Servicios Personalizados
Revista
Articulo
Indicadores
-
Citado por SciELO -
Accesos
Links relacionados
-
Citado por Google -
Similares en
SciELO -
Similares en Google
Compartir
Ingeniería y Universidad
versión impresa ISSN 0123-2126
Ing. Univ. vol.16 no.2 Bogotá jul./dic. 2012
Simulación de la ruta de transporte y dispersión de emisiones gaseosas provenientes del basurero de Navarro, Cali (Colombia)1
Simulation of Transport and Dispersión of Atmospheric Emissions from Navarro Solid Waste Dump Site, Cali (Colombia)2
Simulação do percurso de transporte e dispersão de emissões gasosas da lixerira de Navarro, Cali (Colômbia)3
María Patricia Castillo-Mosquera4
Mario Andrés Gandini-Ayerbe5
Santiago Laín-Beatove 6
1Este artículo se deriva del proyecto de investigación Estimación de factores de riesgo sanitario y dinámica de la exposición de las emisiones gaseosas provenientes de la disposición final de residuos sólidos municipales, código 1106-452-21290, desarrollado por el grupo de investigación Estudio y Control de la Contaminación Ambiental (ECCA), el Grupo de Epidemiología y Salud Poblacional (GESP), el Grupo de Investigación en Saneamiento Ambiental (GISAM, del Instituto Cinara), de la Universidad del Valle, y el grupo de investigación de Mecánica de Fluidos (FMRG) de la Universidad Autónoma de Occidente con la contribución del Centro de Investigación de la Caña de Azúcar (Cenicaña). Cali, Colombia.
2Submitted on: June 7, 2011. Accepted on: March 30, 2012. This article is derived from the research project ístimation of Sanitary Risk Factors and Dynamics of the Exposition to Gaseous Emissions from Municipal Solid Waste Sites (Code 1106-452-21290), developed by the research groups ECCA, GESP and GISAM of Universidad del Valle, and the research group FMRG oí UniversidadAutónoma de Occidente, with cooperation of Cenicaña. Cali, Colombia.
3Data de recebimento: 7 de julho de 2011. Data de aceite: 30 de março de 2012. Este artigo deriva se do projeto de pesquisa Estimação de fatores de risco sanitário e dinâmica da exposição das emissões gasosas provenientes da disposição final de residuos sólidos municipais, código 1106-452-21290, desenvolvido pelo grupo de pesquisa Estudo e Controle da Contaminação Ambiental (ECCA), o Grupo de Epidemiologia e Saúde Populacional (GESP) e o Grupo de Pesquisa em Saneamento Ambiental (GISAM, do Instituto Cinara), da Universidade do Valle, com contribuição do Centro de Pesquisa da Cana de Açúcar (Cenicaña). Cali, Colômbia.
4Administradora del medio ambiente y de los recursos naturales, Universidad Autónoma de Occidente. Estudiante de la Maestría en Gestión y Planificación Ambiental, Universidad de Chile, Chile. Cali, Colombia. Correo electrónico: patrisch8025@hotmail.com.
5Ingeniero sanitario, Universidad del Valle, Cali, Colombia. Máster en Environmental Policy and Management, University 0f Hull, Hull, Reino Unido. Doctor en ingeniería ambiental, Universita Degli Studi Di Padova, Padua, Italia. Docente del Departamento de Energética y Mecánica, Universidad Autónoma de Occidente. Cali, Colombia. Correo electrónico: magandini@uao.edu.co.
6Graduado en ciencias físicas, Universidad de Zaragoza, Zaragoza, España. Doctor en mecánica de fluidos. Universidad de Zaragoza. Docente, Departamento de Energética y Mecánica, Universidad Autónoma de Occidente. Cali, Colombia. Correo electrónico: slain@uao.edu.co.
Fecha de recepción: 7 de julio de 2011. Fecha de aceptación: 30 de marzo de 2012.
