Servicios Personalizados
Revista
Articulo
Indicadores
-
Citado por SciELO -
Accesos
Links relacionados
-
Citado por Google -
Similares en
SciELO -
Similares en Google
Compartir
Boletín de Investigaciones Marinas y Costeras - INVEMAR
versión impresa ISSN 0122-9761
Bol. Invest. Mar. Cost. vol.50 supl.1 Santa Marta dic. 2021 Epub 13-Dic-2021
https://doi.org/10.25268/bimc.invemar.2021.50.suplesp.934
Artículos de Investigación
Características de mezcla de submesoescalas en las bahías del Estrecho de Gerlache (Antártida)
1Center for global Sea Level Change, NYUAD, Abu Dhabi UAE. jhon.mojica@nyu.edu
2Courant Institute of Mathematical Science, NYUNY, New York, USA
3Grupo de Investigación en Oceanología (GIO), Escuela Naval de Cadetes Almirante Padilla, Cartagena de Indias, Colombia
Measurements of turbulence in the ocean are sparse, especially in environments such as Antarctica. Here we map the spatial distribution of diapycnal diffusivities and the water column characteristics across the three main bays in the Gerlache Strait on the western side of the Antarctic Peninsula. The measurements were recorded during the Fifth Colombian Antarctic Expedition, 2018-2019, using a Vertical Microstructure Profiler in free fall for the first 400 m depth, to record fluctuations of vertical shear at dissipation scales (10 -3 - 10 3 m). Diapycnal diffusivities are higher by 1-2 orders of magnitude in the Gerlache mainstream compared with the interior bays, with values from O (log 10kρ= -3 m2s-1) to O (log 10kρ= -5 m2s-1) respectively over the upper 400 m. The highest mixing values were recorded in the southern section of Gerlache Strait (Flandes Bay) compared to the northern one (Charlotte Bay), indicating better well-mixed water in the south. Observed Hot Spots of higher turbulence levels may be associated with the interaction of the entrance of the Upper Circumpolar Depth Water, the Antarctic Surface Water, and the Weddell Sea Deep Waters with resident waters and topography.
KEYWORDS: Sea ice; Antarctic Ocean dynamics; Diapycnal mixing; Gerlache Strait; Mixing.
Las medidas de turbulencia en el océano son escasas, especialmente en ambientes como la Antártida. En este trabajo presentamos un mapa de distribución espacial de las difusividades diapicnas y de las características de la columna del agua a través de las tres principales bahías del estrecho de Gerlache. Las medidas fueron registradas durante la quinta expedición colombiana a la Antártida, 2018-2019, usando un perfilador de microestructura vertical en caída libre sobre los primeros 400 m de profundidad, para registrar las fluctuaciones de la cizalla vertical a escalas de disipación (10-3 - 103 m). La difusividad diapicna es alta, entre 1-2 órdenes de magnitud sobre la corriente principal de Gerlache, comparada con el interior de las bahías, con valores que van desde O (log 10kρ= -3 m2s-1) hasta O (log 10kρ= -5 m2s-1) respectivamente sobre los primeros 400 m. Los valores más elevados de mezcla fueron registrados en la sección sur del estrecho de Gerlache (bahía Flandes) comparados con los valores de la sección norte (bahía Charlotte), indicando la presencia de agua bien mezclada. Hay zonas más activas (Hot Spots) que presentan altos niveles de mezcla turbulenta y pueden ser asociadas con la interacción producida por la entrada de masas de agua como la Upper Circumpolar Depth Water, la Antarctic Surface Water, y la Weddell Sea Deep Water, con el agua que reside en las bahías y la topografía que presenta cada una de estas.
PALABRAS CLAVE: Hielo-océano; Dinámica oceánica antártica; Mezcla diapicna; Estrecho de Gerlache; Mezcla.
INTRODUCCIÓN
El océano y el hielo marino alrededor de la Antártida son los principales mediadores del intercambio de calor e impulso con la atmósfera. La variación del intercambio está determinada en gran medida por la interacción entre estos componentes en la zona marginal de hielo marino, que tiene efectos variables en diferentes áreas alrededor de la Antártida. La forma en que el hielo marino responde a los cambios atmosféricos y oceánicos está relacionada en gran medida con las propiedades físicas de cada componente. Las propiedades del océano cambian de acuerdo con la intensidad de diferentes procesos y estructuras como olas internas, mareas, turbulencias y mezcla diapícnal, entre otros. Estos procesos también afectan la tasa de derretimiento y desprendimiento de las plataformas de hielo. Una mejor caracterización de estos procesos es clave para comprender la circulación a escala global y el transporte de calor, nutrientes y otros trazadores climáticos y ecológicos importantes.
