Servicios Personalizados
Revista
Articulo
Indicadores
-
Citado por SciELO -
Accesos
Links relacionados
-
Citado por Google -
Similares en
SciELO -
Similares en Google
Compartir
Revista Facultad de Ingeniería Universidad de Antioquia
versión impresa ISSN 0120-6230versión On-line ISSN 2422-2844
Rev.fac.ing.univ. Antioquia n.56 Medellín oct./dic. 2010
Una evaluación simplificada del kernel reducido para solucionar el problema de radiación de una antena cilindrica
A simplified evaluation of the reduced kernel to solve the radiation problem of a cylindrical antenna
Carlos Iván Páez Rueda *
Departamento de Electrónica, Facultad de Ingeniería, Pontificia Universidad Javeriana, Calle 40 N.° 5-50 Edif. José Gabriel Maldonado, S.J., Bogotá, D.C., Colombia
Resumen
En el siguiente artículo se presenta una solución simplificada de las expresiones relacionadas con la radiación de una antena cilíndrica de alambre recto utilizando el método de los momentos con el así llamado kernel reducido o aproximado.
Palabras clave: Método de los momentos, ecuación de pocklington, kernel reducido.
Abstract
The following article presents simplified expressions regarding the radiation problem of a cylindrical straight antenna using the method of moments with the so-called reduced kernel or approximate.
Keywords: Method of Moments, Pocklington equation, reduced kernel.
Introducción
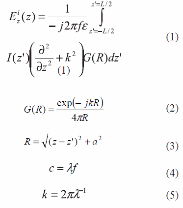
El problema de radiación de una antena cilindrica ha sido extensivamente trabajado en la literatura [1], debido a que es la base del modelado de antenas más complejas, es el cimiento de algunos algoritmos de computación electromagnética más elaborados, y finalmente, ya que se tiene documentado algunos resultados teóricos y numéricos para una posible comparación y evaluación. La ecuación utilizada para encontrar las densidades de corriente impresa de una antena cilíndrica localizada en el eje z, es conocida en la literatura como la ecuación de Pocklington [2] enunciada en (1), siendo la longitud y el radio del cilindro. En el caso de la utilización del así llamado kernel reducido o aproximado, la función G(R) es la enunciada en (2) y se deduce al argumentar que para kθ < 0,1 no existen variaciones acimutales de la densidad de corriente en la superficie del mismo [1].

En [3] se demuestra que la expresión (1) puede ser evaluada por medio de la ecuación (6). El integrando de esta función muestra un comportamiento casi singular cuando el radio a es arbitrariamente peque ño, haciendo ineficiente su evaluación numérica al utilizar el método de los momentos (MoM) [4].

Métodos para solucionar la ecuación (1) eficientemente con el MoM han sido presentados previamente en la literatura. En [5-13] se utilizan técnicas de extracción de la singularidad para una evaluación analítica, en [14-19] se evita la singularidad al utilizar series infinitas convergentes y en [3,20-25] se utilizan técnicas de transformación de variables o integración por partes, con el objeto de obtener una función fácilmente integrable por métodos numéricos.
En la presenta investigación se desarrolla una nueva solución de la ecuación (1)-(2) aplicable con el MoM procedimiento point-matching, el cual es eficiente en términos de computación ya que los resultados obtenidos tienen forma cerrada o las expresiones resultantes son fácilmente evaluables con las técnicas de integración numérica modernas para un radio del alambre arbitrariamente pequeño y diferente de cero.
Metodología
Ecuación de Pocklington Normalizada
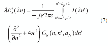
Sea las variables normalizadas n, n', aN, definidas a través de las relaciones z = λn, z' = λn' y a = λaN, el diferencial dz = λdn y el diferencial de la integral dz'= λdn La ecuación (1) puede ser transformada en (7), donde la función normalizada GN(.) no depende de la longitud de la onda y se encuentra definida por medio de (8).