Resumen
Diversos procesos acelerados de crecimiento urbano en Santiago de Cali han ocasionado asentamientos en lugares que podrían representar una amenaza para la salud de las personas que habitan en áreas cercanas al basurero de Navarro. El posible riesgo sanitario se constituiría en el momento en que dichas personas se encuentren expuestas a sustancias contaminantes que provienen de este sitio de disposición final de residuos sólidos. Un primer paso en la estimación de riesgo sanitario consiste en determinar las rutas de transporte y los fenómenos dispersivos de los contaminantes de interés. En este sentido, el propósito del presente artículo es dar a conocer los resultados arrojados por el modelo ISCST3 en la simulación de la ruta de transporte y dispersión de las emisiones de benceno, tolueno y xileno (BTX) provenientes del basurero de Navarro en su zona de influencia en 2007. Para ello se utilizó información meteorológica de ese mismo año y se estimaron emisiones teóricas de BTX utilizando el modelo LandGEM. Los resultados muestran que las áreas más propensas a la exposición de BTX son aquellas ubicadas al norte del basurero de Navarro; sin embargo, estas concentraciones no exceden los niveles máximos permisibles por las autoridades colombianas y por la Enviromental Protection Agency (EPA).
Palabras clave: Riesgo sanitario, modelo ISCST3, modelo LandGEM, benceno, tolueno y xileno.
Abstract
Accelerated process of urban growth in Santiago de Cali, have led to settlements in places that could pose a threat to the health of people living in areas close to the Navarro final disposition site. The potential health risk would be present at the time that such people are exposed to contaminants coming from Navarro Dump. A first step in estimating health risk of this kind is to identify the routes of transport and dispersive phenomena of the pollutants of interest. In this sense, the purpose of this paper is to present the results produced by the model ISCST3 in the simulation of the transport routes and dispersion of emissions of benzene, toluene and xylene (BTX) from Navarro Dump in its area of influence for the year 2007. In doing so, meteorological data from the year 2007 was used and the theoretical emissions of BTX from Navarro Dump were calculated with the LANDGEM model. As a result, it was found that the more susceptible areas to exposure to BTX are those located at the north from Navarro Dump. However, these concentrations do not exceed the maximum permissible limits imposed by the Colombian authorities and EPA.
Key words: Health risk, ISCST3 model, Land-GEM model, benzene, toluene and xylene.
Resumo
Vários processos de crescimento urbano acelerado em Santiago de Cali causaram assentamentos em lugares que poderiam representar ameaça para a saúde das pessoas que vivem em áreas próximas a lixeira de Navarro. O risco potencial para a saúde seria constituído no momento em que essas pessoas estiverem expostas a poluentes que vêm deste local de disposição final de resíduos sólidos. Um primeiro passo na estimação do risco sanitário é determinar os percursos de transporte e fenômenos dispersivos dos poluentes de interesse. Neste sentido, o propósito deste artigo é apresentar os resultados obtidos pelo modelo ISCST3 na simulação do percurso de transporte e da dispersão das emissões de benzeno, tolueno e xileno (BTX) provindas da lixeira de Navarro na sua área de influência em 2007. Para isso, utilizou-se informação meteorológica do mesmo ano e estimaram-se emissões teóricas de BTX utilizando o modelo LandGEM. Os resultados mostram que as áreas mais propensas à exposição de BTX são aquelas localizadas ao norte da lixeira de Navarro, mas estas concentrações não excedem os limites máximos tolerados pelas autoridades colombianas e pela Enviromental Protection Agency (EPA).
Palavras-chave: Risco sanitário, modelo ISCST3, modelo LandGEM, benzeno, tolueno e xileno.
Introducción
Los procesos inadecuados de planificación ambiental pueden generar problemas asociados con una deficiente disposición final de residuos sólidos urbanos. Esta situación se ha convertido en una creciente preocupación para las autoridades de la salud pública en diferentes países, debido a que estudios como los realizados por la Environmental Research Foundation (1998), Minichilli et al. (2005), Pukkala et al. (2001) y Dummer et al. (2003) señalan que la ocurrencia de enfermedades como bajo peso al nacer, defectos congénitos y algunos tipos de cáncer en personas asentadas en zonas de influencia de basureros, botaderos a cielo abierto o vertederos podría estar relacionada con las emisiones atmosféricas (gases), lixiviados y malos olores provenientes de estos lugares (Vrijheid, 2000).
