Servicios Personalizados
Revista
Articulo
Indicadores
-
Citado por SciELO -
Accesos
Links relacionados
-
Citado por Google -
Similares en
SciELO -
Similares en Google
Compartir
Ingeniería y Universidad
versión impresa ISSN 0123-2126
Ing. Univ. v.16 n.1 Bogotá ene./jun. 2012
Método para determinar las propiedades termodinámicas de mezclas combustibles considerando doce especies químicas en los productos1
A Method to Determine the Thermodynamic Properties of Fuel Mixtures Considering Twelve Chemical Species in the Products2
Método para determinar as propriedades termodinâmicas de misturas combustíveis considerando doze espécies químicas nos produtos3
Simón Jesús Fygueroa-Salgado4
Juan Carlos Serrano-Rico5
José Rodolfo Molina-Mojica6
1Este artículo se deriva de un proyecto de investigación denominado Modelo termodinámico del ciclo de los motores diésel. Número de registro I-569-97-02-A de la Coordinación de Desarrollo Científico, Humanístico, Tecnológico y Artístico de la Universidad de Los Andes, Mérida, Venezuela, desarrollado por los grupos de investigación Grupo de Ingeniería Mecánica de la Universidad de Pamplona (Gimup) y Grupo de Motores Térmicos (Grumote), Universidad de Pamplona, Pamplona, Colombia, y la Universidad de Los Andes, respectivamente.
2Submitted on December 6, 2010. Accepted on September 23, 2011. This article is the result of the research project Thermodynamic Model of the Cycle of Diesel Engines. Developed by the research groups Grupo de Ingeniería Mecánica de la Universidad de Pamplona (Gimup), Universidad de Pamplona, Pamplona, Colombia; and Grupo de Motores Térmicos (Grumote), Universidad de Los Andes, Mérida, Venezuela. Registration number I-569-97-02-A of the Coordinación de Desarrollo Científico, Humanístico, Tecnológico y Artístico, Universidad de Los Andes, Mérida, Venezuela.
3Data de recepção: 6 de dezembro de 2010. Data de aceitação: 23 de setembro de 2011. Este artigo deriva de um projeto de pesquisa denominado Modelo termodinâmico do ciclo dos motores diesel. Número de registro I-569-97-02-A da Coordenação de Desenvolvimento Científico, Humanístico, Tecnológico e Artístico da Universidade de Los Andes, Mérida, Venezuela, desenvolvido pelos grupos de pesquisa Grupo de Engenharia Mecânica da Universidade de Pamplona (Gimup) e Grupo de Motores Térmicos (Grumote), Universidade de Pamplona, Pamplona, Colômbia, e a Universidade de Los Andes, respectivamente.
4Ingeniero mecánico, Universidad Nacional de Colombia, Bogotá, Colombia. Máster en Motorización Civil, Instituto Politécnico de Torino, Turín, Italia. Doctor Ingeniero Industrial, Universidad Politécnica de Valencia, España. Profesor asistente, Departamento de Ingeniería Mecánica, Universidad de Pamplona, Pamplona, Colombia. Profesor titular, Escuela de Ingeniería Mecánica, Universidad de Los Andes, Mérida, Venezuela. Correo electrónico: figueroa@ula.ve.
5Ingeniero mecánico, Universidad Francisco de Paula Santander, Cauca, Colombia. Magíster en Ingeniería Mecánica, Universidad de Los Andes, Mérida, Venezuela. Profesor asistente, Departamento de Ingeniería Mecánica, Universidad de Pamplona, Pamplona, Colombia. Correo electrónico: jcserrano@unipamplona.edu.co.
6Ingeniero mecánico, Universidad de Pamplona, Pamplona, Colombia. Correo electrónico: rodolfo8311@hotmail.com.
Fecha de recepción: 6 de diciembre de 2010. Fecha de aceptación: 23 de septiembre de 2011.
