Servicios Personalizados
Revista
Articulo
Indicadores
-
Citado por SciELO -
Accesos
Links relacionados
-
Citado por Google -
Similares en
SciELO -
Similares en Google
Compartir
Estudios Gerenciales
versión impresa ISSN 0123-5923
estud.gerenc. v.23 n.104 Cali jul./sep. 2007
¿ES EFICIENTE EL MERCADO CAMBIARIO COLOMBIANO? UNA MIRADA DESDE LAS PRUEBAS DE COINTEGRACIÓN
JULIO CÉSAR ALONSO C.1, GLORIA CECILIA MARTÍNEZ2
1Director del CIENFI jcalonso@icesi.edu.co
2Asistente de Investigación. gloriacecilia@correo.icesi.edu.co. Centro de Investigaciones en Economía y Finanzas (CIENFI). Departamento de Economía - Departamento de Finanzas.
"A market is efficient with respect to information set θ, if it is impossible to make economic profits by trading on the basis of information set θ." JENSEN (1978)
Fecha de recepción: 29-01-2007 Fecha de corrección: 25-03-2007 Fecha de aceptación: 17-08-2007
RESUMEN
Este artículo analiza la eficiencia semifuerte del mercado cambiario colombiano con dos regímenes de cambio diferentes: el sistema de banda cambiaria y el tipo de cambio flexible. En el estudio se emplearon diferentes pruebas de cointegración, adicionalmente una prueba de restricciones en los parámetros de cointegración, planteada por Ferré y Hall (2002), con la cual se puede demostrar que cointegración entre los mercados de divisas no significa necesariamente ineficiencia de estos. Para realizar el estudio se emplearon datos diarios de la tasa de cambio. Los resultados indican que tanto para el régimen de banda como el de tasa de cambio flexible el mercado cambiario colombiano es eficiente.
PALABRAS CLAVE
Tipo de cambio, eficiencia de los mercados financieros, cointegración.
ABSTRACT
This article discusses the semi-strong efficiency of the Colombian exchange market from the perspective of two different exchange regimes, i.e. the exchange rate band and the flexible exchange rate systems. This study involved the use of different co-integration tests. In addition to this, a test of restraints of the co-integration parameters developed by Ferré and Hall (2002) was used as a tool to show that the co-integration of currency exchange markets does not necessarily reflect that the markets are inefficient. The study was conducted using data about daily exchange rates. The results show that both for the exchange rate band and the flexible exchange rate systems, the Colombian exchange market is efficient.
KEY WORDS
Exchange regimes, efficiency of financial markets, co-integration.
1. INTRODUCCIÓN
La eficiencia del mercado de divisas ha sido uno de los objetivos de la autoridad cambiaria colombiana desde la adopción de un régimen de bandas cambiarias en enero de 1994 y posteriormente de una flotación sucia del dólar (en septiembre de 1999). ¿Pero fue eficiente el régimen de bandas? ¿Lo es el régimen actual?
El sistema de bandas en Colombia ha sido motivo de muchas discusiones. Por ejemplo, según Cárdenas (1997) y otros la decisión del Banco de la República de definir el centro de la banda cambiaria en términos del dólar americano implicó que la estabilidad de la tasa de cambio se viera amenazada por cualquier movimiento en la cotización del dólar frente a terceras monedas.
Según Cárdenas (1997), se ignoraba la composición del comercio exterior colombiano de tal forma que movimientos de otras monedas frente al dólar no eran compensados por la banda cambiaria. Este tipo de críticas permiten preguntarse si la implementación del régimen de bandas adoptado por el Banco produjo un mercado eficiente.
En general, un mercado se considera eficiente cuando no se presenta la oportunidad de obtener ganancias extraordinarias, es decir, no existe la posibilidad de realizar arbitraje. Sin embargo, a partir del trabajo de Fama (1970) se pueden distinguir tres tipos de eficiencia, dependiendo de qué tan rápido responda el mercado de divisas a los cambios de la información disponible; dichas formas de eficiencia son la débil, semifuerte y fuerte. Este trabajo considera únicamente la eficiencia semifuerte del mercado cambiario, es decir, que no se puede utilizar el análisis de información actual, adicional al precio histórico, para predecir el precio futuro de la divisa, siguiendo la idea de Granger (1986).