Es así como a pesar del cierre definitivo del basurero de Navarro (BN) en el año 2008, este puede constituir en una posible amenaza para algunos sectores surorientales de la ciudad, puesto que sus efectos potenciales podrían perjudicar la salud de la población expuesta a contaminantes que se desplazan a través del aire, el agua y el suelo, provenientes del BN (Méndez, 2006).
Además, teniendo en cuenta que el desarrollo y crecimiento urbanístico de Cali se centra en la zona de influencia del BN, es necesario contar con argumentos basados en evidencia científica que permitan conocer la realidad del territorio y sobre los cuales se puedan tomar las decisiones de manejo o planificación ambiental que lleven a mitigar el riesgo sanitario al cual podría estar expuesta la población. Por lo tanto, las acciones aquí presentadas están encaminadas a generar conocimiento sobre las variables que configuran el riesgo sanitario en el contexto del BN y a delinear una herramienta en la toma de decisiones de planeación territorial, en relación con los impactos ambientales asociados a la disposición final de residuos sólidos urbanos.
En este orden de ideas, el propósito de este artículo es dar a conocer la ruta de transporte y dispersión tanto de las emisiones como de las concentraciones atmosféricas de benceno, tolueno y xileno (BTX) provenientes del BN. De esta forma se da un primer paso hacia la construcción de un modelo conceptual del riesgo sanitario asociado a dichas emisiones.
Cabe subrayar que los resultados aquí consignados se enmarcan dentro del proyecto de investigación Estimación de factores de riesgo sanitario y dinámica de la exposición de las emisiones gaseosas provenientes de la disposición final de residuos sólidos municipales, llevado a cabo por la Universidad del Valle y la Universidad Autónoma de Occidente, con la financiación de Colciencias. El objetivo general del proyecto fue estimar el riesgo sanitario de varios grupos poblacionales expuestos a estos contaminantes de interés (BTX) provenientes del BN.
1. Metodología
1.1 Área de estudio
El área de estudio comprende la zona de influencia del BN (4 km a la redonda), el cual está ubicado sobre un antiguo cauce (humedal o madrevieja) del río Cauca, en el corregimiento de Navarro, al suroriente de la ciudad de Santiago de Cali, en el Valle del Cauca. El trabajo se realizó en 2009 y 2010.
1.2 Materiales y métodos
1.2.1 Simulación de concentraciones de BTX
La simulación de la ruta de transporte y dispersión de las emisiones generadas por el BN se llevó a cabo con el modelo industrialsource complex short term (ISCST3) desarrollado por la Enviromental Protection Agency (EPA), de los Estados Unidos. Para simular la dispersión de contaminantes, el modelo requiere datos de entrada que corresponden a variables que rigen la dispersión atmosférica, como la información meteorológica, la posición y las características de los receptores y las emisiones de los contaminantes de interés en la fuente. A su vez, el modelo ISCST3 genera unos datos de salida, que para este caso son las concentraciones de BTX para 2007. Dichos contaminantes han sido objeto de estudio debido al riesgo sanitario que estos gases pueden generar para la población residente en la zona de influencia del BN, debido a que son altamente tóxicos por ingestión, inhalación y absorción cutánea y tienen efectos cancerígenos (Lee, 1994).
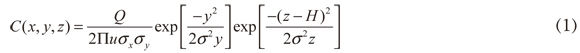
En este sentido, cabe mencionar que el modelo ISCST3 simula la dispersión de contaminantes en la atmósfera emitidos por fuentes fijas y predice el promedio de las concentraciones del contaminante a nivel del terreno (receptores) durante el periodo de observación, asumiendo que las concentraciones del contaminante en la pluma (vertical y lateralmente) pueden representarse por curvas basadas en la función estadística de distribución normal (distribución de Gauss, (1), la cual es usada y conocida comúnmente como "curva de campana". Las formas de las curvas de Gauss en ambas direcciones verticales y laterales se vuelven más planas cuanto más se desplace la pluma a favor del viento (EPA, 1999).