Resumen
En este artículo se expone un método para determinar teóricamente la composición en equilibrio, las propiedades termodinámicas y la temperatura de llama adiabática de los productos de combustión de una mezcla aire-combustible reactiva, considerando que los productos están constituidos por doce especies químicas. Se supone que el combustible es un hidrocarburo oxigenado y que el aire está compuesto por oxígeno, nitrógeno y argón. Al aplicar condiciones de conservación de masa y equilibrio químico a la reacción de combustión, se obtiene un sistema cerrado de ecuaciones algebraicas que se linealiza mediante expansión en series de Taylor y se resuelve usando el método de eliminación de Gauss con pivoteo. Con este método se pueden hacer análisis teóricos del proceso de combustión que ocurre en los motores de combustión interna alternativos. Los resultados obtenidos al aplicar el programa computacional desarrollado a la combustión del alcohol etílico C2HóO muestran que la concentración de NO en los productos disminuye al aumentar el dosado relativo de la mezcla, mientras que las concentraciones de H2O, H2 y CO aumentan al crecer dicho dosado, y que la temperatura de llama adiabática alcanza su máximo valor cuando el dosado relativo es ligeramente mayor que el estequiométrico.
Palabras clave: Propiedades termodinámicas, gases de combustión-medición, equilibrio químico.
Abstract
This article describes a method to determine theoretically the equilibrium composition, the thermodynamic properties and the adiabatic flame temperature of the combustion products of a fuel-air mixture taking into consideration that reactive products include twelve chemical species. It considers that fuel is an oxygenated hydrocarbon and that air is composed of oxygen, nitrogen and argon. By applying mass conservation and chemical balance conditions to the combustion reaction, this yields a closed algebraic system of equations which is linearized by using the Taylor series expansion and solved by using the Gauss pivoting elimination method. The described method allows the theoretical analysis of the combustion process that occurs in reciprocating internal combustion engines. The results obtained by applying the method to the combustion of ethyl alcohol (C2H6O), and by using the developed software, show that the NO concentration decreases with an increasing equivalence ratio, while the H2O, the H2 and the CO concentration increases when increasing such ratio, and that the adiabatic flame temperature reaches its maximum when the ratio is slightly higher than the stoichiometric one.
Key words: Thermodynamic properties, combustion gases - mensuration, chemical equilibrium.
Resumo
Neste artigo se expõe um método para determinar teoricamente a composição em equilíbrio, as propriedades termodinâmicas e a temperatura de chama adiabática dos produtos de combustão de uma mistura ar-combustível reativa, considerando que os produtos estão constituídos por doze espécies químicas. Supõe-se que o combustível é um hidrocarboneto oxigenado e que o ar está composto por oxigénio, nitrogénio e argônio. Ao aplicar condições de conservação de massa e equilíbrio químico à reação de combustão, obtém-se um sistema fechado de equações algébricas que se lineariza mediante expansão em séries de Taylor e resolve-se utilizando o método de eliminação de Gauss com pivoteo. Com este método podem-se fazer análises teóricos do processo de combustão que ocorre nos motores de combustão interna alternativos. Os resultados obtidos ao aplicar o programa computacional desenvolvido à combustão do álcool etílico C2H6O mostram que a concentração de NO nos produtos diminui ao aumentar a dosagem relativa da mistura, enquanto que as concentrações de H2O, H2 e CO aumentam ao aumentar essa dosagem, e que a temperatura da chama adiabática atinge seu valor máximo quando a dosagem relativa é ligeiramente maior que o estequiométrico.
Palabras chave: Propriedades termodinâmicas, gases de combustão-medição, equilíbrio químico.
Introducción
Los métodos de cálculo empleados para obtener la composición de equilibrio y el estado final de las especies químicas presentes en los productos de la combustión, a presión o a volumen constante, de una mezcla aire combustible son bien conocidos y se hallan referenciados en la literatura especializada (Way, 1977; Desantes y Lapuerta, 1991; El-Mahallawy y El-Din, 2002; Jarquin et ál., 2003). Sin embargo, muchos de ellos son tan extensos y complejos para incluir en una aplicación que los autores han decidido desarrollar un método matemático que se resuelve mediante un programa computacional específico que permite determinar la composición de los productos de la combustión; programa que constituye una subrutina de un paquete computacional que se está realizando para modelar los procesos que componen el ciclo de los motores de combustión interna alternativos (MCIA).
