentración correspondiente al BIS simulado. Los puntos de inflexión en las gráficas representan los instantes en los que el monitor BIS proporciona información y el sistema de control actúa calculando la velocidad de infusión requerida.
Figura 5 Interface del sistema de administración de anestesia en lazo cerrado aplicado a un paciente simulado tipo ASA2
Validación experimental aplicando anestesia general a un paciente
El sistema fue probado en un procedimiento real dadas las simulaciones exitosas que fueron realizadas previamente. El principal inconveniente fue la imposibilidad de conseguir un monitor de BIS, para así probar el sistema en lazo cerrado. Pero teniendo en cuenta que todos los procedimientos con anestesia IV que se realizan actualmente en la ciudad se hacen con infusiones manuales o con sistemas TCI embebidos y que ninguna clínica utilizaba hasta el momento monitores de BIS o de entropía, se decidió realizar la prueba en lazo abierto. En la tabla 2 se presenta la información del paciente.
Tabla 2 Datos del paciente
Inicialmente se estableció una concentración objetivo de 3μg/ml, pero se aumentó a 3,5 μg/ml, para la fase de intubación.
Durante todo el procedimiento se aplicó Remifentanil como analgésico, el cual dado su perfil farmacocinético no requiere de la aplicación en modo TCI. Al inicio del procedimiento se aplicó relajante muscular para facilitar la intubación, pero su efecto se perdió alrededor de 20 minutos después, esto con el propósito de no inhibir los movimientos del paciente, que sirven como indicador de que está sintiendo dolor o tiene algún estado de conciencia.
A lo largo de las más de tres horas que duró el procedimiento, se registraron los signos vitales del paciente, teniendo especial cuidado con la frecuencia cardiaca y la presión sanguínea que en el caso del Propofol, son indicadores indirectos de una PDA adecuada, ya que esta droga es un depresor del miocardio e induce hipotensión, los valores de estas variables durante la cirugía se presentan en las figuras 6 y 7. Además de eso, se registró el volumen aplicado mostrado en el programa y el volumen observado en la graduación de la jeringa, dando una correspondencia exacta.
Figura 6 Comparación de la frecuencia cardiaca con la concentración en sitio efectivo
Se puede observar en la figura 6 cómo la presión disminuye casi inmediatamente luego de la aplicación de Propofol y se mantiene durante todo el procedimiento en un nivel que bajo condiciones normales puede considerarse hipotensión, pero que para efectos de anestesia es un nivel aceptable. Paralelamente la frecuencia cardiaca también cae, pero este es un parámetro que también se ve afectado directamente por el Remifentanil aplicado, por lo que es la presión el parámetro que más se tiene en cuenta para el análisis del Propofol.
Se puede ver en la figura 7 que los intervalos donde la presión tuvo los valores más bajos fueron los mismos en los que la concentración en sitio efectivo tuvo los valores más altos.
Figura 7 Comparación de la presión arterial con la concentración en sitio efectivo
Durante todo el procedimiento fueron infundidos 108 ml de Propofol, que permitieron una gran estabilidad en los signos vitales del paciente. En la etapa de despertar el paciente fue desconectado de la bomba de infusión y no se siguieron registrando la presión y la frecuencia cardíaca, pero el programa desarrollado se siguió ejecutando para identificar la concentración estimada a la que el paciente se despertó. Esta concentración fue de 1,2 μg/ml aproximadamente lo cual es coherente con la estimación que hizo el anestesiólogo Francisco Gómez para ese paciente.
El análisis cualitativo que hizo el anestesiólogo del procedimiento tuvo los siguientes comentarios:
Las variables hemodinámicas se mantuvieron estables.
No hubo movimientos involuntarios sin la aplicación de relajante, signo de que el paciente no sintió dolor ni tuvo períodos de conciencia.
El tiempo aproximado de despertar fue de 10 min.
Anestesia general exitosa.
El más importante de todos los resultados de este trabajo fue la pequeña entrevista que se realizó al paciente momentos después de la cirugía, donde éste aseguró no recordar ningún momento intraoperatorio, no haber sentido malestar en su despertar, ni posterior a este, y haber declarado confort acerca del procedimiento en general, siendo estos los indicadores más contundentes de que la anestesia fue todo un éxito.
Conclusiones
El desarrollo de monitores de profundidad anestésica ha impulsado la creación de sistemas inteligentes de administración de anestesia. Este artículo ha descrito un sistema para administrar anestesia intravenosa en lazo cerrado, desarrollado con el fin de impulsar la técnica de anestesia IV en Colombia. Esta técnica no se utiliza tanto como la anestesia general mediante compuestos halogenados, a pesar de sus ventajas ampliamente demostradas en la literatura.