Un énfasis particular para la oceanografía es comprender procesos como la mezcla turbulenta a escala fina y submesoescala (10 -3 - 10 3 m) debajo de la capa de mezcla. Este rango de escala abarca la transición desde la propagación simple de onda-onda a lo largo de los límites de masas de agua hasta una mezcla turbulenta en la que el calor y la salinidad, entre otros, se intercambian verticalmente (Sheen et al., 2013). Varios estudios han resaltado la importancia de la mezcla turbulenta de las corrientes alrededor de la Península Antártica (es decir, Venables et al., 2014), pero el impacto de la mezcla en áreas interiores como las bahías en el Estrecho de Gerlache (GS) sigue siendo poco estudiado. Por ello, ubicamos nuestras estaciones oceanográficas en las bahías únicas, pero de difícil acceso en el GS para obtener información detallada sobre la disipación de energía producida por la intrusión de agua no residente, así como sus propiedades y dinámica para comprender cómo impacta en el medioambiente local. Hasta donde sabemos, actualmente existe una brecha en los datos relacionados con la mezcla en esta área.
Aquí presentamos datos de microestructura de turbulencia de alta resolución recopilados durante la Quinta Expedición Antártica Colombiana 2018-2019, a bordo del ARC 20 de Julio. El conjunto de datos fue recopilado por un Perfilador de medición vertical (VMP) de caída libre de Rockland Scientific, en tres bahías en el GS para mapear la intensidad de la mezcla turbulenta en el área. Este trabajo tiene como objetivo caracterizar la dinámica del océano en el GS a las escalas más pequeñas, en particular, para calificar y cuantificar la mezcla diapícnal y su variabilidad espacial. La mezcla diapicna es un proceso relevante porque controla los flujos verticales de propiedades biológicas y físicas (Masson, 2002).
El manuscrito está estructurado de la siguiente manera: En la Sección 2 presentamos el área de estudio y describimos la dinámica del océano en el GS. Los datos y la metodología se describen en la Sección 3, donde detallamos el sistema de adquisición y los métodos aplicados para estimar la difusividad diapícnal del VMP. Las propiedades de la columna de agua y los niveles de mezcla se describen en la Sección 4, y en la Sección 5 se presenta un análisis sobre cómo la entrada de aguas antárticas desde el sur influyen en la estabilidad de las bahías. Finalmente, la Sección 6 resume las principales conclusiones de este trabajo, incluyendo cómo la entrada del agua circumpolar profunda mejora la turbulencia en Bahía Flandes y crea una capa de agua bien mezclada a medida que se mueve hacia el norte hacia Bahía Charlotte.
ÁREA DE ESTUDIO
El Estrecho de Gerlache (GS) se encuentra en la Antártida más septentrional, donde separa el Archipiélago Palmer de la Península Antártica (Figura 1). Es de alrededor ~150 km de largo y ~10 km de ancho, con ~600 m de profundidad media, y contiene tres bahías interiores principales: Flandes, Andvord y Charlotte (de sur a norte respectivamente). Es un área caracterizada por una circulación principalmente de sur a norte de aguas superficiales antárticas (AASW) y aguas profundas circumpolares superiores (UCDW) en los 400 m superiores (Savidge y Amft, 2009). El AASW es una masa de agua fría y dulce afectada por la descarga de agua de deshielo continental, el deshielo estacional del hielo marino y los efectos atmosféricos, que pueden controlar el flujo de calor superficial y la formación de hielo marino (Valkonen et al., 2008). Durante el calentamiento del verano, el AASW puede ocupar los 100 m superiores de la columna de agua, donde puede afectar la tasa de derretimiento y retroceso de los glaciares circundantes (Cook et al., 2014). Debajo de ~100 m, el UCDW es cálida y salada e inunda el GS. Desde el norte, hay una entrada subterránea de un núcleo de aguas profundas del mar de Weddell (WSDW) (Smith et. Al., 1999). El WSDW es más fría y salada que el UCDW; cada masa de agua tiene una firma de agua característica. La entrada de estas aguas influye en la etapa de hielo dentro del GS, una región donde la zona costera ha venido sufriendo cambios rápidos y fuertes durante las últimas décadas (Lencina-Avila et al.2018).

Figura 1 a. Mapa del Estrecho de Gerlache. (Entrada) ubicación en el extremo norte de la Antártida. (Flechas negras) Patrón de circulación oceánica principal hasta 400 m de profundidad, basado en Savidge y Amft (2009). (Cuadrados segmentados) Ubicación de las principales bahías de Gerlache, b. Bahía Flandes, c. Bahía Andvord, y d. Bahía Charlotte. (Estrellas) indican la ubicación de las estaciónes oceánicas VMP en la corriente principal de Gerlache. (Puntos) ubicación de las estaciones oceánicas VMP en el interior de las bahías. La leyenda de color identifica la ubicación y el número de estación VMP seleccionado para representar los diferentes diagramas en el manuscrito.
