Servicios Personalizados
Revista
Articulo
Indicadores
-
Citado por SciELO -
Accesos
Links relacionados
-
Citado por Google -
Similares en
SciELO -
Similares en Google
Compartir
Estudios Gerenciales
versión impresa ISSN 0123-5923
estud.gerenc. v.27 n.120 Cali jul./set. 2011
LA MAXIMIZACIÓN DEL BENEFICIO EN LAS EMPRESAS DEPURADORAS DE AGUAS RESIDUALES. EL CASO DE VALENCIA (ESPAÑA)1
JOSÉ MANUEL BROTONS MARTÍNEZ, Ph.D.*
Profesor titular Economía Financiera y Contabilidad, Universidad Miguel Hernández, España. jm.brotons@umh.es
* Dirigir correspondencia a: Avda. de la Universidad s/n, Edificio La Galia, Universidad Miguel Hernández, 03202 Elche, Alicante, España.
Fecha de recepción: 05-03-2010 Fecha de corrección: 05-05-2010 Fecha de aceptación: 06-07-2011
RESUMEN
El estudio propone un sistema de maximización de beneficios de una estación depuradora de aguas residuales (EDAR). La presencia de objetivos múltiples impide su consecución simultánea, por lo que se considerará suficiente la consecución de un determinado grado de satisfacción para cada uno de ellos. En ocasiones, resulta muy complicado este último planteamiento, por lo que se permitirán excepcionalmente ciertas violaciones de algunas restricciones, lo que permite concluir que la programación por objetivos borrosa puede ser un instrumento adecuado para este tipo de problemas. En consecuencia, las EDAR tendrán una herramienta precisa para conseguir la maximización de sus beneficios al que se añade un nuevo sistema de medición de la eficiencia en el sector.
PALABRAS CLAVE
Financiación, aguas residuales, programación por objetivos borrosa.
Clasificación JEL: M00
ABSTRACT
Profit maximization at wastewater treatment plants. The case of Valencia (Spain).
The main purpose of this paper is to design a new way to maximize the profit of wastewater treatment plants (WWTP). The establishment of multiple goals impedes their simultaneous achievement. As a result, it will be enough to achieve a certain degree of satisfaction of each goal. Sometimes this approach can be extremely difficult, so minor violations of some restrictions are exceptionally allowed. Fuzzy goal-based scheduling can be considered a suitable tool for these kinds of problems. In short, WWTPs will have a suitable tool for achieving profit maximization, and, at the same time, there will be a new system to measure efficiency in the sector.
KEYWORDS
Financing, wastewater, fuzzy goalbased program.
RESUMO
A maximização do lucro nas empresas depuradoras de águas residuais. O caso de Valência (Espanha)
O estudo propõe um sistema de maximização do lucro de uma estação de tratamento de águas residuais (ETAR). A presença de múltiplos objetivos impede a sua realização em simultâneo, pelo que será considerado suficiente atingir um determinado grau de satisfação para cada um deles. Por vezes essa última abordagem é muito complicada, pelo que se permitirão excepcionalmente certas violações de algumas restrições, o que permite concluir que a programação por metas difusa pode ser um instrumento adequado para esse tipo de problemas. Portanto, as ETAR terão uma ferramenta adequada para atingir a maximização de seus lucros ao qual é adicionado um novo sistema de medição da eficiência no setor.
PALAVRAS-CHAVE
Financiamento, águas residuais, programação por metas difusa.
INTRODUCCIÓN
La programación multiobjetivo es una herramienta adecuada para la modelización de problemas de toma de decisión en el mundo real, especialmente cuando existe conflicto entre los múltiples objetivos (Lee y Wen, 1997). En estos casos resulta necesario una ordenación de los mismos y si es posible, su ponderación. Además, una de sus mayores limitaciones viene del hecho de que el nivel de aspiración o la prioridad de los objetivos, y ocasionalmente los pesos asignados a éstos, son imprecisos para el decidor financiero. En esas circunstancias, la teoría de los subconjuntos borrosos permite una adecuada cuantificación de los mismos y su correcta implementación en un problema de toma de decisiones.
El problema hídrico ha sido abordado recientemente en trabajos como los de Méndez y Méndez (2010); así como numerosos trabajos han abordado el tema de la programación multiobjetivo en los recursos hídricos (Dauer y Krueger 1980; Haimes, Tarvainen, Shima y Thadathil, 1990; Loucks, 1977). Por su parte, las aplicaciones de la programación multiobjetivo en la administración de la calidad del agua no son demasiado frecuentes, destacan los trabajos de Steuer y Wood (1986) que consideran el método de Tchebycheff de la programación 0-1 para conseguir agua de calidad y Lai, Lin y Hwang (1994) quienes desarrollaron una técnica para ordenar preferencias por similitud con un método de solución ideal para desarrollar en el valle del río Bow. A este respecto, Lee y Wen (1995) abordaron la aplicación de programación multiobjetivo para la administración de agua de calidad en una cuenca hidrográfica y luego, en otro trabajo, introdujeron la metodología fuzzy para este mismo propósito (Lee y Wen, 1996). Otras aplicaciones de la metodología fuzzy en el ámbito empresarial pueden consultarse en Medina y Manco (2007) y Herrera y Osorio (2006).
La situación hídrica en España es preocupante (Terceño, Brotons y Trigueros, 2009), por lo que adquiere una gran importancia la depuración de aguas residuales.
Las comunidades autónomas son las encargadas de sufragar los gastos de la depuración de aguas residuales en España. A este respecto, es la Comunidad Valenciana la que presenta una normativa más extensa sobre el particular. Los modelos de financiación, regulados por la Orden de 14 de abril de 1993 (Consellería dObres Públiques, Urbanisme i Transports) sirven de base para tal propósito. Según estos, para determinar los gastos financiables:
- Se agregan los costes de energía eléctrica, personal, reactivos y otros costes, se procede a su separación en fijos y variables, para los primeros se calcula el coste diario, y para los segundos el coste por metro cúbico depurado, y la financiación para cada periodo se obtendrá multiplicando el coste medio diario por el número de días del periodo a financiar, más el coste por metro cúbico por el volumen depurado. (Terceño, Brotons y Trigueros, 2007b, p. 124)
Al resultado se le agrega un porcentaje en concepto de gastos generales.
De acuerdo con Terceño, Brotons y Trigueros (2007a), el sistema actual adolece de importantes deficiencias, entre las que destacan la imposibilidad de financiar todos los gastos y el cálculo del beneficio industrial como un porcentaje de los costes totales, con base en las cuales se ha propuesto su sustitución por otro, no basado en la financiación de los costes reales, sino en los costes estándares o medias de la comunidad.
El reparto de los costes comunes, tal y como se expone a lo largo del apartado dedicado a la financiación de la estación depuradora de aguas residuales (EDAR), debe realizarse en base al Valor Neto de Realización (VNR). Sin embargo, esto exige el conocimiento del precio de mercado de todos los productos obtenidos en el proceso de depuración, pero el precio del agua depurada es incierto por no existir en la actualidad mercado para el mismo. Es por ello que la matemática fuzzy o borrosa se convierte en un instrumento adecuado para el tratamiento de esta incertidumbre.
Con base en este planteamiento se propone, en primer lugar, determinar un sistema de medición de la eficiencia en una EDAR que tenga en cuenta tanto la reducción de los costes de cada uno de los procesos, como la consecución de los objetivos de calidad, ya sea en el porcentaje de reducción de la carga contaminante como en los niveles del efluente. A partir de este sistema de medición de la eficiencia y del modelo de financiación de las EDAR, se plantea la exigencia de maximización de su beneficio.
En consecuencia, este trabajo se estructura en los siguientes cinco apartados: en el primero se presentan las notaciones sobre matemática fuzzy utilizadas, en el segundo una breve introducción a la programación por objetivos fuzzy. En el tercero se propone el nuevo modelo de financiación basado en los costes reales de la depuración del agua residual y considerando que los costes asociados a fangos deshidratados y electricidad pueden recuperarse a través de su venta. En el cuarto se introduce la eficiencia en el modelo, y por último, en el quinto se presenta la programación por objetivos que deberá seguir la empresa para maximizar sus beneficios.
1. CONCEPTOS PREVIOS Y NOTACIÓN
Un subconjunto borroso à es un subconjunto definido sobre el conjunto de referencia X para el que el nivel de pertenencia de un elemento x
X a à acepta valores diferentes a 0 y 1. Un subconjunto borroso à puede ser definido como à = {x, μà (x)/x
X} donde μà (x) se denomina función de pertenencia y es una aplicación μà (x)
[0,1] . Un α -corte es un conjunto ordinario (crisp) que contiene elementos cuyo nivel de pertenencia es al menos α. Para un subconjunto borroso Ã, se denotará un α -corte con Ãα siendo su expresión matemática:

