Servicios Personalizados
Revista
Articulo
Indicadores
-
Citado por SciELO -
Accesos
Links relacionados
-
Citado por Google -
Similares en
SciELO -
Similares en Google
Compartir
Semestre Económico
versión impresa ISSN 0120-6346versión On-line ISSN 2248-4345
Semest. Econ. v.14 n.28 Medellín ene./jun. 2011
Determinantes de la pobreza en Isla Grande*
Poverty determinants in Isla Grande
Determinantes da pobreza em Ilha Grande, Colômbia
William Orlando Prieto Bustos **
** Economista, Universidad Nacional, Bogotá, Colombia; Máster en Políticas Públicas de la Universidad de Rochester, New York, Estados Unidos. Miembro del grupo de investigación de política económica de la Universidad Católica de Colombia, Bogotá. Profesor e investigador de la Universidad Católica de Colombia, Bogotá. Consultor en políticas públicas y socio fundador de la firma de consultoría +POLIS. Correo electrónico: woprieto@ucatolica.edu.co
Resumen
El documento contrasta las estimaciones de un modelo de efectos fijos no lineal para la determinación de la pobreza con un modelo de efectos fijos lineal de generación de ingresos para una muestra de 136 personas utilizando un panel de datos para 2007 y 2009. Los resultados de las estimaciones sugieren la existencia de una trampa de la pobreza. El nivel educativo, el esquema de salud subsidiado, la ocupación de cuenta propia, y los contratos informales resultan significativos al explicar las variaciones en el ingreso per cápita. Asimismo, la experiencia laboral, el nivel educativo, los contratos informales, y el incremento en las actividades económicas resultan significativos explicando la pobreza. En particular, los impactos del segmento de variables de educación en la pobreza y en la generación de ingresos están limitados por la escasa demanda laboral de empleo, y la reducida importancia relativa del capital humano y la experiencia laboral en la determinación de mejores salarios.
Palabras Clave
Economía regional; desarrollo local; modelos econométricos de probabilidad; pobreza.
Clasificación JEL: R11; O18; I32; C59
Contenido
Introducción; 1. Desarrollo económico y local; 2. Modelo económico; 3. Modelo Econométrico; 4. Resultados; 5. Conclusiones; Bibliografía.
Abstract
This document contrasts the estimations of a nonlinear fixed effects model for determining poverty with a linear fixed event model for income generation for a sample of 136 persons using data panels for 2007 and 2009. The results for the estimation suggest the existence of a poverty trap. The education level, the subsidized health system, self-employment and informal contracts result significant in the explanation of variations in the income per capita. Likewise the working experience, the education level, the informal contracts and the increase in economic activities result significant in the poverty explanation. Especially, the impacts in variables of poverty education and income generation are limited to the short labor demand and the small relative importance to human capital and working experience in the determination for better wages.
Key Words
Regional Economy; Local Development, Probability Econometric Models; Poverty.
JEL Classification: R11; O18; I32; C59
Content
Introduction; 1. Economic and Local development; 2. Economic Model; 3. Econometric Model; 4. Results; 5. Conclusions; Bibliography.
Resumo
O documento contrasta as estimações de um modelo de efeitos não lineal para a determinação da pobreza com um modelo de efeitos fixos lineal de geração de ingressos para 2007 e 2009. Os resultados das estimações sugerem a existência de uma armadilha de pobreza. O nível educativo, o esquema de saúde subsidiado, a ocupação da conta própria, e os contratos informais resultam significativos explicando as variações no ingresso per capita. Assim mesmo, a experiência laboral, o nível educativo, os contratos informais, e o incremento nas atividades econômicas resultam significativos explicando que a pobreza e as gerações de ingressos estão limitadas pela escassa demanda laboral de emprego e a reduzida importância relativa do capital humano da experiência laboral na determinação de melhores salários.
Palavras-Chaves
Economia regional, desenvolvimento local, modelos econométricos de probabilidade, pobreza.
Classificação JEL: R11; O18; I32; C59
Conteúdo
Introdução; Desenvolvimento econômico e local; 2. Modelo econômico; 3. Modelo econométrico; 4. Resultados; 5. Conclusões; Bibliografia.
"A Mariana, Reina del amarillo eterno en el rojo crepuscular de mis sueños, cuando sea Madre".
INTRODUCCIÓN
Isla Grande, la mayor de las 27 islas que componen el archipiélago de las Islas del Rosario, está situada a 45 kilómetros al noroeste de la ciudad de Cartagena de Indias, en la costa norte de la República de Colombia. Al igual que la mayoría de las islas hace parte de uno de los atractivos turísticos más rentables de la costa atlántica, y del Parque Nacional Natural Corales del Rosario y San Bernardo (PNNCRSB), creado en 1977 con el objeto de resguardar una de las reservas más importantes de arrecifes coralinos de la costa caribe. Según la Corporación de Turismo de Cartagena (CTC, 2009) solo en el 2008 las islas recibieron más de 300 mil personas; además, El Universal (2009) sostiene que esta tendencia creciente en el turismo se consolida con el incremento de 33,7% del flujo de turistas observado en junio de 2009, y que convierte al archipiélago en uno de los 10 destinos turísticos más atractivos del mundo.