En especial, el estudio de la eficiencia del mercado cambiario toma un nuevo rumbo a partir de Granger (1986), donde el autor demuestra que los mercados son eficientes cuando no hay cointegración entre ellos. Este autor argumenta que la no cointegración implica que no existirá una relación de largo plazo que permita predecir el tipo de cambio de una moneda a partir de información de valores pasados de otra, sino que, por el contrario, cada uno actuará libremente.
Sin embargo, otros autores han demostrado que la cointegración no significa necesariamente ineficiencia en el mercado. Por ejemplo, Ferré y Hall (2002) demuestran que aun existiendo cointegración entre varias divisas, el mercado cambiario puede ser eficiente.
Nuestro objetivo es determinar la eficiencia (semifuerte) del mercado cambiario colombiano, tanto para el período de bandas como para el de flotación; partiendo de la premisa que la presencia de cointegración no será prueba suficiente para argumentar la ineficiencia del mercado.
El documento se encuentra dividido en cinco partes. La primera corresponde a esta breve introducción; en la segunda parte se presenta una corta revisión bibliográfica sobre los diferentes estudios, definiciones y pruebas sobre la eficiencia del mercado cambiario y la relación entre cointegración y eficiencia. Adicional se presenta una descripción del modelo que se empleará para determinar la eficiencia de los mercados. Las dos siguientes secciones evalúan la eficiencia del mercado cambiario colombiano con el régimen de bandas y el flexible. Por último, en la sección cinco, se presentan unos comentarios finales.
2. UNA PRUEBA DE LA EFICIENCIA EN LOS MERCADOS FINANCIEROS
En general, se considera un mercado como eficiente si no se presenta la oportunidad de obtener ganancias extraordinarias. Esto implica que el mercado de divisas responde de inmediato a los cambios de información que se presentan. Sin embargo, cierta información puede afectar el precio de la divisa de forma más rápida que otra. Fama (1970) discute esta idea presentando tres formas de eficiencia, dependiendo el efecto de la información en el precio. La primera forma, denominada eficiencia débil, implica que los precios pasados no permiten predecir los precios futuros, por lo que la mejor forma de modelar la serie de precios de la divisa es mediante un camino aleatorio.
El segundo tipo de eficiencia, denominada eficiencia semifuerte, considera que toda la información presente en el mercado se incluye en el precio, es decir, que no es posible predecir la variación futura del precio de la divisa empleando información actual. Por último, el tipo de eficiencia fuerte implica que la información tanto pública como privada es deducida por el precio de la divisa.1 Este trabajo evalúa la eficiencia del tipo semifuerte2 del mercado cambiario colombiano, al emplear información actual de diferentes mercados para determinar su capacidad predictiva.
Varios estudios han analizado la eficiencia del mercado cambiario desde diferentes ópticas. Por ejemplo, Alexander y Johnson (1992), Copeland (1991), Crowder (1994) y MacDonald y Taylor (1989)3 argumentan que un mercado es eficiente cuando las series de los precios no se encuentran cointegradas, pues en caso de hallarse cointegración, existirá un Modelo de Corrección de Errores (MCE) que permitiría establecer reglas de ajuste a desequilibrios observados. Dicho MCE ha sido utilizado como evidencia de que los precios de las monedas son predecibles utilizando la información de períodos pasados del precio de la otra moneda, ya que existe una relación de largo plazo y un ajuste de corto plazo a dicha relación.
Sin embargo, otros autores como Fama (1970) y Dwyer y Wallace (1992) critican la definición de eficiencia de mercado como aquel donde los cambios en los precios son impredecibles. Estos autores argumentan que esta definición carece de contenido económico, ver Fama (1970) y Dwyer y Wallace (1992). Aducen que los cambios en los precios pueden ser predecibles aun en mercados eficientes. La interpretación que se ha hecho de la relación entre cointegración y eficiencia del mercado ha sido que no cointegración es condición suficiente y necesaria para que exista eficiencia.
Autores como Dwyer y Wallace (1992) y Ferré y Hall (2002) han demostrado que es posible que exista cointegración en un mercado eficiente; por el contrario, eficiencia no implica que las series no puedan ser predecibles, sino que no existan oportunidades de arbitraje Baffes (1994). Es más, Engel (1996) planteó que la propiedad de cointegración es independiente de la condición de eficiencia de los mercados cambiarios.