Uno de los programas más completos para el cálculo de la combustión, y quizás el padre de todos los demás, es el código CEC de la NASA-Lewis (McBride y Gordon, 1967; Gordon y McBride, 1971). Este código que considera especies químicas, líquidas y gaseosas; es extremadamente versátil, y se puede emplear para calcular el equilibrio químico de estados termodinámicos, el comportamiento teórico de cohetes y hasta las propiedades de detonación de Chapman-Jouguet.
Harker (1967) y Harker y Allen (1969) presentaron programas computacionales para efectuar los cálculos de la combustión a presión constante en sistemas CHO y CHON, suponiendo que los productos de combustión estaban constituidos por ocho y diez especies químicas, respectivamente. Con estos programas se pueden calcular las propiedades de los productos para temperaturas comprendidas entre 1500 y 4000 K. En 1972, Miller y McConnel publicaron el diagrama de flujo para calcular la combustión a presión constante de sistemas CHON con las mismas diez especies de Harker y Allen.
Olikara y Borman (1975) publicaron un análisis menos general que el de la NASA, limitado a la combustión de sistemas CHON de doce especies químicas, diseñado específicamente para ser aplicado al análisis de los procesos de los motores de combustión interna.
Para el cálculo de la combustión a volumen constante de sistemas CHON de doce especies, Agrawal et ál. (1977) presentaron un programa aplicable a temperaturas de hasta 3400 K. Agrawal y Gupta (1977) dieron a conocer un programa, válido para temperaturas de hasta 6000 K, con el cual se puede calcular tanto la combustión a presión constante como la combustión a volumen constante, en un sistema CHON de dieciocho especies químicas. Algunos códigos más recientes que usan el equilibrio químico son el programa computacional STANJAN, desarrollado en la Universidad de Stanford (Reynolds, 1986), el CHEPP (Eriksson, 2004), el GASEQ (Morley, 2007) y el CHEMKIN, que es una colección de códigos para abordar problemas de equilibrio químico (Lutz et ál., 1998), y cinética química (Lutz et ál., 1988).
Jarquin et ál. (2003) han desarrollado un programa que calcula los productos de combustión de hidrocarburos que contengan oxígeno, azufre y nitrógeno. Ramajo y Nigro (2004) han incluido en un modelo de doce especies químicas un modelo de Zeldovich extendido para simular las emisiones de óxido nítrico. Hernández et ál. (2006) han estimado las concentraciones de NOx en un motor diésel con un modelo de combustión de 27 especies y 59 reacciones; entre tanto, Espinoza et ál. (2007) aplicaron el equilibrio químico a la combustión de mezclas de gas natural. El comburente considerado es aire húmedo (O2, N2, Ar, CO2 y H2O); el combustible es una mezcla de gases (CH4, C2H6, C3H8, iC4H10, nC4H10, iC5H12, nC5H12, CO2 y H2O) y los productos están constituidos por doce especies químicas (CO2, CO, H2O, H2, H, O2, O, OH, N2, N, NO y Ar).
El cálculo de especies químicas en equilibrio ha sido empleado por varios investigadores en otros campos, como la simulación de gasificadores de biogás de alimentación inferior (Vaesi et ál., 2007; Jarungthammachote y Dutta, 2007), considerando un combustible de composición CHxOyNz que reacciona con aire, agua y vapor para producir seis especies químicas: H2, CO, CO2, H2O, CH4, y N2. También se ha aplicado a la combustión sin llama de mezclas gaseosas pobres, como GLP y queroseno (Shimo, 2000) o carbón pulverizado (Weber et ál., 2005).