Si se considera que I(z') aplicando el MoM se expresa por medio de la combinación lineal de las r-ésimas funciones base de la forma fr(kz'), entonces con el cambio de variable propuesto, ahora esas funciones se pueden expresarse de la forma fr(2πn'), y por tal, son independientes de la longitud de la onda. Entonces, y sin pérdida de generalidad, se expresará la densidad de corriente en su forma normalizada por medio de IN(n'). Adicionalmente, de acuerdo al principio de similitud, el desempe ño de una antena ideal en el dieléctrico libre es el mismo para antenas cuyas dimensiones normalizadas se mantienen. Considerando que la expresión del lado derecho de la igualdad de (7) no depende de la longitud de la onda, entonces cualquier modelo de fuente impresa Eiz(λn) deberá cumplir la propiedad Eiz(λn) = λ-1Ein(n) con el objeto que la ecuación de Pocklington describa una antena que cumpla la propiedad de escalabilidad espacial.
Para efectos del desarrollo aquí planteado, se supondrá en general que la fuente impresa puede depender también del radio del alambre, y por tal, dicha función se puede expresar en general de la forma Ein (n, aN). Por último, se utilizará la sustitución ξ = (n - n' )a-1N y se considerará para la solución de la ecuación el MoM procedimiento point-matching [4], en el cual se escogerán n = ni puntos fijos de observación en el alambre, y por tal, (7) se puede transformar en (9) y (10).

Las funciones Kre (ξ,dN), Kim (ξ,dN) ∈ R son calculables de forma explícita por medio de (11) y (12).

Se define la función P(ξ aN) por medio de casi singular para valores de aN arbitrariamente (13). Dicha expresión no tiene el comportamiento peque ño y diferente de cero.

La expresión total avaluar con el MoM procedimiento Point-Matching es (14).

La forma de la ecuación (14) para problemas de radiación de una antena cilíndrica no ha sido documentada previamente en la literatura, seguramente debido a que los límites de la integral tienden a ser grandes para un radio normalizado del alambre arbitrariamente peque ño y diferente de cero, complicando su evaluación numérica. Sin embargo, ésta representación tiene algunas ventajas de evaluación analítica que serán aprovechadas en esta investigación.
Método de solución
Un método de solución para la ecuación (14) se plantea a continuación, a través de las siguientes aproximaciones de la función P(ξ, dN).
a) Aproximación 1.
Para 0<aN<0.01, Λ para todo|ξ|≤0.1a-1Nse expande las funciones trigonométricas en (11) y (12) por medio de sus series de MacLaurin tradicionales, obteniendo (15) y (16)

Uno de los aspectos críticos del presente trabajo, es que las expresiones de (15) y (16) sean integrables en (14) con resultados analíticos, con el fin de facilitar la integración para radios del alambre arbitrariamente peque ño y diferente de cero. Las integrales relacionadas tienen precisamente una forma analítica para funciones base de tipo rectangular paso y rectangular triángulo, las cuales son ampliamente utilizadas en una gran variedad de códigos electromagnéticos para solucionar el problema de radiación y scattering de antenas cilíndricas.
b) Aproximación 2.
Para 0<aN<0.01, Λ para todo|ξ|≥0.1a-1N es posible aproximar √(ξ2+1)=|ξ| y de este forma se obtiene (17) y (18).

