SciELO - Scientific Electronic Library Online

 
 número114Cuando los think tanks entran en campaña: el caso de ChileLa política de las bases militares en América del Sur índice de autoresíndice de materiabúsqueda de artículos
Home Pagelista alfabética de revistas  

Servicios Personalizados

Revista

Articulo

Indicadores

Links relacionados

  • En proceso de indezaciónCitado por Google
  • No hay articulos similaresSimilares en SciELO
  • En proceso de indezaciónSimilares en Google

Compartir


Colombia Internacional

versión impresa ISSN 0121-5612

colomb.int.  no.114 Bogotá abr./jun. 2023  Epub 04-Mayo-2023

https://doi.org/10.7440/colombiaint114.2023.06 

Tema libre

Nodos, centralidad y éxito legislativo en México : redes políticas en la Cámara de Diputados

Nodes, centrality, and legislative success in Mexico: political networks in the Chamber of Deputies

Nós, centralidade e sucesso legislativo no México: redes políticas na Câmara de Deputados

Diego Solís Delgadillo* 

Josafat Cortez Salinas** 

*es doctor en Ciencias Sociales con mención en Ciencia Política (Flacso México) y maestro en Asuntos Políticos y Políticas Públicas (El Colegio de San Luis A. C.). Investigador posdoctoral en El Colegio de San Luis A. C. y tutor de la Maestría en Políticas Públicas Comparadas de la Flacso México. Sus investigaciones se centran en el estudio del Poder Legislativo, los grupos de interés y la representación política. Últimas publicaciones: “¿Dónde surgen los independientes? Sesgo de participación en las elecciones mexicanas” (en coautoría), Perfiles Latinoamericanos 30 (60): 1-27, 2022 https://doi.org/10.18504/pl3060-008-2022“ En búsqueda de un equilibrio elusivo: un análisis comparativo de la elección social y la elección pública)” (en coautoría), Espiral. Estudios sobre Estado y Sociedad 28 (82): 41-74, 2021, http://www.espiral.cucsh.udg.mx/index.php/EEES/article/view/7217 diego.solis@colsan.edu.mx https://orcid.org/0000-0001-8788-1434

** es doctor en Ciencias Sociales con mención en Ciencia Política (Flacso México), maestro en Derecho de la UNAM y en Estudios Latinoamericanos por la Universidad de Salamanca (España). Profesor de tiempo completo en la Facultad de Ciencias Políticas y Sociales de la UNAM y miembro del Sistema Nacional de Investigadores. Sus líneas de investigación son Poder Judicial y conducta judicial, culturas legales, Poder Legislativo e instituciones políticas. Últimas publicaciones: “El diálogo jurisprudencial entre cortes constitucionales: el caso de México”, Cuestiones Constitucionales 44: 115-132, 2022, https://doi.org/10.22201/iij.24484881e.2021.44.16160; “La sentencia es de quien la trabaja: estructura organizacional y justicia constitucional en México (1996-2005)”, Perfiles Latinoamericanos 29 (58): 1-29, 2021, https://dx.doi.org/10.18504/pl2958-002-2021 josafatcortez@politicas.unam.mx https://orcid.org/0000-0001-6754-5177


RESUMEN

Objetivo:

Este estudio examina la influencia de las medidas de centralidad de los diputados en la probabilidad de éxito de las iniciativas de ley en la LXIII Legislatura de la Cámara de Diputados en México (2015-2018).

Metodología:

Al analizar los copatrocinios y suscripciones de las iniciativas legislativas, construimos una red y estimamos diferentes medidas de centralidad. Posteriormente, utilizamos modelos de regresión logística para evaluar el efecto de estas variables sobre la probabilidad de aprobación de la iniciativa.

Conclusiones:

Nuestros hallazgos sugieren que los legisladores con un alto número de conexiones, medido por grado-salidas, son más propensos a ver aprobadas sus iniciativas. Esto se debe a las relaciones recíprocas que surgen de apoyar los proyectos de otros legisladores.

Originalidad:

Nuestros resultados, obtenidos a partir de 5.275 observaciones, ofrecen nuevas perspectivas sobre la influencia de las conexiones del legislador y el éxito de sus iniciativas, y añaden a la comprensión existente del Poder Legislativo mexicano.

PALABRAS CLAVE: redes legislativas; centralidad; grado; éxito legislativo; copatrocinio

ABSTRACT

Objective/context:

This study examines the influence of the centrality measures of deputies on the probability of success of legislative initiatives in the LXIII Legislature of the Chamber of Deputies in Mexico (2015-2018).

Methodology:

By analyzing the co-sponsorships and subscriptions of legislative initiatives, we constructed a network and estimated different centrality measures. Subsequently, we used logistic regression models to evaluate the effect of these variables on the probability of initiative approval.

Conclusions:

Our findings suggest that legislators with a high number of connections, as measured by degree-outputs, are more likely to see their initiatives approved, which is due to reciprocal relationships that arise from supporting other legislators’ bills.

Originality:

Our results-obtained from 5,275 observations-offer new insights into the influence of legislators’ connections and the success of their initiatives while broadening the existing understanding of the Mexican Legislative Branch.

KEYWORDS: centrality; co-sponsorship; degree; legislative networks; legislative success

RESUMO

Objetivo:

Neste estudo, é examinada a influência das medidas de centralidade dos deputados na probabilidade de sucesso das iniciativas de lei na LXIII Legislatura da Câmara de Deputados no México (2015-2018).

Metodologia:

Ao analisarmos os copatrocínios e vinculações das iniciativas legislativas, construímos uma rede e estimamos diferentes medidas de centralidade. Posteriormente, utilizamos modelos de regressão logística para avaliar o efeito dessas variáveis sobre a probabilidade de aprovação da iniciativa.

Conclusões:

Nossos achados sugerem que os legisladores com alto número de conexões, medido por graus-saídas, sejam mais propensos a ver suas iniciativas aprovadas. Isso se deve às relações recíprocas que surgem de apoiar os projetos de outros legisladores.

Originalidade:

Nossos resultados, obtidos a partir de 5.275 observações, oferecem novas perspectivas sobre a influência das conexões do legislador e o sucesso de suas iniciativas e contribuem para a compreensão existente do Poder Legislativo mexicano.

PALAVRAS-CHAVE: redes legislativas; centralidade; grau; sucesso legislativo; copatrocínio

Introducción

El número de iniciativas individuales en el Congreso mexicano aumentó considerablemente desde la transición a la democracia. Bárcena (2017) encuentra que mientras en el periodo 1994-2006 solamente el 10 % de los proyectos fueron impulsados individualmente en la Cámara de Diputados, esta cifra alcanzó el 75 % para el periodo 2003-2015. En las últimas cuatro legislaturas el número de propuestas individuales pasó de 2.398 a 5.479, con un notable incremento en la LXIII Legislatura (2015-2018).

El crecimiento en la productividad legislativa contrasta con el éxito de las iniciativas; entre 2006 y 2018 fueron aprobadas solamente 900 propuestas individuales de las 14.359 presentadas. En promedio, solo el 6,7 % de los proyectos se convirtieron en ley. El número de iniciativas individuales dictaminadas también es bajo; solamente el 19,6 % tuvo un dictamen. Esto quiere decir que la mayoría de las propuestas mueren simplemente al ser ignoradas. En suma, a pesar del incremento de iniciativas, la relación entre proyectos presentados y aprobados es muy baja.

Fuente: elaboración propia.

Gráfico 1. Iniciativas individuales aprobadas y no aprobadas (legislaturas LX-LXIII) 

En el periodo 2006-2018, la media de iniciativas por persona fue de 7,7, mientras el número de propuestas aprobadas fue de 0,49. Sin embargo, los proyectos aprobados se concentraron en un pequeño grupo; de los 1.847 diputados y diputadas que introdujeron iniciativas, solamente 552 tuvieron éxito. Es decir, cerca del 70 % no lograron que sus proyectos fueran aprobados.

Los datos apuntan a que el éxito legislativo es un fenómeno atípico y que pocos miembros del Congreso logran sacar adelante proyectos de ley. Esto conduce a las siguientes preguntas: ¿qué explica el éxito legislativo?, ¿por qué algunas iniciativas son aprobadas mientras que otras fracasan? La hipótesis que planteamos es que la red de conexiones de un diputado y el lugar que ocupa en una comunidad legislativa afectan su éxito legislativo. Este artículo propone analizar las interacciones entre los legisladores mexicanos con la finalidad de mapear los nodos y comunidades existentes en el Congreso. El argumento es que los diputados con mayor centralidad en las redes políticas son más exitosos al momento de impulsar iniciativas de ley. Asumimos que los legisladores no operan en lo individual, sino que interactúan entre sí. Las actividades legislativas son procesos sociales que requieren de colaboración para la formación de coaliciones, por lo que es relevante conocer las interacciones existentes entre los legisladores.

Este trabajo sostiene que no basta con conocer las características biográficas de los legisladores, sino que es necesario explorar el impacto de las conexiones, amistades e interacciones de los diputados dentro del Congreso. Un actor con mayor centralidad en la red legislativa se encuentra en una mejor posición para formar coaliciones, para transmitir información y sumar voluntades a su proyecto. Los legisladores cuentan con relaciones tanto endógenas como exógenas. Las primeras son producto de la organización legislativa y las interacciones dentro del Congreso. Por ejemplo, la organización en comisiones hace que los diputados tengan vínculos más cercanos con sus compañeros de comités. Las interacciones del día a día también conllevan la construcción de redes de contactos.