Se ha implementado una herramienta informática dotada de un modelo farmacocinético multicompartimental de gran interés académico y clínico, que tal y como se ha demostrado de forma cuantitativa, proporciona idénticos resultados a los ofrecidos por equipos comerciales; con importantes ventajas adicionales como una interfaz de usuario interactiva y la posibilidad de administrar anestesia en lazo cerrado cuando se cuenta con un monitor de profundidad anestésica y en lazo abierto cuando no se disponga de este.
Si bien desde el punto de vista de la ingeniería de control, el sistema implementado no representa una innovación importante, su aporte radica en la utilización de un concepto simple como el control proporcional en la redefinición de la concentración objetivo en sitio efectivo durante el proceso quirúrgico, de forma análoga al ajuste que realiza el anestesiólogo en sistemas convencionales con base en su experiencia.
Los resultados obtenidos en la utilización del sistema durante una cirugía han sido calificados como satisfactorios por el staff médico encargado de la preparación, intervención y recuperación del paciente; lo cual constituye un primer paso en el desarrollo de estos sistemas, que se pueden extrapolar para la utilización de otros anestésicos diferentes al Propofol con una simple estimación de parámetros.
Referencias
1. S. Schraag. Theoretical basis of target controlled anaesthesia: history, concept and clinical perspectives. Best Practice & Research Clinical Anaesthesiology. Vol. 15. 2001. pp. 1-17. [ Links ]
2. S. Milne, G. Kenny. Target controlled infusions. Current Anaesthesia and Critical Care. Vol. 9. 1998. pp. 74-179. [ Links ]
3. X. Vivian, M. Leone. Induction and maintenance of intravenous anaesthesia using target-controlled infusion systems. Best Practice & Research Clinical Anaesthesiology. Vol. 15. 2001. pp. 19-33. [ Links ]
4. A. W. Paulsen. Essential of anaesthesia delivery. J. D. Bronzino (Editor) Biomedical Engineering Handbook. Ed. CRC Press LLC. Boca Raton. 2000. pp. 84.1-84.12. [ Links ]
5. G. Van Poucke, L. Brandon, S. Shafer. Target Controlled Infusions: Targeting the Effect Site While Limiting Peak Plasma Concentration. IEEE transactions on biomedical engineering. Vol. 51. 2004. pp 1869-1875. [ Links ]
6. M. van den Nieuwenhuyze, F. Engbers, J. Vuyk, A. Burn. Target-controlled infusion systems, role in anesthesia and analgesia. Clinical pharmacokinetics. Vol. 38. 2000. pp 181-190. [ Links ]
7. M. Struys. P. Mortier. T. Smet. Closed loops in anaesthesia. Best Practice & Research Clinical Anaesthesiology Vol 20. 2006. pp. 211-220. [ Links ]
8. E. Mortier. M. Struys. Monitoring the depth of anaesthesia using bispectral analysis and closed-loop controlled administration of Propofol. Best Practice & Research Clinical Anaesthesiology. Vol. 15. 2001. pp. 83-96. [ Links ]
9. S. Shafer, K. Gregg. Algorithm to rapidly achieve and maintain stable drug concentrations at the site of drug effect with a computer-controlled infusion pump. Journal of Pharmacokinetics and Biopharmaceutics. Vol. 20. 1992. pp. 147-169. [ Links ]
10. R. Karba, D. Matko, B. Zupan, A. Mrhar, S. Primofi, E. F. Kozjek. Usage of analog-hybrid and digital simulation in pharmacokinetics. Electrotechnical conference. Vol 1. 1991. pp.763-766. [ Links ]
11. C. Hu. D. Horstman. S. Shafer. Variability of Targetcontrolled Infusion Is Less Than the Variability after Bolus Injection. Anesthesiology. Vol 102. 2005. pp. 639-645. [ Links ]
12. A. Barakat. N. Sutcliffe. M. Schwab. Effect site concentration during propofol TCI sedation a comparison of sedation score with two pharmacokinetic models. Anaesthesia. Vol 62. 2007. pp. 661-666. [ Links ]
13. T. Schnider. C. Mint. S. Shafer. The influence of age on propofol pharmacodynamics. Anesthesiology. Vol. 90. 1999. pp.1502-1515. [ Links ]
14. L. Jiménez, F. Gutiérrez, T. Alvarez, L. Márquez, H. Mesa, A. Morales, A Noreña, F. Ramírez, F. Alvarez, E. Archila. Cirugia: Anestesiología. Universidad de Antioquia. Medellin. 1995. [ Links ]
(Recibido el 11 de noviembre de 2008. Aceptado el 24 de agosto de 2009)
*Autor de correspondencia: teléfono: + 57 +4 + 219 85 90, correo electrónico: mauricio.hernandez@udea.edu.co (A.M. Hernández)





























