Servicios Personalizados
Revista
Articulo
Indicadores
-
Citado por SciELO -
Accesos
Links relacionados
-
Citado por Google -
Similares en
SciELO -
Similares en Google
Compartir
Ecos de Economía
versión impresa ISSN 1657-4206
ecos.econ. vol.18 no.38 Medellín ene./jun. 2014
ARTÍCULO DE INVESTIGACIÓN
Fuentes de fluctuaciones económicas en América Central
Sources of Economic Fluctuations in Central America
Wilfredo Toledo*
* Universidad de Puerto Rico, Recinto de Río Piedras. PO BOX 21758 UPR Station. Río Piedras, 00931. [wilfredotoledo@aol.com].
Recibido: 03/03/2013 Aprobado: 10/11/2013
Resumen
Este artículo estudia los determinantes de las fluctuaciones que se observan en la inflación y la producción agregada. Para examinar ese tema se estimaron dos sistemas de vectores autorregresivos estructurales (SVAR) utilizando datos de panel de América Central. Uno de los modelos incluye los precios y la producción, mientras que el otro añade M2 y el precio del petróleo a ese sistema. Los resultados de los análisis sugieren que los precios en esa región se determinan por el lado de la demanda, mientras que la producción parece depender principalmente de impulsos de oferta. Además, se encontró evidencia de que el precio del petróleo no afecta significativamente el nivel general de precios en dicha zona.
Palabras clave Fluctuaciones económicas, modelos SVAR, datos de panel.
Abstract
Using panel data from Central America, this paper studies the determining factors of inflation and aggregate output fluctuations by estimating two Structural Vector Autoregressive (SVAR) models. Price and output variables are included in one of the models, whereas M2 and the price of oil are additional variables in the other one. Findings of this study suggest that price is determined by the demand, while output seems to be influenced mainly by the supply shocks in that area. It was also evidenced that the price of oil does not have a significant impact on the general price level in that region.
Key Words Economic fluctuations, SVAR models, panel data.
JEL Classifications: E24, E42.
I. Introducción
Macroeconomía es un área dentro de nuestra disciplina sobre la que no existe consenso. La naturaleza de los ciclos económicos es un tema en el cual afloran desavenencias. La corriente keynesiana, los monetaristas y los nuevos clásicos atribuyen las fluctuaciones económicas a impulsos generados principalmente en el lado de la demanda agregada, mientras que los seguidores de la escuela de ciclos económicos reales hacen énfasis en los determinantes de la oferta agregada, principalmente cambios tecnológicos, como los generadores del ciclo. Ese debate sobre las causas de las oscilaciones en la actividad económica tiene implicaciones para el sector real de la economía, así como para las variables nominales y la inflación. Si las desviaciones de la economía de su tendencia de largo plazo dependen de los mismos factores reales que determinan el crecimiento económico, como se plantea en los modelos de los ciclos económicos reales, entonces la producción debe ser determinada por la oferta agregada y los precios por la demanda agregada. En la literatura se han estudiado principalmente las implicaciones de las teorías de los ciclos económicos para la dinámica de la producción agregada y se ha descuidado el análisis del nivel general de los precios.
En esta investigación se examinaron los determinantes de la trayectoria de la producción agregada y el nivel de precios usando datos de panel de seis países de Centroamérica. Para estudiar ese tema se utilizaron dos modelos de vectores autorregresivos estructurales (SVAR) que permitieron identificar econométricamente los impulsos de la demanda y la oferta agregada, usando restricciones de largo plazo como las propuestas por Blanchard y Quah (1989).
Se hacen dos aportes principales al estudio de los ciclos económicos. En primer lugar, se utilizan datos de economías que tienen particularidades que las distinguen de las economías analizadas. Los datos empleados provienen de una región geográfica cuya estructura económica no tiene todas las características de los países desarrollados que se han examinado en la literatura sobre el tema, así que es relevante examinar si las teorías sobre las fluctuaciones económicas tienen aplicabilidad en países en vías de desarrollo.
Además, se aporta al debate sobre las causas de la inflación en América Central. Por ejemplo, en un trabajo preparado por Iraheta, Medina y Blanco (2008) se analiza la importancia del precio del petróleo y de los combustibles explicando la inflación en los países de América Central. Los autores encuentran que tanto el precio del petróleo como el de los combustibles especifican una fracción de variabilidad de la inflación en esos países, y que la importancia de cada uno de eso factores comprendiendo el fenómeno inflacionario depende del país analizado. De acuerdo a sus resultados el precio de los combustibles parece ser más relevante que el del crudo para explicar el fenómeno inflacionario. Por otro lado, Artana, Catena y Navajas (2007) reportan que la inflación en esos países depende crucialmente de los precios del petróleo. Sin embargo, esas dos investigaciones no comparan el papel de los impulsos de la demanda y la oferta agregada en la determinación del nivel global de los precios, un asunto que se examina en detalle en esta investigación. Además, esos dos trabajos estiman los modelos para cada país de forma individual, mientras que en este estudio se hacen estimaciones con datos de panel, lo que permite añadir precisión a los estimados, así como poder llegar a generalizaciones para toda la región.
La organización del resto del escrito se describe en este párrafo. En la sección II se presenta una discusión general de los fundamentos teóricos de la investigación y la evidencia encontrada en los trabajos empíricos sobre el tema. La sección III se dedica a la presentación de un modelo teórico general y las consideraciones econométricas. Un análisis preliminar de los datos se encuentra en la sección IV. Los resultados de las estimaciones empíricas se reportan en las secciones V y VI, mientras que la última sección contiene las conclusiones del artículo.
II. Fundamentos teóricos y empíricos
En la literatura se pueden encontrar distintas construcciones teóricas que dan cuenta de la naturaleza de las fluctuaciones que se observan la actividad económica de los países capitalistas y que se refleja principalmente en la producción real, el nivel de inversión, el empleo y los precios. Los modelos keynesianos del ciclo económico resaltan la función de los mecanismos de propagación de los impulsos y no sus posibles fuentes. Problemas de coordinación en los mercados de producto y trabajo, como ajustes incompletos en variables reales o nominales, son planteados como los propiciadores principales de las oscilaciones económicas. En esas teorías los impulsos se originan principalmente en el lado de la demanda, aunque pudieran provenir también del lado de la oferta agregada. Los monetaristas plantean que el mal manejo de la política monetaria es la causa principal del ciclo económico. Para los nuevos clásicos, por su parte, solo el componente inesperado de la oferta monetaria puede generar oscilaciones persistentes en la actividad económica. En los modelos construidos por Robert Lucas (véase Lucas (1972)), en la década de 1970, problemas de información en los mercados se utilizaron como los mecanismos de propagación de las perturbaciones a través del tiempo y los sectores económicos. Esas tres teorías mencionadas comparten el principio de que las fluctuaciones económicas se originan en el lado de la demanda de la economía.
Por otro lado, las teorías de ciclos económicos reales plantean que los determinantes del crecimiento económico en el largo plazo producen el ciclo económico a corto plazo. Los modelos principales de esas teorías, como Kydland y Prescott (1982), utilizan los avances tecnológicos como la fuente principal de las fluctuaciones económicas. Por lo que impulsos de la oferta agregada son los causantes del ciclo en esas teorías, los planteamientos de la escuela de los ciclos económicos reales pueden someterse a prueba empíricamente determinando si las fluctuaciones observadas en las economías capitalistas provienen del lado de la oferta (OA) o demanda agregada (DA).