Donde C es la concentración del contaminante en los puntos x, y, z, que corresponden a las distancias axial, transversal y vertical, respectivamente, relativas a la dirección hacia donde sopla el viento (ug/m3); Q es la tasa de emisión (ug/s), u es la velocidad del viento a la altura efectiva de la pluma (m/s), H representa la altura efectiva de la pluma (m), O es el coeficiente de dispersión horizontal y üz es el coeficiente de dispersión vertical (m).
Una vez modeladas las concentraciones de BTX correspondientes a 2007, se realizaron dos simulaciones adicionales en las que se modificaron los datos de las emisiones en un orden de magnitud por encima y por debajo del nivel inicialmente calculado para 2007, con el objetivo de determinar las concentraciones correspondientes en los receptores.
Igualmente, la información de entrada para el modelo ISCST3 —como velocidad, comportamiento y dirección del viento— fue suministrada por el Centro de Investigación de la Caña de Azúcar (Cenicaña); la tasa de emisión de los contaminantes provenientes del BN se obtuvo a partir de estimaciones realizadas con el Landfill Gas Emissions Model (LandGEM), de la EPA; posteriormente, los datos de salida se graficaron con el programa Arcgis.
1.2.2 Simulación de emisiones de benceno, tolueno y xileno
El modelo LandGEM es una herramienta de cálculo automático (Microsoft Excel) que estima la tasa de emisión de metano y, a partir de esos resultados, simula las emisiones de BTX provenientes de rellenos sanitarios. Este modelo se basa en una ecuación de degradación de primer orden (2) para cuantificar las emisiones generadas por la descomposición de los residuos sólidos municipales, asumiendo que la generación de emisiones atmosféricas llega a su máximo nivel y después de un periodo tiende a disminuir exponencialmente (EPA, 2005).

Donde QCH4 corresponde a la generación anual de metano (m3/año); i es incremento de 1 año; n es la diferencia entre el año de cálculo y el año inicial de aceptación de residuos; j se refiere al incremento de 0,1 años; k es el índice de generación de metano (1/año); Lo es la generación potencial de metano (m3/ton); Mi es la masa de residuos depositados en el año i (ton); y tij es la edad de la sección j de masa de residuos depositados en el año Mi (años decimales).
En la ecuación anterior, la tasa de generación de metano (k) corresponde a la constante de cinética de primer orden (3). La capacidad potencial de generación de metano (L), describe la cantidad de este gas producida por tonelada de residuos dispuestos en el sitio de disposición final (4).
En esta investigación, para el cálculo de la constante Lo se tuvieron en cuenta las características fisicoquímicas de los residuos sólidos de Cali, reportadas por la Alcaldía de Santiago de Cali (2006), mientras para el valor de la constante k (1/año) se consideraron las condiciones de temperatura y precipitación de la zona. Por otra parte, la masa de residuos depositados en toda la vida de útil de BN (Mi) corresponde con los datos registrados por Gómez (2005).
K = 3,2*10-5(x) + 0,01 (3)
Mediante (3) es posible estimar la tasa de generación de metano, donde 3,2 es el factor de conversión (ppmv a la fracción de volumen) y x corresponde al valor de la precipitación anual de la zona (mm) (EPA, 2005).

En la (4), con la cual se calcula la capacidad potencial de generación de metano, BFw representa la fracción biodegradable de los residuos en su conjunto; Cm, la generación potencial de metano a partir de la materia orgánica (m3 CH4/ton), y w, el contenido de agua del residuo (H2O kg/seco-kg) (Machado et al., 2009).
Para estimar las emisiones de los compuestos orgánicos volátiles diferentes al metano (non-methane organic compound [NMOC]) u otros componentes de los gases de los rellenos sanitarios, se utilizó la siguiente ecuación (5) (EPA, 2005), teniendo como referencia la generación potencial de metano (2):

Donde, Qp es la tasa de emisión del contaminante (NMOC) (m3/año), Q CH4 es la tasa de generación de metano (m3/año), CP representa la concentración del contaminante P en los gases (ppmv), (7, la concentración de metano en los gases (equivalen al 50%, expresado como 0,5) y 1X106 es la constante para corregir la concentración de P y las unidades de ppmv.