El problema, de acuerdo con estos autores, ha sido relacionar predicción e ineficiencia. Es posible hacer la predicción del tipo de cambio de una moneda y esto no necesariamente representa una oportunidad de arbitraje dado que, al considerar un modelo más amplio, existirán otros mercados que reaccionarán eliminando la posibilidad de arbitraje, es decir, los mercados emplean la información adicional que se presenta y esta es descontada en el precio evitando la oportunidad de obtener ganancias económicas. De este modo, el concepto de eficiencia del mercado corresponde al caso donde los tipos de cambio incluyen, en todo momento, el conjunto de la información disponible y, por lo tanto, no pueden obtenerse beneficios extraordinarios.
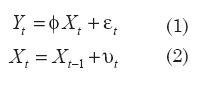
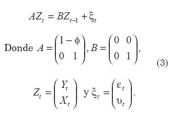
En especial, Ferré y Hall (2002) presentan una prueba que permite determinar la eficiencia de un mercado en presencia de cointegración entre los precios. Siguiendo a Ferré y Hall (2002) supongamos que únicamente existen dos activos, cuyos precios están dados por Xt y Yt y presentan la siguiente relación de cointegración:
Donde
y
son términos de error estacionarios. O en forma matricial, tendremos:
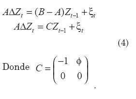
Dado que existe una relación de largo plazo, es posible obtener un MCE. Es decir,
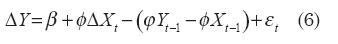
La expresión (4) corresponde a un MCE de forma estructural. De hecho la presencia del parámetro φ en las dos matrices (A y C) es la que indica la eficiencia en el mercado. Para entender claramente este punto, consideremos la primera ecuación del sistema expresado en (4):

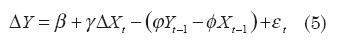
Si el parámetro que acompaña a Xt-1 y ΔXt fuera diferente, se tendría:

Ahora, si este es el caso (
), entonces valores pasados de Xt permiten predecir a Yt . Por tanto, para que haya un mercado eficiente puede existir cointegración, pero se necesita que
. Así, la existencia de un MCE no es lo que define la eficiencia o no, sino la forma que tome el MCE.
Siguiendo esta lógica, Ferré y Hall (2002) proponen una prueba de eficiencia que implica estimar dos modelos por medio del método de Máxima Verosimilitud con Información Completa (FIML por sus siglas en inglés). Primero, se sugiere estimar el modelo (3) sin restringir que los coeficientes que acompañan a Xt-1 y ΔXt sean iguales. Es decir, estimar:
El segundo modelo a estimar (por FIML) corresponde al (3) con la restricción de que los coeficientes que acompañan a Xt 1 y ΔXt sean iguales:
Entonces la prueba de eficiencia en el mercado implica comprobar por medio de una prueba de razón de máxima verosimilitud si la restricción aplica o no. En otras palabras, después de estimar (5) y (6) por medio de FIML, la prueba implica calcular el estadístico:
Donde LU es el logaritmo de la función de máxima verosimilitud del modelo sin restringir (5) y LR es la del modelo restringido (6). Como es bien conocido, la razón de máxima verosimilitud sigue una distribución Chi-cuadrado con m grados de libertad [X2(m)] , donde m corresponde al número de restricciones.
En este caso el número de restricciones es igual a 1. Por lo tanto si el estadístico LR calculado es mayor que 3.84 [valor crítico de la distribución X2 (1) y un nivel de significancia del 5%], se puede rechazar la hipótesis nula de que los coeficientes que acompañan a Xt 1 y ΔXt no son iguales, es decir, que se puede rechazar la hipótesis nula de eficiencia en el mercado.
Por lo tanto, esta aproximación para determinar la eficiencia del mercado implica inicialmente determinar si las series de precios de las divisas se encuentran cointegradas. Si las series no están cointegradas, esto es prueba suficiente de que este mercado es eficiente al no existir relación de largo plazo entre las variables. Por lo tanto, no es necesario proceder a emplear la prueba de Ferré y Hall. Si por el contrario se encuentra evidencia de que las series están cointegradas, es necesario emplear la prueba de Ferré y Hall para poder determinar si este mercado es eficiente o no.
