1. INTRODUCCIÓN
El valor de la carga de viento a aplicar sobre una torre de celosía depende de diversos factores que pueden agruparse en parámetros meteorológicos y parámetros aerodinámicos o de forma. Los parámetros meteorológicos tienen en cuenta la zona en la que se encuentra la estructura, su altura y el periodo de recurrencia, así como las fluctuaciones de la velocidad del viento. Por su parte, los parámetros aerodinámicos tienen en cuenta la resistencia aerodinámica de los objetos expuestos al viento, de modo que modifican la distribución de presión actuante en función del ángulo de ataque considerado.
La resistencia aerodinámica de los objetos expuestos al viento se considera mediante los coeficientes de arrastre (CD) y sustentación (CL). En estructuras reticuladas, en las que se enmarcan las torres de telecomunicaciones, estos coeficientes se estiman a partir de expresiones empíricas [1]-[4] que relacionan los coeficientes de arrastre y sustentación correspondientes a los elementos que componen la retícula, la permeabilidad y la separación entre estos.
Dada la vulnerabilidad de estas estructuras frente al viento, el estudio de las características aerodinámicas de las secciones que componen el reticulado reviste vital importancia en la estimación de los coeficientes globales de la estructura, necesarios en la determinación de la carga ecológica de viento actuante sobre estas.
Los coeficientes CD y CL resultan muy específicos debido a las múltiples geometrías que pudieran emplearse, por lo que no pueden ser generalizados. Las normas consultadas [1]-[4] establecen valores para geometrías simples conocidas. En secciones transversales no reflejadas en estos códigos deben emplearse valores aproximados que pueden atentar contra la eficiencia de los diseños, lo que brinda importancia a la realización de estudios experimentales y/o numéricos para la obtención de valores confiables.
Los coeficientes de forma se obtienen, de manera general, mediante ensayos físicos llevados a cabo en túneles de viento [5], [6]. Esta eficaz herramienta presenta limitaciones económicas, fundamentalmente, pues la construcción de un túnel de viento requiere de una importante inversión, además de que genera altos costos de operación, imprescindibles para su correcto funcionamiento [7]. A partir del ascendente desarrollo computacional experimentado desde finales del siglo XX, ha tomado fuerza como herramienta alternativa a los ensayos efectuados en túneles de viento la dinámica de fluidos computacional (computacional fluid dynamics o CFD, por su sigla en inglés).
Esta herramienta brinda soluciones numéricas aproximadas al utilizar el método de discretización, el cual aproxima las ecuaciones diferenciales gobernantes del flujo de fluido mediante la resolución de un sistema de ecuaciones algebraicas [8], [9]. Estas aproximaciones se basan en la definición de la geometría del dominio de simulación, las propiedades físicas del fluido, las condiciones iniciales del flujo y las condiciones de frontera del dominio de simulación [10], [11]. Los resultados obtenidos a partir de las simulaciones CFD comprenden campos de presión y velocidad a partir de los cuales puede obtenerse información visual de los diferentes fenómenos generados por el flujo de fluido, como, por ejemplo, mapas de vorticidad, líneas de corriente y mapas de velocidad y presión.
Entre los principales programas que abordan estas soluciones, uno de los más utilizados es el software de código abierto OpenFOAM [8], [12]. El presente trabajo toma como caso de estudio un perfil angular de alas iguales por ser una de las secciones más empleadas en estructuras reticulares metálicas, además de reflejarse en todas las normativas consultadas [1]-[4]. El objetivo es el estudio de la influencia de la relación de bloqueo generada entre el dominio de simulación y un perfil angular de alas iguales en los valores de CD y CL, a partir de los cuales se obtienen los coeficientes de forma. Los valores obtenidos se comparan con los brindados por las normativas citadas.
2. METODOLOGÍA
OpenFOAM (Open Field Operation and Manipulation) [12] es una herramienta de simulación numérica especialmente orientada para la simulación de flujos de fluidos tridimensionales. Emplea el enfoque euleriano, basado en esquemas de volúmenes finitos para la discretización espacial. El soporte numérico radica en la aplicación de las leyes de conservación de masa, cantidad de movimiento y energía en la forma integral sobre cada elemento de la malla (volumen finito), con lo que se obtienen campos de velocidad y presión, dependientes del espacio y el tiempo.