El impresionante desarrollo turístico no se compara con el rezago que se observa en el desarrollo humano de la población raizal afro descendiente. De acuerdo con el censo de población realizado por la Fundación Surtigas en 2007, 72% de la población total de las Islas residía en Orika (532 personas), de los cuales 89% percibían ingresos por debajo de $164,055, umbral considerado como la línea de pobreza. La pobreza está afectando el desarrollo humano de la comunidad afro-descendiente que está viendo limitadas sus oportunidades de desarrollo y crecimiento económico. El presente documento de investigación realiza una estimación de los determinantes de la pobreza en Isla Grande a partir de la elaboración de un panel de datos de 136 personas en 2007 y 2009, con el objeto de complementar el plan de desarrollo local propuesto en Prieto (2008) y el modelo de determinantes de la pobreza para la población total que se discute en Prieto (2010).
La metodología de análisis contrasta las estimaciones de un modelo de efectos fijos no lineal para la determinación de la pobreza, con un modelo de efectos fijos lineal de generación de ingresos para una muestra de 136 personas utilizando un panel de datos para 2007 y 2009 elaborado a partir del Censo Fundación Surtigas 2007 y la encuesta de hogares Fundación Surtigas 2009. Los resultados de las estimaciones sugieren la existencia de una trampa de la pobreza. El nivel educativo, el esquema de salud subsidiado, la ocupación de cuenta propia, y los contratos informales resultan significativos al explicar las variaciones en el ingreso per cápita. Asimismo, la experiencia laboral, el nivel educativo, los contratos informales, y el incremento en las actividades económicas resultan significativos al explicar la pobreza. En particular, los impactos del segmento de variables de educación en la pobreza y en la generación de ingresos están limitados por la escasa demanda laboral de empleo, y la reducida importancia relativa del capital humano y la experiencia laboral en la determinación de mejores salarios.
El documento se encuentra dividido en cinco secciones. En la primera se discute el desarrollo local en torno a la teoría de desarrollo económico. La segunda sección presenta el modelo económico que orienta la estimación econométrica. La tercera sección identifica el modelo econométrico. La cuarta sección contiene los principales resultados de la estimación. Las principales conclusiones se presentan en la quinta sección.
1. DESARROLLO ECONÓMICO Y DESARROLLO LOCAL
La separación del concepto de crecimiento económico del concepto de desarrollo social dentro de la teoría económica surge posterior a la Segunda Guerra Mundial. Meier (2002) y Reyes (2002) presentan la evolución de la teoría del desarrollo desde dos perspectivas diferentes. En la primera, Meier (2002) discute los avances de la teoría examinado los aportes científicos desde las grandes teorías de 1950 a 1975, pasando por el resurgimiento de la teoría neoclásica de 1975 a 1980, y la aparición de la teoría del crecimiento endógeno de finales de los ochenta y principios de los noventa, y los clasifica en dos generaciones de economistas: la pionera, de principios de los años cincuenta, en la cual desarrollo y crecimiento se consideraban sinónimos, y la ulterior, de principios de los noventa, en la cual la inversión en capital humano es la frontera de los dos conceptos. En la segunda, Reyes (2002) discute los avances de la teoría del desarrollo al contrastar la teoría de la modernización, la teoría de la dependencia, la teoría de los sistemas mundiales, y la teoría de la globalización en torno a la nueva definición de desarrollo referente a la satisfacción de necesidades de la población y utiliza una tecnología que incorpora tanto los aspectos culturales y como los derechos humanos.
Al igual que Todaro (1977), Meier (2002) y Reyes (2002) argumentan desde una definición de desarrollo, en la cual ocurre un evento multidimensional que impone cambios en las estructuras social y cultural de una sociedad, y que indica una diferencia importante con las ideas de crecimiento económico sugeridas al principio de la década de 1950 por Rostow (1960), Nurkse (1953), Kuznets (1966), Lewis (1955), Myrdal (1957), Chenery y Taylor (1968), Harris y Todaro (1970) que enfatizaban en el ingreso per cápita como indicador de desarrollo económico. Aunque es posible distinguir el concepto de crecimiento económico del concepto de desarrollo, en la medida en que el último representa un mejoramiento progresivo en los niveles de vida, ninguna de las dos revisiones incorpora el desarrollo local dentro del núcleo científico de la teoría del desarrollo económico.
El desarrollo local se desprende de la teoría del desarrollo endógeno que enfatiza la importancia del capital humano como determinante del crecimiento económico y el desarrollo. En un sentido más estricto, el paradigma del desarrollo local explica las dificultades en el mejoramiento de las condiciones de vida a partir de la manera como las capacidades del territorio son puestas al servicio de un proyecto comunitario. Freidman (1954), Boisier (1999), Helmsing (2001), Vázquez (2005); Cohard (2009), Alburquerque (1997) y Prieto (2010) discuten las diferencias de la teoría del desarrollo, la teoría del desarrollo endógeno y el desarrollo local, y orientan la discusión hacia la construcción de un paradigma del desarrollo local dentro de la teoría económica. Las hipótesis del modelo económico que se evalúan en las estimaciones econométricas del presente documento se formulan con base en la teoría del desarrollo endógeno y las generalizaciones empíricas del desarrollo local. En particular, incrementos en la rentabilidad del capital humano están asociados a un mejor aprovechamiento de las capacidades del territorio.