Esas teorías sobre el origen del ciclo económico tienen implicaciones, además, para el comportamiento del nivel general de precios. Como es conocido, una teoría sobre las causas de la inflación establece que los factores que la determinan provienen del lado de la demanda agregada y otra afirma que la misma se genera por el lado de los costos o la oferta agregada. En el primer caso la inflación depende principalmente de la expansión del gasto agregado, que puede ser el resultado de políticas fiscales y monetarias y no existe un debate sobre su aplicabilidad. Sin embargo, en el caso de teoría de la inflación empujada por los costos no existe un consenso sobre su validez. Dos artículos que tratan ese asunto son los de Humphrey (1998) ''Historical Origin of the Costs-Push Fallacy'' y Batten (1981) ''Inflation: The Cost Push Myth''. Esos autores argumentan que aumentos en los costos de producción, como el precio del petróleo o salarios, pueden ocasionar incrementos en el nivel de precios general solo en el corto plazo y que afectan principalmente los precios relativos en el largo plazo. Humphrey y Batten coinciden en que los aumentos sostenidos en los precios que caracterizan la inflación no pueden ser producto de cambios en alguno de los costos de producción. Un argumento que justifica esa visión es que ante el aumento en el precio de un producto (como el combustible) los consumidores tendrían que dedicar una proporción mayor de su presupuesto a este, por lo que reducirían la demanda de otros bienes y servicios, provocando mermas en sus precios y reduciendo así el nivel de inflación. Así que, el aumento inicial en los precios de los combustibles pudiera verse contrarrestado por disminuciones subsiguientes en los precios de otras mercancías.
Otro argumento que se esgrime sobre ese asunto es que si la economía está cerca de la producción de pleno empleo, una reducción en los costos podría disminuir la oferta agregada y aumentar los precios a corto plazo. No obstante, esa acción tiene efecto de mantener la producción por debajo de su potencial, lo que conduce a excesos de capacidad de producción y tal vez acumulación de inventarios, lo cual ocasionaría que se incremente el nivel de producción y por lo tanto se reduzca el nivel de los precios, anulando así el efecto inicial.
Como vimos, no existe consenso sobre las fuentes de los ciclos económicos. Tampoco hay un acuerdo en cuanto al origen de la inflación. En los párrafos siguientes se discuten algunos de los trabajos más relevantes sobre esos temas. En particular, se reseñan aquellos que utilizan la metodología escogida en este trabajo para realizar la estimación econométrica.
El artículo que originó la literatura que persigue distinguir entre los efectos de los impulsos de la demanda y oferta agregada sobre la actividad económica fue: ''The Dynamic Effects of Aggregate Demand and Supply Disturbances'', de Blanchard y Quah (1989). En ese trabajo los autores plantean un modelo estructural de vectores autorregresivos (SVAR), compuesto por dos indicadores de la actividad económica: la primera diferencia del logaritmo de la producción y la tasa de desempleo, al cual le imponen restricciones de largo plazo para identificar los dos tipos de perturbaciones mencionados.
Blanchard y Quah realizan el análisis con datos trimestrales de Estados Unidos para el período de 1950:2 a 1987:4. Esos autores estiman varios modelos y encuentran que tanto impulsos en la oferta como en la demanda agregada son capaces de generar fluctuaciones en la actividad económica. Sin embargo, concluyen que en el corto plazo cambios inesperados en la demanda agregada tienen un impacto mayor sobre la producción y el desempleo que los asociados a la oferta. Blanchard (1989) amplía la dimensión del modelo bivariable a uno de cinco variables y sustituye las restricciones de largo plazo usadas por Blanchard y Quah por la triangulación contemporánea de los residuos del sistema. El examen de la dinámica de ese modelo sugiere que las innovaciones de la demanda dominan las oscilaciones de la economía a corto plazo, mientras que los de oferta hacen lo propio con la trayectoria de largo plazo. Esos dos artículos reseñados no examinan la dinámica de la inflación.
El alcance del examen de ese tema fue extendido por Keating y Nye (1998), quienes, utilizando datos de 10 países1 para el período de 1869 a 1974, sustituyen la tasa de desempleo por la primera diferencia del nivel de precios en el modelo de Blanchard y Quah. Los hallazgos del análisis de Keating y Nye varían para algunos países, pero en términos generales ratifican los hallazgos de Blanchard y Quah de que los impulsos de la demanda son más importantes que los de la oferta agregada para explicar las fluctuaciones de la producción real. Esos autores encuentran, además, que los impulsos de la demanda explican más del 80% de las variaciones de los precios a largo plazo en ocho de los diez países analizados.
Shapiro y Watson (1988) estiman un sistema VAR que incluye las siguientes cinco variables: horas trabajadas, producción, el precio real del petróleo, la inflación y la tasa de interés, usando datos de Estados Unidos para el período de la posguerra. Los resultados de la estimación sugieren que los impulsos de la demanda son los principales determinantes de la variabilidad en precios en todos los horizontes de predicción. Ese tipo de impulso explica entre 90 y 94% de las variaciones en la inflación, mientras que al precio del petróleo se le puede atribuir hasta 6,2% de las mismas. Por otro lado, para el caso de la producción los impulsos de la demanda explican entre 7,8% y 98% de la varianza de error de predicción.
Otro trabajo relevante sobre el tema es el de Ahmed y Park (1992), quienes distinguen entre impulsos externos e internos provenientes de la demanda y la oferta agregada. El artículo de esos investigadores utiliza datos trimestrales de siete economías abiertas de los países que componen la Organización para la Cooperación y el Desarrollo Económicos (OCDE) en el período 1960-1987.2 Las variables examinadas por esos autores son: el índice de precios del consumidor, el producto interno bruto real, las exportaciones para cada una de las siete economías, y la producción (PIB real) de los Estados Unidos. Esa última variable se utiliza como un indicador de la economía mundial.
Dichos autores hallan evidencia de que las fluctuaciones en la producción dependen principalmente de impulsos internos relacionados con la oferta agregada, mientras que en el caso de variación en los precios los resultados no son uniformes para los países examinados. A bien corto plazo, al cabo de un periodo, los impulsos de la oferta explican la mayoría de las desviaciones de los precios de su tendencia de crecimiento en Australia y Canadá, pero su importancia relativa se reduce a largo plazo. Para otros países, como Finlandia e Italia, la importancia relativa de los choques de la oferta en la dinámica de los precios es menor. Los resultados generales indican que, aunque el efecto de los choques de la oferta sobre los precios parece depender de la estructura económica e instituciones de cada país, estos parecen ser menos importantes que los shocks de la demanda para explicar la inflación.
A esa literatura se añade el artículo de Karras (1993), quien investiga la naturaleza del ciclo económico en Estados Unidos. Ese autor utiliza datos trimestrales del período 1973 a 1989, y clasifica los impulsos de la oferta agregada en aquellos asociados a cambios en el precio del petróleo y los de otro tipo, mientras que los de la demanda se dividen en tres grupos: los asociados a la política fiscal, los monetarios, y el resto de las innovaciones de la demanda agregada. También examina impulsos en la tasas de cambio del dólar. En su artículo, Karras estima un modelo VAR estructural basado en restricciones contemporáneas. Ese sistema incluye: el PNB real, el déficit del Gobierno federal de los EE. UU. en términos reales, el deflactor del PNB, la tasa de cambio de DEG por dólares, M2 como medida del agregado monetario, y el precio del crudo. Los hallazgos reportados por Karras implican que las perturbaciones de la oferta agregada determinan la dinámica de la producción real, mientras que los de la demanda agregada explican el nivel de precios, en la economía analizada.
Para el caso de Japón, Mio (2002) estima un sistema SVAR bivariable compuesto por la tasa de crecimiento del PIB y la inflación, usando datos trimestrales para el período 1970:1 a 1999:1. En ese modelo los impulsos de la demanda y oferta agregada son identificados imponiendo restricciones de largo plazo sobre las funciones de impulsorespuesta. Los hallazgos reportados por este autor revelan que las innovaciones del lado de la demanda agregada son las más relevantes para explicar las fluctuaciones en los precios, mientras que las fluctuaciones en el PIB real dependen principalmente de perturbaciones del lado de la oferta.
III. Un modelo teórico general y la estrategia de estimación
En esta sección se presentan los fundamentos teóricos para la estimación empírica, a partir de un modelo de oferta agregada y demanda agregada muy general. Además, se discuten los aspectos econométricos de la estimación y los datos utilizados.
A. Un modelo general
Los libros de textos de macroeconomía intermedia plantean un modelo estático de la demanda agregada (YDA) y oferta agregada (YOA) que expresa esas dos variables como función del nivel general de los precios (P) y se puede representar como:

La primera ecuación corresponde a la curva de oferta agregada de Lucas, que es vertical (al nivel de empleo pleno, YEP) cuando las expectativas de los precios son correctas (P = E [P]) y exhibe pendiente positiva si los productores cometen errores cuando predicen los precios. El nivel de producción de empleo pleno está sujeto a cambios aleatorios que pudieran interpretarse como impulsos de tecnología (ε0A). Ese elemento aleatorio pudiera estar asociado, también, a cambios en las ofertas de los insumos, que se reflejen en los costos y que tengan efectos permanentes sobre YEP. La última ecuación del sistema (1) es una función general de la demanda agregada, cuyo intercepto depende del acervo monetario y los instrumentos de política fiscal entre otros factores y exhibe la pendiente negativa regular de ese tipo de función. Esa ecuación está sujeta a cambios aleatorios (εDA) que pudieran ser de naturaleza monetaria (provenientes de la curva LM) o cambios en medidas de política fiscal y otros parámetros de la curva IS.
La forma reducida del modelo (1) implica que los precios y la producción agregada dependen de los impulsos de la demanda y la oferta agregada:

Bajo el supuesto de expectativas racionales, los impulsos de la demanda agregada (como los monetarios) tendrían solo efectos transitorios sobre la producción agregada, mientras que impactarían de manera permanente el nivel de precios. Por otro lado, las innovaciones de la oferta agregada se esperaría afecten permanentemente tanto los precios como la producción. En el siguiente apartado se discute la estrategia utilizada para empíricamente identificar esos dos tipos de perturbaciones.
B. Modelos empíricos y su identificación3
Una versión dinámica del modelo (1) puede ser:

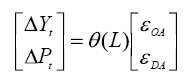
Donde ΔY es la primera diferencia de la serie de la producción agregada real (PIB real) y ΔP es la primera diferencia de un índice del nivel general de precios (el deflactor del PIB), φij(L) = φj,1L + φj,2L + ... + φj,p(L) son polinomios en el operador de rezagos L donde p es el orden de los rezagos. εDA y εOA son los elementos estocásticos asociados a la demanda y oferta agregada, respectivamente.
El sistema (3) se puede invertir para obtener la representación VMA:

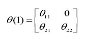
Donde ahora la matriz θ(L) contiene los polinomios en el operador de rezagos. Evaluando θ(L) para L = 1 se obtiene la matriz de multiplicadores de largo plazo (la suma de todos los coeficientes para cada elemento de la matriz), que al imponerle la restricción θ12 = 0 se representa como:

De acuerdo a este esquema de identificación propuesto originalmente por Blanchard y Quah (op. cit.), los impulsos de la demanda afectan permanente los precios, pero no la producción, mientras que los shocks de la OA tienen impactos permanentes en las dos variables del sistema.
Además de estimar el modelo (1) en esta investigación, se amplió el sistema para incluir dos variables adicionales: el precio del petróleo (CR) y el acervo monetario (M). La primera variable es uno de los determinantes de la oferta y la segunda afecta la demanda agregada. Usando las letras griegas como parámetros de forma análoga al primer sistema, las representaciones VAR y VMA de ese sistema están dadas por:

y,

Para lograr la identificación del modelo se utilizaron restricciones de largo plazo y contemporáneas. La matriz (5) muestra el patrón de las restricciones de largo plazo.

Estas restricciones implican que:
i. Ninguno de los cambios inesperados en el sistema afecta el precio del petróleo en el largo plazo.
ii. Las perturbaciones de la demanda agregada (incluyendo las monetarias) no afectan permanentemente la producción.
iii. Los precios no afectan permanentemente el agregado monetario.
Para examinar la robustez del sistema con respecto a esas restricciones se realizó una segunda identificación basada en las relaciones contemporáneas. La siguiente matriz muestra el patrón de esa identificación:

La matriz 6 está basada en lo siguiente:
i. El precio del petróleo es la variable más exógena del sistema, por lo que no se afecta contemporáneamente por las demás variables.
ii. Los precios y el acervo monetario no se afectan contemporáneamente por la producción.
iii. Los precios no afectan al acervo monetario en términos contemporáneos.
Un análisis de causalidad de Granger, que se presenta en la sección III, evidencia la pertinencia de esas últimas restricciones impuestas.
C. Los datos y estimadores
Los modelos se estimaron con un panel de datos de los siguientes seis países de América Central: Costa Rica, El Salvador, Guatemala, Honduras, Nicaragua y Panamá. Las observaciones son anuales y se extienden desde 1969 hasta 2011.4 Se utilizó el producto interno bruto real per cápita como la medida de la producción agregada, su deflactor se usó como el indicador del nivel de los precios y M2 como el agregado monetario, y las series provienen de la base de datos del Banco Mundial. El West Texas Intermediate (WTI) fue el índice de precio del petróleo empleado. Los datos del costo del crudo se obtuvieron del Banco de la Reserva Federal de la región de St. Louis, Estados Unidos.
En la estimación de modelos dinámicos con datos de panel no existe un estimador dominante en términos de todas las propiedades estadísticas, por lo tanto la decisión de cuál utilizar no es sencilla. La mayoría de los estimadores que se utilizan bajo esas circunstancias, como los construidos por Arellano y Bond (1991) y Arellano y Bover (1995), han sido desarrollados para usarse con paneles de datos microeconómicos que se caracterizan por tener un grupo grande de unidades de corte transversal (N) y un tiempo (T) corto. No obstante, en las aplicaciones macroeconómicas sucede lo contrario.
Judson y Owen (1999) encuentran, en experimentos Monte Carlo, que con un tamaño de serie moderado (T de 10 a 20) los estimadores LSDV (mínimos cuadrados con variables binarias para modelar los efectos individuales) podrían tener un sesgo mínimo (5%) en los parámetros asociados a los rezagos de las variables dependientes y de menos de 1% en los parámetros asociados a los rezagos de las otras variables del sistema; evidencia adicional para ese resultado es provista por Beck y Katz (2004). Por último, el estimador de Arellano-Bond, muy utilizado en la estimación de modelos dinámicos con datos de panel, es consistente solo cuando N > T. El panel de datos utilizado en este artículo tiene la característica de que T > N, por lo tanto se decidió utilizar el estimador LSDV.
IV. Análisis preliminar de los datos
La estimación de los dos sistemas de ecuaciones descritos en la sección anterior requiere que se examine la estacionariedad de las variables que los componen. La tabla A.1 (en el apéndice) presenta los estadísticos Levin, Lin y Chu e Im, Pesaran y Shin, dos estadísticos útiles para examinar esa propiedad de las series económicas cuando se usan datos de panel. Los resultados de ese procedimiento implican que todas las variables son I(1). Por otra parte, las pruebas de cointegración, utilizando el procedimiento desarrollado por Pedroni para datos de panel, no revelaron evidencia de que las series del sistema bivariable, ni del modelo ampliado, estén cointegradas.5 Por tanto, ambos modelos están bien especificados en las primeras diferencias.
Para examinar las relaciones contemporáneas entre las variables se calcularon los coeficientes de correlación. Los estadísticos y los valores-p del estadístico-t usado para someter a prueba la hipótesis nula de que esos coeficientes son iguales a cero se presentan en la tabla A.2 (apéndice). Se encontró que las correlaciones entre los valores contemporáneos de las variables son bajos. Los coeficientes más altos corresponden a las relaciones del precio del crudo y el nivel de precios. Ese coeficiente es de .27, lo cual implica que el efecto contemporáneo del costo del petróleo sobre los precios no es muy alto
Los valores bajos para los coeficientes de correlación tienen dos implicaciones importantes para los análisis econométricos subsiguientes:
i. El modelo dinámico especificado en el trabajo no parece verse muy afectado por la omisión de los valores corrientes de las variables.
ii. Los resultados de los análisis dinámicos del sistema (2), usando las restricciones contemporáneas, no dependen significativamente del orden de las variables en la triangulación.
Para explorar más a fondo las relaciones entre las variables del estudio se utilizó la prueba de causalidad de Granger (véase tabla A.3). Como el precio del crudo es una variable exógena se presentan solo los resultados unidireccionales del costo del crudo a las otras variables del sistema, de la prueba de causalidad para esa variable. Con base en esas pruebas, se encontró que: la producción antecede los movimientos de los precios y del acervo monetario;6 existe retroalimentación entre el nivel de precios y el acervo monetario; el precio del crudo afecta principalmente la dinámica de la producción y el acervo monetario.
Esas pruebas de causalidad indican que si se usa la descomposición de Cholesky para el análisis dinámico del segundo sistema VAR, el orden debe ser: precio del crudo, producción, dinero y precios. Como se mencionó en la sección anterior, ese es el esquema utilizado en la segunda identificación de los impulsos en el modelo de cuatro variables.
V. Resultados de la estimación
Una deliberación que es necesario realizar cuando se estiman modelos de vectores autorregresivos es la longitud de los rezagos. En esta investigación se examinaron los criterios de información de Akaike y Swartz para esos propósitos. Los resultados de los análisis, para el sistema de dos y cuatro variables, se encuentran en las tablas A.4 y A.5, respectivamente. El orden óptimo para el sistema bivariable es de tres rezagos. Sin embargo, en el caso del modelo ampliado el criterio de Swartz indica un orden de rezagos de uno, mientras que el de Akaike muestra tres como la longitud óptima. Como es conocido, la omisión de variables crea más problemas en la estimación que la inclusión de variables irrelevantes. Por tanto, se decidió estimar el modelo con tres rezagos. En el peor de los casos esa decisión pudiera implicar un poco de pérdida de eficiencia, pero al contar con un gran número de observaciones esa situación no es de mucha preocupación.
Como en la base de datos la extensión de las series es grande, cuarenta años, fue necesario analizar la estabilidad de los parámetros del sistema, para lo cual se usó la prueba de cambio estructural, con la fecha del quiebre determinada endógenamente, desarrollada por Quantd (1960) y Andrews (1993). Con base en los resultados de esas pruebas se identificaron dos cambios estructurales que afectaron los parámetros de los modelos: uno ocurrido en 1979 y otro en 1981, así que se incluyeron variables binarias para modelar esos cambios. En los modelos se incluyó, además, una variable de tendencia lineal.
La estimación de los modelos VAR generan un gran cúmulo de resultados. Un resumen de los mismos se encuentra en la tabla A.6 para el modelo bivariable y en la tabla A.7 para el sistema de cuatro variables. Como se aprecia en esas tablas, las ecuaciones de los sistemas ajustaron bien los datos y los coeficientes de los rezagos de las variables son estadísticamente significativos. Por ejemplo, en el primer sistema el coeficiente de determinación es de .43 para la ecuación de la producción y .58 para la de los precios.
El estadístico Q multivariable indica que en ese sistema no existe autocorrelación hasta de orden cuatro.
En el sistema de cuatro variables los coeficientes de determinación más bajos corresponden a las ecuaciones de las primeras diferencias del acervo monetario y el precio del petróleo con valores de .29 y .11, respectivamente. Para las otras dos variables del sistema (las primeras diferencias de la producción y los precios) el R2 excede .45. El valor del estadístico Q de ese modelo indica que los residuos son procesos puramente aleatorios.
VI. Análisis dinámico de los modelos
Las propiedades dinámicas de los modelos VAR se analizan mediante las funciones de impulso-respuesta (IP) y la descomposición de la variancia del error de proyección (DVEP). La representación de promedio móvil del VAR (VMA) es la base para esos análisis.
Las funciones IP recogen las respuestas dinámicas del sistema ante cambios inesperados en las variables que lo componen. Dichas funciones permiten observar la dirección y magnitud de la reacción de cada variable cuando el sistema es afectado por perturbaciones aleatorias. Por otra parte, en la DVEP se estima el porcentaje de la variancia del error de predicción de cada variable explicado por las innovaciones en las variables del modelo. Si se interpreta la proyección de cada variable como su senda de equilibrio de largo plazo, entonces el error de predicción sería la desviación de cada indicador de su tendencia de crecimiento o el componente cíclico, por lo que ese análisis permite determinar la importancia relativa de los shocks de cada una de las variables generando oscilaciones en las otras variables del modelo.
Ambos análisis utilizan los residuos de cada variable para construir los impulsos. Sin embargo, esos residuos (innovaciones) pueden estar correlacionados entre las ecuaciones del sistema, ya que se omiten los valores corrientes de las variables. Así que, cualquier correlación contemporánea entre las variables, aparecerá en los términos de error,7 en cuyo caso es imposible determinar el efecto de un impulso específico sobre las variables que describen el sistema: los efectos estarían confundidos. De ahí que es necesario identificar los residuos para poder hacer alguna interpretación teórica de ellos. En este trabajo, como se mencionó en la metodología, se utilizaron restricciones de largo plazo para esos propósitos. En el caso del modelo de cuatro variables, además, se presentan los resultados utilizando restricciones contemporáneas.
A. Modelo de dos variables
La tabla 1 contiene los multiplicadores de largo plazo del sistema. Estos multiplicadores se definen usando el sistema (3.1) como θij(1) y recogen la respuesta acumulada de la variable i ante un cambio inesperado en la variable j. Por ejemplo, θ21(1) aglomera la respuesta total de la primera diferencia de los precios ante un impulso de la oferta agregada, y como se muestra en la tabla mencionada ese multiplicador es -2.74. Por otro lado, los precios aumentan ante un incremento inesperado en la DA. La respuesta acumulada de ΔY ante perturbaciones de la oferta agregada es positiva, mientras que es nula con respecto a la demanda agregada por la restricción que se impuso en la identificación del sistema. Estos resultados son compatibles con los resultados del modelo de DA\OA estático.