Las redes exógenas se refieren a relaciones preexistentes, como la pertenencia común a organizaciones no partidistas como escuelas o cámaras empresariales. Los congresistas comparten membresías previas en las que pudieron haber forjado lazos con otros diputados. Este estudio busca analizar cómo las redes de contactos endógenas afectan el comportamiento de los legisladores mexicanos para contribuir a los estudios legislativos en dos sentidos: mapea las redes de contactos de los legisladores mexicanos y explora el efecto de diversas medidas de centralidad sobre el éxito legislativo. Para ello construimos dos bases de datos; la primera contiene información sobre copatrocinios y suscripciones de todos los proyectos de ley presentados en la LXIII Legislatura (2015-2018), que nos permitió calcular las medidas de centralidad para cada diputado. La segunda es una base compuesta por 5.275 proyectos de ley individuales presentados en el periodo 2015-2018 que contiene información sobre el resultado legislativo, las medidas de centralidad y características biográficas de los diputados.

En el análisis descriptivo encontramos que el Partido Verde Ecologista de México (PVEM), Movimiento Ciudadano (MC) y el Partido Encuentro Social (PES) presentan, de manera agregada, los niveles más altos en diversas medidas de centralidad: grado, grado-entradas, grado-salidas. También establecimos que los coordinadores de bancada de los partidos muestran altos niveles de intermediación y cercanía; la mayoría de ellos presentan indicadores por encima del cuarto rango intercuartílico de sus respectivos partidos, lo que indica que son importantes para conectar a la Cámara de Diputados. Los hallazgos de este estudio sugieren que las iniciativas de ley presentadas por legisladores con altos niveles de grado-salidas tienen mayores probabilidades de ser aprobadas en la Cámara de Diputados y de convertirse en ley.

1. Productividad legislativa

La literatura ha ofrecido diversas explicaciones sobre el éxito legislativo, centrada en dos temas: la productividad de los legisladores y el éxito individual de las iniciativas. Los trabajos sobre productividad tienden a centrarse en la proporción de las iniciativas que son aprobadas con respecto al total de proyectos propuestos por cada legislador o en el conteo de iniciativas que logran avanzar en el Congreso. Los factores explicativos suelen ser variables biográficas del congresista.

En estas investigaciones se ha encontrado que los cargos que ocupan los legisladores afectan su productividad; en particular, el ocupar posiciones de jerarquía dentro del sistema de comisiones conlleva una ventaja por los recursos y el control de la agenda con el que cuentan estos representantes (Anderson, Box-Steffensmeier y Sinclair-Chapman 2003; Cox y Terry 2008; Frantzich 1979; Padró I Miquel y Snyder 2006). También hay evidencia de que los legisladores que pertenecen al partido mayoritario tienden a ser más efectivos por el control de los órganos directivos del Congreso y por su capacidad de sentar la agenda (Cox y McCubbins 1993; Cox y Terry 2008; Frantzich 1979).

Otra variable que ha tenido sustento empírico es la experiencia legislativa. Los estudios apuntan a que los representantes con más años de servicio tienden a ser más efectivos. Esto se atribuye a que, con el tiempo, los legisladores van adquiriendo mayor capital humano y mayor dominio sobre el proceso legislativo (Cox y Terry 2008; Frantzich 1979; Moore y Thomas, 1991; Padró I Miquel y Snyder 2006). Asimismo, se ha señalado un efecto positivo de la moderación política. En este sentido, los legisladores con menor distancia con respecto al legislador mediano tienden a ser más eficaces (Cox y Terry 2008; Frantzich 1979).

En el caso mexicano diversos autores han analizado la productividad de los legisladores para identificar factores que conducen a que un diputado introduzca un mayor número de iniciativas de ley: factores biográficos de los congresistas, variables institucionales y partidistas. Dentro de las variables biográficas, la evidencia empírica encuentra que el género, la experiencia legislativa y el grado de estudios de los miembros del Congreso afectan su productividad (Bárcena 2017; Béjar 2012; Kerevel y Bárcena 2017).

La literatura también ha considerado variables institucionales y partidistas como las posiciones que ocupan los legisladores en comités. Por ejemplo, los cargos que tienen los diputados dentro del sistema de comisiones afectan su productividad legislativa (Bárcena 2017). Por su parte, Béjar (2012) demuestra que los proyectos de ley individuales son exitosos cuando se convierten en iniciativas de partido.

Una segunda vertiente de trabajos analiza el éxito de las iniciativas individuales, es decir, el éxito o fracaso de cada proyecto de ley, y se ha establecido que la pertenencia al partido mayoritario está asociada a un mayor éxito (Alemán y Calvo 2008). Las iniciativas propuestas por legisladores en posiciones de liderazgo tienen mayores probabilidades de éxito (Alemán y Calvo 2008; Calvo 2014). La evidencia empírica también muestra que aquellas con más copatrocinios tienen mayores posibilidades de aprobación (Alemán y Calvo 2008; Calvo 2014; Dockendorff 2020).

El contexto de las iniciativas también ha sido tenido en cuenta como variable explicativa y se sugiere que cuentan con menores posibilidades de convertirse en ley cuando son propuestas en periodo electoral (Alemán y Calvo 2008). Además se han contemplado las estrategias desplegadas por los legisladores. Por ejemplo, Skigin (2019), al analizar los casos de Argentina y Uruguay, comprueba cómo la conformación de lazos débiles, es decir, de relaciones de cooperación esporádicas con miembros de partidos de oposición, en particular con legisladores altamente conectados, está asociada con un mayor éxito legislativo.

Finalmente, se ha estudiado el efecto del sexo del legislador sobre el éxito de las iniciativas. Esta hipótesis plantea que existe inequidad en el tratamiento de las propuestas por las mujeres, lo que llevaría a menores probabilidades de aprobación. Sin embargo, no encuentra relación entre el sexo del representante y el resultado legislativo (Alemán y Calvo 2008; Bratton y Haynie 1999; Jeydel y Taylor 2003; Senk 2020). Aunque, como muestra Senk (2020) para el caso de Argentina, las mujeres tienen menor acceso a posiciones de liderazgo, lo que a su vez afectaría indirectamente su éxito legislativo.

a. Redes y desempeño legislativo

Una explicación alternativa sobre el desempeño legislativo es la posición que ocupan los legisladores en las redes legislativas. Un primer bloque de investigaciones está enfocado en las causas detrás de la formación de lazos en el Congreso. Caldeira y Patterson (1987, 1988) exploraron las variables que contribuyen a la formación de amistades entre los miembros del Congreso: la afiliación partidista, la proximidad espacial y la participación en los mismos comités, los antecedentes sociales, las actitudes políticas y la jerarquía del legislador. En el caso de Chile y Argentina, Alemán y Calvo (2013) encuentran que los lazos partidistas, los vínculos territoriales y las relaciones desarrolladas en los comités legislativos afectan la conformación de lazos entre los diputados.

Un segundo grupo de trabajos analizó las consecuencias de las redes sobre las votaciones de los legisladores y utilizó el copatrocinio como indicador de estos vínculos (Fowler 2006a, 2006b) para identificar a los congresistas que se suman a otras iniciativas y perciben como influyentes a los legisladores con altos indicadores en medidas de centralidad en la red (Fowler 2006b). Los miembros con más copatrocinios tienen mayor capacidad de sacar adelante enmiendas y de sumar apoyos a sus proyectos (Fowler 2006a). También se ha encontrado evidencia del efecto de las redes sobre la productividad legislativa. Cho y Fowler (2010) ofrecen evidencia de que, a mayor interconectividad en la forma de copatrocinios, las legislaturas tienden a ser más productivas. A nivel individual, Alemán y Clerici (2022) encuentran una relación positiva entre la centralidad de los nodos y su poder de intermediación sobre la productividad legislativa para el caso argentino.

Algunos autores han identificado distintos tipos de redes y han evaluado su impacto sobre el éxito legislativo. Una primera distinción es propuesta por Kirkland (2011), quien distingue entre lazos fuertes y débiles. El argumento es que los lazos más fuertes, como la amistad, son poco informativos, mientras que los lazos débiles, como los que se establecen con conocidos, generan nueva información. Estos últimos son forjados de forma estratégica para ampliar la base de apoyo e impactan positivamente sobre el éxito legislativo.

Los copatrocinios no han sido el único indicador de redes utilizado como variable explicativa de las votaciones en el Congreso. Igualmente se han considerado las características de los congresistas, como su identidad racial y étnica, la proximidad geográfica, las amistades, la membresía a comités, los antecedentes escolares o los contribuyentes a campañas que son compartidos por los legisladores (Arnold, Deen y Patterson 2000; Bratton y Rouse 2011; Cohen y Malloy 2014; Desmarais et al. 2015; Peoples 2010; Porter et al. 2007).

Características de los legisladores como la identidad racial y étnica son buenos predictores del comportamiento legislativo (Bratton y Rouse 2011); y las redes externas que preceden a su experiencia en el Congreso afectan también la manera en que estos votan. Por ejemplo, Cohen y Malloy (2014) muestran que los representantes que asisten a las mismas escuelas tienden a votar en el mismo sentido. Asimismo, Fischer et al. (2019) encuentran que los representantes con vínculos a grupos de interés suelen copatrocinar las iniciativas de legisladores que comparten lazos con los mismos grupos.