Se denotará por à = (αL, αC, αR) a los números borrosos triangulares (NBT), donde αL, αC y αR representan, respectivamente, el extremo izquierdo, el centro y el extremo derecho. Otra forma de representar estos números es mediante sus radios izquierdo (lA) y derecho (rA): à = (αL, lA, rA). Estos son los números borrosos más extendidos ya que son fáciles de usar y pueden ser interpretados de forma fácil.
2. LA PROGRAMACIÓN POR OBJETIVOS FUZZY
Charnes y Cooper (1961) introdujeron la programación por objetivos. Una de sus principales ventajas es que permite alcanzar directamente, para problemas multiobjetivo, una solución de compromiso. Sin embargo, su principal problema es que el decisor debe especificar exactamente los objetivos, sin considerar que éstos son imprecisos. Con la matemática fuzzy, propuesta inicialmente por Zadeh (1965), se consiguió superar dicha dificultad ya que permitió asignar los objetivos de una forma imprecisa.
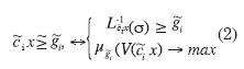
Si se utiliza la programación por objetivos fuzzy (Zimmermann, 1978), se puede asumir que el decisor puede establecer en dicho programa un nivel de aspiración gi para cada objetivo, y que algunas restricciones pueden violarse ligeramente. A partir de ahora, ya no se distinguirá entre objetivos y restricciones, ya que la solución del problema debe cumplir ambos con un determinado grado de satisfacción. En este caso, el modelo podría escribirse así:
Encontrar:

Donde los símbolos
indican que las ecuaciones o inecuaciones son flexibles y que tienen una interpretación del tipo "esencialmente mayor que" o "aproximadamente igual que", respectivamente. De acuerdo con Rommel-fanger y Slowinski (1998) se puede interpretar la restricción
como:

Donde σ
[0,1] es un parámetro que puede ser usado por el decisor dependiendo de su grado de aversión al riesgo. De forma similar se pueden interpretar las restricciones de tipo
. Los objetivos están caracterizados por sus correspondientes funciones de pertenencia. Si el margen de tolerancia se representa por ti, para restricciones del tipo
, y el valor central del número borroso
ix se denota por cix . La función de pertenencia puede expresarse:

La interpretación de las restricciones del tipo
es similar.
3. FINANCIACIÓN DE LAS EMPRESAS EDAR
En la mayoría de países la depuración es financiada por las distintas administraciones, pero existen otros en los que se financia a través del cobro de un canon a los consumidores de aguas potables. Se trata de sistemas muy similares, ya que en el primer método la administración determina la cantidad a financiar, y en el segundo, una vez establecida dicha cantidad, se repercute sobre el consumo estimado de agua potable. Ambos presentan importantes deficiencias: se financian costes de productos que luego se venden en el mercado (fangos y electricidad), y se consideran unos parámetros mínimos de calidad, pero no se incentiva su mejora (Terceño et al., 2007b).
Aunque el número de fases que se aplican a la depuración dependen de la calidad del agua que se desea obtener, en términos generales suelen agruparse en cuatro: pretratamiento, tratamiento primario, secundario y terciario. En la Tabla 1 se enumeran los procesos de depuración, con especificación del tipo de tratamiento al que corresponden, el tipo de EDAR y la línea de tratamiento. Las combinaciones que se pueden dar son bastante variadas. A modo de ejemplo, se muestra en el Gráfico 1 la EDAR de Algorós (Elche).