Para evaluar la respuesta de las variables del sistema en el corto plazo ante los dos tipos de impulsos considerados se examinan las funciones de impulso-respuesta (véase figuras 1 y 2). Los dos tipos de impulsos son capaces de producir oscilaciones en la producción total de los países incluidos en la muestra en el corto plazo, pero en el largo plazo dichos efectos se desvanecen, ya que las primeras diferencias de las variables son estacionarias. Los impactos iniciales de los impulsos de la oferta y la demanda sobre ΔY son positivos, lo que es compatible con el modelo descrito en la sección II.


Por otro lado, los precios aumentan en respuesta a impulsos positivos de la demanda agregada, y se reducen ante aumentos inesperados en la oferta agregada. Como se muestra en la figura 2, la curva sólida (respuesta de los precios a los impulsos de DA) está por encima de cero, mientras que la línea entrecortada (respuesta de los precios ante aumento en OA) presenta valores generalmente negativos. Estos resultados son compatibles con el modelo de la DA/OA que aparece en los textos de macroeconomía intermedia. Por tanto, se puede concluir que las restricciones impuestas al sistema econométrico identificaron bien los dos tipos de impulsos.
La descomposición de la varianza del error de proyección se encuentra en la tabla 2. Las perturbaciones de la oferta explican más del 80% de las desviaciones de la producción en la tendencia de largo plazo, lo cual indica que en ese modelo bivariable la producción depende crucialmente de los cambios en productividad y otros factores que afectan el lado de la oferta de la economía. La demanda agregada parece tener poco efecto sobre ese indicador económico.