Otros estudios han analizado las conexiones internas del Congreso, es decir, los vínculos forjados durante el cargo, y entienden la participación en comités como un indicador de redes. El supuesto es que, al relacionarse en comités, estos actores desarrollan lazos de amistad que afectan posteriormente su comportamiento. Al respecto, Arnold, Deen y Patterson (2000) exploran los patrones de votación de legisladores que se desempeñaron al mismo tiempo como líderes de partido o de comités y se muestra que este tipo de legisladores son más propensos a votar de la misma manera. Los resultados de Porter et al. (2007) sugieren que los miembros de comités tienen comportamientos similares. En la misma línea, Desmarais et al. (2015) analizan la participación conjunta en ruedas de prensa en el Senado estadounidense y apuntan que los senadores que promueven conjuntamente iniciativas de ley suelen votar en el mismo sentido en otros temas. Un indicador adicional es propuesto por Craig (2017)que, a partir de cartas entre representantes, encuentra que los congresistas con mayores interacciones son más efectivos.

Los trabajos de redes también señalan que la proximidad física de los congresistas afecta la manera en que estos votan (Masket 2008). De manera similar, Peoples (2008) indica que la cercanía espacial y la similitud en la duración en el cargo afectan la manera en que votan las díadas de legisladores. Por su parte, Bratton y Rouse (2011) demuestran que la proximidad de los distritos es un factor explicativo de copatrocinios. Un último indicador de redes explora el efecto de las contribuciones a campañas electorales sobre las votaciones legislativas, es decir, que los diputados que comparten contribuyentes votan en el mismo sentido (Peoples 2010).

En suma, la literatura ha considerado una multiplicidad de experiencias y afiliaciones como indicadores de redes: la raza, el nivel de estudios, la proximidad, la participación en comités, la colaboración en ruedas de prensa, la correspondencia entre legisladores y los donadores en común. Pero las investigaciones se concentran en Estados Unidos. Para el caso latinoamericano, existen pocos trabajos sobre la formación de redes legislativas (Alemán y Calvo 2013) y el impacto de las medidas de centralidad sobre la productividad legislativa (Alemán y Clerici 2022). En este sentido, nuestro artículo cubre un caso no estudiado; toma como nivel de análisis las iniciativas y contribuye a los estudios legislativos en México al mapear las redes legislativas y ponderar el efecto de las medidas de centralidad de estas redes sobre el éxito de las propuestas legislativas. En este sentido, sostenemos que, además de las características individuales de quien plantea las iniciativas, que han sido trabajadas en estudios previos (Bárcena 2017; Kerevel y Bárcena 2017), y de las particularidades de estas, existen otras variables relacionales que pudieran explicar su éxito: las amistades y afiliaciones que comparten con otros legisladores y el lugar que ocupan en ellas.

2. Medidas de centralidad y éxito legislativo

En este trabajo sostenemos que las conexiones y posiciones de los diputados en una red legislativa inciden sobre el éxito de sus iniciativas. No todos los miembros de una red cuentan con la misma prominencia; algunos nodos son más importantes que otros, ya sea por el número de contactos que tienen o por su ubicación en la red. La centralidad se refiere a las propiedades y posiciones de los nodos en una red. Linton Freeman (1979) identifica tres medidas de centralidad en la red: el grado (degree), la intermediación (betweenness) y la cercanía (closeness).

En primer lugar, planteamos que los diputados altamente conectados se encuentran en mejor posición para promover sus iniciativas. Lo anterior debido a que, para lograr la aprobación de un proyecto, se requiere formar alianzas dentro del Legislativo. Un actor focal con un alto número de contactos es una ventaja para promover iniciativas de ley. La medida de centralidad que mide el número de conexiones de un nodo es el grado (degree).

El grado se refiere al número de nodos adyacentes a un vértice. En el caso del Poder Legislativo, indicaría el número de relaciones directas que existen entre un legislador y otros miembros del Congreso. Gráficamente, el grado se calcula contando el número de nodos adyacentes al vértice de interés. Por ejemplo, en el gráfico 2, el vértice A cuenta con un grado de 5, ya que se encuentra directamente conectado con los nodos B, C, D, E y F.

Fuente: elaboración propia.

Gráfico 2. Ejemplo de grado 

Los legisladores con altas medidas de grado son centrales en una red como transmisores de información porque son un punto focal de comunicación con respecto a los nodos con los que están relacionados (Freeman 1979). En este sentido, esperamos que los legisladores con un alto número de conexiones tengan mayor influencia sobre la toma de decisiones. Entre mayor sea el número de contactos directos del legislador, este tendrá más posibilidades de obtener un amplio apoyo para sus iniciativas de ley. De lo anterior se deduce nuestra primera hipótesis:

H1a. Las iniciativas presentadas por diputados con mayor número de contactos en una red (grado) son más exitosas.

Las redes facilitan la transmisión de información entre legisladores. Esto se debe a que los lazos de confianza son transitivos a través de una red: B confía en A, C confía en B y, en consecuencia, C confía en A. Aunque C no cuente con contactos previos con A, puede confiar en este actor debido a la confianza que B tiene hacia él. En otras palabras, una red permite la diseminación de información y la formación de coaliciones en el Congreso y contribuye a la eficiencia y eficacia de las legislaturas (Caldeira y Patterson 1988; Fiellin 1962).

Ahora bien, el grado puede ser medido de diferentes formas, dependiendo de si la red es dirigida o no. Es decir, si consideramos la dirección de las relaciones estamos frente a una red dirigida; en cambio, si mapeamos las relaciones sin especificar la dirección de las relaciones, se trata de una red no dirigida. Al crear redes dirigidas podemos distinguir entre las entradas y salidas del nodo. Por ejemplo, es posible diferenciar entre los apoyos que recibe un legislador y el respaldo que este ofrece a otros representantes. Cuando medimos las entradas al nodo nos referimos a esta medida como grado-entradas (in degree) (Freeman 1979).

Por ejemplo, en el gráfico 3 las flechas indican la dirección de las relaciones entre los nodos que conforman la red. En este caso, se observa cómo el vértice A cuenta con una medida de grado de 5, que son todos los nodos adyacentes. Pero, de dichos nodos, solamente dos están dirigidos hacia A: los nodos D y C. Esta última es su medida de grado-entradas, que en nuestro estudio representan el número de legisladores que suscriben las iniciativas de un diputado.

Fuente: elaboración propia.

Gráfico 3. Ejemplo de red dirigida 

En este sentido, sugerimos que la dirección de estas relaciones incide sobre el éxito legislativo. Los legisladores toman múltiples decisiones sobre temas de los que carecen de información y por tanto dependen de otros actores para conocer al respecto (Austen-Smith 1993; Grossman y Helpman 2001; Krehbiel 1991). Como indican Matthews y Stimson (1975), los representantes toman señales de los compañeros confiables con los que han interactuado en el pasado. Un diputado que recibe el apoyo de un alto número de legisladores en sus iniciativas puede ser interpretado como un actor confiable. La identidad del promotor de la iniciativa señalizaría la calidad de la iniciativa.

En nuestro estudio, estas señales son proporcionadas por el número de legisladores que suscriben las iniciativas de un diputado. Esperamos que legisladores que suman un alto número de apoyos legislativos obtengan mejores resultados al presentar iniciativas de ley, debido a que son actores altamente confiables. De lo anterior se deduce la siguiente hipótesis:

H1b. Las iniciativas presentadas por diputados que suman mayores apoyos a sus proyectos de ley (grado-entrada) son más exitosas.

En tercer lugar, suponemos que quienes apoyan a un mayor número de legisladores en sus iniciativas de ley generan relaciones de reciprocidad que inciden positivamente al momento de forjar alianzas en favor de sus proyectos de ley. Asumimos que existen interacciones que siguen la estrategia tit for tat, en la que los actores involucrados responden positivamente a comportamientos cooperativos (Axelrod 1984). Por tanto, la cooperación con otros diputados es correspondida en el momento en que estos legisladores introducen iniciativas de ley.

Este tipo de relaciones son medidas con la centralidad grado-salidas. En el gráfico 3, la relación de A con B, E y F indica salidas. En nuestro estudio utilizamos como indicador de grado-salidas la suscripción a las iniciativas presentadas por otros representantes. Esta medida es relevante porque estos respaldos pueden generar relaciones de reciprocidad. Los legisladores cuyas iniciativas han sido suscritas por un legislador pueden ser más propensos a apoyar sus iniciativas de ley. A partir de esta idea, planteamos la siguiente hipótesis:

H1c. Las iniciativas presentadas por diputados que suscriben los proyectos de más diputados (grado-salidas) son más exitosas.

Las medidas de grado pueden ser criticadas porque solamente toman en cuenta los lazos inmediatos de un actor. Pero es posible que un diputado sea indispensable como transmisor de información. Ronald Burt (1992) identificó el concepto de agujeros estructurales (structural holes) que se refiere a relaciones ausentes entre actores que evitan el intercambio. Por ejemplo, si los legisladores A y B no tienen conexiones directas existe un agujero estructural. Ahora, si en medio de ellos hay otro actor, C, este tiene una ventaja sobre ambos actores porque no puede ser excluido en una interacción entre ellos. Este representante tiene la posibilidad de actuar como intermediario entre ambos, lo que le otorga influencia en la red.