Las funciones (17) y (18) son sencillas de evaluar por métodos numéricos en (14) ya que con el cambio de variable u = ξaN la integral (14) se simplifica. Específicamente para el caso de funciones en el subdominio es fácilmente evaluable, ya que una sumatoria truncada de bajos coeficientes basado en la serie de Taylor de las funciones trigonométrica en (17) y (18) alrededor del punto medio de integración, permiten obtener un resultado simplificado y analítico de la expresión (14).
Resultados
Error numérico
En la figura 1 y la figura 2 se evalúan las diferencias absolutas entre las funciones (11)- (12) y las funciones (15)-(16) para diferentes valores de aN.
De la misma forma, en la figura 3 y la figura 4 se evalúa la diferencia absoluta entre las funciones (11)-(12) y las funciones (17)-(18) para diferentes valores de an.
p> Del análisis de las gráficas se concluye que las aproximaciones planteadas muestran una buena convergencia. Específicamente, un análisis exhaustivo de las aproximaciones (15)-(16) y detalladas en las figuras 1 y 2 para diferentes valores del radio del alambre, muestra que el error absoluto de la integral (14), aún incluyendo la casi singularidad de la expresión, tiene un comportamiento O(a2N) para 0<aN <0,01 , lo cual garantiza un error convergente a una constante en la ecuación de Pocklington para un radio del alambre arbitrariamente peque ño y diferente de cero. Como es de esperarse, el error en las aproximaciones (17)-(18) bajo la segunda aproximación y confirmadas en las figuras 3 y 4, muestran un error cada vez más peque ño a medida que se incrementa la variable independiente, dada la naturaleza de la aproximación √(ξ2+1)=|ξ|. En general y como se detalla en las figuras, la aproximación planteada para la parte imaginaria tienen un menor error que la parte real.
Comparación numérica de los resultadoscon el MoM
La matriz de impedancias Z = [Zmn], que permite encontrar la densidad de corriente impresa desconocida utilizando el MoM procedimiento point-matching con funciones base de tipo rectangular ha sido encontrado en (19) utilizando los resultados de esta investigación, para una antena eléctricamente peque ña de dimensiones LN = 0,1, aN = 0.005 y una cantidad de 5 puntos fijos de observación.

Los resultados de este mismo problema ha sido documentado por [26], obteniendo un error relativo absoluto del 0,45% y 0,039% para el módulo y el ángulo del determinante de la matriz z, un error relativo absoluto en el peor casos del 0,79% y 0,021%, para el módulo y el ángulo de los coeficientes que la componen y un error relativo absoluto máximo de 0,14% y 0,031% para el módulo y la fase de los coeficientes de la densidad de corriente estimada. Un error relativo tan peque ño como se desee se puede encontrar al utilizar mayores coeficientes en la serie de MacLaurin en las aproximaciones desarrolladas en esta investigación, a costa de sacrificar en el análisis y deducciones de las expresiones analíticas resultantes.
Expresión analítica para la autoimpedancia
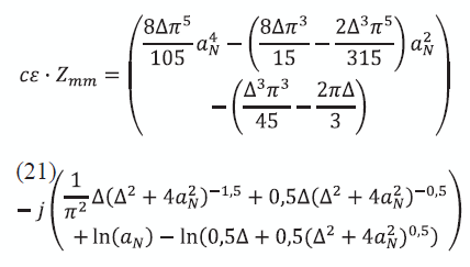
Uno de los mayores retos de la evaluación numérica de (14) con MoM, precisamente es la cuantificación de la diagonal de z, o los así llamados coeficientes de autoimpedancias znm ,ya que esta diagonal para funciones base en el subdominio contiene expresamente la casi singularidad de la expresión para radios de alambre arbitrariamente peque ño y diferente de cero. Como ejemplo de aplicación de los resultados encontrados en esta investigación, se presentará el análisis del caso de la función base de tipo rectangular paso, la cual es definida por medio de (20).

Donde r = 1,2, ..., M, Δ = LN/M y M la cantidad de segmentos de muestra utilizando el MoM procedimiento point-matching considerando un muestreo uniforme en el alambre definido por ni = -0,5lN + rΔ - 0,5Δ. El resultado de la autoimpendacia para este caso particular asumiendo un ?<0.1 se presenta en (21).