2. MODELO ECONÓMICO
El modelo económico sugiere la existencia de una relación de causalidad entre la pobreza y los ingresos per cápita con cinco segmentos de variables, a saber: educación, salud, experiencia laboral, mercado de trabajo y capital social. Incrementos en las variables asociadas al segmento de educación reducen la probabilidad de ocurrencia del evento pobreza y aumentan el ingreso per cápita. Incrementos en la afiliación a un sistema de salud reducen la probabilidad de pobreza e incrementan el ingreso per cápita, sin embargo, una mayor participación de un sistema de subsidios reduce los incentivos a la generación de ingresos, lo que conlleva una disminución en el ingreso per cápita y un incremento en la pobreza.
De la misma forma, una mayor participación en las contribuciones vía contratación laboral regulada disminuye la probabilidad de ocurrencia de la pobreza y aumenta la generación de ingresos. La experiencia laboral incrementa el ingreso per cápita en forma decreciente, de forma tal que aumentarán hasta un umbral de edad a partir del cual su importancia relativa disminuye en ingresos y aumenta en pobreza. El mercado de trabajo se incorpora a partir de las actividades que especifican el estatus de cada individuo en cuanto a empleo o desempleo, la participación laboral reduce la pobreza y aumenta el ingreso per cápita, y el desempleo aumenta la pobreza y disminuye el ingreso per cápita. Ni la oferta laboral, ni la demanda laboral se describen en forma separada, pero si el mercado de trabajo no se encuentra articulado, las estimaciones del modelo econométrico estarán en contravía de las hipótesis que establece el modelo económico.
El capital social, definido como la adquisición de información y comportamientos a través de redes sociales que promueven el desarrollo económico, se aproxima a partir de la existencia de unidades empresariales en los hogares y de participación en actividades comunitarias. El efecto esperado de una mayor acumulación de capital social es una disminución en la pobreza y un incremento en los ingresos per cápita.
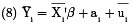
El modelo económico para los determinantes de la pobreza se define a partir de:
En donde Yit es pobreza para cada individuo en el periodo t, β0 es una constante, δ 0 Añot es una variable dicotómica igual a cero cuando t es 2007, e igual a 1 cuando t es 2009, EDUCit es el segmento de variables correspondientes a la educación para cada individuo i en cada periodo t, TRABAJOit el segmento de variables relacionadas con el estatus laboral, CAPITALSOCIALit contiene la información concerniente a la formación de capital social.
La pobreza, definida como la carencia de recursos económicos y sociales para la satisfacción de necesidades y el empoderamiento de las habilidades de un individuo con el objeto de garantizar un desarrollo humano digno y enriquecedor, puede ser aproximada desde la perspectiva de generación de ingresos. Aunque la generación de ingresos es uno de los tres elementos que conforman el índice de desarrollo humano (IDH)1, está estrechamente relacionada con la inversión en capital humano que comprende los avances en educación y salud, la profundización del mercado laboral y la formación de capital social.
La problemática de la pobreza y la problemática de la generación de ingresos se abordan a partir del modelo económico descrito anteriormente y se advierte que el sistema de relaciones que subyace al fenómeno social de la pobreza es mucho más elaborado que el que subyace a los procesos económicos inmersos en la generación de ingresos. El carácter multidimensional de la pobreza implica la imposibilidad de ceñir su naturaleza al campo de acción de una sola área del conocimiento, sin embargo, desde el aspecto económico la generación de ingresos representa el mecanismo de ajuste más expedito para el control o la eliminación de la pobreza. En consecuencia, el modelo de generación de ingresos plantea las siguientes hipótesis sobre la determinación del ingreso:
En donde Yit es el ingreso per cápita y EXPLABit representa la experiencia laboral. El conjunto de variables concernientes a la educación, salud, mercado laboral, y capital social se especifican para cada individuo i en cada período de tiempo t.
Las ecuaciones (1) y (2) incorporan heterogeneidad no observada como determinante de la pobreza y la generación de ingresos. Dicha heterogeneidad está asociada con características particulares de cada individuo tales como factores de composición racial, factores geográficos, factores relacionados con habilidades innatas y factores culturales. En este sentido, la identificación de ambos modelos sugiere una heterogeneidad no observada constante en el tiempo para cada individuo i. El residuo por explicar está representado por un término de error que cambia en el tiempo t y para cada individuo i, y las modificaciones impuestas por la inercia temporal se aíslan en la constante â0 en conjunto con la variable ficticia ä0, de modo tal que en el año t=2007, la constante es â0, mientras que en año t=2009, la constante es â0 + ä0.
La especificación econométrica implementa la estimación empírica de los modelos económicos delimitando las propiedades estadísticas que hacen factible la obtención de los parámetros relacionados con la constante, y las pendientes de la relación funcional planteada en las ecuaciones (1) y (2). En particular, los supuestos de independencia del término de error con relación al conjunto de variables independientes requieren de la utilización de variables instrumentales, o de datos en panel para reducir la endogenidad que afecta la consistencia de los estimadores. Asimismo, la estabilidad de la varianza necesaria para garantizar la eficiencia de los estimadores requiere de un mayor control en un modelo de datos en panel, debido a que incorpora no solamente la variación temporal sino, además, la variación transversal. El cumplimiento de los supuestos concernientes al error idiosincrásico, a la heterogeneidad no observada, y a la dispersión que provoca la propagación del residuo sin explicar en los parámetros mejora la consistencia y la eficiencia de la estimación de la relaciones económicas funcionales del modelo de pobreza y generación de ingresos en torno a sus fundamentales tal y como lo discuten Wooldridge (2006) y Gujarati (2004).