Yussaf et ál. (2005) presentaron una versión modificada del método de Olikara y Borman para calcular la composición molar de los productos de combustión del combustible hidrógeno y Pérez (2007), dada la importancia de la cinética química en los mecanismos de formación y destrucción de los principales contaminantes presentes en los productos de combustión de un combustible diésel, calculó su composición química con un modelo que considera 38 especies y 83 reacciones.
Debido a que los combustibles oxigenados (biocombustibles o agrocombustibles), como el etanol, el gasohol o el biodiésel, evidencian interesantes propiedades como fuentes de energía sustentable (Chheda et ál., 2007), y a que sus productos contribuyen con cantidades inferiores de emisiones de partículas a la atmósfera, aunque con un incremento de los NOx (Rakopoulos et ál., 2006), es que en la ecuación de combustión se ha empleado un combustible de este tipo.
1. Método de cálculo
Para obtener el modelo matemático que permita determinar la composición y las propiedades termodinámicas de los productos se supone que el aire está compuesto por O, N y Ar, y el combustible de fórmula CnHmOi, por C, H y O (sistema CHONA), y se considera que los productos de la combustión están conformados por doce especies químicas: H2O, H2, OH, H, N2, NO, N, CO2, CO, O2, O y Ar (Turns, 2000).
Con base en la ecuación de combustión, en la cual los reactantes son la mezcla aire-combustible y los productos las doce especies químicas atrás enumeradas, se pueden cuantificar las concentraciones de los constituyentes de los productos, lo cual a su vez permite determinar sus propiedades termodinámicas: temperatura, presión, energía interna y entalpía.
Al aplicar condiciones de estequiometría al sistema reactante C, H, O, N y Ar se obtienen seis ecuaciones con trece incógnitas: las fracciones molares de los productos y el número de moles de combustible. Consideraciones de equilibrio químico permiten establecer siete reacciones de disociación de los productos, que proporcionan siete ecuaciones linealmente independientes que relacionan las fracciones molares de los productos y las constantes de equilibrio para así cerrar matemáticamente el problema. Las propiedades termodinámicas y las constantes de equilibrio de los gases se obtienen aplicando el método de los coeficientes polinomiales presentado por Benson (1977) y los coeficientes por regresión de los valores reportados en las tablas de Barin (1989).
El sistema resultante de trece ecuaciones con trece incógnitas se debe resolver mediante métodos numéricos. Inicialmente se reducen las trece ecuaciones a dos, con dos incógnitas, a saber: los moles de combustible y la relación de fracción molar de H2O a fracción molar de H2. El sistema de ecuaciones así obtenido se linealiza mediante una expansión en series de Taylor y se resuelve usando el método de eliminación de Gauss con pivoteo (Sankara, 2003). Obtenidas las dos incógnitas se pueden hallar las fracciones molares de las especies químicas que constituyen los productos y, por consiguiente, sus propiedades, y al aplicar la primera ley de la termodinámica al proceso de combustión se puede calcular la temperatura de llama adiabática.
2. Modelo termodinámico
La ecuación de combustión que describe la reacción que se presenta en los MCIA cuando nc kmol de combustible producen un kmol de productos es:
ncCnHmOl + na (O2 + 3,714N2 + 0,048 Ar) → ylH2O + y2H2 + y3OH + y4H + y5N2 + y6NO + y7N + Y8CO2 + y9CO + y10O2 + y11O + y12Ar (1)
Donde yi es la fracción molar del producto i (siendo i = 1 para H2O; 2 para H2; 3 para OH; 4 para H; 5 para N2; 6 para NO; 7 para N; 8 para CO2; 9 para CO; 10 para O2; 11 para O, y 12 para Ar). A partir del dosado relativo FR (relación combustible-aire relativa) de la mezcla:
Donde na y nc son el número de moles de aire y combustible presentes en la mezcla, y n, m y l son el número de átomos de carbono, hidrógeno y oxígeno del combustible, respectivamente.
