SciELO - Scientific Electronic Library Online

 
vol.13 número2Buenas prácticas y mejora de procesos. Una aplicación para la transferencia y gestión del conocimiento en el área de transporte de hidrocarburos de ecopetrolDemocracia y corrupción índice de autoresíndice de materiabúsqueda de artículos
Home Pagelista alfabética de revistas  

Servicios Personalizados

Revista

Articulo

Indicadores

Links relacionados

  • En proceso de indezaciónCitado por Google
  • No hay articulos similaresSimilares en SciELO
  • En proceso de indezaciónSimilares en Google

Compartir


Dimensión Empresarial

versión impresa ISSN 1692-8563

Dimens.empres. vol.13 no.2 Barranquilla jul./dic. 2015

https://doi.org/10.15665/rde.v13i2.541 

DOI: http://dx.doi.org/10.15665/rde.v13i2.541

Viabilidad económica, social y financiera de Proyectos urbanos frente al desarrollo territorial1

Economic, social and financial viability of urban Projects in light of territorial development

Viabilidade económica, social e financeira dos projectos Urbanos à luz do desenvolvimento do território

Juan Carlos Segura-Ortiz2

1 Investigación financiada por el Contrato de Consultoría SDP-CM-005-2013, Secretaría Distrital de Planeación de Bogotá, DC, http://www.sdp.gov.co/PortalSDP, que comprende, entre otros el producto: “Documento técnico que contenga la metodología para determinar la viabilidad económica, social y financiera de proyectos urbanos de Bogotá D.C. frente al desarrollo territorial”. Las opiniones expresadas aquí son de responsabilidad exclusiva del autor y no compromete ni a la Secretaría distrital de Planeación, ni a ninguna de las entidades y/o dependencias de la Administración Distrital de Bogotá, D.C.
2 Director Técnico de consultoría SDP-CM-005-2013. Economista ULS, Ms.Sc. Economía del Medio Ambiente y de los Recursos Naturales / Join Masters Programme, Environmental and Natural Resource Economics, Universidad de Los Andes (Bogotá, D.C.) & University of Maryland (College Park, MA). Profesor, Evaluación de Impacto, Economía Computacional y Microeconomía Avanzada, Universidad de La Salle y Escuela Colombiana de Ingeniería; Profesor, Medición del Desarrollo desde las Ciencias de la Complejidad en la Maestría en Estudios y Gestión del Desarrollo, Universidad de la Salle, Bogotá, Colombia, http://www.lasalle.edu.co. Correos:. jcsegura@unisalle.edu.co / jsegura@ugpp.gov.co / http://microeconomica.googlepages.com

Fecha de recepción 03/09/2015. Fecha de aceptación 10/10/2015

Citación
Segura-Ortiz, J.C. (2015). Viabilidad económica, social y financiera de proyectos urbanos frente al desarrollo territorial. Revista Dimensión Empresarial, 13(2), p. 55-74, JEL: C14, C23, H23, H43, O18, O51, R12, R13, DOI: http://dx.doi.org/10.15665/rde.v13i2.541


Resumen

La Administración de Bogotá, D.C. se interesa en la determinación de la viabilidad de proyectos urbanos en un ámbito en el que se trata con bienes no mercadeables. La viabilidad de un proyecto urbano se revelará en al menos tres ámbitos: el económico, el social y el financiero. Un proyecto se dirá fuertemente viable si su impacto supone que el beneficio neto de su aplicación es estrictamente positivo dado que es económica, ambiental y financieramente factible; se dirá que el proyecto es débilmente viable, si es viable en al menos una de las tres dimensiones. Una aproximación metodológica que combina microsimulaciones con técnicas de evaluación de tratamientos en la evaluación ex ante de las propuestas de intervención arroja resultados experimentales que sugieren posibles contribuciones de este metodología en la priorización de iniciativas para el desarrollo urbano a la luz de las exigencias normativas de desarrollo territorial.