En el interior de cada volumen de control se aplican las ecuaciones de conservación a fin de obtener los valores de las variables de salida en los nodos de la malla. La discretización adecuada del dominio reviste vital importancia en la obtención de soluciones correctas desde el punto de vista numérico y físico.
El código OpenFOAM permite la utilización de mallas estructuradas y no estructuradas [12], lo que facilita su aplicación para flujos en geometrías complejas. Unas de las ventajas que brinda el OpenFoam es la posibilidad de paralelizar las simulaciones en función de la cantidad de núcleos disponibles en el ordenador, por lo que la capacidad del cálculo está principalmente limitada por el hardware disponible.
Ecuaciones gobernantes del movimiento de fluidos
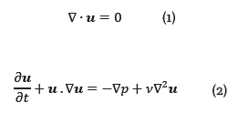
El flujo de fluidos se rige por ecuaciones diferenciales parciales no lineales que dan solución a cada una de las leyes de la mecánica de fluidos, lo que soluciona las variables del flujo punto a punto [13], [14]. Estas ecuaciones regentes son: la ecuación de continuidad (conservación de masa), la ecuación de Navier-Stokes (ecuación de conservación de cantidad de movimiento o Segunda Ley de Newton para Fluidos) y la ecuación de conservación de la energía. En el presente trabajo se propone la simulación transitoria (variable en el tiempo) de un flujo isotérmico, incompresible, newtoniano y de una sola fase, sin la incorporación de modelos de turbulencia. Bajo estas condiciones el código OpenFOAM resuelve las ecuaciones de continuidad y de Navier-Stokes de la siguiente forma:
Donde es el vector velocidad del flujo, t es la variable independiente tiempo, es la presión reducida obtenida al dividir la presión entre la densidad del fluido y es la viscosidad cinemática del fluido.
Coeficientes de arrastre (CD) y sustentación (CL)
Las fuerzas de arrastre y de sustentación son las componentes, paralela y perpendicular, respectivamente, de la fuerza que el flujo ejerce sobre un cuerpo inmerso en este. Esta fuerza se origina en los campos de presión y en las tensiones de corte que se desarrollan sobre la superficie de dicho cuerpo. La adimensionalización de las fuerzas de arrastre (FD) y sustentación (FL) resulta en los coeficientes de arrastre y sustentación, CD y CL, respectivamente. Estos coeficientes usualmente se emplean en ingeniería civil para la caracterización aerodinámica tanto de estructuras reticuladas [15], [6] como de edificaciones [16], [17].
El perfil angular de alas iguales objeto de estudio clasifica como un cuerpo no aerodinámico de aristas vivas. Se caracteriza por tener influencia en la velocidad del flujo en los valores de CD y CL de modo que modifica valores hasta un determinado límite de velocidad, propio de cada geometría. A partir de este los coeficientes permanecen constantes [18]. Para la caracterización del flujo con base en su velocidad se emplea el número de Reynolds, el cual se puede determinar con la ecuación (3):
Donde Des una dimensión característica del cuerpo y Ves la velocidad del flujo.
En el caso de considerar solo el efecto de la presión en la fuerza de arrastre, el coeficiente de fuerza asociado se denomina "coeficiente de forma". Varios autores -entre estos [5], [6] y [19]- proporcionan expresiones para la determinación del coeficiente de fuerza:
Donde, es el coeficiente de fuerza, Fes la fuerza que ejerce el flujo sobre el obstáculo y A es el área proyectada ante el flujo. Este coeficiente posee dos componentes: presión y fricción ejercida por el flujo sobre el obstáculo. Los coeficientes CD y CL consideran ambos efectos según las expresiones
Como parte de las funciones de posprocesamiento, OpenFOAM incluye la determinación de las fuerzas de arrastre y sustentación, así como sus respectivos coeficientes, para un obstáculo definido por el usuario. El cálculo de estas fuerzas se realiza para cada intervalo de tiempo y la adimensionalización de estas se realiza mediante las expresiones (5) y (6), lo cual arroja los valores resultantes de CD y CL. En el caso de los cuerpos no aerodinámicos y con aristas vivas, el efecto de la fricción puede despreciarse [20], razón por la cual pueden compararse los resultados de C D y C L obtenidos en la simulación numérica con los reflejados en las normativas citadas [1]-[4].