3. MODELO ECONOMÉTRICO
Los modelos económicos sobre determinantes de la pobreza y generación de ingresos se estiman a partir de una ecuación de efectos fijos para cada individuo,
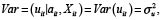
En donde Yit es una variable continua en logaritmos para el modelo de ingreso per cápita, y una variable dicotómica para el modelo de pobreza; ä0 es una variable ficticia que aísla la inercia temporal para la individuo i en el periodo de tiempo t; Xit es matriz de información2 para el individuo i en el momento t; â es un parámetro asociado a la matriz de información; ai el efecto fijo no observado para el individuo i pero constante en el tiempo t; y uit es el error idiosincrásico para el individuo i en el período de tiempo t.
La estimación de los parámetros â de la ecuación (3) bajo mínimos cuadrados ordinarios (MCO) impone el supuesto de incorrelación del efecto fijo o heterogeneidad no observada (ai) con la matriz de regresores Xit para cada individuo en cada año t. Sin embargo, la identificación del modelo económico establece una estrecha relación entre la heterogeneidad no observada y los variables independientes3. Por lo anterior, la estimacióne (3) se realiza utilizando un modelo de datos en panel4 en el cual se permite que la heterogeneidad constante no observada de cada individuo esté correlacionada con el conjunto de regresores que se especifican en el modelo económico. De esta manera, los factores constantes no observados que conforman dicha heterogeneidad y que afectan la probabilidad de ocurrencia del evento pobre, y la generación de ingresos están correlacionados con las observaciones de Educación, Salud, Trabajo y Capital Social. Por lo tanto, en el modelo de datos en panel descrito en (3) se asume que ai es una constante correlacionada con Xit y que uit está incorrelacionado con Xit.
Una alternativa de estimación es considerar la heterogeneidad no observada aleatoria, en la cual ai se presenta como una variable independiente e incorrelacionada con Xit. La principal distinción de los modelos de efectos fijos, y efectos aleatorios se halla en el supuesto de correlación de la heterogeneidad no observada con los regresores Xit, por lo que el modelo de efectos fijos facilita la implementación del tipo de relación económica que se evalúa en la presente investigación.
Una desventaja del modelo de efectos fijos en relación con el modelo de efectos aleatorios reside en la imposibilidad de identificar parámetros para regresores invariantes en el tiempo, debido a que al controlar por la heterogeneidad no observada constante se elimina toda información que no se modifique en el tiempo. Desde el punto de vista del residuo no explicado de la regresión de MCO sesgado por heterogeneidad no observada, el modelo de efectos fijos (EF) controla la relación funcional por heterogeneidad asumiendo que es constante, mientras el modelo de efectos aleatorios (EA) controla la relación funcional por heterogeneidad asumiendo que es aleatoria.
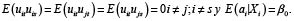
En ambos modelos se hace énfasis en el componente ai dentro del residuo no explicado de la regresión de MCO, sin embargo, para el caso del modelo de efectos fijos el supuesto5 de, E(uit|ait, Xit) = 0. permite la correlación entre la heterogeneidad no observada y los regresores, mientras que en el caso del modelo de efectos aleatorios el supuesto6 de E(uit|a it, Xit) = E(u it|it) = 0 impone una restricción adicional en la medida en que ait se distribuye en forma independiente de X it .
La estimación del modelo de efectos fijos se realiza una vez se ha controlado por la heterogeneidad no observada. Existen varios métodos para eliminar ai de la ecuación (3); los más conocidos son el método de primeras diferencias y el método de diferencias con respecto al promedio. El primero es el estimador de primeras diferencias y el segundo es el estimador de efectos fijos. El estimador de efectos fijos es equivalente al estimador de primeras diferencias7 cuando se tienen dos periodos de tiempo (Wooldridge, 2006, p. 520). Como su nombre lo indica, el estimador de primeras diferencias elimina el efecto fijo ait tomando la primera diferencia para cada observación de corte transversal i; en particular, para el individuo i en el año 2009 la ecuación del modelo de efectos fijos es:
Mientras que la ecuación correspondiente para el año 2007 es:
Tomando la primera diferencia restamos la ecuación (4) de la ecuación (5) para obtener:
Lo que en notación de primeras diferencias equivale a:
Donde Δ indica el cambio de 2007 a 2009.
La ecuación (7) controla por la heterogeneidad no observada que ha sido excluida del componente del error idiosincrásico ui. La ecuación presenta una constante ä0 que aísla la inercia temporal y los coeficientes â son los estimadores de primeras diferencias. Por su parte, el estimador de efectos fijos utiliza una transformación del modelo con base en los valores promedio de cada variable dependiente e independiente especificada en la identificación del modelo. Para cada individuo i se obtiene la ecuación de valores medios:
En donde
es el promedio de la variable dependiente,
es el promedio de las variables explicativas, ai es la heterogeneidad constante o efecto fijo y
es el valor medio del error idiosincrásico. Estimando las diferencias de la ecuación efectos fijos individual descrita en la ecuación (3) con respecto a los valores medios que presenta la ecuación (8) para cada año se obtiene:
De la misma forma que el estimador de primeras diferencias la constante global â0 ha sido eliminada de la ecuación, y el componente inercial asociado a la tendencia temporal (ä0 en el modelo de primeras diferencias) se incorpora al interior de las variables explicativas. La estimación de la constante global es reemplazada por la estimación de la heterogeneidad representada por el valor medio de ai ain → ∞ para la muestra de observaciones individuales.