Palabras Claves: Desarrollo Urbano, Bienes no Mercadeables, Bien Público, Externalidad, Precios Hedónicos, Evaluación de Impacto.


Contenido: 1. Presentación, 2. Referentes Teóricos, 3. ¿Existe Evidencia? 4. Comentarios Finales.


Abstract

Bogotá City government wants to identify the viability of urban projects in a context in which the goods are publico non-marketable assets. An urban project would be said strongly feasible if its impact is strictly positive given it is economically, environmentally and financially feasible; It is said that the project is weakly feasible if it became viable in at least one of the three dimensions. A methodological approach that combines microsimulation techniques and impact evaluation of treatments yields quite promisorial outcomes that suggest possible contributions of this methodology in prioritizing initiatives for urban development in the light of normative requirements of physical development of territory.

Keywords: Urban Development, Impact evaluation, Non marketable good, Public Good, externatity, hedonic Prices.


Resumo

O governo de Bogotá, DC quer determinar a viabilidade de projetos urbanos em um contexto de ativos não transacionáveis. A viabilidade de um projeto urbano é revelada em pelo menos três áreas: econômicas, sociais e financeiros. Um projeto diz fortemente puro lucro viável se sua aplicação é estritamente positiva, uma vez que é economicamente, ambientalmente e financeiramente viável; pode dizer que o projeto é viável, se possível em pelo menos uma das três dimensões. Uma abordagem metodológica que combina técnicas de micro para avaliar tratamentos avaliação de intervenção proposto produz resultados experimentais que sugerem possíveis contribuições dessa metodologia em priorizar iniciativas para o desenvolvimento urbano, à luz dos requisitos legais de desenvolvimento territorial.

Palavras-chave: Desenvolvimento Urbano, Avaliação, mercadoria não transacionáveis, externalidade, bens público, preços hedônicos, avaliação de impacto.


1. Presentación

La Administración Distrital de Bogotá, D.C. está interesada en la identificación de procedimientos y métodos para la determinación de la viabilidad económica, social y ambiental de proyectos urbanos para el impulso del desarrollo territorial de la ciudad.

El Decreto Distrital 364 de 20133, que modifica excepcionalmente las normas urbanísticas del Plan de Ordenamiento Territorial (POT) de la ciudad, hace énfasis en una serie de objetivos cuya declaración explícita define una idea concreta de desarrollo para la ciudad que, en coherencia con visiones modernas de desarrollo sostenible, promete una ciudad económicamente próspera y políticamente diversa, compatible con los requerimientos usuales sobre sostenibilidad ambiental, económica y fiscal.

El logro de esta clase de objetivos involucra la movilización de recursos, la implementación diversas actuaciones y la ejecución de planes y operaciones (urbanas) que hagan posible orientar el desarrollo económico social y el ordenamiento territorial en el largo plazo, con el fin de aumentar la competitividad, la productividad general y sectorial, con responsabilidad fiscal (D364/2013, Art 1º).

La necesidad de disponer de metodologías para la determinación de la viabilidad de las acciones urbanas a cargo de la Administración Distrital se hace manifiesta visto que el plan afirma que

el mayor impacto en el logro de los objetivos se sustenta en una priorización de proyectos que deben incluirse en los Programas de Ejecución del Plan de Ordenamiento Territorial como parte de los planes maestros y demás instrumentos que desarrollan en mismo Plan de Ordenamiento Territorial, así como de los planes de desarrollo social y económico de los próximos tres períodos de la Administración Distrital (D364/2013, id.).

La fuente original de estas visiones es la Ley 388 de 1997 o de Ordenamiento Territorial que ordena a ciudades y municipios la elaboración de planes para promover la organización del uso equitativo y racional del suelo por parte de propietarios, observando la función social de la propiedad y facilitando la planeación y puesta en marcha de actuaciones urbanas en forma tal que los responsables puedan articularse en forma eficiente en torno a los planes elaborados bajo estas directivas (Ley 388/1997, Art 1º).