les afectarán todos los costes a los productos, tanto directos como indirectos, con el objeto de que sean comparables entre EDAR diferentes, salvo aquellos que no guardan ninguna relación con las primeras, que serán imputados a los productos que se denominarán costes específicos CAE. De esta forma, se podrá conseguir una comparación mucho más homogénea entre EDAR, a través de los costes por metro cúbico depurado (Cj) de cada una de sus procesos. El último paso será la imputación a los productos de los costes anteriormente calculados, de acuerdo con determinados criterios de reparto.
Los costes de cada sección j por metro cúbico depurado pueden agruparse en las siguientes categorías: energía eléctrica (Ej), personal (Pj), reactivos (Rj) y otros costes (Oj). A su vez, la energía eléctrica se descompone en kilowatios-hora contratados (Kt) y kilowatios-hora consumidos (CS), siendo sus precios Pt y PS , respectivamente. El coste de personal se deberá separar en horas consideradas como fijas (hFi) y variables (hVi), con sus respectivos precios PF y PV . El coste del reactivo s por metro cúbico depurado (Vj) en la sección j será αSj . Por último, los otros costes se agrupan en fijos (Ofj) y variables (OVj). En resumen, los costes unitarios para la sección j son: Cj = PtKtj + PS KSj + PFhFj +PVhVj +Vj∑j αSjPj +OFj +OVj .
El último paso será la imputación a los productos de los costes anteriormente calculados, de acuerdo con un criterio de reparto adecuado. La financiación deberá cubrir únicamente aquella parte de los costes que correspondan al agua depurada, único producto que no puede venderse por impedirlo el Real Decreto Legislativo 1/2001 (Ministerio de Medio Ambiente, 2001), por el que se aprueba el Texto Refundido de la Ley de Aguas, ya que el resto podrá recuperarse con la venta de los fangos deshidratados y la electricidad.
Se plantea como objetivo el establecimiento de un sistema de financiación para el sector que permita cubrir sus costes, pero que premie a aquellas empresas que consigan una reducción de los mismos y una mejora de los parámetros de depuración. Para ello habrá que determinar los costes medios de cada proceso (en el ámbito de aplicación de este modelo), mediante una correcta asignación de los costes indirectos. A este respecto, Horngren, Foster y Datar (1996) indican que en el caso de empresas sujetas a regulación o en las que no haya mercado de referencia para fijar los precios, éstos deben establecerse a partir de los costes incurridos. La Norma Internacional de Contabilidad Nº2 (NIC 2, 2005) establece que cuando los costes de transformación de cada tipo de producto no sean identificables por separado, se distribuirá el coste total entre los productos, utilizando bases uniformes y racionales. Hemmer (1996), Wang (1996) y Deakin y Maher (1991) proponen el reparto de los costes comunes entre los productos de acuerdo con su VNR.
Este criterio de separación de los costes comunes presenta la dificultad del cálculo del precio de mercado del agua depurada.
Al no haber un mercado de agua depurada, no existen datos sobre sus precios que permitan estimar su VNR. Dado que el precio es incierto, habrá que estimarlo a partir del precio que estarían dispuestos a abonar los demandantes, o el que solicitan los oferentes. Por ello, la variable precio del agua puede ser considerada como un número borroso triangular (NBT):
A(Pa, Pb, Pc), donde Pa es el mínimo, Pc el máximo, y Pb el valor más posible, siendo sus α -cortes
Aα = {x
U / μ
(x) ≥ α} = {α(PbPa) + Pa, α (Pb Pc) + Pc}.
Los coeficientes de reparto del producto i (
i) serán el cociente en el punto de separación entre el valor del producto i y el del total de la producción. A modo de ejemplo, el coeficiente de reparto de costes asignados al agua depurada es
A = A
A/(A
A + FPF + EPE), siendo A, F y E las unidades producidas de agua, fangos y electricidad, y
A, PF y PE, sus precios respectivos. Su función de pertenencia será:

La propuesta de financiación se basa en el conocimiento de los costes medios por metro cúbico depurado de cada una de las secciones, y de su eficiencia, de la que se hablará más adelante.
Valores de referencia
Para el conocimiento de los mismos, la administración correspondiente deberá estimar los precios de los distintos productos (
A,
F y
E) y los costes medios por metro cúbico depurado de cada una de las secciones (Cj). La administración encargada de la financiación de la actividad de depuración deberá obtener una serie de variables representativas de la depuración en el ámbito territorial de su influencia. La financiación se obtendrá por comparación entre dichos valores y los facilitados por cada una de las EDAR, con los factores de corrección suficientes. En concreto, dichas variables son las que se citan en la Tabla 2.