2.1. Balance atómico
El primer paso para encontrar la concentración de las especies químicas de los productos es realizar un balance al sistema CHONA de la ecuación (1), basado en la conservación de los átomos de los elementos químicos así:
Las ecuaciones (3) a (7) constituyen un sistema de cinco ecuaciones con trece incógnitas, como son las fracciones molares de los productos (yi) y los moles de combustible (n).
2.2. Conservación de la masa
La conservación de la masa implica que la suma de las fracciones molares de productos deba ser igual a la unidad, lo que permite obtener una ecuación adicional para un total de seis, que relaciona las fracciones molares de los productos de combustión:
2.3. Equilibrio químico
Considerando la reacción química:
vaA + vbB - vcC + vdD (9)
Donde A y B son los reactantes; C y D, los productos, y V, los coeficientes estequiométricos de la reacción, se define la constante de equilibrio (Kp) para la reacción mediante la ecuación:
Donde P es la presión total de la mezcla.
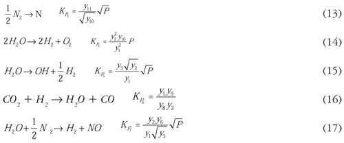
Para cuantificar las especies químicas de los constituyentes de los productos de la combustión, lo que a su vez permite la determinación de sus propiedades termodinámicas, teniendo en cuenta las condiciones de equilibrio químico, se utilizan siete reacciones de disociación de los productos (Horlock y Winterbome, 1986), que originan una distribución equilibrada de las especies y producen siete ecuaciones linealmente independientes, que cierran matemáticamente el problema. Las siete reacciones de disociación consideradas y sus constantes de equilibrio (KPi) correspondientes que se obtienen a partir de los coeficientes polinomiales de las entalpías de los gases son:
2.4. Conservación de la energía
Cuando un proceso de combustión se realiza de manera que no haya pérdidas de calor, la temperatura que se alcanza es máxima y su valor depende del tipo de proceso. Durante un proceso isométrico se conserva la energía interna, por lo que la ecuación de conservación de la energía en este caso, se expresa de la siguiente forma:
ui(T) es la energía interna especifica molar de gas i a la temperatura T y u0i es la energía interna especifica molar del gas i a la temperatura de referencia (T = 0 K). Durante un proceso isobárico se conserva la entalpia, por consiguiente:
hi(T) es la entalpía específica molar de gas i a la temperatura T y h0i es la entalpía específica molar del gas i a la temperatura de referencia (T = 0 K).
3. Algoritmo de cálculo
A partir de las ecuaciones (11) a (17) y mediante el cambio de variable y = y1 / y2, se obtienen las siguientes expresiones para las fracciones molares de las especies químicas en consideración:
De las ecuaciones (3) a (7) y (24) a (30) se obtienen las fracciones molares de las especies químicas que constituyen los productos en función de nc e y:
Al remplazar las ecuaciones (31) a (42) en las ecuaciones (5) y (8) se obtiene un sistema de dos ecuaciones no lineales con dos incógnitas: el número de moles de combustible y la relación de fracción molar de agua a fracción molar de hidrógeno. Este sistema se representa con las siguientes funciones:
que se linealizan utilizando una expansión en series de Taylor, de donde se obtienen las siguientes expresiones:
El sistema lineal se puede representar matricialmente de la siguiente forma:
Y en forma resumida/ {A}{AX} = {B}, donde {A} representa la matriz jacobiana del sistema; {ΔX} es el vector corrección de las aproximaciones, y {B} es el vector de términos independientes de la matriz.
Las derivadas parciales de y. respecto a nc e y se obtienen a partir de las ecuaciones (31) a (42) y con estos valores se determinan las derivadas parciales de f1 y f2 respecto a nc e y a partir de la ecuación (43). De esta forma quedan determinados los coeficientes de la matriz jacobiana y de los términos independientes.