Aunque existen otras especificaciones tales como los modelos de efectos aleatorios en donde el componente de heterogeneidad no observada se mide como una desviación aleatoria en el error uit de la regresión individual con relación al promedio de la población, el modelo de efectos fijos, desde el punto de vista del modelo económico, es más adecuado que el modelo de efectos aleatorios, en la medida que el primero utiliza la interacción entre el componente del error idiosincrásico con las variables independientes como mecanismo de ajuste constante en los cambios observados en la pobreza8 y el ingreso. La transformación de efectos fijos, al igual que el estimador de primeras diferencias, permiten la existencia de correlación entre la heterogeneidad no observada constante en el tiempo y las variables explicativas identificadas en el modelo económico que orienta las estimaciones de un modelo de pobreza y un modelo de generación de ingresos. Por esta razón, las estimaciones que se presentan a continuación hacen énfasis en el modelo de efectos fijos.9
4. RESULTADOS
A continuación se presentan los resultados del análisis multivariado para el modelo de datos en panel descrito en las secciones precedentes. La estimación del modelo econométrico se realiza utilizando el método de efectos fijos asumiendo los supuestos de distribución de errores y correlación con los regresores especificados en el modelo econométrico. Los resultados de las estimaciones permiten comprobar empíricamente las hipótesis sugeridas por el modelo económico y desarrolladas en el análisis univariado e inferencial sobre el comportamiento temporal y transversal de las variables independientes y dependientes10. La muestra de individuos es de 136 personas que conforman una muestra fusionada de 272 observaciones para los años 2007 y 2009. La muestra está conformada por las mismas personas en ambos años de estudio.
La tabla 1 presenta los resultados de las estimaciones para el modelo lineal de generación de ingresos per cápita, y para el modelo no lineal sobre determinantes de la pobreza. Ambos modelos presentan el mismo conjunto de variables independientes para facilitar la contrastación en cuanto a los posibles efectos de retroalimentación de ingresos y pobreza, es decir, la posibilidad de existencia de una trampa de pobreza. La primera parte de la tabla 1 presenta las estimaciones de los coeficientes bajo los supuestos del modelo de efectos fijos que garantizan la correlación entre la heterogeneidad no observada y el conjunto de regresores independientes.
La segunda parte de la tabla 1 registra las medidas de bondad de ajuste disponibles para cada modelo. El modelo lineal presenta tres diferentes medidas acerca de la potencia explicativa del modelo sobre la variabilidad observada. Como se discutió en el análisis de la variación total, el cambio de las observaciones de un año a otro se descompone según su fuente. La fuente transversal del cambio originada en cada individuo se captura en el indicador de ajuste R2 transversal que registra la capacidad del modelo para replicar las variaciones individuales observadas. La fuente temporal del cambio originada en cada año se captura en el indicador de ajuste R2 temporal que registra la capacidad del modelo para replicar las variaciones temporales observadas. El indicador tradicional de ajuste se registra como R2 total.
Aunque, en el caso lineal, los indicadores de ajuste son bajos, 22% del cambio total observado es explicada por el modelo, 1% del cambio transversal observado es explicado por el modelo, y 7% del cambio temporal es explicado por el modelo; las pruebas de relevancia estadística para el conjunto de variables, prueba F para el caso lineal, y prueba Chi cuadrado para el modelo no lineal, sostienen la significancia estadística de la conjetura de trampa de la pobreza sobre pobreza y generación de ingresos en torno a una baja productividad laboral. Asimismo, el modelo de efectos fijos focaliza la estimación enfatizando la importancia de la variación temporal sobre la variación transversal que, en efecto, explica mejor con un 7% contra 1% de la transversal.
Cada uno de los coeficientes estimados se presenta en conjunto con la desviación estándar, y el correspondiente nivel de significancia si el test de hipótesis amerita la relevancia del coeficiente desde el punto de vista estadístico. Los errores de los ajustes econométricos han corregido la matriz de varianzas y covarianzas agrupando individuos para reducir la dispersión de los errores en la muestra permitiendo destacar con mayor precisión los fundamentales de las relaciones funcionales planteadas en el modelo económico y el modelo econométrico.
Para el caso del modelo lineal se ajustaron 136 grupos, que corresponden al total de individuos que conforman la muestra en cada año. Para el caso del modelo no lineal se ajustaron 48 grupos debido a la reducida cantidad de observaciones disponibles para el ajuste no lineal. La auto correlación o correlación serial de los errores para cada individuo en el caso lineal se considera medianamente leve (0,48), mientras la correlación del error idiosincrásico con los regresores se considera baja (−0,2) lo que permite aseverar el cumplimiento de los supuestos de exogenidad estricta, que aunado a la ausencia de multicolinealidad en los regresores permite interpretar las estimaciones como efectos marginales de causalidad.