El modelo LandGEM consta de nueve hojas de cálculo; cada una tiene una función diferente y los datos que alimentan el modelo son muy específicos, por ejemplo: año de apertura del relleno, año de clausura, capacidad de diseño del relleno sanitario, cantidad de toneladas depositadas e índices de disposición final, entre otros.
1.2.3 Ruta de transporte y dispersión de las concentraciones de benceno, tolueno y xileno
En cuanto a ARCGIS®, se trata de una colección integrada de productos (software) y aplicaciones como ArcMap®, ArcCatalog® y ArcToolbox®, basada en estándares para el análisis espacial, la gestión y edición de datos, el análisis geográfico y el geoprocesamiento (GEO, 2004). En este caso, para graficar las concentraciones de BTX de 2007, se empleó la aplicación ArcMap®, la cual se usa para todas las actividades relacionadas con el mapeo, incluidos la cartografía, el análisis de mapas y la edición. Los mapas tienen un diseño de página que contiene una ventana geográfica: una vista con una serie de capas, leyendas, barras de escalas y flechas (ESRI, 2005).
Los receptores considerados en el estudio corresponden a barrios ubicados a 4 km a la redonda del BN, teniendo en cuenta la influencia esperada de este tipo de fuente de área (el BN) de contaminantes atmosféricos. Entre estos barrios se pueden mencionar: El Caney, Ciudad 2000, Ciudad Córdoba, El Vallado, Morichal, Pízamos, así como los campus universitarios de la Universidad del Valle y de la Universidad Autónoma de Occidente.
2. Resultados y discusión
Los resultados que se muestran a continuación corresponden a concentraciones mensuales y a promedios anuales de 2007, año para el cual se dispone de información meteorológica. Cabe mencionar que estos resultados corresponden a datos teóricos que requieren ser comparados con mediciones reales, tanto de las emisiones como de las concentraciones de BTX en el BN y en los receptores para determinar su veracidad.
2.1 Emisiones atmosféricas del basurero de Navarro
Las emisiones atmosféricas de BTX provenientes del BN que se estimaron a través del programa LandGEM para los diferentes años muestran un incremento de estos gases en los primeros años, pero luego presentan una reducción asintótica a medida que transcurre el tiempo, como se detalla en la figura 1, debido a la acción de microorganismos y bacterias que mediante procesos biológicos degradan los residuos y ayudan así a la descomposición de la materia orgánica y a la lixiviación de los desechos depositados en el BN (Colmenares, 2007). Sin embargo, el año 2007 es el escenario más crítico, debido a que en ese periodo el basurero generó las mayores emisiones de contaminantes atmosféricos.

2.2. Concentraciones anuales de benceno, tolueno y xileno en los receptores
Las concentraciones anuales de BTX estimadas para 2007 en los diferentes receptores (barrios en la zona de influencia) no exceden los niveles máximos permisibles establecidos tanto por el Ministerio de Ambiente, Vivienda y Desarrollo Territorial en la Resolución 610 de 2006 (figura 2) como por la EPA.

2.3. Ruta de transporte y dispersión de benceno, tolueno y xileno para 2007
En las figuras 3-6 se ilustran los campos de concentración de BTX obtenidos a partir de la simulación con ISCST3. Las áreas sombreadas corresponden a intervalos de concentraciones anuales. Adicionalmente, se puede observar la rosa de los vientos generada para el área de interés en 2007.




De antemano, se subraya que los resultados obtenidos corresponden exclusivamente a simulaciones basadas en cálculos teóricos, a partir de las características de los residuos sólidos dispuestos en el BN y a las características ambientales de la zona. El aporte de estos resultados radica en delinear la tendencia general de la dispersión de contaminantes, así como los receptores de los cuales se deberían esperar las mayores concentraciones de exposición, y no tanto en el valor numérico obtenido para los campos de concentraciones. Los datos presentados corresponden a promedios anuales y, en ese sentido, simplemente indican las condiciones prevalentes en un año, ocultando posibles valores críticos que se pueden presentar al hacer los periodos de estudio más cortos.