Ferré y Hall (2002) aplicaron su prueba para evaluar la eficiencia del Sistema Monetario Europeo y encontraron, empleando datos mensuales para el periodo febrero 1984 a abril 1997, que no existía eficiencia entre el mercado del marco alemán y el franco belga. Mientras que para el mismo período se encontró un mercado eficiente entre el marco alemán y el chelín austriaco.
Empleando la misma prueba, Galindo y Calcines (2004) realizaron un estudio para evaluar la eficiencia del mercado cambiario entre el peso mexicano, el euro y el dólar y encontraron que no era eficiente para el periodo enero 1980 a diciembre del 2002.
3. EFICIENCIA DEL RÉGIMEN DE BANDAS EN COLOMBIA
El análisis empírico de la eficiencia del mercado cambiario en Colombia será dividido en dos periodos: El de bandas y el de flotación sucia. En esta sección se evaluará la eficiencia durante el período que rigió la banda cambiaria empleando datos diarios de la tasa de cambio del peso colombiano, la libra esterlina, el marco alemán, el franco suizo, el dólar canadiense, el yen, el real y el bolívar4 todos respecto al dólar.
Para las cinco primeras series se cuenta con información desde el 3 de enero de 1996 hasta el 30 de septiembre de 1999 tomados del Banco de la República. Para el tipo de cambio del yen la información va desde el 2 de enero de 1995 hasta el 30 de septiembre de 1999 tomados de Corfinsura.
Por último, para el bolívar y el real, la información va desde el 3 de enero de 1998 hasta el 30 de septiembre de 1999, cuya fuente es el Banco de la República y Corfinsura, respectivamente.5
Así, se evaluará la posibilidad de realizar arbitraje (mercado no eficiente) entre: a) el peso y la libra, b) el peso y el marco, c) el peso y el dólar canadiense, d) el peso y el yen, e) el peso y el bolívar, y f) el peso y el real.
Para conocer el orden de integración de las series se emplearon tres pruebas paramétricas de raíces unitarias: Dickey Fuller Aumentado (ADF), Phillips Perron (PP) y la Kwiatkowsky et al. (KPSS). Igualmente, se aplicó la prueba no paramétrica de Breitung (2002).6
En todos los casos se concluye que las series son integradas de orden uno, I(1). Este resultado es consistente con el hecho estilizado de que los tipos de cambio nominales tienen generalmente una raíz unitaria y siguen un camino aleatorio Ver por ejemplo Alonso y Arcos (2006), Meese y Singleton (1982) o Baillie y Bollerslev (1989).
Para establecer la cointegración entre las parejas de tasas de cambio se emplearon dos tipos de pruebas: la prueba de Johansen y las pruebas no paramétricas de Breitung (2002) y de Bierens (1997) (Ver Tablas 1, 2 y 3).
Comparando las dos pruebas de cointegración se observa que, de acuerdo con la prueba de Johansen, existe cointegración entre el peso con la libra y el dólar canadiense. Según la prueba de Breitung, la cointegración sólo está presente entre el peso y la libra. Finalmente, de acuerdo con la prueba de Bierens existe cointegración, al igual que la prueba de Johansen, entre el peso y la libra y el peso y dólar canadiense.
Así, según estas tres pruebas, existe evidencia unívoca para concluir que el mercado cambiario entre el peso colombiano y el marco alemán, el yen, el franco suizo, el bolívar y el real durante el periodo de bandas eran eficientes, pues no existe cointegración.
Por el contrario, en el caso del pesolibra y peso-dólar canadiense existe evidencia en torno a la presencia de cointegración. Para estos dos mercados emplearemos la prueba de Ferré y Hall (2002) y poder determinar si hay eficiencia en el mercado. Las estimaciones de las ecuaciones (5) y (6) por el método de FIML se presentan en las Tablas 4 y 5.
Para comprobar la hipótesis nula de que no existen posibilidades de arbitraje, es decir
, se emplea la razón de máxima verosimilitud sugerida por Ferré y Hall (2002). Los resultados, reportados en la Tabla 6, no brindan evidencia para rechazar la hipótesis nula de que
para ninguno de los dos casos considerados.