Los resultados encontrados evidencian fácilmente el tipo de la casi singularidades que contiene la autoimpedancia para los diferentes valores de la segmentación y el radio del alambre, aún para los casos arbitrariamente peque ños y diferentes de cero. A diferencia del método planteado por [10], los resultados encontrados en esta investigación permiten calcular de forma simple los valores de la autoimpedancia para el caso de una función base de tipo rectangular triángulo.
Conclusiones
En la presente investigación se han encontrado unas nuevas expresiones analíticas aproximada para solucionar el problema de radiación de una antena cilíndrica recta delgada utilizando el así llamada kernel reducido o aproximado con el método de los momentos procedimiento point- matching.
Los resultados encontrados tienen gran aplicación, ya que la matriz de autoimpedancias tiene una forma analítica para las funciones base en el subdominio de tipo rectangular paso y rectangular triángulo, las cuales son ampliamente utilizadas en este tipo de problemas.
El método desarrollado fue comprobado con la función base rectangular paso, encontrando el valor analítico de la autoimpedancia, y de esta forma facilitando la evaluación numérica de las expresiones, aún para el caso de un radio de la antena arbitrariamente peque ño y diferente de cero. Los resultados de error absoluto encontrados utilizando método de los momentos procedimiento point-matching bajo un escenario conocido fueron en general menores al 0,8%, haciendo el resultado atractivo para su aplicación en problemas de radiación y scattering de antenas rectas delgadas.
El resultado encontrado de la autoimpedancia permite simplificar los cálculos numéricos de los algoritmos previamente desarrollados en un código electromagnético particular, sin modificar de forma importante sus algoritmos, posibilitando la disminución del tiempo de computación a costa de una bajo inversión en el desarrollo o la reingeniería.
Finalmente, el método presentado es factible generalizarlo para solucionar el problema de radiación de una antena de alambre de forma arbitraría o una estructura electromagnética más compleja que utilice la ecuación de Pocklington con el así llamado kernel reducido o aproximado.
Referencias
1. R. W. P. King. "The linear antennaEighty years of progress". Proceedings of the IEEE. Vol. 55. 1967. pp. 2-16. [ Links ]
2. H. C. Pocklington. "Electrical oscillations in wires". Proceedings of the Cambridge Philosophical Society. 1897. pp. 324-332. [ Links ]
3. J. H. Richmond. «Digital computer solutions of the rigorous equations for scattering problems». Proceedings of the IEEE. Vol. 53. 1965. pp. 796-804. [ Links ]
4. R. F. Harrington. "Matrix methods for field problems". Proceedings of the IEEE. Vol. 55. 1967. pp. 136-149. [ Links ]
5. C. Butler. "Evaluation of potential integral at singularity of exact kernel in thin-wire calculations". Antennas and Propagation, IEEE Transactions on. Vol. 23. 1975. pp. 293-295. [ Links ]
6. L. Pearson. "A separation of the logarithmic singularity in the exact kernel of the cylindrical antenna integral equation". Antennas and Propagation, IEEE Transactions on. Vol. 23. 1975. pp. 256-258. [ Links ]
7. C. M. Butler, D. R. Wilton. "Effective methods for solving integral and integro-differential equations". Moment Methods in Antennas and Scattering. R. C. Hansen. (editor). Artech House. 1990. pp. 58-77. [ Links ]
8. D. H. Werner, J. A. Huffman, P. L. Werner. "Techniques for evaluating the uniform current vector potential at the isolated singularity of the cylindrical wire kernel". Antennas and Propagation, IEEE Transactions on. Vol. 42. 1994. pp.1549-1553. [ Links ]