De esta manera, se observa que la dispersión de contaminantes atmosféricos desde el BN se presenta prevalentemente en la dirección sur-norte, de acuerdo con las condiciones meteorológicas. Esta situación es típica del sur del Valle del Cauca y se constituye en una excepción a los regímenes de viento que caracterizan este valle geográfico, donde prevalece la dirección norte-sur, según Cortés (2010).
Se desprende, entonces, que los receptores expuestos a los campos de concentraciones mayores corresponden a los barrios ubicados el norte del BN, como El Vallado, Morichal, El Retiro y Villamercedes. La extensión del campo de concentración superior alcanza los 3500 m en dirección sur-norte, mientras que concentraciones por debajo de esta distancia se distribuyen uniformemente en toda el área de estudio.
Por lo tanto, existe una relación directa entre las condiciones meteorológicas (dirección y velocidad del viento) y los niveles de concentración de BTX; es decir, las mayores concentraciones de estos contaminantes se encuentran hacia donde predomina la dirección del viento (figuras 3-6), que para este caso corresponde al norte del BN. Es así como las mayores concentraciones de BTX se presentan en los barrios ubicados en esta zona del basurero.
Teniendo en cuenta que existe una relación directa entre las emisiones y las concentraciones de estos contaminantes de interés, a medida que se incrementan las emisiones también aumentan las concentraciones de BTX en los diferentes receptores ubicados en áreas cercanas al BN, como se puede observar en las figuras 3-6. Por lo tanto, al variar las emisiones en un orden de magnitud por encima del calculado, se puede observar un cambio significativo en las concentraciones de BTX (figura 5).
Los resultados numéricos para 2007 indican que las mayores concentraciones de benceno se encuentran por encima de lo permitido tanto en la Resolución 0610 de 2010 del Ministerio de Ambiente Vivienda y Desarrollo Territorial, como por la EPA, en la cual se estableció que los niveles máximos permisibles para contaminantes no convencionales con efectos carcinogénicos, como el benceno, son de 5 pg/m3 para periodos de exposición anuales. Sin embargo, estos datos corresponden a la zona más cercana del BN (870 m a la redonda), sin comprometer a ninguno de los receptores estudiados.
Por el contrario, en la zona donde están ubicados los barrios Morichal, Pízamos y El Vallado, entre otros, las más altas concentraciones calculadas de benceno oscilan entre 0,005 pg/m3 y 0,24 pg/m3. Por lo tanto, en la zona urbanizada al suroriente de Cali las concentraciones de este contaminante están dentro de los niveles permitidos por la legislación colombiana.
Del mismo modo, las mayores concentraciones calculadas de tolueno varían entre 2,53 pg/m3 y 11,5 pg/m3 en barrios como Morichal (3,26 pg/m3), El Vallado (2,77 pg/m3) y Villamercedes (3,0 pg/m3). Estas concentraciones no superan los valores establecidos por las autoridades ambientales en la Resolución 0610 de 2010 ni los valores determinados por la EPA.
En cuanto a las concentraciones calculadas de xileno, los mayores valores están ubicados en los barrios Morichal (0,3 pg/m3) y Villamercedes (0,2 pg/m3). Estas concentraciones no sobrepasan las permitidas por agencias como la EPA, ya que la norma nacional aún no contempla este compuesto.
Estos resultados de carácter preliminar indican que las concentraciones esperadas de benceno, xileno y tolueno, en futuras áreas de expansión de Cali se encuentran entre 0,24-1,03 pg/m3, 2,53-11,49 pg/m3 y 0,20-0,93 pg/m3, respectivamente. Estas concentraciones se encuentran por debajo de las normas mencionadas. Sin embargo, los barrios ubicados al norte del BN se podrían ver expuestos a un determinado riesgo sanitario debido a las condiciones meteorológicas de la zona y a su cercanía con este sitio de disposición final de residuos sólidos municipales.