Descripción del proceso de simulación numérica
A partir de su amplio uso en estructuras metálicas reticuladas y de la referencia a sus coeficientes de forma para varios ángulos de ataque en todas las normativas consultadas [1]-[4], se selecciona como caso de estudio un perfil angular de alas iguales con ángulo de ataque de 0° con respecto al flujo. En la figura 1 se muestran las componentes horizontales y verticales de los coeficientes de forma referidos en las normativas consultadas, a partir de los cuales se determinan los coeficientes de forma globales

Fuente: elaboración propia.
FIGURA 1 COEFICIENTES DE FORMA REFLEJADOS EN LAS NORMAS CONSULTADAS [1]-[4]
Para dicho estudio se realizaron simulaciones transitorias con un tiempo de corrida de 16 s, con los cuales se garantiza un desarrollo y una estabilidad en la simulación del flujo.
En la comparación de los resultados obtenidos en las simulaciones se tomaron los valores de coeficientes de forma reflejados en las normativas consultadas [1]-[4]. A partir de la información brindada en la figura 1 se determina que los coeficientes de forma global para el perfil caso de estudio son C jx = 2,54 y Cfy = 0. A fin de comparar con estos valores de C jx y C Fy se realizó una simulación 2D con el empleo de tres modelos con diferentes dimensiones, se varió la relación de bloqueo, definida como el cociente entre el área del cuerpo proyectada en la vertical y el área libre de pasaje del flujo. En este caso, por tratarse de un análisis 2D, la relación de bloqueo se reduce a una relación de dimensiones (D/H), al ser D la dimensión de referencia del obstáculo y H la dimensión transversal del flujo (figura 2). Para la dimensión horizontal de los dominios de simulación se establece como patrón la dimensión de referencia obtenida a partir de la proyección vertical del obstáculo ante el flujo (D = 177mm). Para la dimensión vertical perpendicular al flujo (H) se proponen tres valores (900, 1770 y 3540 mm) con los que se definen las relaciones de bloqueo (D/H) estudiadas. La relación de bloqueo está dada por el porcentaje que representa la dimensión vertical del obstáculo con respecto a la dimensión vertical del dominio. En la figura 2 se presenta la distribución de las dimensiones horizontal (x) y vertical (y), y en la tabla 1 se presentan las dimensiones de los dominios numéricos simulados.
TABLA 1 DIMENSIONES DE LOS DOMINIOS NUMÉRICOS UTILIZADOS EN LAS SIMULACIONES Y LAS RELACIONES DE BLOQUEO CORRESPONDIENTES

Fuente: elaboración propia.
El dominio 1 presenta un 20 % de bloqueo H = 900 mm. La selección de esta altura de dominio busca simular la altura de la sección de un túnel de viento. Con el objetivo de estudiar la influencia del bloqueo sobre los coeficientes de arrastre y sustentación para el dominio 2 se propone reducir a la mitad el bloqueo del dominio 1, de manera que es el 10 % la relación máxima de bloqueo permitida por la norma [4], por lo que para el dominio 2 H = 1770 mm. Finalmente, el dominio 3 con un 5 % de bloqueo H = 3540mm (relación de bloqueo para la que, según [21]-[23], el coeficiente de arrastre y sustentación no se ve afectado por el porcentaje de bloqueo, por lo que no son necesarias correcciones sobre los valores obtenidos). Para la discretización de los dominios de simulación se emplea un mallado no estructurado que permite un mejor ajuste en el contorno del angular. En la figura 3 se muestra el mallado correspondiente al dominio 1.
Este mallado se concibió con una densidad variable y dimensiones de elementos que oscilan entre los 3 mm y los 3 cm, y emplea una transición suave entre los elementos de menor a mayor dimensión. En los tres dominios de simulación propuestos se mantienen las dimensiones de los elementos y la transición entre estos; se aplicó la misma técnica de mallado con el empleo del software Salome 7.8 [24]. En la tabla 2 se presenta la cantidad de elementos generados en el proceso de mallado para los tres dominios de simulación. El porcentaje de aumento se refiere al aumento de la cantidad de elementos respecto al dominio 1.