METODOLOGÍA
Perfilador de microestructuras
El conjunto de datos presentado para este trabajo fue adquirido a bordo del buque de la Armada de Colombia ARC 20 de Julio y su embarcación clase defender, del 27 de diciembre de 2018 al 4 de enero de 2019, durante la Quinta Expedición Antártica Colombiana 2018-2019. Se utilizó un Perfilador de Microestructura Vertical (VMP) 250 (Figura 2a) para caracterizar la microestructura de la columna de agua. El VMP-250 tiene cinco sensores: dos sondas de corte, un termistor, uno de microconductividad y uno para presión (Figura 2b). El equipo viene con calibración de fábrica. El VMP-250 es un equipo de alta resolución con una frecuencia de muestreo de 512 Hz, que puede registrar la microestructura de la columna de agua en la escala de centímetros durante el despliegue en caída libre. Para obtener mediciones de cizallamiento precisas, el perfilador requiere un descenso suave y libre para minimizar la contaminación por la vibración de las señales de cizallamiento medidas. Se utilizó un cabrestante de desacoplamiento de movimiento PID-2 (Figura 2a) para mantener un despliegue de caída libre proporcionando una cuerda floja para garantizar que el instrumento caiga lo más libremente posible. La velocidad media de caída en estas condiciones fue de ~ 0,85 m s-1. La profundidad del fondo marino en tiempo real fue registrada por el multihaz y el sonar a bordo del barco. La cuerda del cabrestante se marcó cada 10 metros, alcanzando una longitud máxima de cuerda de 400 m. Además, se utilizó una polea de medición durante las estaciones de Bahía Charlotte para controlar la cantidad de cuerda desplegada.

Figura 2 a. Equipo utilizado durante las estaciones oceanográficas, un VMP-250 y el cabrestante PID-02. b. primer plano de los sensores (temperatura, conductividad, cizallamiento, presión) utilizados durante la expedición.
Para estudiar la microestructura del GS, se ocuparon tres secciones transversales a lo largo de su longitud desde la entrada principal de agua en el suroeste hasta la salida en el noreste. Cada sección comienza desde la corriente principal de Gerlache (es decir, el canal principal de profundidad de Gerlache) y atraviesa el interior de cada bahía. La primera sección termina dentro de Bahía Flandes, la segunda dentro de Bahía Andvord y la tercera en la entrada de Bahía Charlotte (Figura 1). Las tres secciones exhiben cambios suaves en la topografía. Las ubicaciones precisas de las estaciones se dan en la Tabla 1 (material complementario).
Monitoreamos 26 estaciones VMP en total, con una separación promedio de 2 km por cada sección de bahía, para registrar la variabilidad desde el borde de la plataforma de hielo hasta la corriente media del GS. El ARC 20 de Julio, que no es un rompehielos, se utilizó para registrar las estaciones de Charlotte; solo 6 de las 10 estaciones propuestas en la bahía de Charlotte se registraron debido a la gran condición de hielo marino. Se utilizó un barco de clase defensiva para los despliegues en las otras bahías (Andvord y Flandes) para llegar a áreas con una capa de hielo marino casi completa. Las tres secciones se realizaron con alta sinóptica (~ 5 horas por sección).
El software MotoCross y RSILink, proporcionado por Rockland Scientific, se utilizó para acceder al conjunto de datos que se registró en la memoria interna de la computadora (persistor) del VMP. El procesamiento se realizó con Matlab 2018B. Convertimos el conjunto de datos a unidades físicas después de correlacionarlo con la velocidad de generación de perfiles (para estar seguros de la caída libre), luego eliminamos picos y banderas defectuosas aplicando un filtro de paso bajo a 1 Hz para identificar las vibraciones detectadas por los acelerómetros internos. Para el análisis solo se utilizaron los datos registrados durante la caída libre, para asegurar la estabilidad de la velocidad vertical, ya que en este caso no hubo perturbación de la columna de agua debido al equipo. Los valores de corte se registraron individualmente por dos sensores diferentes para identificar posibles fallas de funcionamiento o datos ruidosos. La media de las tasas de disipación se estimó a partir de las dos sondas.