Las aproximaciones de sucesivas expansiones en series de Taylor se pueden escribir como:
El vector X0 contiene los primeros valores estimados de nc e y, y X1 contiene los valores mejorados de nc e y. De esta manera se obtiene un conjunto de ecuaciones lineales, en las cuales el vector ΔX contiene las correcciones de la aproximación. Este conjunto de ecuaciones se puede resolver para hallar Δ, nc y Δy mediante el método de eliminación de Gauss con pivoteo.
En cada iteración se sustituye el vector mejorado para evaluar, así, las funciones y sus derivadas parciales. Este procedimiento iterativo se continúa hasta que los cambios relativos en cada una de las incógnitas sea 0,0001, o sea, un error de 0,01%. Cuando el proceso iterativo finaliza, se obtienen los valores de nc e y que satisfacen el sistema de ecuaciones, a partir de los cuales se determinan las fracciones molares de las especies químicas de los productos, sus propiedades y su temperatura de llama adiabática. El algoritmo de cálculo presentado se resuelve mediante un programa de computación, cuyo diagrama de flujo se presenta en la figura 1.
4. Resultados y análisis
Al aplicar el método propuesto a la combustión del alcohol etílico (C2H6O), mediante el programa computacional desarrollado, se realizó un estudio en el cual se obtuvieron los resultados que a continuación se exponen y analizan. En la figura 2 se aprecia la variación de la composición de las principales especies químicas presentes en los productos de la combustión: H2O, CO2, H2, CO, N2, Ar, O2 y NO al cambiar el dosado prácticamente independiente del dosado relativo, por ser gases inertes cuyo contenido permanece casi constante en todo el rango de FR considerado.
En la zona de mezcla pobre (FR < 1) las concentraciones de CO y H2 son muy pequeñas, esto se debe a que hay oxígeno en exceso y la combustión es más completa. En cuanto al CO2 se observa que su concentración aumenta a medida que la mezcla se enriquece, hasta alcanzar un máximo cuando el dosado relativo es aproximadamente uno. Además, puede verse que la concentración de NO aumenta a medida que la mezcla se empobrece; esto se debe a la existencia de elevadas cantidades de oxígeno.
En la figura 3 se observa la variación de la concentración de las especies químicas secundarias o restantes, las que presentan un porcentaje en masa menor del 1%, por lo que no influyen sustancialmente a la hora de realizar un balance de masas. Sin embargo, cuando lo que interesa es conocer su comportamiento la concentración de estas especies es importante.
En la figura 4 se presenta la variación de la temperatura adiabática de llama con el dosado relativo para los procesos de suministro de calor isométrico e isobárico. En el proceso de combustión isométrico la temperatura es mayor que en el isobárico, puesto que con igual suministro de calor se obtiene mayor incremento de temperatura cuando el calor específico es menor (Cv < Cp). Además, puede observarse en ambos casos que para mezclas muy pobres dicha temperatura crece linealmente con el dosado relativo; esto se debe a que al aumentar el dosado relativo el calor específico de la mezcla disminuye porque aumenta la cantidad de combustible presente en ella.
En mezclas cercanas a la estequiométrica el crecimiento de la temperatura adiabática es cada vez menos pronunciado y alcanza su valor máximo cuando el dosado relativo es ligeramente mayor que uno, a causa de que la reacción de disociación del CO2 a CO + O2 es endotérmica (absorbe calor). La máxima temperatura se consigue en ambos procesos aproximadamente cuando el dosado relativo es igual a 1,2. De no existir disociación las máximas temperaturas se presentarían para la condición estequiométrica, por ser la combustión completa. En presencia de disociación, los productos absorben calor. Ello disminuye la temperatura adiabática de llama, y su valor máximo debe corresponder a la mezcla cuya disociación es mínima.
5. Conclusiones
Se ha desarrollado un método para calcular la composición en equilibrio de los productos de la combustión, al asumir que el gas quemado está formado por una mezcla de doce especies químicas. Este consiste en un tratamiento matemático que conduce a tendencias lógicas de composición y expresiones termodinámicas y ha posibilitado la elaboración de un programa computacional que permite realizar análisis teóricos y estudios paramétricos de la combustión.