El grado de intermediación (betweenness) de un nodo es un indicador de poder relativo. En el gráfico 4, obsérvese cómo el vértice F es necesario para la conexión de la red. Este nodo es indispensable para el vínculo entre los nodos G, H, I y A, B, C, D, E. Entre más actores dependan de un nodo para conectarse entre sí, este actor será más poderoso (Freeman 1977; Kadushin 2012). No solamente es imprescindible para la conexión de la red, sino que tiene la capacidad de filtrar o detener la transmisión de información porque está estratégicamente ubicado en los canales de comunicación (Borgatti, Everett y Johnson 2018; Freeman 1979).

Fuente: elaboración propia.

Gráfico 4. Ejemplo de intermediación 

No obstante, los miembros de una red pueden conectarse por más de un camino. El grado de intermediación permite medir el porcentaje que ocupa un actor con respecto a todos los posibles caminos entre los miembros de la red. Por ello, es esperable que los legisladores que tienen un alto grado de intermediación sean más exitosos en el proceso legislativo.

H2. Las iniciativas presentadas por diputados con mayor grado de intermediación en una red legislativa son más exitosas.

Otra forma de medir la centralidad es con la cercanía (closeness). De acuerdo con Freeman (1979), esta es una medida de independencia. El indicador mide el promedio de distancias más cortas que existen entre un vértice y el resto de los nodos. Entre menos pasos existen entre el nodo y el resto de los miembros de la red, este es menos vulnerable al control de otros debido a que no depende de intermediarios. Por tanto, un legislador con altos niveles de cercanía tiene mayores posibilidades de alcanzar, en pocos pasos, a los demás miembros del Congreso y de esta manera contar con una posición privilegiada para forjar alianzas. En el gráfico 5, el vértice B se encuentra a tres pasos de los nodos F y G, a dos pasos de E y a uno de A, C y D. El promedio de estas distancias es su medida de cercanía.

Fuente: elaboración propia.

Gráfico 5. Ejemplo de cercanía 

Altos indicadores de cercanía implican que el nodo es más central, mientras que bajos niveles de cercanía indican que el nodo es periférico en la red. De este último punto se deduce la siguiente hipótesis:

H3. Las iniciativas presentadas por diputados con altos indicadores de cercanía en una red legislativa son más exitosas.

Finalmente, en línea con los trabajos de Fowler (2006a) y Alemán y Clerici (2022), consideramos la centralidad del valor propio (eigenvector) (Bonacich 1972). Esta medida de centralidad sostiene que la influencia de un miembro de la red está en función de la conectividad de los individuos con los que está relacionado. Así pues, más que el número de conexiones que mantiene un legislador, importaría la influencia de los nodos con los que se encuentra relacionado. La medida consiste en contar el número de nodos adyacentes, pero ponderando por la centralidad de los nodos. Un legislador relacionado con otro diputado altamente conectado puede estar en ventaja al momento de presentar iniciativas de ley. De lo anterior se deduce la siguiente hipótesis.

H4. Las iniciativas presentadas por diputados con altos niveles de valor propio (eigen vector) serán más exitosas.

3. Datos y método

El estudio de redes legislativas tiene varias ventajas. En primer lugar, la población de legisladores está claramente definida y es posible advertir a priori una serie de subredes dentro del Congreso. Por ejemplo, se conocen la bancada a la que pertenece el representante, las comisiones en las que participa, los copatrocinios de iniciativas y los antecedentes comunes de los diputados. Con la finalidad de poner a prueba las hipótesis previamente planteadas, se utiliza una base de datos compuesta por los 5.275 proyectos de ley individuales presentados en el periodo 2015-2018. Esta base excluye propuestas poco controversiales como el establecimiento de días festivos.

La variable dependiente para este análisis tiene dos medidas: la primera es una variable indicadora que toma el valor de 1 cuando la iniciativa tuvo un dictamen aprobatorio en el pleno de la Cámara de Diputados y 0 cuando fue rechazada o no fue puesta a votación. De manera alternativa utilizamos una variable dummy que toma el valor de 1 cuando fue aprobada y publicada en el Diario Oficial de la Federación; esto implica que la iniciativa también fue aprobada por el Senado. Las variables independientes consisten en las medidas de centralidad estimadas a partir de la revisión de los copatrocinios y suscripciones de iniciativas de ley durante el periodo estudiado. Por copatrocinios nos referimos a la coautoría de una iniciativa de ley, mientras las suscripciones son los legisladores que se suman a una iniciativa de ley como cofirmantes.

La hipótesis H1a sostiene que, a mayores indicadores de grado, los diputados son más exitosos al momento de impulsar iniciativas. Para determinar la posición de un legislador en una red utilizamos el copatrocinio y las suscripciones de proyectos de ley: a cuántos diputados respaldó como suscriptor en sus iniciativas de ley y cuántos representantes apoyaron sus propuestas como coautores o suscriptores. Este indicador es extraído del Servicio de Información para la Estadística Parlamentaria (Infopal). Para medir el grado de un nodo se cuenta el total de conexiones (vértices) directas. Por ejemplo, un nodo con 10 conexiones tiene un grado de 10.

Ahora bien, las redes de copatrocinio son direccionadas. Por tanto, podemos distinguir entre las entradas y salidas del nodo. Las primeras son las suscripciones y copatrocinios que recibieron la iniciativa del legislador (H1b) y las segundas son las suscripciones que el legislador hace de las iniciativas de otros representantes (H1c). En ambos casos, estas medidas son el conteo simple de los nodos adyacentes considerando la dirección de las relaciones entre los vértices, es decir, si se trata de apoyo a sus iniciativas o del respaldo del legislador a las propuestas de otro diputado. En suma, hace un conteo de los diputados que apoyaron sus proyectos y del número de representantes a los cuales respaldó durante la legislatura.

La hipótesis 2 sostiene que los miembros del Congreso con un más alto grado de intermediación tienen mayor éxito al presentar iniciativas. El grado de intermediación captura la medida en que un nodo conecta a partes aisladas de una red. Este indicador es calculado de la siguiente manera:

donde bjk es el número de caminos más cortos desde el nodo j hasta el nodo k,y bjik es el número de caminos más cortos entre j y k que pasan por el nodo.

La hipótesis 3 plantea que bajos niveles de cercanía están asociados a mayor éxito de las propuestas legislativas. Esta medida indica el promedio de distancias más cortas entre un nodo y el resto de los legisladores en la red y es estimada con la siguiente fórmula:

donde d (𝑥,) es la distancia más corta entre los vértices 𝑥 y 𝑦.

Finalmente, la hipótesis 4 sostiene que la centralidad del valor propio (eigenvector) está asociada al mayor éxito de las iniciativas presentadas. Esta medida, como ya se mencionó, hace un conteo ponderado de las relaciones del nodo, de manera que los legisladores vinculados con representantes altamente conectados presentan altos valores en este indicador. La centralidad del valor propio se calcula de la siguiente forma:

donde ej es la medida de centralidad del vector propio y λ es una constante proporcional. La ecuación significa que la centralidad de cada nodo es proporcional a la suma de las centralidades de los nodos que son adyacentes a él (Borgatti, Everett y Johnson 2018).

Para poner a prueba las hipótesis se utiliza un modelo de regresión logística con errores robustos agrupados por legislador. Este método es conveniente debido a que la variable dependiente es dicotómica. El modelo permite estimar las diferentes probabilidades de éxito de los legisladores a partir de sus medidas de centralidad: grado, grado-entradas, grado-salidas, intermediación y cercanía.

El modelo incluye distintas variables de control planteadas en la literatura de estudios legislativos. En primer lugar, controla por la identidad partidista del legislador. Esta variable se operacionaliza con una dummy para cada uno de los partidos políticos representados en el Congreso, donde 1 indica pertenencia al partido y 0, no pertenencia.

En segundo lugar, partiendo de la literatura sobre productividad legislativa (Anderson, Box-Steffensmeier y Sinclair-Chapman 2003; Cox y Terry 2008; Frantzich 1979; Padró I Miquel y Snyder 2006), incluye una variable de control que indica si el legislador que propone la iniciativa tiene una posición de jerarquía en la comisión de referencia. Esta variable toma el valor de 1 cuando el diputado fue presidente o secretario de la comisión y 0 en caso contrario.

Asimismo, incluye una variable indicadora que toma el valor de 1 cuando el legislador fue electo por principio de representación proporcional y 0 en caso de haber ingresado a la Cámara por mayoría relativa. México cuenta con un sistema electoral mixto, en el que la Cámara de Diputados está compuesta por 300 diputados de mayoría relativa (MR) y 200 de representación proporcional (RP). Los diputados de MR y RP enfrentan diferentes incentivos, porque los primeros dependen de un electorado geográficamente concentrado, mientras los diputados de RP dependen del desempeño nacional del partido. En consecuencia, Bárcena (2017) espera que los diputados de RP presenten más iniciativas de amplio alcance y que los diputados de RP se concentren en proveer beneficios concentrados por medio de puntos de acuerdo o involucramiento en la repartición del presupuesto. Por otro lado, pudiera pensarse que la cercanía entre los diputados de RP y la dirigencia partidista afectaría tanto su posición en una red como su éxito legislativo. Por ello, controlamos por esta variable.

Además, se consideran características personales del representante que han sido utilizadas en estudios previos. El modelo agrega una variable indicadora que toma el valor de 1 si el diputado cuenta con estudios de nivel superior y 0 en caso de no tenerlos. Esta variable ha sido incluida en investigaciones sobre productividad legislativa en México, al contemplar la posibilidad de que el capital humano de los legisladores incida sobre su desempeño en la Cámara. Por ejemplo, estos legisladores pueden contar con una mayor especialización y con mayores habilidades para comprender el proceso legislativo (Bárcena 2017).