Para Bogotá, D.C., las manifestaciones actuales de estas orientaciones y objetivos se hacen efectivas en la obligación de: (i) articular los esfuerzos de planeación del Distrito Capital con los del sistema de planeación regional, (ii) de ejercer control efectivo sobre la expansión de la ciudad como estrategia para la desconcentración de la ciudad con argumentos de desarrollo sostenible del territorio, (iii) el reconocimiento del hecho de que la ciudad y el territorio no son objetos incorrelacionados sino que, por el contrario hacen parte de un sistema cerrado y completo, y (iv) el desarrollo de instrumentos para la planeación urbana, la gestión urbanística y la regulación del mercado del suelo para la región (D364/2013, id).

Aun cuando el POT de Bogotá y sus posteriores revisiones son documentos normativos de gran complejidad y detalle es fácil identificar en ellos la necesidad de intervenir en el espacio urbano buscando resolver los problemas que se suscitan por la constante presencia de los desequilibrios a que conllevan las acciones de los agentes privados en escenarios de externalidad, de bienes libres y de provisión y aprovechamiento desbalanceado de bienes públicos como el espacio urbano, acciones que constituyen en sí mismas, barreras al desarrollo económico y social sustentable, que es el propósito final de todas estas actuaciones.

La Administración Distrital, según se deriva de la idea que motiva esta investigación, tiene presente el concepto de bienestar como criterio de decisión para la elección de los proyectos con los que quiere modificar las condiciones actuales en las que las actividades urbanas tienen lugar y se desenvuelven; también resulta claro que para el gobierno de la Ciudad, el último de los criterios de elección y priorización es el que se refiere a la retórica de la definición axiomática de las bondades de un proyecto. En contraste, la administración se ha comprometido con la búsqueda de criterios objetivos para la selección de proyectos, entre ellos, el que obliga la determinación de la viabilidad económica, social y financiera de las intervenciones que puedan preverse.

Dicho criterio de selección es exigente: se pide para un proyecto que sea económicamente viable, esto es, que el beneficio neto privado sea estrictamente positivo, que sea socialmente viable, es decir, que la suma de los beneficios individuales producidos por el proyecto sean estrictamente mayores que los costes agregados (sociales) del mismo, y que sea financieramente eficiente en cuanto a que las inversiones que el proyecto involucra, sean cubiertos por los aportes financieros de los individuos, luego de la intervención. Se puede postular que bajo esta visión, un proyecto urbano será fuertemente viable si es viable en lo económico, lo social y lo financiero; al mismo tiempo, se dirá que una iniciativa pública es débilmente viable, si es viable en al menos una de las tres dimensiones que permiten juzgar el resultado del proyecto.

El problema de la determinación de la viabilidad de un proyecto urbano está relacionado con aquel de averiguar los valores privados, sociales (como la suma de los valores privados individuales) y los valores financieros que añade una intervención que, por construcción, ha sido diseñada para mejorar las condiciones de los beneficiarios del proyecto pues se parte de que las acciones de desarrollo territorial aportan valor. La principal dificultad de esta aproximación metodológica tiene que ver con que las intervenciones, si bien pueden materializarse en bienes privados, i.e., de consumo rival y excluyente, son por lo general bienes para los cuales no hay un mercado en el cual su precio se pueda definir de modo que se puedan reflejar tanto la disponibilidad a pagar (DAP) del beneficiario, como la disponibilidad a recibir (DAR) de quienes están a cargo de su provisión. Como la determinación de la viabilidad es una búsqueda ex ante, a las dificultades identificadas hay que añadir la incertidumbre que rodea a las iniciativas que quieren ponerse en marcha.