Difusividad diapicna
La tasa de disipación de energía turbulenta (ε) está relacionada con la transferencia de energía cinética de escalas grandes a pequeñas en términos de fluctuaciones de la velocidad del flujo (Kolmogorov, 1941). Asumiendo la isotropía como condición, el GS puede crear remolinos de diferentes tamaños que están limitados por la estratificación del flujo. La inestabilidad de cizallamiento es un mecanismo común de transferencia de energía desde la estabilidad a la turbulencia y puede cuantificarse como una tasa de producción mediante la teoría de Reynolds:
dónde (-u’w’) es el estrés de Reynolds y ( ∂U / ∂z ) es la cizalla media. Las interacciones de remolinos producen una cascada de energía desde escalas más pequeñas hasta escalas moleculares donde la energía se transfiere de mecánica a calórica en el orden de la viscosidad molecular cinemática (ν) siguiendo:
dónde ( Ψ ) es el espectro de la cizalla (Nasmyth, 1970). Siguiendo a Oakey (1982), calculamos el espectro empírico de Nasmyth. El espectro de energía se calculó mediante la Transformada Rápida de Fourier (FFT) para identificar la firma del proceso que impulsa la dinámica de la columna de agua. Elegimos una longitud FFT de 0,1 m para resolver el menor número de onda de los procesos que se pueden desarrollar en la zona. Una vez conocido se procede a estimar la mezcla vertical a través de la difusividad diapícnal. ( k p ), que influye en la fuerza y el patrón de la circulación oceánica y determina la heterogeneidad del calor y la sal en diferentes escalas espaciales (Steward, 2008). La relación para cuantificar k p Fue propuesta por Osborn (1980):
dónde Γ = 0.2 es la eficiencia de mezcla empírica definida por Osborn y Cox, (1972), y N es la frecuencia de flotabilidad. Un promedio oceánico global para valores estimados de mezcla vertical de k p ≈ 10-4m2s-1, y la difusividad pelágica media viene dada por k p ≈ 10-5m2s-1 (Thorpe, 2005). Siguiendo esta metodología, podemos producir un mapa 2D en términos de mezcla que describe la dinámica general de la microestructura en el GS.
Entre los procesos que proporcionan energía a la circulación oceánica en el GS, podemos contar los icebergs rodantes, las olas internas que rompen, la convección y las intrusiones (Arneborg et al. 2004). Como enfoque inicial para identificar cuál de estos podría ser responsable de los niveles de mezcla medidos, calculamos el ángulo de Turner (McDougall et al., 1988).
Dónde β es el coeficiente de contracción de la salinidad, α es el coeficiente de expansión térmica, θ es la temperatura potencial, S es la salinidad, y z se define positivo al alza. Valores de ángulo de -45° ≤ T U ≤ 45° indican condiciones estables del océano, mientras 45° ≤ T U ≤ 90° indica que la estabilidad está disminuyendo por la sal, una condición en la que pueden desarrollarse procesos de dedos de sal.
RESULTADOS
Contexto hidrográfico
Hay un cambio claro en las propiedades de la masa de agua de los 400 m superiores de la columna de agua desde la entrada sur del GS (junto a la isla Anvers sobre 63,68 °W) hasta la salida norte (isla de Liege sobre 61,63 °W). El AASW se identifica a una profundidad máxima de ~ 100 m. El agua poco profunda se calienta a medida que circula hacia el norte, donde se registró una temperatura superficial máxima de 2,6 °C, frente a una máxima de 1,2 °C en el sur. Existe una termoclina estacional a unos 80 m de profundidad que funciona como capa límite entre las aguas poco profundas e intermedias. En general, existe un rango de salinidad similar en las tres secciones en los 400 m superiores de la columna de agua. Se registró un valor mínimo de 33,4 psu en las aguas superficiales de la sección de Flandes, posiblemente debido al agua dulce procedente del derretimiento del hielo procedente de las regiones del sur. Una capa de interfaz separa el AASW y el uCDW, y esto se puede ver claramente en las variaciones de temperatura y densidad, producidas por la dinámica interna provocada por la mezcla de las diferentes masas de agua que ingresan al GS (Figura 3). La sección de la Bahía de Flandes se destaca porque su pequeña variabilidad de temperatura en los 400 m superiores de la columna de agua (rango 1,2 - 0,3 °C) indica que el uCDW tiene temperaturas más altas que las registradas a profundidades menores. El uCDW se caracteriza por un núcleo de agua tibia alrededor de ~ 150 m de profundidad, donde alcanza una temperatura de 1.0 °C y una salinidad de 34.4 psu. Estas propiedades son típicas en las regiones dónde la precipitación domina sobre la evaporación y se denomina estratificación difusa (Kelley et al., 2003). Esta configuración de capas difusivas cambia en la sección de Andvord, donde se puede identificar la mezcla de uCDW y WSDW, impactando capas por debajo de 100 m, con un valor de salinidad superior de 34,5 psu en comparación con la sección de Flandes. El agua más profunda aquí es más fría y más densa que la bahía de Flandes. La sección de Charlotte tiene el rango de temperatura más grande (2.8 a -0.7 °C). Aquí, el AASW poco profunda es más cálida y el agua más profunda es más fría con una marca clara de WSDW que influye en la dinámica del área. Los cambios de densidad son impulsados principalmente por la temperatura más que por la salinidad.

Figura 3 Diagrama T-S en Bahía a. Flandes, b. Andvord y c. Charlotte respectivamente, a partir de los perfiles de datos completos de VMP. d. frecuencia de flotabilidad, y e. ángulo de Turner para seis estaciones representativas, tres ubicadas sobre la corriente principal de Gerlache y tres dentro de las bahías de estudio. En c. ubicamos cajas con la ubicación de las principales masas de agua.