Para la asignación de las condiciones de frontera el dominio se divide en cinco grupos: entrada, salida, borde superior e inferior, borde anterior y posterior, y, finalmente, el grupo angular. En la figura 4 se muestran los grupos referidos.
En la entrada del flujo se asigna un perfil uniforme de velocidad de 5 m/s; en los límites superior e inferior del dominio se fija la condición de no deslizamiento; y para los bordes anterior y posterior se impone la condición de vacío (empty), por lo que el código no resuelve la componente (z) de la ecuación de conservación de la cantidad de movimiento. En la salida del dominio se imponen gradientes nulos de presión y velocidad, y, finalmente, en el grupo angular se fija un valor nulo de velocidad y de gradiente de presión. Para las simulaciones se seleccionó el solver (pisoFoam), pues este permite la simulación de flujos incompresibles y transitorios. En los modelos propuestos no se emplean modelos de turbulencia, por lo que el tipo de simulación empleada es laminar, con el objetivo de disminuir el costo computacional, ya que para este tipo de simulación, en general, los tiempos de corrida son menores. El tiempo de simulación se fija en 16 s, la densidad del aire empleada es p = 1,184 kg/m3, correspondiente a una temperatura de 25 °C, y la viscosidad cinemática es de v = 1,562 10-5 m2/s.
3. RESULTADOS
La simulación numérica del flujo alrededor de un perfil angular, para las tres razones de bloqueo propuestas en este trabajo, dio como resultado los campos de velocidad y presión alrededor de dicho perfil. Los valores de C D y C L se calculan a partir de las fuerzas instantáneas de arrastre F D y sustentación F L (expresiones 5 y 6).
Para la comparación de los coeficientes CD y CL obtenidos en la simulación con los valores reflejados en las normas consultadas [1]-[4], en cada dominio simulado se determina el valor medio correspondiente a las series temporales de estos coeficientes generadas por las funciones de posprocesamiento. En la tabla 3 se muestran los valores medios de C D y C L que se obtuvieron en las simulaciones.
TABLA 3 VALORES DE CD y CL OBTENIDOS EN LOS TRES DOMINIOS SIMULADOS

* Q e es el valor medio del ensayo numérico, Q n(i) es el valor reportado en las normas consultadas.
Fuente: elaboración propia.
Los resultados demuestran que los valores obtenidos para un 10 % de bloqueo presentan los menores errores absolutos con respecto a los establecidos en las normas consultadas [1]-[4].
Las figuras 5 y 6 muestran un intervalo de 0,2 s que refleja el comportamiento de las series temporales de C D y C L, respectivamente, para los tres dominios simulados.
Como se aprecia, el dominio de 5 % de bloqueo presenta una menor dispersión en los valores de C D y C L en torno a los respectivos valores medios reportados en la tabla 3.
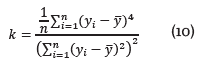
Con el objetivo de corroborar las recomendaciones ofrecidas por la literatura consultada [21]-[23], las cuales refieren una razón de bloqueo máxima del 5 %, se realiza una evaluación estadística de las series temporales graficadas en las figuras 5 y 6. Para esto se determinan los siguientes parámetros estadísticos: error medio cuadrático (ECM), desviación estándar, curtosis (k), y el coeficiente de asimetría ( ), con el empleo de las siguientes expresiones:
Donde: es el valor de la variable, es la varianza de la serie, es el valor promedio, y n la cantidad de datos. En las figuras 7 y 8 se representan los valores de ECM y k, y S, respectivamente, para las tres relaciones de bloqueo simuladas, correspondientes a C D y C L.
Los resultados mostrados en los gráficos presentados en las figuras 7 y 8 muestran que la disminución del porcentaje de bloqueo disminuye de forma considerable la dispersión de los valores de C D y C L a partir de la disminución en los valores de ECM y S, de modo que los valores más confiables que se presentan corresponden al dominio con 5 % de bloqueo, causado por la disminución de la influencia de los límites del dominio de simulación. Estos resultados corroboran la información visual reflejada en las figuras 5 y 6. A fin de estudiar la tendencia de las series obtenidas al poseer una distribución normal, se calcula el coeficiente de curtosis.