Nuestra propuesta consiste en reproducir escenarios alternativos, contingentes a las posibles intervenciones que desde la Administración de la Ciudad puedan ser previstas. La estrategia consiste en el diseño y construcción de un dispositivo computacional que con base en los datos actuales de los lugares de intervención, combinados con datos de individuos comparables observados ex post, tenga la capacidad de simular estados del mundo alternativos, generados por la provisión de atributos de naturaleza pública o privada actualmente no disponibles en los lugares de intervención. Se considerará que cada objeto beneficiario, v.g. cada predio privado, puede entenderse como un bien compuesto por una serie de atributos privados y públicos representables mediante una función hedónica, que es una agregación débilmente separable de los atributos que lo caracterizan; como consecuencia, el valor privado de un predio será proporcional a la suma de las DAP individuales de cada uno de los atributos que lo integran. Visto que para un predio a intervenir a través de un proyecto urbano, los atributos que se desea introducir a través de las actuaciones de la administración no están actualmente disponibles, se requiere computar los aportes marginales que dichos nuevos atributos añaden a los valores privados en zonas donde ya hayan sido introducidos o bien, identificados a través de indagaciones sobre DAP que puedan ser diseñados para estos efectos.

2. Referentes teóricos

La propuesta metodológica consiste de un modelo numérico de microsimulaciones que computa, para una zona compuesta por un número finito y específico de predios localizados en su interior, situaciones contrafácticas resultantes de variaciones de los parámetros que la caracterizan econométricamente. El modelo produce valores privados alternativos para el predio i=1,…,n contingentes a economías externas producidas por estados alternativos del espacio donde el predio se localiza, generados por una autoridad de planeación y de ordenamiento urbano.

Desde el punto de vista computacional, el modelo de microsimulaciones es una combinación lineal (no lineal) de los valores observados para los predios en la zona seleccionada, y un vector de parámetros que miden los efectos diferenciales asociados a la disponibilidad de características públicas que pueden introducirse exógenamente ya sea a través de la acción de una autoridad, o bien, a través de otras fuentes de variación como el ambiente general económico y social que identifica la economía en la que la zona está inscrita. Como se supone que la introducción de configuraciones alternativas del espacio de localización del predio i-ésimo, es un bien público, la noción de economía externa o externalidad juega un papel central.

Un predio puede considerarse como un bien compuesto al cual cada uno de sus atributos añade valor de modo tal que, para cada uno de ellos da lugar a una disponibilidad a pagar (DAP) que agregada sobre todos los atributos disponibles, produce el valor de mercado del predio que, de este modo, cabe tenerse en cuenta como un bien hedónico. Un proyecto urbano cambia un subconjunto de los atributos asociados al predio: el cambio en el valor privado del predio es el impacto del proyecto.

La discusión que sigue en las secciones a continuación constituye el marco teórico de nuestra propuesta. Se presentan nociones operativas de economía externa y de bien hedónico. El modelo de microsimulaciones es una relación lineal matricial de la forma Ax=b en el que la matriz de parámetros A se estima econométricamente teniendo en consideración técnicas de Evaluación Estadística de Impacto por lo cual, la tercera sección en este acápite discutirá sobre este particular.

Economías de Aglomeración, Economías Urbanas y Externalidades

La noción de externalidad o de (des)economía externa explica de modo sencillo y creíble la tendencia a la aglomeración en puntos particulares del trazado urbano, de actividades fuerte o débilmente homogéneas. El término se refiere a la influencia que sobre un conjunto de elección o la función objetivo de un agente tienen las acciones de otros agentes, al margen del mecanismo del mercado . Dos elementos definen una externalidad: (i) el que los efectos derivados de la acción de un agente pueden tener consecuencias, positivas o negativas, sobre el bienestar de otro, y (ii) el hecho de que dichos efectos no se den como resultado de una transacción en un mercado competitivo.