También controla por el sexo del legislador teniendo en cuenta la posibilidad de que existan inequidades en el proceso legislativo; para ello se agrega una variable indicadora que asigna un valor de 1 a los hombres y 0 a las mujeres. Asimismo, siguiendo los estudios que encuentran una relación positiva entre experiencia y efectividad legislativa (Cox y Terry 2008; Frantzich 1979; Moore y Thomas 1991; Padró I Miquel y Snyder 2006), el modelo contempla una variable que toma el valor de 1 cuando el diputado tiene experiencia previa, en el ámbito federal o estatal, o 0 en caso contrario.

En línea con el trabajo de Solís y Cortez (2019) , incluimos una variable dummy que indica si el diputado tiene antecedentes en grupos de presión; para ello analizamos los currículos de cada legislador, los cuales fueron tomados del Sistema de Información Legislativa (SIL) de la Secretaría de Gobernación. Clasificamos a los legisladores como diputados con antecedentes en grupos de interés cuanto reportaron membresías en sindicatos, cámaras empresariales, organizaciones de la sociedad civil, asociaciones campesinas y de profesionistas.

Finalmente, agregamos características propias de la iniciativa de ley y del contexto en que fue propuesta. En primer lugar, partiendo de los trabajos de Alemán y Calvo (2008) y Dockendorff (2020), incluimos el número de copatrocinios y suscripciones por proyecto de ley. Este puede ser un indicador de la calidad de la iniciativa de ley. En segundo lugar, agregamos una variable dummy para los años electorales (Alemán y Calvo 2008). Se puede esperar que, debido a la competencia electoral, disminuya la posibilidad de cooperación entre los partidos políticos y la iniciativa tenga menores posibilidades de éxito.

4. Análisis empírico

Construimos una base de datos con todas las iniciativas de ley introducidas en la Legislatura LXIII. Siguiendo el trabajo de Grossman y Pyle (2013) en su análisis sobre los factores que conducen al éxito legislativo, excluimos iniciativas poco divisivas como propuestas de días festivos o iniciativas para inscribir nombres en el muro de honor del Congreso. Tras eliminar estos proyectos obtuvimos una base de datos con 5.275 observaciones, de las cuales 4.536 fueron propuestas sobre leyes secundarias y 739 correspondieron a reformas constitucionales. La información fue tomada del SIL.

Para construir la red y calcular las medidas de centralidad elaboramos una base de datos diádica con información de todas las iniciativas presentadas. La información de esta base de datos fue extraída de Infopal. Para cada iniciativa revisamos quién o quiénes la presentaron y quiénes suscribieron el proyecto de ley. Los datos de Infopal distinguen entre presentadores y suscriptores; los primeros son los autores del proyecto y los suscriptores son diputados que se suman a la iniciativa. Con esta información creamos una base diádica que indica la relación uno a uno entre los diputados. Finalmente, filtramos por observaciones duplicadas, producto de legisladores que se relacionan en más de una iniciativa, para obtener una base que muestra la relación diádica entre los diputados.

A partir de la base de datos diádica calculamos las medidas de centralidad para la red utilizando el paquete Igraph de R (Csardi y Nepusz 2006) y registramos estos indicadores en la primera base donde aparece el resultado de la iniciativa, los datos biográficos de los iniciadores de ley y las características de cada propuesta. El gráfico 6 muestra las redes de contactos entre los miembros de la Legislatura LXIII. La información que despliega son contactos dirigidos. El tamaño de los nodos está definido por el número de legisladores con los que mantuvieron contacto a través de copatrocinios o suscripciones. En el centro del gráfico puede observarse que existen algunos nodos con alto número de conexiones. A partir de la teoría, esperamos que entre mayor sea el tamaño del nodo mayores sean las probabilidades de éxito de sus iniciativas de ley. Los legisladores en el centro, que presentan altos indicadores de grado, serían más exitosos que los diputados en la periferia de la red. La media del total de conexiones por legislador fue de 43, mientras la media de apoyos recibidos y otorgados por los diputados fue de 21,9 y 20,6 respectivamente.

Fuente: elaboración propia.

Gráfico 6. Red de copatrocinios y suscripciones en la Legislatura LXIII 

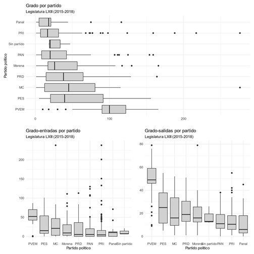
Al analizar por identidad partidista encontramos que, en promedio, los legisladores del PVEM son los que cuentan con mayor número de vínculos. Este partido presenta altos indicadores tanto en el total de grado, es decir, al contar las entradas y salidas del nodo, como en las medidas que solo consideran los apoyos que reciben las iniciativas de sus legisladores (grado-entrada) y en los apoyos ofrecidos a otros legisladores (grado-salida). Esto pudiera explicarse porque las iniciativas de los diputados de este partido suelen ser suscritas por todos los miembros de su bancada. Otros partidos con altos niveles de grado son el PES y MC. Los partidos políticos con las bancadas más pequeñas son los que presentan los niveles más altos en las tres diferentes medidas de grado.

Fuente: elaboración propia.

Gráfico 7. Medidas de grado en la LXIII Legislatura 

Al analizar el grado de intermediación, encontramos que la media de conexiones que pasan por un nodo es de 910,9. El gráfico 8 muestra la distribución de esta medida por partido político. Los partidos con mayor dispersión son el PVEM, el PES y MC. Un hallazgo importante es que los coordinadores de bancada presentan altos grados de intermediación. Como se observa en el gráfico de caja, la mayoría de los coordinadores de bancada son casos desviados. El diputado con la segunda puntuación más alta en este indicador es el coordinador de bancada del Partido Revolucionario Institucional (PRI), César Camacho Quiroz; también tienen altos niveles de intermediación Marko Cortés Mendoza, Jesús Sesma Suárez, Francisco Martínez Neri y Rocío Nahle García, coordinadores del Partido Acción Nacional (PAN), del PVEM, del PRD y el Movimiento de Regeneración Nacional (Morena), respectivamente. Esto quiere decir que, desde la teoría de redes, estos actores son importantes para conectar a la red y son clave para la transmisión de información en la Cámara de Diputados.

Podría pensarse que estos actores, al actuar como coordinadores de bancada, vinculan a miembros del mismo partido que no cuentan con conexiones entre sí. Asimismo, estos diputados ocupan posiciones importantes en la Cámara, notablemente en la Junta de Coordinación Política (Jucopo), que es el órgano de mayor autoridad dentro de la Cámara de Diputados. Estas posiciones podrían ayudar a comprender el poder de intermediación de estos legisladores con respecto a los miembros de otros partidos políticos.

Fuente: elaboración propia.

Gráfico 8. Identidad partidista y medida de intermediación 

Asimismo, al analizar la medida de cercanía, encontramos que los coordinadores de bancada también presentan altos niveles en este indicador. Esto apunta a que tienen una posición central dentro de la red. Entre los diez legisladores con indicadores más altos de cercanía se encuentran César Camacho (PRI), Marko Cortés (PAN), Jesús Sesma (PVEM), Francisco Martínez (PRD) y Rocío Nahle (Morena), coordinadores de sus respectivos partidos políticos.

Ahora bien, una vez determinadas las medidas de centralidad, exploramos si existen diferencias sistemáticas entre hombres y mujeres. Con este propósito, realizamos una prueba de diferencia de medias para cada uno de los indicadores de centralidad: grado, grado- entradas, grado-salidas, intermediación, cercanía y centralidad del valor propio. En ninguna de estas pruebas encontramos una diferencia significativa entre grupos. También exploramos diferencias entre diputados con y sin experiencia legislativa, así como diferencias entre diputados electos por RP y MR, sin encontrar diferencias entre estos grupos.

Por otra parte, identificamos una serie de comunidades dentro de la red. Estas son conjuntos de nodos que se encuentran densamente conectados entre sí, es decir, son subredes que cuentan con una alta cohesión interna (Menczer, Fortunato y Davis 2020). Los miembros de una comunidad tienden a compartir fines e ideas. Estas comunidades también suelen compartir normas y ejercer presión para que sus miembros se apeguen a ellas (Borgati, Everett y Johnson 2018). Para identificar a las comunidades en la red utilizamos el método de maximización de modularidad (greedy modularity maximization) (Clauset, Newman y Moore 2004). Este procedimiento compara las conexiones existentes dentro de la comunidad con respecto a una versión aleatoria de la red; si los valores son altos con respecto a la segunda, es poco probable que sea resultado de un proceso aleatorio (Menczer, Fortunato y Davis 2020).

Al correr el análisis identificamos seis comunidades dentro de la red (gráfico 9). En la composición de las comunidades mostramos que estas siguen, por lo general, el patrón de los partidos políticos existentes o reflejan la cercanía ideológica de estos. Por ejemplo, los nodos en color rojo corresponden predominantemente a miembros del PRI; los nodos en verde son, en su mayoría, diputados del PVEM; los puntos en azul claro corresponden a miembros del Partido Nueva Alianza (Panal), mientras los nodos en amarillo, a partidos de izquierda: Morena y el PRD. Finalmente, los nodos en azul oscuro identifican una comunidad compuesta mayoritariamente por miembros del PAN y MC. En suma, los partidos políticos tienden a conformar comunidades en la red; al mismo tiempo se observa cómo partidos que comparten ideología (PRD y Morena) o se encuentran cercanos entre sí (MC y el PAN) también forman comunidades dentro de la red.