La frecuencia de flotabilidad identifica el área como débilmente estratificada, con agua estratificada poco profunda que se presenta esporádicamente (~ 100 m) en la sección de Flandes y junto a cada entrada de la bahía donde residen las aguas locales (excepto la bahía de Andvord). La Nmedia es de 0,42 cph, mientras que la flotabilidad media del océano es de ~ 3 cph (Figura 3d). La estratificación baja indica un sistema propenso a intrusiones que puede producir agua bien mezclada. La mayoría de los perfiles se caracterizaron por valores de ángulo de Turner de 40° ≤ T U ≤ 55°, lo que implica la presencia potencial de dedos de sal. En la sección de Flandes, las aguas poco profundas están fuertemente estratificadas (< 100 m) siendo la única agua que no es propensa a desarrollar dedos de sal, producto del agua fría que se produce principalmente al derretirse. La entrada de aguas poco profundas más cálidas desde el norte decreta la estabilidad. La transición del agua es clara y casi constante en la bahía de Charlotte (Figura 3C). A partir de aquí podemos identificar la relevancia de la batimetría y la ubicación (norte-sur) de la estabilidad del agua.
Mezclar medidas
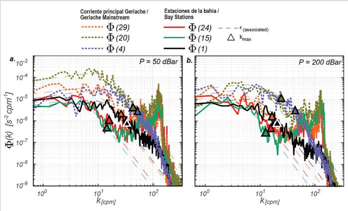
La alta resolución de los sensores de cizallamiento instalados en el VMP-250 nos permitió calcular el espectro empírico Nasmyth en el GS (Figura 4). Las altas concentraciones de energía son evidentes sobre las estaciones ubicadas en la corriente principal de Gerlache, donde circula la mayor parte del uCDW y el WSDW. Los triángulos de la Figura 4 identifican el número de onda máximo para estimar la tasa de disipación; por encima de este límite, el ruido del instrumento prevalece sobre las mediciones. El número de onda máximo para estimar el límite superior de integración es 46 cpm. La ε asociada con cada espectro representa la variación de energía espacial para cada masa de agua. Los valores más bajos están asociados con las estaciones dentro de las bahías. (ε = 5 × 10-10 Wkg -1), mientras que el valor más alto se ubicó en la corriente principal (ε = 3 × 10-8 Wkg -1) a una profundidad y ubicación asociadas con la uCDW. La ε asociada con la presencia de WSDW tiene los valores de energía más bajos.

Figura 4 Espectro de energía de número de onda a a. 50 my b. 200 metros de profundidad para tres estaciones dentro de cada bahía y tres estaciones sobre la corriente principal de Gerlache. Se eligió una profundidad de 50 y 200 m para ilustrar la influencia de los procesos convectivos directos que dominan las aguas poco profundas. Las líneas punteadas indican el espectro predicho en números de onda altos donde el ruido del instrumento domina las mediciones.
La variabilidad de ε con profundidad se estimó en bins de 3 m, resultando en un valor promedio de ε = 2 × 10-8 Wkg -1 con picos notables y esporádicos de O (ε = 1 × 10-10 Wkg -1) dentro de las bahías y O (ε = 3 × 10-6 Wkg -1) en la corriente principal de Gerlache a alrededor de ~ 200 m de profundidad (Figura 5), donde se encuentra la interfaz de agua. La variabilidad en superficie y durante los primeros 100 m es mayor que en profundidad debido a la influencia del viento y la atmósfera, de acuerdo con la estratificación del agua (N). Por debajo de 100 m, la estratificación es esencialmente uniforme y ε en las estaciones ubicadas sobre la corriente principal de Gerlache es más grande en uno o dos órdenes de magnitud que en las bahías, en gran parte debido a la interacción batimetría y cizalladura del agua. Las secciones del perfil vertical de disipación en función de la profundidad (Figura 5) tienen valores uniformes de disipación (mismo orden de magnitud). Por ejemplo, las estaciones en la corriente principal de Gerlache muestran una gran ε en diferentes rangos de profundidad, esto indica rangos de profundidad sobre los cuales se está produciendo un vuelco vertical del agua. Esto ocurre principalmente donde las diferentes masas de agua se encuentran y se entrelazan y así se mezclan. Los resultados están de acuerdo con Ross y Lavery (2010) que informan un promedio de ε = 1 × 10-9 Wkg -1 cerca de la isla de Anvers.

Figura 5 Tasas de disipación de estaciones VMP representativas sobre el Estrecho de Gerlache. Tamaño del bin 3 m. Estación 29 (70-80 m); Estación 20 (210-260 m) y Estación 4 (120-170 m), se encuentran los valores máximos de ε, dónde se encuentran las profundidades y la ubicación de las masas de agua.