Por otro lado, las concentraciones simuladas con un orden de magnitud por encima del calculado para ese mismo año sobrepasan los niveles establecidos por las diferentes autoridades ambientales nacionales e internacionales.
2.4 Concentraciones mensuales de benceno, tolueno y xileno en los receptores
Las mayores concentraciones de BTX en Senderos del Lili, Ciudad 2000, Caney, El Vallado, Morichal y en la Universidad Autónoma de Occidente (UAO) se registraron en junio. Sin embargo, en el BN la concentración más alta de estos gases se presentó en diciembre, posiblemente porque la dirección del viento predomina hacia el norte y noroeste del basurero y porque la velocidad es 1,2 m/s (figura 7).

Las concentraciones más bajas de BTX se presentan hacia el sur del BN principalmente en Senderos del Lili y en la UAO. Esto se explica por el comportamiento de la dirección del viento, debido a que las emisiones tienden hacia el norte del BN porque el viento predomina hacia ese sector; por lo tanto, hacia el sur se encontraron las menores concentraciones de estos contaminantes. Además, hay que señalar que cuando las concentraciones de BTX en Ciudad 2000 son altas, en la UAO las concentraciones son bajas, y viceversa, debido a la posición geográfica de estos receptores.
3. Conclusiones
Los procesos efectivos de planificación ambiental y toma de decisiones, acompañados de fuentes sólidas de información, deben prevenir situaciones como la mala disposición final de residuos sólidos en lugares técnicamente no aptos para tal fin y permitir la realización de acciones de manejo para controlar o mitigar los impactos negativos generados por el acelerado crecimiento y desarrollo urbanístico en la zona de influencia del BN. Para este caso, los hallazgos de este trabajo indican que las áreas ubicadas al norte del BN podrían estar sujetas a mayores exposiciones de contaminantes que se dispersan en el aire desde esta fuente fija. En particular, barrios como El Vallado, Morichal, El Retiro y Villamercedes requieren la mayor atención.
Las concentraciones de BTX para 2007 en la zona de influencia del BN, calculadas bajo el supuesto de que las emisiones de BTX corresponden en realidad a las obtenidas con el modelo LandGEM, no exceden los niveles máximos permisibles para contaminantes no convencionales establecidos tanto por el Ministerio de Ambiente, Vivienda y Desarrollo Territorial en la Resolución 610 de 2010 como por la EPA. Sin embargo, se considera que estas concentraciones tienden a disminuir a medida que transcurre el tiempo, lo cual reduciría el riesgo sanitario al cual podría estar expuesta la población que reside en áreas cercanas a este sitio de disposición final.
No obstante, se subraya que los datos de concentración en los receptores aquí presentados son teóricos y que deben ser comparados con datos experimentales. En este sentido, la mayor limitación de los resultados radica en la ausencia de una estimación experimental de la emisión de los gases de interés. Las emisiones teóricas calculadas con el modelo LandGEM pueden ser consideradas como conservadoras.
Por otra parte, los supuestos del modelo gausiano de dispersión empleadas por el ISCST3 también podrían conducir a sobreestimar las concentraciones de los gases en los receptores. Sin embargo, aún doblando las emisiones calculadas por LandGEM, se encontró que las concentraciones estimadas con ISCST3 siguen siendo del mismo orden de magnitud que las reportadas en este trabajo.
Referencias
ALCALDÍA MUNICIPAL DE SANTIAGO DE CALI, UNIVERSIDAD DEL VALLE. Caracterización de los residuos sólidos residenciales generados en el municipio de Santiago de Cali. [Documento en línea]. 2006. Escuela de Ingeniería y de Recursos Naturales <http://objetos. univalle.edu.co/files/Caracterizacion_residuos_solidos_residenciales_en_Santiago_Cali. pdf> [Consulta: 01-11-2009] [ Links ].
COLMENARES, W; SANTOS, K. Generación y manejo de gases en sitios de disposición final [Documento en línea]. Ingeniería Química. 2007 <http://www.ingenieriaquimica.org/system/ files/relleno-sanitario.pdf> [Consulta: 03-11-2009] [ Links ].