4. MEDICIÓN DE LA EFICIENCIA
Para medir la eficiencia de una EDAR, además de los aspectos económicos habrá que tener en cuenta la reducción de la contaminación conseguida, que habrá de medirse en función de varios indicadores como DBO5, DQO, SS, niveles de fósforo, nitrógeno, etcétera. Además, para cada uno de los anteriores, se valorará tanto el nivel final conseguido como su porcentaje de reducción.
En primer lugar se seleccionarán los indicadores relativos al porcentaje de reducción de la carga contaminante y a los niveles del efluente, a partir de los cuales se podrá calcular el nivel de eficiencia de cada sección, exclusivamente en función de los niveles de calidad conseguidos o incluyendo también los aspectos económicos si se pondera el nivel de costes conseguido.
Para la formulación del modelo de medición de la eficiencia de una EDAR, se definen las variables "porcentaje de reducción del parámetro s para la sección j de la EDAR i Psij", "porcentaje de reducción máximo del parámetro s en la sección j en todas las EDAR de una comunidad autónoma (Ps*j)", "concentración del parámetro s en el efluente de la sección j de la EDAR i (TSij)", y "mínimo valor de concentración en los efluentes de la sección j de la comunidad autónoma para el parámetro s TS*j".
Para cada uno de los parámetros que miden la mejora de la calidad del agua depurada, habrá que obtener tanto la reducción como su concentración en el efluente. Para la valoración del primero, se define δS*ij como la distancia entre el porcentaje de reducción del parámetro S en la sección j de la depuradora i, y el valor objetivo (mínimo valor de dicho parámetro en la sección j de todas las depuradoras de la comunidad autónoma) δS*ij = PS*j - PS*ij. De la misma manera se puede definir la distancia entre el nivel de contaminación del efluente de la sección j, conseguido en la EDAR i y el mínimo de toda la comunidad (ΔS*ij), ΔSij = TSij - TS*j.
El objetivo técnico será conseguir, para los parámetros seleccionados por la administración, que los valores δSij y ΔSij sean mínimos para todo s. Sin embargo, todas estas variables no evolucionan de la misma forma, por lo que habrá que ponderar para cada sección su importancia relativa. La distancia del porcentaje de reducción de la sección j respecto al valor objetivo para el parámetro s, se ponderará con un coeficiente αSj. Por su parte, la distancia del nivel de concentración del efluente de la sección j respecto al valor objetivo para el parámetro S, se ponderará con un coeficiente αS'j, de manera que ∑jαSj = ∑jαS'j=1, siendo ∑jαS la importancia asignada a la reducción del porcentaje de contaminación y∑jαS'j la asignada a la contaminación del efluente resultante.
La agregación de todas las distancias con respecto a los valores de contaminación y porcentajes de reducción objetivos permitirá obtener la siguiente función de ineficiencia del proceso j de la EDAR
, y la función de eficiencia de dicho proceso j será,
1, para el conjunto de la EDAR, si a cada sección se le asigna una importancia ωj tal que ∑jωj = 1, la función de ineficiencia será

y la de eficiencia,

Una vez expuesta la forma de obtener la financiación, habrá que multiplicar los costes estimados por el volumen depurado y por un factor (1+ εij). Además, dado que la importancia de la eficiencia técnica no es la misma en todas las secciones, habrá algunas en las que una reducción de la contaminación sea mucho más costosa que en otras. En consecuencia, habrá que utilizar un nuevo factor de ponderación que incorpore tanto la dificultad de la reducción de la contaminación en una sección, como el premio que se ofrezca por la mejora de la eficiencia técnica. En cualquier caso, debe ser la entidad encargada de abonar la financiación la que decida la importancia que se asigna a la mejora cualitativa de los caudales depurados. Dicho factor, que se denota por αj, dependerá de la valoración que la administración haga de la dificultad de un proceso en mejorar su calidad. La financiación de la sección j de la EDAR i (Fij), si su coste medio estimado es
j, su eficiencia calculada εi, y su volumen depurado Vij, será
. En consecuencia, la financiación total podría resumirse en la Tabla 3.

5. MAXIMIZACIÓN DEL BENEFICIO DE LAS EDAR
La presencia de objetivos múltiples hace imposible que se puedan conseguir todos a la vez, por lo que es preferible plantearse la consecución de un determinado grado de satisfacción para cada uno de ellos. Además, pueden aceptarse ciertas violaciones de algunas restricciones, por lo que se considera que la programación por objetivos borrosa puede ser un instrumento adecuado para este tipo de problemas.
Por ello se plantean los siguientes cuatro grupos de objetivos para conseguir la maximización de los beneficios en una EDAR: i) restricciones técnicas, ii) maximización de los ingresos por financiación de cada sección j, iii) minimización de los costes, y iv) minimización de las penalidades por bajo rendimiento.
6. RESTRICCIONES
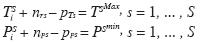
El Real Decreto-Ley 11/1995 (Gobierno, 1995), por el que se establecen las normas aplicables al tratamiento de las aguas residuales urbanas, exige que los efluentes presenten unos niveles de concentración máximos y que éstos se hallan reducido con respecto a los influentes en un determinado porcentaje para cada uno de los parámetros especificados en la normativa. Estos niveles son inviolables y deberán de conseguirse por las EDAR para lograr la financiación propuesta. De esta forma, si existen S parámetros, el nivel de concentración del efluente de la EDAR i para el parámetro s , nivel de concentración del último proceso de la EDAR en el que se trata el licor (TSi) , deberá ser inferior al valor máximo (TSMax), es decir,
. Por su parte, el porcentaje de reducción total de la depuradora i para el parámetro s (PSi) deberá ser superior al valor mínimo (PSmin) y no se aceptan violaciones de las mismas, 
6.1. Maximización de los ingresos por financiación de la sección j 
La financiación de una sección depende del coeficiente de reparto (
A), de la importancia que se asigna a la mejora cualitativa de los caudales depurados en la misma (aj), de la eficiencia conseguida (εij), de los costes estimados (
j) y del caudal depurado (Vj).
La importancia asignada a cada sección y los costes estimados, son fijados por la administración encargada de la financiación. El caudal depurado es un dato exógeno, el coeficiente de reparto depende del citado caudal y del diseño de la planta, por lo que la EDAR no puede influir sobre ninguno de los dos. En consecuencia, el objetivo será:

. En este tipo de objetivos (restricciones), resulta muy complejo definir un valor máximo que no se pueda sobrepasar por lo que resulta muy aconsejable considerar una restricción con un cierto grado de imprecisión (borrosa). 6.2. Minimización de los costes
Los costes de las EDAR se agrupan en cuatro grandes categorías: energía, personal, reactivos y otros costes. El objetivo de la empresa será conseguir los niveles de contaminación mínimos que le permitan mejorar la financiación. La empresa debe fijar para cada uno de estos gastos un objetivo deter-minado, pero se permitirán ciertas violaciones de este objetivo:
- Energía. Como existen contadores en todas las secciones, la primera restricción sólo tendrá en cuenta la potencia consumida para reducir en un punto porcentual la concentración del parámetro s en la sección j. Esta cuantía se denota por el número borroso que se supone triangular (NBT)
Sj (en la medida que mejore la información sobre dicho consumo el número borroso considerado irá perdiendo vaguedad hasta convertirse en un número crisp) con un precio ES, siendo el nivel E la meta que la empresa se plantea no sobrepasar: - Personal. Para limitar el coste de personal, la cantidad de horas que habrá que utilizar para reducir en un punto porcentual la concentración del parámetro s de la sección j será un NBT que se denominará
Sj (borroso al menos temporalmente con un razonamiento similar al caso anterior), siendo PS su precio. El objetivo será no sobrepasar el nivel P, aunque se permitirán ciertas violaciones de este objetivo: - Reactivos. Si se denomina
a las unidades de reactivo S utilizadas por la EDAR i para mejorar la concentración en una unidad porcentual en el proceso j, que se asumirán borrosas por ciertas carencias de información a la implantación del presente modelo, siendo su precio RS y R el coste que no deberá sobrepasar: - Otros gastos. En este apartado se recogen todos aquellos gastos no tenidos en cuenta en los apartados anteriores, debiéndose minimizar los gastos variables de cada una de las secciones j (
Sj) de la EDAR, fijándose una meta:



6.3. Minimización de las penalidades por bajo rendimiento
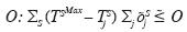
La empresa deberá minimizar las penalidades que se le imponen si la calidad del efluente no alcanza los mínimos requeridos durante un determinado periodo. Se suele sancionar con una cantidad fija por unidad que sobrepase la concentración máxima y por día (ai) en que el rendimiento no fuese el adecuado, siendo ti el número de días en que se sobrepasa dicho máximo. Aunque no es deseable, de igual forma se permiten ciertas violaciones de esta restricción
siendo ti el número de días en que no se alcanzan los mínimos requeridos. En el entorno de la decisión fuzzy, el objetivo es maximizar cada una de las funciones de pertenencia asociadas a cada uno de los objetivos. Se denotará por tF, tE, tP, tR, tO y tPe, los límites de tolerancia correspondientes a los niveles de aspiración F, E, P, R, O y Pe; por KSj, HSj, ASj, OSj , los valores centrales de los números borrosos
y por Z la función objetivo donde PTI,..., PTS PPI,..., PPS , PF, PC y PPe representan los niveles de prioridad, que presentan la siguiente relación: PTI »... »... PTS » PPI »...» PPS » PF » PC » PPe » i = 1 ... S.
Por su parte, si se denota por di la diferencia entre el valor meta y el nivel alcanzado, y sustituyendo dichas variables por dos variables no negativas, esto es ni y pi (desviaciones negativas y positivas), donde:
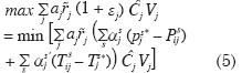
De esta forma, el programa podría escribirse como:
Hallar , T1, ..., TS, P1, ... , PS, que minimice, Z = PT1 pT1 + ... + PTS pTS + PP1 nP1+ ... + PPS nPS + PF pF + PC(pE + pp + pR + p) + PPE PPE; tal que,

Siendo,

Si es posible asignar un peso a cada una de las metas, la función objetivo quedará como:

Con ∑ 2S+3i=1 ωi = 1; y el programa podría resolverse por programación lineal.
7. CONCLUSIONES
En el contexto de un nuevo modelo de financiación para el sector de las empresas depuradoras de aguas residuales, ya propuesto en otros trabajos como Terceño et al. (2007a, 2007b), en el presente artículo se han planteado como objetivos principales la determinación de un sistema de medición de la eficiencia para el sector y la determinación de los parámetros técnicos y económicos que maximicen los beneficios de la empresa. Las empresas deben asignar a cada proceso todos los costes que le sean imputables, a fin de que dicho proceso sea comparable con el del resto de depuradoras de la Comunidad Autónoma objeto de estudio. Si todas las EDAR realizan estos cálculos de forma similar, la administración podrá estimar un coste medio por metro cúbico depurado para cada uno de los procesos.
El sistema propuesto se considera que es eficiente ya que la financiación se obtiene mediante la agregación de los productos del coste unitario por el volumen depurado en cada sección, ponderados por un factor 1 + εi que premia a las empresas que presenten de una parte mayores reducciones de carga contaminante, y de otra niveles más bajos de la misma en el efluente. Además, cada uno de los procesos se pondera por un segundo factor a fin de valorar su importancia en el conjunto de la EDAR.
En cuanto al segundo de los objetivos, para la maximización del beneficio de las empresas se considera que la programación por metas fuzzy, es una herramienta adecuada para ser utilizada ya que permite la introducción de diferentes objetivos o metas. Además, cuando estos son imprecisos, como es el caso, el decisor no se ve obligado a priorizar entre unos u otros, sino que es suficiente con que fije un nivel de aspiración para cada uno. De la misma forma, también se permiten ligeras violaciones de las restricciones. El programa propuesto plantea la necesidad de maximizar los ingresos, minimizando los costes de energía, personal, reactivos y otros costes, y las penalidades por bajo rendimiento.
Cuando los recursos hídricos se convierten en un bien escaso, la gestión de los mismos es fundamental en sus dos vertientes, la económica, ya que la capacidad de producción de muchos bienes depende de la existencia de agua en condiciones suficientes y a precios asequibles, y la medioambiental, por los perjuicios que acarrearía al medio ambiente la existencia de vertidos de agua no depurada. En consecuencia, las futuras líneas de investigación deberán abordar un uso sostenible de los recursos hídricos que permita paliar los problemas de escasez existentes en la actualidad, pero minimizando el impacto medioambiental.
A pesar de los relevantes resultados del modelo, es necesario reconocer sus dificultades de aplicación, ya que ello depende de la voluntad política del legislador de la comunidad autónoma. Sin embargo, en un momento de crisis como el actual, la mejora de la eficiencia del sector incentivando el ahorro de costes y la mejora del medio ambiente debe ser prioritaria, por lo que resulta especialmente apropiada su implantación. Además, esto permitiría constatar los puntos fuertes y débiles del modelo e introducir las mejoras pertinentes. Un estudio comparativo sobre la idoneidad del presente modelo a otras áreas geográficas permitirá mejorar la presente investigación en el futuro.
NOTAS AL PIE DE PÁGINA
1. El autor quiere agradecer a los revisores sus comentarios y sugerencias que han permitido mejorar el trabajo inicialmente presentado.
REFERENCIAS BIBLIOGRÁFICAS
1. Charnes, A. y Cooper, W.W. (1961). Management models and industrial applications of linear programming. New York, NY: Wiley. [ Links ]
2. Dauer, J.P. y Krueger, R.J. (1980). A multiobjective optimization model for water resources planning. Applied Mathematical Modelling, 4(3), 171-175. [ Links ]
3. Deakin, E.B. y Maher, M.W. (1991). Cost accounting. Home-Homewood, IL: Irwin. [ Links ]
4. EPSAR. (s/f). Elx (Algoros). Recuperado de http://www.epsar.gva.es/sanejament/instalaciones/edar.aspx?id=105 [ Links ]
5. Haimes, Y.Y., Tarvainen, K., Shima, T. y Thadathil, J. (1990). Hierarchical Multiobjective Analysis of Large-Scale Systems. New York, NY: Hemisphere Publishing Corporation. [ Links ]