El concepto de externalidad ha estado asociado a la realidad empírica de la concentración espacial y es central al desarrollo de la teoría moderna sobre las economías urbanas (Fujita, Krugman, & Venables, 1999). Las concentraciones urbanas, tienen en efecto, explicación plausible, —si bien parcial—, en la presencia de externalidades y de derramamientos tecnológicos que obran como atractores de las actividades urbanas y ejercen influencia en relación con su localización. Marshall (citado por Fujita, Krugman, & Venables, 1999) relaciona las decisiones de localización de las firmas, con tres posibles razones: (i) industrias espacialmente concentradas producen economías que pueden aprovechar los proveedores locales de insumos. (ii) una concentración de firmas empleadoras de trabajadores de un mismo tipo, puede demandar trabajo como una apuesta en común dando lugar a economías de información no despreciables: bajo este tipo de estrategias, para los trabajadores, la probabilidad de estar desocupados si sus empleadores lo hacen mal puede ser sustancialmente menor que en el caso alterno, al tiempo que las firmas resultarán más propensas a encontrar y contratar el trabajo necesario si lo hacen bien. Finalmente, (iii) la proximidad geográfica puede facilitar la diseminación y distribución de información y disparar el aprovechamiento de spillovers que pueden mejorar la productividad local. (Fujita, Krugman, & Venables, 1999:18)

Como los usos privados del espacio son competitivos, las decisiones sobre localización de las firmas dependen de la localización de otras firmas, y contribuyen a explicar la localización de los hogares cuyos integrantes, —parte de la oferta de trabajo—, tenderán a localizarse en sitios suficientemente cercanos como para conmutar a bajo costo entre el lugar de trabajo y el de la reposición de la fuerza de trabajo, y suficientemente alejados como para minimizar el efecto negativo (externalidad) de la actividad fabril.

La presencia de externalidades puede, no obstante, dar lugar a resultados socialmente indeseables: bajo externalidad las asignaciones de mercado son no competitivas, i.e. no hacen parte del Conjunto de Pareto y, por consiguiente, de acuerdo con el primer teorema del bienestar, no son de equilibrio competitivo [ (Mas-Colell, Winston, & Green, 1995), (Varian, 1993)].

En el caso urbano, las deseconomías asociadas a la aglomeración se relacionan con la polución, la congestión y la sobreutilización de recursos libres (tragedy of commons), y la creación de posición dominante en relación con activos como el suelo. En estas circunstancias se producen situaciones en las que los equilibrios que se alcanzan son subóptimos (en relación con un criterio normativo como el de Pareto, por ejemplo), resultado que indica que hay situaciones que impiden alcanzar todas las ventajas del intercambio y de la producción competitiva de bienes y servicios: el mercado falla siendo de notar que este fenómeno es situación más común que excepcional así que la apropiación privada de activos fuentes de externalidad configura no convexidades en los conjuntos de producción que se pueden asociar con la adopción, por parte de algunos agentes, de posiciones dominantes en relación con una mercancía como el suelo en particular.

En consecuencia, en presencia de externalidad, la obtención de asignaciones eficientes requiere alguna clase de coordinación entre los agentes privados que no puede ser provisto a través del modo descentralizado de asignación de recursos de modo tal que el funcionamiento de los mercados debe ser suplementado por algún tipo de institución, v.g. un gobierno que facilite la obtención de asignaciones óptimas a través de la provisión de bienes (públicos o privados) que empoderen a las víctimas de las externalidades y les permitan entrar en forma más competitiva en los mercados relevantes o bien redefiniendo derechos de propiedad para limitar el alcance de la acción de aquellos agentes que pueden apropiarse parcial o totalmente de los excedentes económicos de otros agentes [ver, entre otros (Villar, 1999)].

Desde el punto de vista puramente teórico, las pretensiones del POT pueden equipararse con los resultados asociados al llamado Segundo Teorema del Bienestar [ver (Varian, 1993), (Mas-Colell, Winston, & Green, 1995), (Villar, 1999), (Jehle & Reny, 2011) inter alia], de acuerdo con el cual, toda asignación de recursos puede alcanzarse como un equilibrio general walrasiano, dadas redistribuciones adecuadas de los activos. La incertidumbre existente en relación con el carácter de las redistribuciones da lugar a la necesidad de priorizar acciones que puedan llevar a un punto de partida tal que desde allí los agentes urbanos puedan a través de transferencias de suma fija5, alcanzar sus imaginarios colectivos sobre desarrollo.