CORTES, E. Entrevista personal con M. A. Gandini , evento de ACODAL, 27 de agosto de 2010. [ Links ]
DUMMER, T. J.; DICKINSON, H. O. y PARKER, L. Adverse pregnancy outcomes near landfill sites in Cumbria, northwest England, 1950-1993. Arch Environ Health. 2003, vol. 58, núm. 11, pp. 692. [ Links ]
ENVIRONMENTAL RESEARCH FOUNDATION. Landfills are dangerous. Rachel's Environment and Health News. 1998. Publicación semanal número 617. [ Links ]
GEOINFORMACIÓN. Sistema de información geográfico. Sensores remotos. Geofísica. [Catálogo en línea]. Santiago de Chile. 2004 < http://www.geoinfo.cl/pdf/ArcView8.pdf>. [Consulta: 15-11- 2009] [ Links ].
GÓMEZ, B. Estimación de la producción de lixiviados del vertedero de Basuras de Navarro a partir del modelo matemático Corenostos. Director: Luis Fernando Marmolejo.Universidad del Valle, Facultad de Ingeniería, Santiago de Cali. 2005. [ Links ]
INSTITUTO DE INVESTIGACIÓN DE SISTEMAS AMBIENTALES (ESRI). ArcGis. Un sistema completo integrado. [Catálogo en línea]. 2005. <http://downloads.esri.com/support/ whitepapers/ao_/what-is-arcgis-spanish.pdf> [Consulta: 11-03-2011] [ Links ].
LEE, F. G.; JONES-LEE, A. Impact of municipal and industrial non-hazardous waste landfills on public health and the environment: an overview. [Documento en línea]. El Macero: Comparative riskproject, EPA. 1994, vol. 530. <http://www.gfredlee.com/cal_risk.htm> [Consulta: 06-05-2009] [ Links ].
MACHADO, S.; CARVALHO, M.; GOURC, J. et al. Methane generation in tropical landfills: Simplified methods and field results. Waste Management. 2009, vol. 29, núm. 1, pp.153-161. [ Links ]
MENDEZ, F.; GÓMEZ, M. R. y FILIGRANA, P. Descripción de la calidad del aire en el área de influencia del Botadero de Navarro, Cali, Colombia. Colombia Médica. 2006, vol. 39, núm. 3, pp. 245-252. [ Links ]
MINISTERIO DE AMBIENTE, VIVIENDA Y DESARROLLO TERRITORIAL. Resolución 0610 del 24 de marzo de 2010. Por la cual se establece la Norma de calidad del aire o nivel de inmisión, para todo el territorio nacional en condiciones de referencia. Bogotá: Minambiente, 2006. [Consulta: 26-05-2011] [ Links ].
PUKKALA, E. y PONKA, A. Increased incidence of cancer and asthma in houses built on a former dump area. [Documento en línea]. Environmental Health Perspectives. 2001, vol. 109. <http://www.ncbi.nlm.nih.gov/pmc/articles/PMC1240472/pdf/ehp0109-001121. pdf> [Consulta: 11-02-2010]. ISSN 0091-6765. [ Links ]
VRIJHEID, M. Health effects of residence near hazardous waste landfill sites: a review of epidemiologic literature. [Documento en línea]. Enviromental Health Perspectives. 2000, vol. 108 <http://ehp03.niehs.nih.gov/article/fetchArticle.action?articleURI=info:doi/10.1289/ehp.00108s1101> [Consulta: 06-05-2009] [ Links ].
UNITED STATES ENVIRONMENTAL PROTECTION AGENCY (EPA). Landfill Gas Emissions Model (LandGEM). [Catálogo en línea]. Version 3.02 User's Guide. EPA-600/R-05/047 <http://www.geoinfo.cl/pdf/ArcView8.pdf> [Consulta: 28-11-2009] [ Links ].
UNITED STATES ENVIRONMENTAL PROTECTION AGENCY (EPA). Modelo de dispersión atmosférica. [Documento en línea]. EPA 1999. <http://www.geoinfo.cl/pdf/ArcView8.pdf> [Consulta: 03-11-2010] [ Links ].