Los resultados de las estimaciones del modelo econométrico presentan evidencia para la existencia de una trampa de la pobreza en torno a una baja productividad laboral. Las variables nivel educativo, esquema de salud subsidiado, la ocupación de cuenta propia, y los contratos informales resultan significativos explicando las variaciones en el ingreso per cápita. Asimismo, la experiencia laboral, el nivel educativo, los contratos informales, y el incremento en las actividades económicas resultan significativos explicando la pobreza. El impacto de los niveles educativos sobre la pobreza (−4.3) es mayor al impacto de los niveles educativos sobre el ingreso per cápita (0.0003).
Aunque existe un mayor número de personas educadas en niveles de primaria y bachillerato las nuevas habilidades no se han incorporado en incrementos en el ingreso per cápita. El alto grado de informalidad en las contrataciones laborales afecta en mayor medida a la pobreza (5.8) que a la generación de ingresos (−0.30). Debido a la precariedad en la generación de ingresos, la afiliación a esquemas subsidiados de salud tiene un mayor impacto sobre los niveles de pobreza (−1.08) que sobre la generación de ingresos (−0.27), aunque el primer estimador no es estadísticamente significativo.
La ocupación de cuenta propia, significativa en el modelo de generación de ingresos, está asociada con bajos niveles de ingresos per cápita (−0.6), y con disminuciones importantes en la pobreza (1.84) lo que unido a un alto nivel de informalidad puede reducir los incentivos para la inversión en capital humano y limitar la expansión cualificada de la oferta laboral. La experiencia laboral es significativa y mucho más relevante reduciendo la pobreza (.56) que generando ingresos (−0.02) lo que, en últimas, evidencia un componente tendencial estructural en las dificultades de generación de ingresos de la población.
5. CONCLUSIONES
La evaluación del impacto marginal de los coeficientes estimados permite identificar algunas tendencias en las relaciones de las variables especificadas en el modelo económico. En primer lugar, la pobreza continúa siendo el problema prioritario de la muestra en estudio; a 2009, 62,5% de la población no obtiene ingresos suficientes para superar la línea de pobreza. En segundo lugar, las posibilidades de cambio para la población pobre se ven seriamente limitadas por la falta de formalización de contratos laborales que incorporen el incremento en los niveles educativos y en la experiencia laboral dentro de la determinación de los ingresos laborales. En tercer lugar, la precaria situación laboral incide en la afiliación a los esquemas de salud, en los que se observa una mayor participación del esquema subsidiado (53%) en relación con el esquema contributivo (26%) para la muestra fusionada, situación que se explica por la reducida generación de empleo de calidad. En cuarto lugar, la formación de capital social tiene un impacto positivo en la pobreza a bajos niveles de ingreso per cápita.
Del análisis univariado se desprenden algunas conclusiones de interés para el análisis multivariado de efectos fijos. En particular, los impactos del segmento de variables de educación en la pobreza y en la generación de ingresos están limitados por la escasa demanda laboral de empleo, y la reducida importancia relativa del capital humano y la experiencia laboral en la determinación de mejores ingresos per cápita. Los impactos de la educación en la pobreza que se describen en el análisis univariado11 no están asociados al rendimiento de la inversión en capital humano sino a un incremento en la ocupación en contra de la generación de empleo estable que promueva inversiones más especializadas y una valoración específica a la acumulación de experiencia laboral.
A pesar de la estrechez del mercado laboral, en 2009 el incremento del porcentaje de contratos fijos e indefinidos en relación con los contratos informales motivó un cambio de tendencia en la composición de los esquemas de salud, favoreciendo el esquema contributivo en relación con el esquema subsidiado, lo que está acompañado de en un incremento en los ingresos y una disminución en la pobreza. Sin embargo, continúa existiendo un alto nivel de personas no afiliadas o cubiertas por el sistema subsidiado a menores niveles de ingreso per cápita.
En lo referente a la formación de capital social, las tendencias de pobreza y generación de ingresos se retroalimentan en forma inversa a bajos niveles de ingreso per cápita; una mayor formación de capital social está asociada a disminuciones de pobreza y a mayores niveles de ingresos. Sin embargo, a niveles altos de ingresos per cápita la formación de capital social disminuye y, en consecuencia, el impacto sobre la pobreza.
El análisis inferencial12 de la muestra fusionada fortalece las conclusiones del análisis univariado. Se confirma la escasa relevancia de la educación, y la experiencia laboral, en la determinación de ingresos laborales estables. La demanda laboral se ha especializado en ocupaciones que generan un flujo de ingresos inestable que aducen bajos salarios. El incremento en la oferta laboral por encima de la demanda laboral de empleo regulado en contratos laborales ha generado contratos informales que afectan la generación de ingresos e incrementan los niveles de pobreza. Lo anterior aumenta la población vulnerable lo que, a su vez, se refleja en un mayor cubrimiento del esquema subsidiado de salud. Por último, la formación de capital social disminuye la frecuencia de la pobreza y se consolida como una alternativa de generación de ingresos para el segmento de la población con menores ingresos per cápita.