Fuente: elaboración propia.

Gráfico 9. Comunidades legislativas en la LXIII Legislatura 

Al correr el análisis identificamos seis comunidades dentro de la red (gráfico 9). En la composición de las comunidades mostramos que estas siguen, por lo general, el patrón de los partidos políticos existentes o reflejan la cercanía ideológica de estos. Por ejemplo, los nodos en color rojo corresponden predominantemente a miembros del PRI; los nodos en verde son, en su mayoría, diputados del PVEM; los puntos en azul claro corresponden a miembros del Partido Nueva Alianza (Panal), mientras los nodos en amarillo, a partidos de izquierda: Morena y el PRD. Finalmente, los nodos en azul oscuro identifican una comunidad compuesta mayoritariamente por miembros del PAN y MC. En suma, los partidos políticos tienden a conformar comunidades en la red; al mismo tiempo se observa cómo partidos que comparten ideología (PRD y Morena) o se encuentran cercanos entre sí (MC y el PAN) también forman comunidades dentro de la red.

En la tabla 1 hacemos un análisis descriptivo de las variables de control en nuestra base de datos. En ella puede observarse la frecuencia de iniciativas que presentan la variable de control, cuántas de ellas fueron aprobadas y el porcentaje de las aprobadas con respecto a las propuestas. Las variables con mayor frecuencia en nuestra base son iniciativas presentadas por diputados con educación superior, de sexo masculino, con experiencia legislativa y legisladores de representación proporcional. Ahora, de estas variables, las iniciativas con mayor tasa de aprobación fueron las propuestas por presidentes o secretarios de la comisión de referencia (9,4 %), miembros del PAN (7,9 %) y representantes con antecedentes de grupos de presión (6,3 %), mientras que las iniciativas presentadas durante el año electoral cuentan con la menor tasa de aprobación.

Tabla 1. Variables de control e iniciativas aprobadas 

Variable Iniciativas Aprobadas Porcentaje aprobadas
Experiencia legislativa 2.555 152 5,9
Educación superior 5.062 265 5,2
Legislador hombre 2.868 172 6
Representación proporcional 2.516 143 5,8
Presidente o secretario de la comisión 805 76 9,4
Vínculos con grupos de presión 1.113 71 6,3
Año electoral 823 11 1,33
PAN 934 74 7,9
Panal 256 11 4,2
PRI 1.659 73 4,4
PRD 672 36 5,3
Morena 415 15 3,6
PVEM 332 18 5,4

Fuente: elaboración propia.

Para analizar la relación entre las medidas de centralidad y la aprobación de iniciativas de ley, corrimos cinco modelos de regresión logística con errores robustos agrupados por legislador. Los resultados pueden observarse en la tabla 2. Los modelos 1 al 4 toman como variable dependiente el dictamen positivo en la Cámara de Diputados, mientras el modelo 5 toma como dependiente a la publicación de la iniciativa en el Diario Oficial de la Federación. Asimismo, los modelos 1 al 4 analizan solamente reformas ordinarias. En cambio, el modelo 5 incluye reformas constitucionales que tienen un requerimiento de aprobación de dos terceras partes de ambas cámaras.

El primer modelo analiza la totalidad de las relaciones, es decir, el número de diputados que impulsaron sus proyectos de ley y el total de diputados a los que respaldó en sus iniciativas. El segundo modelo reporta solamente los apoyos que recibe el legislador (grado-entradas), es decir, el número de diputados que votaron por sus iniciativas. El tercer modelo incluye la variable grado-salidas, esto es, el número de diputados a los que avaló el legislador en sus iniciativas de ley. En los modelos 1 y 2 se observa que los coeficientes de grado y grado-entradas son muy cercanos a 0 y ninguno de los dos es significativo, por lo que no podemos rechazar la hipótesis nula en estos modelos.

Tabla 2. Resultados de los modelos de regresión logística con errores robustos agrupados por legislador 

Variable Modelo 1 Modelo 2 Modelo 3 Modelo 4 Modelo 5
Grado (total) 0,00 (0,00) - - - -
Grado-entradas - -0,00 (0,00) - - -
Grado-salidas - - 0,02* (0,00) - 0,03**(0,01)
Valor propio - - - 0,43 (0,79) -
Intermediación 0,00 (0,00) 0,00 (0,00) 0,00 (0,00) 0,00 (0,00) 0,00 (0,00)
Cercanía -1,84 (1,43) -1,19 (1,31) -3,74** (1,36) -2,04 (1,33) -2,93 (2,12)
Experiencia legislativa 0,21^ (0,12) 0,19 (0,12) 0,22^ (0,12) 0,22^ (0,12) 0,15 (0,20)
Educación superior -0,27 (0,21) -0,26 (0,21) 0,31 (0,21) -0,28 (0,21) 0,36 (0,49)
Hombre 0,30* (0,12) 0,30* (0,12) 0,31** (0,12) 0,30* (0,12) 0,43* (0,18)
Representación proporcional 0,24^ (0,13) 0,23^ (0,13) 0,25^(0,13) 0,24^ (0,13) 0,28 (0,23)
Presidente o secretario de la comisión -0,13 (0,17) -0,13 (0,17) -0,13 (0,17) -0,13 (0,17) 0,77*** (0,20)
Vínculos con grupo de interés 0,18 (0,16) 0,19 (0,16) 0,20 (0,16) 0,19 (0,16) 0,11 (0,32)
PAN -0,05 (0,22) -0,04 (0,22) -0,02 (0,22) -0,04 (0,22) 0,77* (0,36)
MC -0,13 (0,20) -0,12 (0,20) -0,18 (0,20) -0,13 (0,20) -0,09 (0,33)
PRI -0,34 (0,25) -0,37 (0,25) -0,22 (0,25) -0,33 (0,25) 0,38 (0,50)
PRD -0,29 (0,24) -0,25 (0,24) -0,35 (0,23) -0,29 (0,23) 0,09 (0,40)
Morena -0,45* (0,22) -0,43* (0,21) -0,49* (0,22) -0,45* (0,22) -0,06 (0,38)
PVEM -0,94* (0,42) -0,85* (0,40) -1,37** (0,42) -1,23^ (0,68) -0,75 (0,54)
Suscripciones por iniciativa 0,01^ (0,00) 0,01^ (0,00) 0,01^ (0,00) 0,01^ (0,00) 0,00 (0,00)
Año electoral -2,36*** (0,43) -2,36*** (0,43) -2,34*** (0,43) -2,35*** (0,43) -1,49** (0,50)
Intercepto -0,31 (0,89) -0,65 (0,85) 0,62 (0,81) -0,18 (0,69) -2,78 (1,38)
Observaciones 4.504 4.504 4.504 4.504 5.275

Nota: ‘***’ p < 0,001 ‘**’ p < 0,01 ‘*’ p < 0,05 ‘^’ p < 0,1

Fuente: elaboración propia.

El modelo 3 encuentra una relación positiva y significativa entre el indicador grado-salidas y la aprobación de iniciativas de ley, lo que provee evidencia a favor de la hipótesis H1c. Al exponenciar el coeficiente se observa que las posibilidades de éxito de la iniciativa aumentan en 1,02 con el incremento de una suscripción de proyecto de ley por parte del legislador. Este aumento pudiera parecer pequeño, pero hay que considerar que la media de grado-salidas es de 20,6 contactos. Por otro lado, en nuestra base de datos hallamos legisladores con indicadores de grado-salidas de hasta 80 contactos.

El modelo 3 también identifica una relación negativa y significativa entre el indicador de cercanía y las posibilidades de aprobación de las iniciativas de ley. Al calcular las probabilidades predichas, indicaría que una persona con medida de cercanía de 0,4 tendría una probabilidad de aprobación del 27 %, mientras que para un legislador con indicador de 1 es de solo del 4 %. Esto es contrario a la hipótesis H3, que espera que las iniciativas presentadas por diputados con posiciones más centrales tengan mayores posibilidades de éxito. En cambio, el modelo reporta que las iniciativas ordinarias propuestas por estos legisladores tuvieron menores posibilidades de aprobación.

En cuanto a la centralidad del valor propio (H4), el modelo 4 no encuentra una relación significativa con la variable dependiente. Es decir, no hay evidencia de que los diputados relacionados con nodos altamente conectados tengan mayores posibilidades de ver aprobadas sus iniciativas de ley. Por otra parte, ninguno de los cinco modelos arroja una relación significativa entre la medida de intermediación y el resultado de interés (H2), lo que indica que los diputados que conectan a la red no presentaron mayores posibilidades de éxito legislativo.

Ahora bien, el modelo 5 repite las especificaciones del modelo 3, pero incluye proyectos de reforma constitucional que, debido a los requerimientos de votación, se espera tengan menores probabilidades de aprobación. Asimismo, utiliza como variable dependiente la publicación de la iniciativa en el Diario Oficial de la Federación, lo que indica que también fue aprobada en el Senado de la República. En este modelo se observa una relación positiva y significativa del indicador de centralidad grado-salidas, lo que apoya la hipótesis de que entre más iniciativas respalda un diputado, mayores son las posibilidades de que sus iniciativas sean aprobadas. En cambio, la medida de cercanía mantiene su coeficiente negativo, pero pierde significancia.