4. EFICIENCIA DEL RÉGIMEN DE TIPO DE CAMBIO FLEXIBLE
El segundo análisis se realiza para el periodo en el que se encuentra vigente el sistema de tipo de cambio flexible. En este caso se emplearon series diarias completas del precio euros, pesos colombianos y yenes respecto al dólar. Los datos fueron tomados de Corfinsura para el período comprendido entre el 3 de enero de 2000 y el 14 de marzo de 2006.
Tras comprobar que las tres series anteriormente mencionadas son I(1),7 se procedió a comprobar si existía o no cointegración para evaluar la posibilidad de realizar arbitraje entre: a) el peso y el euro y b) el peso y el yen.
La prueba de Johansen, (Tabla 7) así como la no paramétrica de Breitung, (Tabla 8) implican que ninguna de las dos parejas de series evaluadas se encuentran cointegradas. La prueba no paramétrica de Bierens (Tabla 9) refuerza la conclusión para el peso-yen, mientras que presenta evidencia a favor de la cointegración del peso-euro. De acuerdo con estos resultados no existe evidencia para afirmar que alguna de las dos parejas de series se encuentran cointegradas. Como se discutió anteriormente, la no existencia de cointegración implica que no hay una relación sistemática de largo plazo y por tanto el mercado será eficiente. Así, en este caso se puede afirmar que para el período de flotación sucia los mercados peso-euro y peso-yen son eficientes.
5. CONCLUSIONES
Este documento tiene como objetivo comprobar la eficiencia (semifuerte) o no del mercado cambiario en Colombia, entendido como eficiencia la no existencia de oportunidades de hacer arbitraje empleando información presente en el mercado. Para lograr este objetivo, se examina el comportamiento del mercado cambiario en dos escenarios diferentes: el régimen de banda cambiaria y el régimen de libre flotación.
Siguiendo a Ferré y Hall (2002) la simple cointegración de las series no es una condición suficiente (pero sí necesaria) para determinar la ineficiencia de un mercado. Para la existencia de un mercado ineficiente es necesario no solamente la presencia de cointegración (y por tanto la existencia de un modelo de corrección de errores), sino una estructura muy especial del modelo de corrección de errores.
De acuerdo con esta condición, se encuentra que el mercado cambiario colombiano durante el periodo de bandas es eficiente, aun ante la presencia de cointegración entre las parejas de tasas de cambio: pesodólar libra-dólar y peso-dólar dólar canadiense-dólar. Así mismo, para el periodo de libre flotación se encuentra que el mercado de divisas es eficiente, pues no existe relación de largo plazo (cointegración) entre las divisas consideradas. De hecho es importante anotar que según autores como Hakkio y Rush (1989), en un régimen de tasa de cambio fijo es natural encontrar cointegración entre las tasas de cambio, pero esto no necesariamente implica ineficiencia, tal como se ha demostrado para el caso colombiano.
Según estos resultados se puede concluir que el mercado cambiario, tanto en la época de banda cambiaria como en la de libre flotación, ha sido eficiente desde el punto de vista financiero, dado que no se presentaba la oportunidad de realizar arbitraje entre los diferentes mercados a través del dólar. En este sentido, la inexistencia de oportunidades de arbitraje implica que el peso colombiano no estaría propenso a ataques especulativos por medio de la triangulación de cualquiera de los mercados de divisas considerados.
Así, nuestros resultados significan por ejemplo que la fijación del centro de la banda cambiaria en términos del dólar americano implicó un diseño de la banda que garantizó en la práctica la eficiencia "financiera" del mercado de divisas. Esta conclusión conlleva la necesidad de explorar más a fondo la eficiencia del mercado cambiario. Aún existen preguntas sin resolver como: ¿Cuáles son las posibles causas para que el mercado de divisas fuera eficiente para este periodo? ¿Este resulta exclusivo del diseño de las bandas adoptado en Colombia, o es común a otros mercados en los que se presentaba este régimen de tasa de cambio? Las respuestas a estas preguntas se encuentran por fuera del alcance de este documento, y quedan pendientes para futuras investigaciones.
Por otro lado, en cuanto al régimen de tasa de cambio flexible, para el caso colombiano nuestros resultados implican la presencia de un mercado en el que la triangulación entre divisas no genera ningún tipo de beneficios para los agentes y por tanto impide la especulación y preserva la eficiencia (financiera) del mercado cambiario.