DISCUSIÓN
Niveles más altos de disipación de energía (es decir, ε > 10-8 Wkg -1) están relacionados con el intercambio de energía y la disipación turbulenta producida por la entrada de uCDW y AASW al GS. Esta suposición se evidencia en la ubicación de la profundidad del máximo de ε (Figura 5), dónde las masas de agua se mezclan y erosionan, así como la firma de las masas de agua originales. En la ubicación de Flandes, hay una transferencia de energía de las aguas superiores más cálidas y profundas a las más frías que libera energía potencial del campo de temperatura. Esta compensación produce una capa bien mezclada marcada por gradientes de densidad. La mezcla diapycnal que ocurre en algunos lugares se confirma por la reducción del gradiente de densidad vertical de aguas profundas registrado en las estaciones interiores. Por ejemplo, al comparar bahías, se puede ver en la Figura 3f, que la picnoclina está mucho más erosionada en Flandes que en Bahía Andvord o Bahía Charlotte. El aumento de los valores de mezcla de Bahía Flandes a Andvord y Charlotte, está relacionado con la reducción en la estratificación de la picnoclina (Figura 3g-h); esto podría producirse por el predominio de los procesos turbulentos reflejados en los valores más bajos tanto de la flotabilidad del agua como del ángulo de Turner.
Se requieren valores altos de la frecuencia de flotabilidad para mantener el equilibrio del flujo diapícnal vertical; debido a esta falta de estabilidad, el sistema es propenso a producir un vuelco en toda la columna de agua. Una estratificación débil permite las entradas del uCDW al GS, lo que trae menores niveles de oxígeno (220 µmol kg-1), y debido a procesos biológicos puede llegar a 37 µmol kg-1 en el área (Torres et al., 2020). La mezcla y la interacción de las masas de agua pueden afectar los ciclos biológicos como la migración vertical. La estratificación más baja también afecta la estabilidad del sistema cuantificada por Tu. Hay un área donde la columna de agua completa es propensa a cambiar fácilmente su condición de estable a digitación de sal en Bahía Charlotte. La bahía de Charlotte es el primer lugar afectado por la entrada de agua más fría del norte (WSDW), que interactúa con agua relativamente más cálida del sur (uCDW); esta interacción crea un valor decreciente de la temperatura potencial y las condiciones de salinidad en profundidad para desarrollar el proceso de doble difusión. En las bahías del sur la estabilidad se ve reforzada por la notable presencia de uCDW por debajo del AASW, pero solo hasta los primeros 100 m de profundidad donde el sistema pierde la estratificación y se puede producir un proceso de doble difusión como los dedos de sal (Figura 3h).
La difusividad diapícnal calculada en el GS da un valor medio de O (log 10 k ρ = -4.7 m2 s-1) en la sección de Flandes, O (log 10 k ρ = -4.9 m2 s-1) en la sección Andvord, y O (log 10 k ρ = -5.3 m2 s-1) en la sección de Charlotte (Figura 6). En todas las secciones los valores más altos de k ρ ocurren en la superficie debido a la ventilación con la atmósfera. Esto implica un mayor nivel de energía que se puede transferir del océano a los glaciares, acelerando el retroceso de los glaciares ubicados en el área de estudio (Torres et al., 2020). El mapa diapicna es irregular, con claros puntos activos en la capa superior mixta; estos se ubican principalmente en la entrada de cada bahía, donde hay un ligero cambio de topografía. Las aguas residentes funcionan como una barrera natural resistiendo la erosión y el impacto de aguas externas con temperaturas más altas que podrían impactar directamente las bahías de los glaciares interiores. La ubicación de los puntos calientes implica que puede haber interacción con las aguas residentes en las bahías a tales profundidades. Las bahías están configuradas de tal manera que cada borde sur actúa como una barrera térmica y mecánica a la circulación principal sur-norte del GS, reduciendo así la mezcla diapícnal al reducir la interacción agua-masa. Comparando las tres secciones de suroeste a noreste, hay un claro aumento de la disipación en la parte sur donde la mezcla se concentró en las aguas someras (interacción AASW - uCDW). En la parte norte, la mezcla se concentró en la interfaz uCDW - WSDW.

Figura 6 Secciones de difusividad diapícnal calculadas en escala logarítmica sobre Bahía a. Flandes, b. Andvord y c. Charlotte. Las líneas discontinuas identifican la ubicación de cada estación VMP.
Para confirmar si la entrada de uCDW y AASW puede proporcionar la energía para la mezcla observada, consideramos si la radiación de ondas internas es relevante en esta área. Este es el nivel de propagación de las ondas internas con respecto a la batimetría, la corriente y la estabilidad del agua. Para ello, calculamos el parámetro de inclinación:
dónde H rms es la altura RMS de la topografía; obtenemos un valor pico medio de 0,2. Valores S < 0.3 indican que el 10 % o menos de la energía de las ondas internas se disipa localmente, lo que confirma una transición de un régimen de oscilación lineal a uno inercial (Nikurashin y Ferrari, 2011). Este valor bajo indica que es probable que la mayor parte de la energía proporcionada para la turbulencia y mezcla observadas en las capas intermedias sea producida por la interacción onda-onda. A partir de la distribución del espectro de energía a diferentes profundidades (Figura 4), se observa una interacción no lineal con las variaciones de energía en las interfaces de agua donde se encontraba la entrada de uCDW y AASW. Se necesitarán más estudios para confirmar esta hipótesis.