Ahora bien, para explorar el efecto de estas variables calculamos las probabilidades predichas a distintos valores. Para ello utilizamos el paquete ggeffects de R (Lüdecke 2018). El gráfico 10 en la parte superior muestra las probabilidades predichas para la variable grado a partir del modelo 3 y en la parte inferior se aprecia la distribución de esta variable. Los resultados indican que, conforme aumenta el número de legisladores a los que ha apoyado el diputado por medio de suscripciones y copatrocinios, las probabilidades de éxito de sus iniciativas se incrementan. El modelo 3 indica que la probabilidad de éxito de un legislador con 60 contactos vía suscripción y copatrocinio de sus iniciativas es dos veces mayor a la de un diputado con un indicador de 10 en la medida de grado-salidas. Ahora bien, como puede apreciarse, conforme incrementa la medida de grado, los intervalos de confianza van aumentando; esto se debe a los valores atípicos de algunas observaciones con valores cercanos a 80 contactos, como lo muestra el histograma en la parte inferior.

Fuente: elaboración propia.

Gráfico 10. Probabilidades predichas de dictamen y distribución de los casos 

Al analizar las probabilidades predichas del modelo 5, encontramos que mientras un legislador que ha apoyado a 10 diputados en sus proyectos de ley tiene una probabilidad del 3 % de ver su proyecto aprobado y publicado en el Diario Oficial de la Federación, las probabilidades de un diputado con 60 conexiones son del 11 %. Estas probabilidades pudieran parecer pequeñas, pero debemos tomar en cuenta que muy pocos proyectos son exitosos en el proceso legislativo. Esto apunta a que los legisladores que respaldan un mayor número de proyectos de ley tienen no solo mayores probabilidades de que sus proyectos obtengan un dictamen positivo en el pleno de la Cámara de Diputados, sino de que también sean aprobados en el Senado y se conviertan en leyes.

Con respecto a las variables de control, a diferencia de lo planteado por estudios previos sobre productividad legislativa, encontramos una relación positiva y significativa entre las iniciativas presentadas por hombres y la aprobación de estos proyectos. También hallamos una relación negativa y significativa, que se mantiene en todos los modelos, entre las iniciativas que fueron presentadas en año electoral y sus probabilidades de aprobación. Asimismo, observamos que en esta legislatura las iniciativas planteadas por algunos partidos, como Morena y PVEM, tuvieron menores posibilidades de contar con un dictamen favorable en el pleno.

Ahora bien, en los modelos que contienen solamente iniciativas ordinarias no identificamos relación entre ocupar posiciones de jerarquía en el sistema de comisiones y la probabilidad de éxito de sus iniciativas de ley. Pero, al incluir las iniciativas constitucionales y tomar como resultado la publicación de estas en el Diario Oficial de la Federación, hay una relación positiva y significativa. Esto último se apega a los hallazgos de la literatura sobre productividad legislativa. Por otra parte, no encontramos una relación entre los niveles de estudio de los legisladores y el éxito de sus proyectos de ley; lo mismo ocurre cuando incluimos un indicador de vínculos con grupos de interés.

Otras variables están cerca de la significancia estadística, con un p-value superior a 0,05 y menor a 0,1. Este es el caso de los diputados electos por el principio de representación proporcional que muestran un estimador positivo en todos los modelos con excepción del 5. Asimismo, en los modelos 1, 3 y 4 la experiencia legislativa presenta un coeficiente positivo que es cercano a la significancia estadística. Por su parte, el número de suscripciones y patrocinios que suma cada proyecto muestra un coeficiente positivo y cercano a un p-value de 0,05 en los modelos 1 al 4.

Conclusiones

Este trabajo contribuye a los estudios legislativos en dos sentidos: mapea las redes de contactos de los legisladores mexicanos y explora el efecto de diferentes medidas de centralidad en el éxito de las iniciativas legislativas. Con base en la información sobre copatrocinios y suscripciones, mostramos las relaciones existentes en la LXIII Legislatura de la Cámara de Diputados en México.

En el análisis descriptivo encontramos que los partidos más pequeños (PES, MC y PVEM) presentan los valores medios más altos en la medida de grado, grado-entradas y grado-salidas. También, que los coordinadores de bancada de los partidos tienen altos niveles de intermediación; todos ellos son casos desviados con respecto al resto de los miembros de sus partidos en esta medida, lo que indica que son importantes para conectar a la Cámara de Diputados.

Por otro lado, identificamos seis comunidades en la red, es decir, subconjuntos de nodos que están altamente conectados entre sí y que corresponden principalmente al partido político de pertenencia del legislador. Aunque también existen redes compuestas por partidos que comparten ideología, como los partidos de izquierda, o que se encuentran cercanos en la escala derecha-izquierda.

Los hallazgos de este estudio sugieren que las iniciativas de ley presentadas por legisladores con altos indicadores de grado-salidas tienen mayor éxito. Al analizar empíricamente la relación entre la aprobación de iniciativas y grado-salidas, se observa una relación positiva y significativa entre estas variables. En términos teóricos, planteamos que estos legisladores tienen mayores posibilidades porque el apoyo a los proyectos de otros diputados genera relaciones de reciprocidad. Los diputados que apoyaron a más legisladores en sus proyectos también tuvieron más probabilidades de ver aprobadas sus iniciativas.

En cambio, no observamos sustento empírico sobre la incidencia de otras medidas de centralidad como el grado, el grado-entradas, la centralidad del valor propio y la intermediación. Con respecto a la cercanía, que indica los pasos que existen entre un nodo y el resto de los miembros de la red, señalamos una relación negativa entre esta medida y la aprobación de iniciativas ordinarias. Sin embargo, al incluir las reformas constitucionales y considerar la aprobación del proyecto de ley en la Cámara Alta, el efecto desaparece.

Este estudio abre una agenda de investigación en torno al efecto de las redes sobre el comportamiento legislativo en México. Sería importante replicar este estudio en otras legislaturas, analizar si los diputados interconectados votan en el mismo sentido, estudiar si los diputados en los márgenes de las comunidades legislativas tienen alguna ventaja como conectores en el proceso legislativo o si otras características que los unen, por ejemplo, antecedentes escolares compartidos o lazos en grupos de presión, tienen efecto sobre su comportamiento y el éxito de sus iniciativas. Asimismo, destacamos que la aprobación de iniciativas de ley no es el único indicador de éxito legislativo, por lo que se sugiere analizar el efecto de las redes en otros momentos del proceso legislativo como las enmiendas o el dictamen en comisiones.

Referencias

Alemán, Eduardo y Ernesto Calvo. 2008. “Analyzing Legislative Success in Latin America: The Case of Democratic Argentina”. En New Voices in the Study of Democracy in Latin America, editado por Guillermo O’Donnell, Joseph Tulchin y Augusto Varas, 7-37. Washington, D. C.: Woodrow Wilson International Center for Scholars. [ Links ]

Alemán, Eduardo y Ernesto Calvo . 2013. “Explaining Policy Ties in Presidential Congresses: A Network Analysis of Bill Initiation Data”. Political Studies 61 (2): 356-377. https://doi.org/10.1111/j.1467-9248.2012.00964.xLinks ]

Alemán, Eduardo y Paula Clerici. 2022. “Centralidad y productividad legislativa en la Cámara de Diputados argentina, 1983-2019”. Revista de Ciencia Política 42 (1): 31-53. http://ojs.uc.cl/index.php/rcp/article/view/50387Links ]

Anderson, William, Janet Box-Steffensmeier y Valeria Sinclair-Chapman. 2003. “The Keys to Legislative Success in the U.S. House of Representatives”. Legislative Studies Quarterly 38 (3): 357-386. https://doi.org/10.3162/036298003X200926Links ]

Arnold, Laura W., Rebecca E. Deen y Samuel C. Patterson. 2000. “Friendship and Votes: The Impact of Interpersonal Ties on Legislative Decision Making”. State and Local Government Review 32 (2): 142-147. https://www.jstor.org/stable/4355260Links ]

Austen-Smith, David. 1993. “Information and Influence: Lobbying for Agendas and Votes”. American Journal of Political Science 37 (3): 799-833. https://doi.org/10.2307/2111575Links ]

Axelrod, Robert. 1984. The Evolution of Cooperation. Nueva York, NY: Basic Books. [ Links ]

Bárcena, Sergio. 2017. “Involucramiento legislativo sin reelección: la productividad de los diputados federales en México 1985-2015”. Política y Gobierno 24 (1): 45-79. https://www.redalyc.org/articulo.oa?id=60349190003Links ]

Béjar, Luisa. 2012. “¿Quién legisla en México? Descentralización y proceso legislativo”. Revista Mexicana de Sociología 74 (4): 619-667. http://revistamexicanadesociologia.unam.mx/index.php/rms/article/view/34446Links ]

Bonacich, Phillip. 1972. “Factoring and Weighting Approaches to Status Scores and Clique Identification”. Journal of Mathematical Sociology 2 (1): 113-120. https://doi.org/10.1080/0022250X.1972.9989806Links ]

Borgatti, Stephen P., Martin G.. Everett y Jeffrey Johnson. 2018. Analyzing Social Networks. Thousand Oaks, CA: Sage . [ Links ]