Debido a que el modelo de efectos fijos se elabora con observaciones de las mismas personas en dos momentos diferentes del tiempo, la heterogeneidad no observada permanece constante; luego, factores culturales, tradiciones, o biológicos no afectan las relaciones económicas que se circunscriben al modelo económico. En consecuencia, la precariedad en las posibilidades de generación de ingresos en un mercado laboral estrecho e informal, en donde ni la inversión en capital humano, ni la experiencia laboral representan fuentes de incrementos en el ingreso per cápita, ha conducido a una reducida inversión per cápita, y por tanto a baja demanda laboral. De otro lado, un promedio de tamaño familiar alto (4,6 personas por hogar) mantiene la oferta laboral por encima de los niveles que puede solventar una demanda laboral focalizada en la ocupación y no en el empleo. La baja productividad que ocasionan las desarticulaciones de educación y experiencia laboral con ingresos per cápita incrementan la pobreza reduciendo las posibilidades de educación, y aumentando los riesgos nutricionales lo que deprime aún más la productividad laboral. Los bajos niveles de vida afectan la autoestima y limitan la libertad de los individuos y configura una trampa de la pobreza que se retroalimenta a sí misma como un círculo vicioso de la pobreza en torno a una baja productividad.
BIBLIOGRAFÍA
1. Alburquerque, F. (1997). El proceso de construcción social del territorio para el desarrollo económico local. Instituto Latinoamericano y del Caribe de Planeación Económica y Social, ILPES/CEPAL, 23 p. [ Links ]
2. Bosier, S. (1999). Desarrollo local: ¿De qué estamos hablando? Documento comisionado por la Cámara de Comercio de Manizales, Colombia, 24p. [ Links ]
3. Cameron, A. y Trivedi, P. (2009). Micro econometrics using Stata. 1ª ed., Ed. Stata Corp., 655p. [ Links ]
4. Cohard, J. (2009). Los procesos de desarrollo local desde la perspective europea: génesis y transformación. En: Semestre Económico, Universidad de Medellín, Vol. 12, No. 24 (Edición Especial), pp. 37-55. [ Links ]
5. Chenery, H y Taylor, L. (1968) "Development Patterns: Among countries and Over Time", The Review of Economics and Statistics, Vol:1, Numero 4, pp. 391-416. Citado en Muzhani Marin (2008). [ Links ]
6. CTC - Corporación de Turismo de Cartagena - (2009). Islas del Rosario, la más atractiva. [En línea] Julio 7 de 2009, 3p. Disponible en: <http://www.turismocartagenadeindias.com/es/muestra-noticas.htm?20990541>. [Consultado el 11 de agosto de 2009]. [ Links ]
7. El Universal (2009). Islas del Rosario, entre los 10 destinos más atractivos. [En línea] Diario el Universal, 7 de julio de 2009. Disponible en: <http://www.eluniversal.com.co/cartagena/local/islas-del-rosario-entre-los-10-destinos-mas-atractivos>. [Consultado el 11 de agosto de 2009]. [ Links ]
8. Friedman, J. (1954). Notes on the social conditions of economic progress. En: Ethics, Vol. 64, No. 4, pp. 302-306. [ Links ]
9. Kuznets, S, (1966) Modern Economic Growth: Rate, Structure and Spread, Yale University Press. 529 p. citado en Muzhani Marin (2008). [ Links ]
10. Gujarati, Damodar. (2004) Econometría. 4ª ed., México: Ed. McGraw Hill Interamericana, Cap. 15 y 16, pp. 560-631 [ Links ]
11. Harris J y Todaro M. (1970). Migration, unemployment, and development: a two sector analysis. En: American Economic Review, Vol: 60, pp. 126-142. citado en Muzhani Marin (2008). [ Links ]
12. Helmsing, A. H. J. (2001). Partnerships, mesoinstitutions, and learning: new local and regional economic development initiatives in Latin America. [En línea] Institute of Social Studies, The Hague, The Netherlands. Disponible en: <http://www.ucl.ac.uk/dpu-projects/drivers_urb_change/urb_economy/pdf_glob_SAP/ISS_Helmsing.pdf>, [Consultado el 11 de agosto de 2009]. [ Links ]
13. ILPES (2001). El uso de indicadores socioeconómicos en la formulación y evaluación de proyectos sociales, aplicación metodológica. Manual 15, 109 p. [ Links ]
14. Lewis, W. A. (1955), The theory of economic growth. London: Allen and Unwin. 453p. citado en Muzhani Marin (2008). [ Links ]
15. Meier, G. (2002). La vieja generación de economistas del desarrollo y la nueva en: fronteras de la economía del desarrollo. Editado por Stiglitz, J. y Meier, G. 1ª ed., Banco Mundial y Ed. Alfaomega, capítulo 2, 38p. [ Links ]
16. Myrdal, G. (1957), Economic theory and underdeveloped regions. London: Gerald Duckworth &Co. 167p. citado en Muzhani Marin (2008). [ Links ]
17. Muzhani Marin (2008). The convergence between poor and rich countries: The early development theories. Conferencia presentada en: 35th Annual Meeting of the History of Economics Society, Toronto, Canada. [ Links ]
18. Nurske, R. (1953). Problems of capital-formation in underdeveloped countries. New York: Oxford University Press. 226p. Citado en Muzhani Marin (2008). [ Links ]
19. Prieto, W. (2008). Desarrollo local en las Islas del Rosario. En: Revista Panorama Económico, No 15, Facultad de Ciencias Económicas, Universidad de Cartagena, pp. 1-60. [ Links ]