El AASW se mueve alrededor del lado oeste de la Península Antártica, impactando la parte poco profunda de las plataformas de hielo locales y sus glaciares. El impacto provoca pérdida de estabilidad de las aguas en la parte norte del GS en términos de temperatura, menor estratificación y mayores valores de mezcla vertical. Existe un claro intercambio de propiedades entre el uCDW y el ramificacion del WSDW que ingresa a las aguas intermedias del GS desde el norte. Esto puede producir un proceso de entrelazado debido a la variabilidad de la temperatura y la salinidad (variación espacial diapicna). El uCDW tiene la energía más alta disponible para producir el tipo de mezcla que potencialmente puede afectar las bahías de Gerlache. Dado que la circulación principal y la capa de hielo marino protegen las propiedades del agua interior de las bahías, las aguas residentes se ven afectadas solo ligeramente por esta intrusión. Otro factor a considerar es la batimetría: la suave pendiente desde el cauce Gerlache hacia el interior de las bahías ayuda a bloquear la entrada de aguas externas. En Bahía Flandes, el flujo de agua interactúa con la batimetría, lo que sugiere la generación de ondas internas. Esta podría ser una fuente de energía para la mezcla registrada en esta área.
CONCLUSIONES
Por primera vez, se cuantificó con éxito un mapa de difusividad diapícnal de verano en las principales bahías del Estrecho de Gerlache. Los perfiles de mezcla y difusividad diapícnal cuantificados con los sensores de cizallamiento VMP son consistentes con la variación de las propiedades internas del agua medidas por los sensores de temperatura y salinidad en la vertiente principal de Gerlache desde el suroeste hacia el noreste y desde la corriente principal hasta el interior de las bahías. La estratificación es significativamente más débil cuando nos movemos hacia el noreste, debido a la erosión de la termoclina de verano por el cizallamiento y la mezcla desarrollada antes en el suroeste. Los valores máximos de difusividad diapícnal cambian de log 10 k ρ = -2.5 m2 s-1 en la sección de Flandes para log 10 k ρ = -3.1 m2 s-1 en la sección de Charlotte, lo que implica aguas bien mezcladas en la parte norte del GS. Los altos niveles de estabilidad de las aguas dentro de cada bahía combinados con bajos valores de k ρ , puede influir en la cantidad de hielo marino producido en cada bahía. Los valores de k ρ muestran que una gran cantidad de energía está potencialmente disponible para producir mezclas en la parte norte donde entra el WSDW, y aguas poco profundas en la parte sur del GS. Este resultado debería motivar más estudios para identificar los diferentes mecanismos de mezcla que pueden impactar los flujos de propiedades y nutrientes del uCDW al AASW, afectando los sistemas físicos, biológicos y químicos. Para identificar los procesos de mezcla predominantes que se originan en la zona, desplegaremos un ADCP paralelo para medir las velocidades actuales en una futura expedición.
Aquí, hemos identificado un patrón espacial que relaciona la intrusión de uCDW con el agua residente en las bahías. Esta interacción produce una variedad de aguas bien mezcladas en las bahías del estrecho de Gerlache. Este patrón coincide con la ubicación de los puntos calientes de mayores niveles de mezcla turbulenta y la variabilidad de las propiedades del agua en toda la columna de agua en Gerlache. Los procesos de entrelazado pueden estar presentes en la entrada de cada bahía. Otra consideración es qué tan rápido (espacialmente) podría cambiar la temperatura del AASW. Las bajas temperaturas en la ubicación de producción primaria son una condición para capturar el dióxido de carbono (CO2) atmosférico, condiciones que observamos en Bahía Flandes pero no en Charlotte. Estos procesos necesitan más investigación en el contexto del cambio climático, que se asemeja a variaciones de la masa de agua que pueden suministrar energía (calor) que contribuye al ciclo de derretimiento de los glaciares en el área y las zonas de secuestro oceánico de CO2. En un trabajo posterior, cuantificaremos la producción, incidencia y disipación de olas y mareas internas en el área.
AGRADECIMIENTOS
Esta investigación fue apoyada por el Centro para el Cambio Global del Nivel del Mar (CSLC) del Instituto de Investigación de la Universidad de Nueva York Abu Dhabi (NYUAD) (G1204) en los EAU, y el Programa Antártico Colombiano (PAC). Datos recopilados durante la quinta Expedición Antártica Colombiana 2018-2019. El apoyo logístico para este proyecto en la Antártida fue proporcionado por el ARC 20 de Julio a través de la Armada de Colombia y la CCO. Agradecemos a Clare Eayrs y a todos los colegas del CSLC por la revisión crítica y el apoyo.