Bratton, Kathleen A. y Kerry L. Haynie. 1999. “Agenda Setting and Legislative Success in State Legislatures: The Effects of Gender and Race”. Journal of Politics 61: 658-679. https://doi.org/10.2307/2647822Links ]

Bratton, Kathleen y Stella Rouse. 2011. “Networks in the Legislative Arena: How Group Dynamics Affect Cosponsorship”. Legislative Studies Quarterly 36 (3): 423-460. https://doi.org/10.1111/j.1939-9162.2011.00021.xLinks ]

Burt, Ronald S. 1992. Structural Holes: The Social Structure of Competition. Cambridge, MA: Harvard University Press. [ Links ]

Caldeira, Gregory A. y Samuel C. Patterson . 1987. “Political Friendship and the Legislative”. The Journal of Politics 49 (2): 953-975. https://doi.org/10.2307/2130779Links ]

Caldeira, Gregory A. y Samuel C. Patterson . 1988. “Contours of Friendship and Respect in the Legislature”. American Politics Quarterly 16 (84): 466-485. https://doi.org/10.1177/004478088016004004Links ]

Calvo, Ernesto. 2014. Legislator Success in Fragmented Congresses in Argentina. Plurality Cartels, Minority Presidents, and Lawmaking. Cambridge, MA: Cambridge University Press. [ Links ]

Cho Tam , Wendy K. y James H. Fowler. 2010. “Legislative Success in a Small World: Social Network Analysis and the Dynamics of Congressional Legislation”. The Journal of Politics 72 (1):124-135. https://doi.org/10.1017/s002238160999051xLinks ]

Clauset, Aaron, M. E. J. Newman y Cristopher Moore. 2004. “Finding Community Structure in Very Large Networks”. Physical Review E 70 (5): 1-6. https://doi.org/10.1103/PhysRevE.70.066111Links ]

Cohen, Lauren y Christopher J. Malloy. 2014. “Friends in High Places”. American Economic Journal: Economic Policy 6 (3): 63-91. https://www.jstor.org/stable/43189392Links ]

Cox Gary y Mathew McCubbins. 1993. Legislative Leviathan: Party Government in the House. Berkely, CA: University of California Press. [ Links ]

Cox Gary y William C. Terry. 2008. “Legislative Productivity in the 93d-105th Congresses”. Legislative Studies Quarterly 33 (4): 603-618. https://doi.org/10.3162/036298008786403123Links ]

Craig, A. W.. 2017. “Policy Collaboration in the United States Congress”. Tesis de doctorado, The Ohio State University, Columbus. [ Links ]

Csardi, Gabor y Tamas Nepusz. 2006. “The Igraph Software Package for Complex Network Research”. InterJournal, Complex Systems 1695. https://igraph.orgLinks ]

Desmarais, Bruce A., Vincent G. Moscardelli, Brian F. Schaffner y Michael S. Kowal. 2015. “Measuring Legislative Collaboration: The Senate Press Events Network”. Social Networks 40: 43-54. https://doi.org/10.1016/j.socnet.2014.07.006Links ]

Dockendorff, Andrés. 2020. “Why Are Some Parliamentarians’ Bills More Likely to Progress? Sponsorship as a Signal”. British Journal of Politics and International Relations 23 (1): 139-157. https://doi.org/10.1177/136914812094978Links ]

Fiellin, Alan. 1962. “The Functions of Informal Groups in Legislative Institutions”. Journal of Politics 24 (1): 72-91. https://doi.org/10.2307/2126738Links ]

Fischer, Manuel, Frédéric Varone, Roy Gava y Pascal Sciarini. 2019. “How MPs Ties to Interest Groups Matter for Legislative Co-sponsorship”. Social Networks 57: 34-42. https://doi.org/10.1016/j.socnet.2018.12.001Links ]

Fowler, James H. 2006a. “Connecting the Congress: A Study of Cosponsorship Networks”. Political Analysis 14 (4): 456-87. https://doi.org/10.1093/pan/mpl002Links ]

Fowler, James H. 2006b. “Legislative Cosponsorship Networks in the US House and Senate”. Social Networks 28 (4): 454-65. https://doi.org/10.1016/j.socnet.2005.11.003Links ]

Frantzich, Stephen. 1979. “Who Makes Our Laws? The Legislative Effectiveness of Members of the U. S.”. Legislative Studies Quarterly 4 (3): 409-428. https://www.jstor.org/stable/439582Links ]

Freeman, Linton C. 1977. “A Set of Measures of Centrality Bases on Betweenness”. Sociometry 40 (1): 35-41. https://doi.org/10.2307/3033543Links ]

Freeman, Linton C. 1979. “Centrality in Social Networks Conceptual Clarification”. Social Networks 1 (3): 215-239. https://doi.org/10.1016/0378-8733(78)90021-7Links ]

Grossman, Gene M. y Elhanan Helpman. 2001. Special Interest Politics. Cambridge, MA: MIT Press. [ Links ]

Grossman, Matthew y Kurt Pyle. 2013. “Lobbying and Congressional Bill Advancement”. Interest Groups & Advocacy 2 (1): 91-111. https://link.springer.com/article/10.1057/iga.2012.18Links ]

Jeydel, Alana y Andrew J. Taylor. 2003. “Are Women Legislators Less Effective? Evidence from the U. S. House in the 103rd-105th Congress”. Political Research Quarterly 56 (1): 19-27. https://doi.org/10.2307/3219880Links ]

Kadushin, Charles. 2012. Understanding Social Networks. Oxford: Oxford University Press. [ Links ]

Kerevel, Yann P. y Sergio Bárcena. 2017. “Democratización y representación legislativa en México”. Revista Uruguaya de Ciencia Política 26 (1): 59-83. http://rucp.cienciassociales.edu.uy/index.php/rucp/article/view/41Links ]

Kirkland, Justin H. 2011. “The Relational Determinants of Legislative Outcomes: Strong and Weak Ties between Legislators”. The Journal of Politics 73 (3): 887-898. https://doi.org/10.1017/S0022381611000533Links ]

Krehbiel, Keith. 1991. Information and Legislative Organization. Ann Arbor, MI: The University of Michigan Press. [ Links ]

Lüdecke Daniel. 2018. “ggeffects: Tidy Data Frames of Marginal Effects from Regression Models”. Journal of Open Source Software 3 (26): 1-5. https://doi.org/10.21105/joss.00772Links ]

Masket, Seth E. 2008. “Where You Sit Is Where You Stand: The Impact of Seating Proximity on Legislative Cue-Taking”. Quarterly Journal of Political Science 3: 301-311. https://ssrn.com/abstract=1503596Links ]

Matthews, Donald R. y James A. Stimson. 1975. Yeas and Nays: Normal Decision-Making in the U.S. House of Representatives. Nueva York, NY: Wiley-Interscience. [ Links ]

Menczer, Filippo, Santo Fortunato y Clayton A. Davis. 2020. A First Course in Network Science. Cambridge, MA: Cambridge University Press. [ Links ]

Moore, Michael K. y Sue Thomas. 1991. “Explaining Legislative Success in the U. S. Senate; The Role of Majority and Minority Parties”. The Western Political Quarterly 44 (2): 959-970. https://doi.org/10.2307/448802Links ]

Padró I Miquel, Gerard y James Snyder. 2006. “Legislative Effectiveness and Legislative Careers”. Legislative Studies Quarterly 31 (3): 347-381. https://www.jstor.org/stable/40263391Links ]

Peoples, Clayton D. 2008. “Interlegislator Relations and Policy Making: A Sociological Study of Roll-Call Voting in a State Legislature”. Sociological Forum 23 (39): 455-480. https://doi.org/10.1111/j.1573-7861.2008.00086.xLinks ]

Peoples, Clayton D. 2010. “Contributor Influence in Congress: Social Ties and PAC Effects on U. S. House Policymaking”. The Sociological Quarterly 51 (4): 649-677. https://doi.org/10.1111/j.1533-8525.2010.01187.xLinks ]

Porter, Mason A., Peter J. Mucha, M. E. J. Newman y A. J. Friend. 2007. “Community Structure in the United States House of Representatives”. Physica A: Statistical Mechanics and Its Applications 386 (1): 414-438. https://doi.org/10.1016/j.physa.2007.07.039Links ]

Senk, Kaitlin. 2020. “Are Women Less Effective at Passing Bills? Explaining the Direct and Indirect Effects of Gender”. Legislative Studies Quarterly 46 (3): 791-816. https://doi.org/10.1111/lsq.12303Links ]

Skigin, Natan. 2019. “Spreading Influence through Weak Ties: Cosponsorship, Legislative Networks, and Bill Success in Fragmented Congresses”. Legislative Studies Quarterly 44 (2): 239-269. https://doi.org/10.1111/lsq.12224Links ]

Solís, Diego y Josafat Cortez. 2019. “¿Qué intereses se representan en el Congreso? Legisladores mexicanos con antecedentes en grupos de interés 2006-2015”. Perfiles Latinoamericanos 53: 1-26. https://doi.org/10.18504/pl2753-013-2019Links ]

CÓMO CITAR: Solís Delgadillo, Diego y Josafat Cortez Salinas. 2023. “Nodos, centralidad y éxito legislativo en México: redes políticas en la Cámara de Diputados”. Colombia Internacional 114: 151-184. https://doi.org/10.7440/colombiaint114.2023.06

Recibido: 10 de Julio de 2022; Aprobado: 10 de Octubre de 2022

Creative Commons License Este es un artículo publicado en acceso abierto bajo una licencia Creative Commons