Precios, Atributos Públicos y Características Privadas

La localización de las actividades de los agentes privados se relaciona, en el ámbito urbano con la producción de externalidades y causa externalidades. La presencia de bienes públicos, —mercancías de consumo no rival ni excluyente6— como vías (en ausencia de congestión), parques, estaciones de policía (es decir, el flujo de servicios de seguridad que puede proveer), el orden territorial, amenidades ambientales, etc., hace parte de los argumentos que explican las decisiones de localización de los agentes privados. La hipótesis no es nueva: Tiebout (1956) sugería que las decisiones individuales de localización residencial estaban motivadas por la calidad de los bienes públicos locales y explica su valor. Lo propio puede ser aplicado en el caso de las firmas que, dependiendo del grado de heterogeneidad de la ciudad de referencia, compiten por el suelo con las otras actividades urbanas (Fujita, Krugman, & Venables, 1999:37).

Un modelo de conducta del consumidor y/o del productor en el ámbito urbano debe considerar no únicamente las características privadas o interiores del predio, como se ha venido proponiendo desde un comienzo y ha de incluir información sobre los aportes al valor, (positivos o negativos) atribuibles a las externalidades que otros individuos generan sobre él, en el ámbito geográfico que le caracteriza.

De especial consideración es el agente gobierno, que en el presente contexto, puede pensarse como un generador de externalidades en principio positivas, que añaden valor a los predios privados, mediante la provisión de bienes públicos (o incluso bienes privados, en un sentido local de pequeña escala). En esta visión, el POT puede considerarse un mecanismo para la provisión de un bien público puro: el Desarrollo del Territorio de la Ciudad.

Rosen (1974) reclama que una cierta clase de bienes/productos diferenciados puede ser descrito en forma completa por un vector de características mensuradas en forma objetiva. Con esta proposición, los precios de algunas mercancías y las cantidades concretas de los atributos que constituyen cada bien, definen un vector implícito de precios hedónicos. El trabajo de Rosen consiste de una teoría del valor hedónico en el marco de la economía espacial: los precios relativos caracterizan las decisiones de localización de productores y consumidores en determinados espacios característicos. Por supuesto el argumento hedónico es de equilibrio general: las decisiones de localización pueden representarse ex post como soluciones a los problemas habituales de maximización de la utilidad y de maximización del beneficio, mientras que la llamada función hedónica supone una relación empírica entre el precio de un bien compuesto7 que en el equilibrio maximiza los excedentes de los dos tipos de agentes y, desde una óptica funcional, hace compatibles las Disponibilidades a Pagar (DAP) y a Recibir (DAR) de consumidores y productores, respectivamente. Por su parte, los modelos estadísticos/econométricos de precios hedónicos buscan cuantificar los precios observados de los bienes en cuestión siendo estos caracterizaciones agregadas de los precios de bienes diferenciados, considerados como paquetes de atributos, e identificando los lados de la oferta y la demanda de los mercados de dichos bienes, dadas hipótesis concretas sobre las preferencias y la tecnología que caracterizan a los agentes involucrados en estos mercados.

Los modelos hedónicos permiten analizar en forma sistemática la demanda y la oferta de la calidad asociada a esos paquetes de atributos. El termino calidad incluye la ampliación de los atributos de un bien empaquetado en un bien hedónico particular como los atributos de una casa o un vehículo, las características de un trabajo (riesgo o ambiente laboral) o las amenidades ofrecidas por un mejoramiento ambiental recreacional (Heckman, Matzkin, & Nesheim, 2005).