6. Hemmer, T. (1996). Allocations of sunk capacity costs and joint costs in a linear principal-agent model. Accounting Review, 71(3), 419-432. [ Links ]
7. Herrera, M.F. y Osorio, J.C. (2006). Modelo para la gestión de proveedores utilizando AHP difuso. Estudios Gerenciales, 22(99), 69-88. Recuperado de http://www.icesi.edu.co/biblioteca_digital/bitstream/item/810/2/Modelo_gestion_proveedores_utilizando_AHP_difuso.PDF [ Links ]
8. Horngren, C.T., Foster, G. y Datar, S.M. (1996). Contabilidad de Costos. Un Enfoque Gerencial. México: Prentice Hall Hispanoamericana. [ Links ]
9. Lai, Y.J., Lin, T.Y. y Hwang, C.L. (1994). TOPSIS for MODM. European Journal of Operational Research, 76(3), 486-500. [ Links ]
10. Lee, C.S. y Wen, C.G. (1995). An economic and environmental balance in a river basin using interactive multiobjective optimization. Journal of Environmental Science and Health (Part A), 30(8), 1727-1748. [ Links ]
11. Lee, C.S. y Wen, C.G. (1996). Application of multiobjective programming to water quality management in a River Basin. Journal of Environmental Management, 47(1), 11-26. [ Links ]
12. Lee, C.S. y Wen, C.G. (1997). Fuzzy goal programming approach for water quality management in a river basin. Fuzzy Sets and System, 89(2), 181-192. [ Links ]
13. Loucks, D.P. (1977). An application of interactive multiobjective water resources planning. Interfaces, 8(1), 70-75. [ Links ]
14. Medina, S. y Manco, O. (2007). Diseño de un sistema experto difuso: evaluación de riesgo crediticio en firmas comisionistas de bolsa para el otorgamiento de recursos financieros. Estudios Gerenciales, 23(104), 101-129. Recuperado de http://bibliotecadigital.icesi.edu.co/biblioteca_digital/bitstream/item/1274/1/Diseno_sistema_experto_difuso.pdf [ Links ]
15. Méndez, J.A. y Méndez, J.M. (2010). Tasas por utilización del agua ¿instrumento de asignación eficiente del agua o mecanismo de financiación de la gestión ambiental? Estudios Gerenciales, 26(115), 93-115. Recuperado de http://bibliotecadigital.icesi.edu.co/biblioteca_digital/bitstream/item/4382/1/5Tasas_utilizacion.pdf [ Links ]
16. Norma Internacional de Contabilidad No. 2 -NIC2. (2005). Software. Recuperado de http://www.normasinternacionalesdecontabilidad.es/nic/pdf/NIC02.pdf [ Links ]
17. Real Decreto Legislativo 1/2001, por el que se aprueba el Texto Refundido de la Ley de Aguas, Ministerio de Medio Ambiente. (2001). Recuperado de http://noticias.juridicas.com/base_datos/Admin/rdleg1-2001.html [ Links ]
18. Real Decreto Legislativo 11/1995, por el que se establecen las Normas Aplicables al Tratamiento de las Aguas Residuales Urbanas, Gobierno. (1995). [ Links ]
19. Rommelfanger, H. y Slowinski, R. (1998). R. Fuzzy linear programming with single or multiple objective functions. En R. Solowinski (Eds.), Fuzzy Sets in Decision analysis. Operational Research and Statistics (pp. 179-214). Boston, MA: Kuwler Academic Publishers. [ Links ]
20. Steuer, R.E. y Wood, E.F. (1986). On the 0-1 implementation of the Tchebycheff solution approach: a water quality illustration. Large Scale Systems, 10(1), 243-255. [ Links ]
21. Terceño, A, Brotons, J.M. y Trigueros, J.A. (2007a). El saneamiento de las aguas residuales y sus costes. Una propuesta de financiación. Revista Iberoamericana de Contabilidad de Gestión, 9(5), 185-208. [ Links ]
22. Terceño, A, Brotons, J.M. y Trigueros, J.A. (2007b). Propuesta de un modelo integral de financiación de las empresas depuradoras de aguas residuales. Actualidad Contable Faces, 10(15), 155-165. [ Links ]
23. Terceño, A, Brotons, J.M. y Trigueros, J.A. (2009). Evaluación de las necesidades hídricas en España. Ingeniería Hidráulica en México, 24(4), 7-22. [ Links ]
24. Wang, X. (1996). Joint products and responses to a profit tax: the case of endogenous cost allocation. Public Finance Quarterly, 24(4), 494-500. [ Links ]
25. Zadeh, L.A. (1965). Fuzzy sets. Information and control, 8, 338-353. [ Links ]
26. Zimmermann, H.J. (1978). Fuzzy programming and linear programming with several objective functions. Fuzzy sets and systems, 1(1), 45-55. [ Links ]