Por otro lado, la dinámica de los precios parece estar determinada por las perturbaciones en la demanda agregada. Al cabo de un período los impulsos de la oferta explican solo 12,6% de las fluctuaciones en los precios y el restante 87,4% se le puede atribuir a impulsos de la demanda. En el horizonte de proyección examinado la contribución de los impulsos de DA explicando las variaciones en los precios no es menor de 86%.
Así que los resultados de esta estimación sugieren que los impulsos de la oferta determinan la trayectoria de la producción, mientras los de la demanda hacen lo propio con los precios. Estos resultados son compatibles con planeamientos de la escuela de los ciclos económicos reales que plantean que fuerzas reales, como la productividad, son las que explican las fluctuaciones en la economía real. También pudiera indicar que las limitaciones que confrontan los países examinados son del lado de la oferta agregada, como de tipo tecnológico y de recursos energéticos, por lo que la oferta agregada es muy inelástica.
B. Modelo de cuatro variables
Como se mencionó en la metodología, en este modelo se añade el precio del petróleo y el acervo monetario al primer sistema. Además, se presentan dos estructuras distintas para identificar los choques estructurales: la primera y principal usa restricciones de largo plazo, mientras que en la segunda se triangulizan las relaciones contemporáneas entre las variables. Ese segundo esquema de identificación no arrojó resultados muy distintos al primero, por lo cual se reportan solamente los resultados de la descomposición del error de proyección.
Los multiplicadores de largo plazo asociados al primer esquema de identificación se encuentran en la tabla 3. Los estimados puntuales para el efecto acumulado de los choques en el precio del crudo sobre la producción y el acervo monetario son positivos, mientras que para el nivel general de precios es negativo. Sin embargo, el multiplicador del crudo sobre la producción no resultó ser estadísticamente distinto de cero. Por otro lado, los impulsos que provienen del lado de la producción y que pudieran estar asociados a aumentos en productividad, incrementan la producción y el acervo monetario y reducen los precios. Esos últimos multiplicadores tienen el signo esperado y son estadísticamente distintos de cero. Por último, a largo plazo los precios aumentan ante un incremento inesperado en la oferta monetaria.

La dinámica en el corto plazo de la producción y los precios se representan en las funciones de impulso-respuesta trazadas en las figuras 4 y 5. Los impulsos del precio del petróleo y la producción están asociados a la oferta, mientras que los monetarios y los de la ecuación de los precios se relacionan con la demanda agregada, como ya se mencionó. La producción aumenta como respuesta a los cuatro tipos de perturbaciones (véase figura 3). Sin embargo, al cabo de un período esta se reduce ante aumentos inesperados en el precio del petróleo

En la figura se ilustra la respuesta de los precios ante incrementos no anticipados en las cuatro variables. Se observa que los impulsos del lado de la demanda incrementan el nivel de precios, como era de esperarse. Por otro lado, aumentos en la oferta agregada reducen los precios, como predice el modelo de DA/OA. No obstante, se observan respuestas negativas iniciales de las primeras diferencias de los precios ante alzas no anticipadas en el costo del crudo.
Como vimos, la respuesta de la producción y los precios generales ante impulsos en el precio del crudo no son los que se hubieran anticipado, por lo que merecen alguna explicación. Es importante recordar que el análisis se realizó con datos anuales, por tanto no recoge los efectos inmediatos de esas perturbaciones, sino que se examinan más bien los efectos que persisten y que pudieran estar confundidos con las medidas de política económica compensatoria. El efecto inmediato de cambios en los costos del crudo en Centroamérica, de acuerdo a un estudio de Iraheta, Medina y Blanco (2008) sobre la inflación, es relativamente bajo, resultado que se explica por el uso de medidas de política pública, como subsidios para aminorar los efectos de esos choques. Evidencia adicional para ese planteamiento es ofrecido por Artana, Catena y Navajas (2007), quienes afirman:
La evidencia reciente muestra que a pesar de la fuerte subida registrada en el precio del petróleo, las economías de la región centroamericana no han registrado los problemas clásicos de contracción del nivel de actividad económica ni de aumento de la inflación, lo cual es indicativo de que el impacto latente del shock petrolero se ha encubierto con efectos externos y domésticos que han dominado sobre los mismos (p. 7).