REFERENCIAS
Cook, A.J., D.G. Vaughan, A.J. Luckman and T. Murray. 2014. A new Antarctic Peninsula glacier basin inventory and observed area changes since the 1940s. Ant. Sci., 26(6): 614 - 624. [ Links ]
Kelley, D. E., H.J.S. Fernando, A.E. Gargett, J. Tanny and E. Özsoy. 2003. The diffusive regime of double-diffusive convection. Progr. Oceanogr., 56(3 - 4): 461 - 481. DOI: 10.1016/S0079-6611(03)00026-0. [ Links ]
Kolmogorov, A. N. 1941. The local structure of turbulence in incompressible viscous fluid for very large Reynolds numbers. Proc. R. Soc. Lond., 434: 9 - 13. [ Links ]
Lencina-Ávila J., C. Goyet, R. Kerr Rodrigo, I. Orselli, M. Mata and F. Touratier. 2018. Past and future evolution of the marine carbonate system in a coastal zone of the Northern Antarctic Peninsula. Deep-Sea Res. II, 149: 193 - 205. DOI:10.1016/J.DRS2.2017.10.018. [ Links ]
McDougall, T.J., S.A. Thorpe and C.H. Gibson. 1988. Smallscale turbulence and mixing in the ocean: 3-9. In: Nihoul, J.C.J. and B.M. Jamart (Eds.). Small-scale turbulence and mixing in the ocean. Elsevier, Amsterdam. [ Links ]
Masson, D. 2002. Deepwater renewal in the Strait of Georgia. Est. Coast. Shelf Sci., 54: 115 - 126. [ Links ]
Nasmyth, P. W. 1970. Oceanic turbulence. Univ. British Columbia. 71 p. doi: 10.14288/1.0084817. [ Links ]
Nikurashin, M. and R. Ferrari. 2011. Global energy conversion rate from geostrophic flows into internal lee waves in the deep ocean. Geophys. Res. Lett., 38: L08610. doi: 10.1029/2011GL046576. [ Links ]
Oakey, N. S. 1982. Determination of the rate of dissipation of turbulent energy from simultaneous temperature and velocity shear microstructure measurements. J. Phys. Oceanogr., 12: 256 - 271. DOI: 10.1175/1520-0485. [ Links ]
Ross, T. and A. Lavery. 2010. Acoustic detection of oceanic double-diffusive convection: a feasibility study. J. Atmos. Ocean. Tech., 27(3): 580 - 593. [ Links ]
Savidge, D. K. and J.A. Amft. 2009. Circulation in the West Antarctica Peninsula derived from 6 years of shipboard ADCP transects. Deep-Sea Res. I, 56: 1633 - 1655. [ Links ]
Sheen, K. L., J. Brearley, D. N. Garabato, D. Smeed, S. Waterman, J. Ledwell, M. Meredith, L. St. Laurent, A. Thurnherr, J. Toole and A. Watson. 2013. Rates and mechanisms of turbulent dissipation and mixing in the Southern Ocean: Results from the Diapycnal and Isopycnal Mixing Experiment in the Southern Ocean (DIMES). J. Geophys. Res. Oc., 118: 2774 - 2792. DOI: 10.1002/jgrc.2021. [ Links ]
Smith, D.A., E.E. Hofmann, J.M. Klinck and C.M. Lascara. 1999. Hydrography and circulation of the West Antarctic Peninsula continental shelf. Deep-Sea Res. I, 46: 925 - 949. [ Links ]
Stewart, R. 2008. Introduction to physical oceanography. Department of Oceanography. Texas A&M Univ. 345 p. [ Links ]
Thorpe, S. A. 2005. The turbulent ocean. Cambridge Univ., Cambridge. 439 p. [ Links ]
Torres, R., A. Caicedo and J. Iriarte. 2020. Hydrographic conditions during two austral summer situations (2015 and 2017) in the Gerlache and Bismarck straits, northern Antarctic Peninsula. Deep-Sea Res. I, doi: 10.1056/j.dsr.2020.103278 [ Links ]
Valkonen, T., T. Vihma and B. Doble. 2008. Mesoscale modeling of the atmosphere over Antarctic sea ice: A late autumn case study. Mon. Weather Rev., 136: 1457 - 1474. [ Links ]
Venables, E., K. Nichols, F. Wolk, K. Makinson and P. Anker. 2014. Measuring turbulent dissipation rates beneath an Antarctic ice shelf. Mar. Tech. Soc. J., 48(5). [ Links ]
Recibido: 05 de Septiembre de 2019; Aprobado: 17 de Junio de 2020










texto en 