20. Prieto, W. (2010). Desarrollo local en Isla Grande: un modelo probabilístico para la pobreza. En: Semestre Económico, Universidad de Medellín, Vol. 13, No 26, pp. 11-31. [ Links ]
21. Reyes, G. (2002). Principales teorías sobre desarrollo económico y social y su aplicación en América Latina y el Caribe. [En línea] Disponible en: <http://www.zonaeconomica.com/files/teorias-desarrollo.pdf>. [Consultado el 25 de noviembre de 2010]. [ Links ]
22. Rostow, W.W. (1960). The stages of economic growth: a non communist manifesto, New York: Cambridge University Press. 271 p., citado en Muzhani Marin (2008). [ Links ]
23. Todaro, M. (1977). Economía para un mundo en desarrollo, Introducción a los principios y políticas para el desarrollo. 1ª ed., Mexico: Fondo de Cultura Económica. Capítulo VI, pp. 153-172. [ Links ]
24. Vázquez Barquero, A. (2005). El desarrollo urbano de las regiones periféricas de la nueva Europa. El caso de la ciudad de Vigo en Galicia. En: Ciudad y Territorio Estudios Territoriales, Vol. 27, No 143, pp. 43-59. [ Links ]
25. Wooldrige, Jeffrey (2006). Introducción a la econometría. Un enfoque moderno. 2ª ed., Madrid: Ed. Thomson. Cap. 7. pp. 243-277, y Cap. 17, pp. 619-663. [ Links ]
Recibido: marzo 02 de 2010 Aceptado: enero 20 de 2011
* El presente artículo de investigación es producto del proyecto de investigación "Pobreza y desarrollo en Isla Grande" desarrollado de agosto a diciembre de 2010 en la línea de investigación en Política Económica de la Facultad de Economía de la Universidad Católica de Colombia. Las opiniones y conclusiones del estudio son responsabilidad del autor.
1 Elaborado por el Programa de las Naciones Unidas para el Desarrollo (PNUD). La metodología de cálculo de estos indicadores se presenta en ILPES (2001, p. 87). Prieto (2010) presenta una estimación del Índice de desarrollo humano y de pobreza para Isla Grande.
2 La matriz de información puede tener más de un regresor en cuyo caso existirán un vector de parámetros β a estimar.
3 Por ejemplo, el cambio en las variables de educación puede estar asociado a factores no observados de composiciones raciales, geográficas y culturales.
4 En el documento se ajustan dos modelos de datos en panel, uno lineal para la variable dependiente continua logaritmo del ingreso per cápita, y uno no lineal para la variable dicotómica presencia del evento pobreza, definida como la insuficiencia de ingresos para alcanzar un umbral mínimo de ingresos.
5 Supuestos adicionales en el modelo de EF es que cada variable explicativa cambia en el tiempo y no hay multicolinealidad perfecta entre las variables independientes. Lo anterior aunado al supuesto de exogeneidad estricta, E(uit|ait,Xit) = 0, garantiza que el estimador de efectos fijos es consistente para T fijo cuando n → ∞. Para avalar un estimador lineal insesgado se requiere
para todo t = 1,...T, y
, lo que implica homocedasticidad e incorrelacion de los términos de error idiosincrásicos.
6 Las suposiciones adicionales en el modelo EA son:
Lo anterior tiene tres implicaciones: 1. Los componentes de error individuales no están correlacionados. 2. Los componentes del error no están auto correlacionados ni en la serie de tiempo ni en la serie transversal. 3. El valor esperado de ai condicionado a todas las variables explicativas es constante lo que elimina la posibilidad de que la heterogeneidad no observada esté correlacionada con las variables independientes como ocurre en el modelo EF.
7 Bajo los supuestos establecidos anteriormente para el estimador de efectos fijos es el estimador lineal óptimo, debido a que el estimador de primeras diferencias es lineal e insesgado será siempre menos eficiente que el óptimo. El estimador de primeras diferencias no impone restricciones sobre la auto-correlación del error idiosincrásico por lo que resulta menos eficiente que el estimador de efectos fijos.
8 Cameron y Trivedi (2009, p. 613) discuten la estimación del modelo de efectos fijos cuando la variable dependiente es dicotómica, como es el caso de la pobreza. De igual forma que en el caso lineal, la estrategia de estimación consiste en eliminar ai de las ecuaciones a estimar.
9 Gujarati (2004, p. 627) discute las razone técnicas por las cuales cuando n es grande y T pequeño las estimaciones del modelo de efectos fijos son preferibles a las estimaciones del modelo de efectos aleatorios. Cameron y Trivedi (2009, p. 259) argumentan que los efectos son fijos y se dispone de la información concerniente a los mismos individuos en dos periodos de tiempo entonces los estimadores del modelo de efectos aleatorios son inconsistentes, y el estimador de efectos fijos es el mejor estimador lineal insesgado. Wooldridge (2006, p. 489) argumenta que la principal razón para utilizar datos en panel es permitir corregir por sesgo de heterogeneidad las estimaciones de MCO que es lo que se plantea en el modelo de efectos fijos.
10 Los documentos concernientes al análisis univariado e inferencial están disponibles bajo solicitud.
11 Disponible para consulta bajo solicitud al autor.
12 Disponible para consulta bajo solicitud al autor.






