Examinemos ahora los resultados de las funciones de la DEVP. La tabla 4 contiene los resultados usando las restricciones de largo plazo, mientras que la tabla A.6 (apéndice) presenta los resultados para el caso de triangulación contemporánea de las variables del sistema. Bajo los dos esquemas de identificación los impulsos de la oferta agregada explican más de tres cuartas partes de variaciones en la producción agregada. Por otro lado, las fluctuaciones en los precios parecen ser explicadas principalmente por impulsos del lado de la demanda. Ese tipo de shock explica más del 80% de las desviaciones de los precios, de su tendencia de crecimiento.
VII. Conclusión
Los resultados obtenidos en este estudio dan base para inferir que los impulsos de la oferta son responsables de las oscilaciones de la producción agregada en América Central a largo plazo, mientras que los de la demanda agregada explican las del nivel de precios. Esa situación es distinta a la mayoría de las estimaciones que se han realizado para otros países, como reseñamos en la sección II, donde tanto la producción como los precios se explican principalmente por variaciones inesperadas en la DA.
Una explicación para esos hallazgos es que la oferta agregada es muy inelástica y la demanda agregada es bastante elástica, en los países de América Latina examinados. En ese caso extremo, los impulsos de la demanda se transfieren principalmente a los precios, y los impulsos que desplacen la OA, como cambios tecnológicos, se reflejan primordialmente en la producción, modificando muy ligeramente los precios, lo que pudiera indicar que en países menos desarrollados las limitaciones que confrontan las economías provienen del lado de la producción y no del gasto. Insuficiente capital físico para interactuar con el trabajo en el proceso productivo, limitaciones de capital humano, restricciones tecnológicas o de recursos energéticos, son posibles causas para ese resultado. La senda de crecimiento de esas economías parece verse afectada por impulsos que afectan directamente el sector de la producción, dejando que cambios en DA se reflejen principalmente en la inflación.
1 Las economías analizadas son: Estados Unidos, el Reino Unido, Alemania, Dinamarca, Italia, Suiza, Noruega, Japón, Francia y Canadá.
2 Los países incluidos en el estudio fueron: Australia, Austria, Canadá, Finlandia, Francia, Italia y el Reino Unido.
3 Es importante reconocer que los países examinados en esta investigación sufrieron varios cambios institucionales y económicos en las últimas décadas. Por tanto, una metodología alterna para evaluar el tema tratado en este artículo serían los modelos de ''Markov-Swtiching regime change'' estimados para las economías individualmente. Este asunto, no obstante, se deja para trabajos futuros.
4 N es igual a 6 y T es 42.
5 Los resultados fueron similares usando tanto el estadístico Phillips-Perron como el de Dickey-Fuller.
6 La relación entre los precios y la producción, cuando se usa un rezago de esas variables en la estimación, es significativa solo a un nivel de 10%.
7 Como se mencionó, las correlaciones contemporáneas entre las variables endógenas son bajas, por lo que es de esperarse que este problema no sea de gravedad en los sistemas estimados, aun si se usara la descomposición de Cholesky.
Referencias
Ahmed S. L. y Park, J. H. (1992). Sources of Macroeconomic Fluctuations in Small Open Economies. Working Paper núms. 92-22, Federal Reserve Bank of Philadelphia. [ Links ]
Andrews, D. W. K. (1993). Test for Parameter Instability and Structural Change with Unknown Change Point. Econometrica, 6(4), 821-56. [ Links ]
Arellano, M. y Bond, S. (1991). Some Tests of Specification for Panel Data: Monte Carlo Evidence and an Application to Employment Equations. Review of Economic Studies, 58, 277-97. [ Links ]
Arellano, M. y Bover, O. (1995). Another look at the instrumental variable estimation of error-components models. Journal of Econometrics, 68(1), 29-51. [ Links ]
Artana, D.; Catena, M. y Navajas, F. (2007). El shock de los precios del petróleo en América Central: implicancias fiscales y energéticas. Documento de Trabajo núm. 624, Banco Interamericano de Desarrollo (BID), Departamento de Investigación. [ Links ]
Bashar O., H. M. N. (2011). On the permanent effect of an aggregate demand shock: Evidence from the G-7 countries. School of Accounting, Economics and Finance, Deakin University. Australia Economic Modelling 28, 1374-82. [ Links ]
Batten, D. S. (junio-julio de 1981). Inflation: The Cost-Push Myth. Federal Reserve Bank of St. Louis Review, 20-6. [ Links ]
Beck, N. y Katz, J. N. (2007). Random Coefficient Models for Time-Series–Cross-Section Data: Monte Carlo Experiments. Political Analysis, 15, 182-90. [ Links ]
Blanchard, O. (1989). A Traditional Interpretation of Macroeconomic Fluctuations. The American Economic Review, 79(5), 1146-64. [ Links ]
Blanchard O. y Quah, D. (1989). The Dynamic Effects of Aggregate Demand and Supply Disturbances. The American Economic Review, 79(4), 655-73. [ Links ]
Holtz-Eakin, D.; Newey, W. y Rosen, H. S. (1988). Estimating Vector Autoregressions with Panel Data. Econometrica, 56(6), 1371-95. [ Links ]
Humphrey, T. M. (verano de 1998). Historical Origins of the Cost-Push Fallacy. Federal Reserve Bank of Richmond Economic Quarterly, 53-74. [ Links ]
Iraheta, M.; Medina, M. y Blanco, C. (2008). Impacto del incremento de los precios del petróleo y los combustibles en la inflación de Centroamérica y República Dominicana. Documento de Trabajo Secmca I – 2408, Consejo Monetario Centroamericano. [ Links ]
Judson, R. A. y Owen, A. L. (1999). Estimating Dynamic Panel Data Models: A Practical Guide for Macroeconomists. Economic Letters, 65, 9-15. [ Links ]
Karras, G. (1993). Sources of U.S. Macroeconomic Fluctuations: 1973-1989. Journal of Macroeconomics, 15(1), 47-68. [ Links ]
Keating, J. W. y Nye, J. V. (1998). Permanent and Transitory Socks in Real Output: Estimates from Nineteenth – Century and Postwar Economies. Journal of Money Credit and Banking, 30(1), 231-51. [ Links ]
Kydland, F. E. y Prescott, E. C. (1982). Time to Build and Aggregate Fluctuations. Econometrica, 50(6), 345-70. [ Links ]
Lucas, R. E. Jr. (1972). Expectations and the Neutrality of Money. Journal of Economic Theory, 4(2), 103-124. [ Links ]
McCandless, G. T. y Weber, W. E. (verano de 1995). Some Monetary Facts. Federal Reserve Bank of Minneapolis Quarterly Review, 2-11. [ Links ]
Mio, H. (enero de 2002). Identifying Aggregate Demand and Aggregate Supply Components of Inflation Rate: A Structural Vector Autoregression Analysis for Japan. Monetary And Economic Studies, 33-56. [ Links ]
Parsley, D. C. (1996). Inflation and Relative Price Variability in the Short and Long Run: New Evidence from United States. Journal of Money Credit and Banking 28(3), 323- 41. [ Links ]
Quandt, R. (1960). Test of the Hypothesis that a Linear Regression Obeys Two Separate Regimes. Journal of the American Statistical Association, 55, 324-30. [ Links ]
Shapiro, M. y Watson, M. (1988). Sources of Business Cycle Fluctuations. National Bureau of Economic Research Macroeconomics Annuals, 111-48. [ Links ]
Apéndice
Algunos resultados de la estimación




