El método permite calcular las propiedades químicas y la temperatura de llama adiabática de la combustión para diferentes riquezas y un gran número de combustibles hidrocarburos.
Se determinó la composición y la temperatura de llama adiabática de los gases producidos por la combustión en un motor de encendido por chispa. La comparación de los resultados obtenidos con los presentados por Ferguson (1986) demostró que el método aplicado produce resultados correctos.
Referencias
AGRAWAL, D. D. y GUPTA, C. P. Computer program for constant pressure or constant volume combustion calculations in hydrocarbon-air systems. Transactions of the ASME. 1977, pp. 246-254. [ Links ]
AGRAWAL, D. D.; SHARMA, S. P. y GUPTA, C. P. The calculation of temperature and pressure of flame gases following constant volume combustion. Journal of the Institute of Fuel. 1977, vol. 50, pp. 121-124. [ Links ]
BARIN, I. Thermochemicaldata of pure substances VCH. Weinheim, Federal Republic of Germany: Verlagsgesellschaft mb-H, D-6940, 1989. [ Links ]
BENSON, R. S. Advanced engineering thermodynamics. 2nd ed. Manchester: University of Manchester-Pergamon International Library, 1977. [ Links ]
CHHEDA, J. N.; HUBER, G. W y DUMESIC J. A. Liquid-phase catalytic processing of biomass-derived oxygenated hydrocarbons to fuels and chemicals. Angewandte Chemie International Edition. 2007, vol. 46, pp. 7164-7183. [ Links ]
DESANTES, J. M. y LAPUERTA, M. Fundamentos de combustión. Valencia: Servicio de Publicaciones, Universidad Politécnica de Valencia, 1991. [ Links ]
EL-MAHALLAWY F. y EL-DIN, H. S. Fundamentals and technology of combustion. London: Elsevier, 2002. [ Links ]
ERIKSSON, L. CHEPP: A chemical equilibrium program package for Matlab. SAE Transactions. 2004, vol. 113, núm. 4, pp. 730-741. [ Links ]
ESPINOZA, H.; PATIÑO, L.; GONZÁLEZ, Y y LEZAMA, I. Modelo predictivo de combustión de mezclas de gas natural en motores de encendido por chispa. Revista Ingeniería e Investigación. 2007, vol. 27, núm. 2, pp. 11-17. [ Links ]
FERGUSON, C. R. Internal combustion engines. Applied Thermosciences. New York: John Wiley and Sons, 1986. [ Links ]
GORDON, S. y MCBRIDE, B. J. Computer program for calculation of complex chemical equilibrium compositions, rocket performance, incident and reflected shocks, and Chapman Jouguet detonations. NASA Publication SP 273. 1971. [ Links ]
HARKER, J. H. y ALLEN, D. A. The calculation of the temperature and composition of flame gases. Journal of Institute of Fuel. 1969, vol. 42, pp. 183-187. [ Links ]
HARKER, J. H. The calculation of equilibrium flame gas composition. Journal of Institute of Fuel. 1967, vol. 40, pp. 206-210. [ Links ]
HERNÁNDEZ, J.; LAPUERTA, M. y PÉREZ-COLLADO, J. A combustion kinetic model for estimating diesel engine NOx emissions. Combustion. Theory and Modelling. 2006, vol. 10, núm. 4, pp. 639-657. [ Links ]
HORLOCK, J. H. y WINTERBORNE, D. E. The thermodynamics and gas dynamics of internal combustion engines. Oxford: Clarendon Press, 1986. [ Links ]
JARQUIN, G.; POLUPAN, G. y RODRÍGUEZ, J. Cálculo de los productos de combustión empleando métodos numéricos. Mecánica Computacional. 2003, vol. XXII, pp. 2442-2452. [ Links ]
JARUNGTHAMMACHOTE, S y DUTTA, A. Thermodynamic equilibrium model and second law analysis of a downdraft waste gasifier. Energy. 2007, vol. 32, pp.1660-1669. [ Links ]
LUTZ, A. E.; RUPLEY F. M. y KEE R. J. EQUIL: A CHEMKIN implementation of STANJAN, for computing chemical equilibria. s. l.: Sandia National Laboratories, 1998. [ Links ]
LUTZ, A. E.; KEE, R. J. y MILLER, J. A. SENKIN: A Fortran program for predicting homogeneous gasphase chemical kinetics with sensitivity analysis. s. l.: Sandia National Laboratories, 1988. [ Links ]
MCBRIDE, B. J. y GORDON, S. Fortran IV program for calculation of thermodynamic data. NASA Publication TN-D-4097, 1967. [ Links ]
MILLER, P. A. y MCCONNEL, S. G. A computerized method for assessing flame temperature of stoichiometric and lean natural gas mixtures. Journal of Institute of Fuel. 1972, vol. 45, pp. 43-47. [ Links ]
MORLEY C. GasEQ: A Chemical Equilibrium Program for Windows [documento en línea]. 2007. <http://www.gaseq.co.uk/> [ Links ].