Este coeficiente constituye una medida que permite analizar el grado de concentración de la variable analizada alrededor de la zona central de la distribución de frecuencias.
Para las distribuciones normales el valor de curtosis es de 3, por lo que en la medida en que el valor obtenido en las variables estudiadas se encuentre en este entorno la distribución de frecuencias de la variable tiende a ser normal. En el caso del comportamiento de la curtosis el dominio de 5 % de bloqueo es el que presenta una mayor tendencia a una distribución normal, ya que los valores son los más cercanos a 3.
El coeficiente de asimetría (o skewness) también se encuentra vinculado a la distribución normal de frecuencias, pues la tendencia de este tipo de distribución es a la simetría con respecto a la media, por lo que la asimetría tiende a 0. Esto indica que existen la misma cantidad de valores a ambos lados de la media.
Asimetrías positivas indican mayor cantidad de valores a la derecha de la media. En el caso en que este coeficiente sea negativo la inclinación es hacia la izquierda de la media. Para los dominios estudiados, ambas variables, C D y C L , presentan tendencia a la simetría (se reportan los menores valores para el dominio del 5 % de bloqueo).
Los resultados obtenidos para las tres relaciones de bloqueo propuestas pueden interpretarse a partir de los gráficos de velocidades presentados en las figuras 9 y 10. Estas distribuciones se obtienen en el mismo instante de tiempo (10 s), con una velocidad libre en la entrada del dominio de 5m/s.

Fuente: elaboración propia.
FIGURA 9 MAPA DE LA COMPONENTE x DE LA VELOCIDAD (UX). A: RAZÓN DE BLOQUEO DE 20 %. B: RAZÓN DE BLOQUEO DE 10 %

Fuente: elaboración propia.
FIGURA 10 MAPA DE LA COMPONENTE x DE LA VELOCIDAD (UX) PARA RAZÓN DE BLOQUEO DE 5 %
Como puede apreciarse, la definición de la condición de contorno noSlip en los límites superiores e inferiores del dominio genera una capa límite en estos contornos, por lo que la velocidad del flujo se hace o en esta zona. La aparición de esta capa límite provoca que la reducción de la altura de circulación del flujo, al llegar al obstáculo, ocasione la ocurrencia del efecto Venturi. Dicho efecto puede explicarse a partir del principio de Bernoulli y de conservación de la masa [18]. En el dominio de 20 % de bloqueo, la reducción de la altura por la que circula el flujo es de aproximadamente el 20 % (figura 10), en el dominio de 10 % de bloqueo la reducción es del 10 % de la altura (figura 9), y en el caso del dominio con un 5 % de bloqueo la reducción es del 5 % (figura 10).
El aumento de la altura por la que circula el flujo implica una disminución de la aceleración de este al pasar sobre el obstáculo y, por tanto, un aumento en la presión. Esta desaceleración del flujo en la zona del obstáculo, producto de la lejanía con respecto a los límites superior e inferior del dominio, provoca una reducción de la fuerza de arrastre, lo que ocasiona una disminución de CD. De esta manera, se atenúa la interferencia de los límites del dominio en los resultados.
4. CONCLUSIONES
Se estudió el efecto de tres razones de bloqueo (20 %, 10 % y 5 %) en una sección angular de alas iguales con el empleo del código OpenFOAM. Como variables dependientes se utilizaron los coeficientes de arrastre y sustentación. Para realizar este estudio se emplearon simulaciones transitorias de 16 s sin el empleo de modelos de turbulencia mediante el algoritmo PisoFOAM.
El análisis estadístico de los resultados permitió establecer como conclusiones que el dominio con un 5 % de bloqueo presenta los valores medios de C D y CL, más confiables a partir del comportamiento de los estadígrafos monitoreados. La tendencia de las variables dependientes C D y C L es a generar una distribución normal de frecuencias.
El dominio de 5 % de bloqueo presenta la menor interferencia de los límites del dominio en los resultados de C D y C L, producto de la condición de contorno de no deslizamiento.



