9. A. Karwowski. "Closed-form approximation to the bounded part of the exact kernel of a cylindrical antenna integral equation". Microwaves, Antennas and Propagation, IEE Proceedings H. Vol. 135. 1988. pp. 210-212. [ Links ]
10. D. H. Werner, P. L. Werner, J. K. Breakall. "Some computational aspects of Pocklington's electric field integral equation for thin wires". Antennas and Propagation, IEEE Transactions on. Vol. 42. 1994. pp. 561-563. [ Links ]
11. Seong-Ook Park, Ke-Young Park. "Integral transform technique of self-term wire antenna kernel". Antennas, Propagation and EM Theory, 2000. Proceddings. ISAPE 2000. pp. 358-361.
12. M. C. van Beurden, A. G. Tijhuis. "Analysis and Regularization of the Thin-Wire Integral Equation With Reduced Kernel". IEEE Transactions on Antennas and Propagation. Vol. 55. 2007. pp. 120-129. [ Links ]
13. A. Mohan, D. S. Weile. "Convergence Properties of Higher Order Modeling of the Cylindrical Wire Kernel". IEEE Transactions on Antennas and Propagation. Vol. 55. 2007. pp. 1318-1324. [ Links ]
14. W. X. Wang. "The exact kernel for cylindrical antenna". IEEE Transactions on Antennas and Propagation. Vol. 39. 1991. pp. 434-435. [ Links ]
15. D. H. Werner. "An exact formulation for the vector potential of a cylindrical antenna with uniformly distributed current and arbitrary radius". IEEE Transactions on Antennas and Propagation. Vol. 41. 1993. pp. 1009-1018. [ Links ]
16. D. H. Werner, P. L. Werner, J. A. Huffman, A. J. Ferraro, J. K. Breakall. "An exact solution of the generalized exponential integral and its application to moment method formulations". IEEE Transactions on Antennas and Propagation. Vol. 41. 1993. pp. 1716-1719. [ Links ]
17. D. H. Werner. "A method of moments approach for the efficient and accurate modeling of moderately thick cylindrical wire antennas". IEEE Transactions on Antennas and Propagation. Vol. 46. 1998. pp. 373-382. [ Links ]
18. Seong-Ook Park, C.A. Balanis. "Efficient kernel calculation of cylindrical antennas". IEEE Transactions on Antennas and Propagation. Vol. 43. 1995. pp.1328-1331. [ Links ]
19. Chan-Ping Lim, Le-Wei Li, Er-Ping Li. "Fast full- wave analysis of a cylindrical antenna using a single integral with an exact kernel". Antennas and Wireless Propagation Letters IEEE. Vol. 1. 2002. pp. 43-45. [ Links ]
20. C. Harrison Jr, E. Aronson. "On the evaluation of potential intergrals occurring in antenna theory using digital computers". IEEE Transactions on Antennas and Propagation. Vol. 15. 1967. pp. 576-576. [ Links ]
21. D. R. Wilton, N. J. Champagne. "Evaluation and integration of the thin wire kernel". IEEE Transactions on Antennas and Propagation. Vol. 54. 2006. pp. 1200-1206. [ Links ]
22. N. J. Champagne. D. R. Wilton. J. D. Rockway. "The Analysis of Thin Wires Using Higher Order Elements and Basis Functions". IEEE Transactions on Antennas and Propagation. Vol. 54. 2006. pp. 3815-3821. [ Links ]
23. D. R. Wilton. N. J. Champagne. "Evaluating the gradient of the thin wire kernel". Antennas and Propagation Society International Symposium, 2008. AP-S 2008. IEEE. 2008. pp. 1-11. [ Links ]
24. P. W. Fink, D. R. Wilton, M. A. Khayat. "Simple and Efficient Numerical Evaluation of Near-Hypersingular Integrals". Antennas and Wireless Propagation Letters, IEEE. Vol. 7. 2008. pp. 469-472. [ Links ]
25 N. J. Champagne, D. R. Wilton. "Integrating the gradient of the thin wire kernel". Antennas and Propagation Society International Symposium. 2008. AP-S 2008. IEEE. 2008. pp. 1-11. [ Links ]
26. W. L. Stutzman, G. A. Thiele. Antenna theory and design. 2a. ed. Ed. Wiley. New York. 1998. pp. 437-438. [ Links ]
(Recibido el 08 de julio de 2009. Aceptado el 20 de abril de 2010)
*Autor de correspondencia: teléfono: + 57 + 1 + 320 83 20 ext. 5368, fax: + 57 + 1 + 338 45 25, correo electrónico: paez.carlos@javeriana.edu.co. (C. Rueda)

