NOTAS AL PIE DE PÁGINA
1. Se considera información privada aquella que es solo conocida por las personas que la elaboran. Está prohibido emplear dicha información que no es conocida por el mercado para obtener beneficio económico.
2. De aquí en adelante, cuando nos refiramos a eficiencia estaremos implicando eficiencia del tipo semifuerte.
3. Siguiendo a Granger (1986).
4. Todas las cotizaciones de las monedas corresponden al mercado de divisas nacional.
5. Se tomaron sólo los días en que ambos mercados estuvieron abiertos al público.
6. Para ahorrar espacio los resultados de estas pruebas no son reportados, no obstante estos se encuentran disponibles vía correo electrónico para el lector interesado.
7. Para ahorrar espacio los resultados de estas pruebas no son reportados, no obstante estos se encuentran disponibles vía correo electrónico para el lector interesado.
BIBLIOGRAFÍA
Alexander, C. O. y Johnson, A. (1992). Are Foreign Exchange Market really efficient? Economics Letters, 40(4), 449-453. [ Links ]
Alonso C., J. C. y Arcos, A. 2006. 4 Hechos estilizados de las series de rendimientos: Una ilustración para Colombia. Estudios Gerenciales, 22(100), 103-123. [ Links ]
Alonso, J. y Cabrera, A. (2004). La tasa de cambio nominal en Colombia. Apuntes de economía. (Universidad Icesi), (2), 1-29. [ Links ]
Baffes, J. (1994). Does comovement among exchange rates imply market inefficiency? Economics Letters, 44 , 273-280 . [ Links ]
Baillie, R.T y Bollerslev, T. (1989). Common stochastic trends in a system of exchange rates. Journal of Finance, 44(1), 167-181. [ Links ]
Bierens, H. J. (1997). Testing the unit root with drift hypothesis against nonlinear trend stationary, with an application to the US price level and interes rate. Journal of Econometrics, (81), 29-64. [ Links ]
Breitung, J. (2002). Nonparametric test for unit roots and cointegration. Journal of econometrics, 108(2), 343-63. [ Links ]
Cárdenas S., M., Alonso J. C., Bernal, R. y Prada S. (1997). Tasa de Cambio en Colombia. Bogotá, Colombia: Fedesarrollo y Tercer Mundo Editores. [ Links ]
Copeland, L.S. (1991). Cointegration test with daily exchange rate data. Oxford Bulletin of Economics and Statistics, 53(2), 185-198. [ Links ]
Crowder, W.J. (1994). Foreign exchange market efficiency and common stochastic trend. Journal of International Money and Finance, 13(5), 551-564. [ Links ]
Dawer, G. P. & Wallece, M. S. (1992). Cointegration and Market Efficiency. Jorurnal of International Money and Finance, 11(4), 318- 327. [ Links ]
Engel, C. (1996). A note on cointegration and international money market efficiency. Journal of International Money and Finance, 15(4), 657-660. [ Links ]
Fama, E. F. (1970). Efficient capital markets: A revie of theory and empirical literatura. Journal of Finance, (25), 383-417 [ Links ]
Ferré & Hall (2002). Foreign Exchange market efficiency and cointegration. Applied Financial Economics, 12 (2), 131-139. [ Links ]
Galindo, L.M y Salcines, J.V. (2004). La eficiencia del mercado cambiario entre el euro, el peso mexicano y el dólar: un análisis de cointegración con restricciones. Análisis Económico, 19(41), 277-291. [ Links ]
Granger, C.W.J. (1986). Developments in the study of cointegrated economic variables. Oxford Bulletin of Economics and Statistics, 48(3), 213-228. [ Links ]
Hakkio, C. S. & Rush, M. (1989). Market efficiency and cointegration: an application to the Sterling and Deutschmark Exchange markets. Journal de International Money and Finance (8). [ Links ]
Jensen, M. C. (1978). Some Anomalous Evidence Regarding Market Efficiency, Journal of Financial Economics (3). [ Links ]
MacDonald, R. & Taylor, M. P. (1989). Foreign exchange rate market efficiency and cointegration. Applied Financial Economics (4). [ Links ]
Meese, R.A. & Singleton, K.J. (1982). On unit roots and the empirical modelling of exchange rates. Journal of Finance (37). [ Links ]



