OLIKARA, C. y BORMAN, G. L. A computer program for calculating properties of equilibrium combustion products with some applications to I. C. engines. SAE International, 1975. [ Links ]
PÉREZ, J. Modelado cinético-químico del proceso de combustión diesel para la estimación de contaminantes gaseosos. Tesis doctoral, Universidad de Castilla-La Mancha, España, 2007. [ Links ]
RAKOPOULOS, C. D.; ANTONOPOULOS, K. A.; RAKOPOULOS, D. C.; HOUNTALAS, D. T. y GIAKOUMIS, E. G. Comparative performance and emissions study of a direct injection Diesel engine using blends of Diesel fuel with vegetable oils or bio-diesels of various origins. Energy Conversion and Management. 2006, vol. 47, pp. 3272-3287. [ Links ]
RAMAJO, D. y NIGRO, N. Modelización numérica de la combustión en motores de combustión interna. Mecánica Computacional. 2004, vol. XXIII. [ Links ]
REYNOLDS, W C. The element potential method for chemical equilibrium analysis: implementation in the interactive program STANJAN. Technical report, Stanford University, Dept of Mech. Eng., 1986. [ Links ]
SANKARA, R. Numerical methods for scientists and engineers. México: Prentice-Hall, 2003. [ Links ]
SHIMO, N. Fundamental research of oil combustion with highly preheated air. Proceedings of the 2nd International Seminar on High Temperature Combustion in Industrial Furnaces, 2000. [ Links ]
TURNS, S. R. An introduction to combustion: Concepts and applications. 2nd ed. New York: Mc Graw Hill, 2000. [ Links ]
VAEZI, M.; PASSANDIDEH-FARD, M. y MOGHIMAN, M. On a numerical model for gasification of biomass materials. 1st WSEAS Int. Conf. on Computational Chemistry, Cairo, Egypt, 2007. [ Links ]
WAY, R. J. Methods for determination of composition and thermodynamic properties of combustion products for internal combustion engines calculations. Proceedings of the Institution of Mechanical Engineers. 1977, vol. 190, núms. 60/76, pp. 687-697. [ Links ]
WEBER, R.; SMART, J. P y KAMP, W V On the (MILD) combustion of gaseous, liquid, and solids fuels in high temperature preheated air. Proccedings of the Combustion Institute. 2005, vol. 30, pp. 2623-2629. [ Links ]
YUSAF, T. F.; YUSOFF, M. Z.; HUSSEIN, I. y FONG, S. H. A quasi one-dimensional simulation of a 4 stroke spark ignition hydrogen fuelled engine. American Journal of Applied Sciences. 2005, vol. 2 núm. 8, pp. 1206-1212. [ Links ]