En términos prácticos, con el enfoque hedónico se busca estudiar los lados de la oferta y la demanda de un bien heterogéneo como puede serlo un predio a través de una desagregación de los precios de sus atributos. Los precios de los atributos del bien compuesto no están disponibles en forma individual; sin embargo, el precio (valor unitario) del bien compuesto representa el efecto agregado de los precios implícitos o hedónicos de cada atributo.

Por ejemplo considere una unidad familiar que elige una vivienda cuyo precio P(Z,A) es una función de una serie de características estructurales Z, de un vector de atributos A. El precio P es una relación de equilibrio entre la renta del predio y sus atributos. Nótese el ingreso del hogar con y mientras que los demás bienes en la cesta de consumo viene notada con x. Sea además α un vector de datos que describe el entorno socioeconómico de la unidad de decisión. Entonces, el problema del consumidor puede ponerse como:

Sea θ(Z,A,x;α) una función que representa la DAP por una unidad de vivienda con un vector de características y atributos (Z,A). Dados el nivel de ingreso y un nivel de utilidad ū, esta función se define implícitamente por

Sea además ϕ=u(Z,A,x;α)-λ[P(Z,A)+x-y] la función auxiliar de Lagrange, en la cual se ha cambiado el signo de desigualdad de la restricción por uno de igualdad estricta si se asume no saciedad al menos desde un punto de vista local. La solución del problema [1] exige que en el equilibrio, el gradiente de la función auxiliar sea cero, i.e., vϕ=0, condición que implica que

Existe un trade-off entre los argumentos Z,A y que su relación marginal de sustitución iguala al costo marginal del atributo k-ésimo que, de acuerdo con la lógica desarrollada, iguala a la DAP por el atributo k. Para el productor, la función de costos (unitarios) es un mapa continuo .

El escalar N es el número de unidades a producir y β caracteriza el conjunto de producción de la firma j-ésima e incluye información sobre precios de inputs. El problema del productor puede ponerse como:

Sujeta a que cualquier plan de producción es viable, es decir, hace parte del conjunto de producción. La solución de [4] es, como es la costumbre8 un vector de demandas condicionadas de factores y de insumos intermedios y un vector ofertas de bienes, φ(Z,A,N;β) que en el margen es el precio unitario de una unidad de mercancía compuesta de características y atributos (Z,A), para obtener un nivel de beneficio que en el óptimo está dado por (Rosen, 1974):

Siendo φ*(∙)=c*(Z,A,N;β). Note que H:(Z,A)→P(Z,A) —que es la Función Hedónica—, se determina por la interacción entre oferta y demanda en los mercados relevantes. Si el mercado de la mercancía compuesta se vacía, las funciones de postura θ* (∙) y de oferta φ* (∙) son tangentes al precio y por tanto tangentes entre si; en otros términos, la función de precio hedónico es la evolvente de las funciones θ* (∙), φ* (∙), para cada par (Z,A), i=1,…m, j=1,…,n.

Las viviendas (en realidad todo predio público o privado) son mercancías características en por lo menos tres aspectos: su heterogeneidad, su durabilidad y su inmovilidad; este último factor hace que la localización de una mercancía de esta clase sea un determinante principal de su precio (Kiel & Zabel, 2007). La localización hace parte del vector A de atributos por lo que, en el equilibrio, el precio de un predio no solo involucra al producto y al consumidor, sino al propietario del suelo, que si bien en cualquier caso puede ser cualquiera de los otros dos, tendrá una posición de oferta distinta a las que se describen por θˆ* (∙) y φˆ* (∙), en especial si esa localización le otorga poder de mercado, ya sea porque produce externalidades positivas que supondrán economías de escala para quien adquiera el predio, ya sea porque la dotación de bienes públicos agenciada por el gobierno le añade valor adicional a la mercancía en cuestión.

Esta argumentación explica la popularidad del enfoque hedónico a la hora de explicar la forma cómo los precios de los predios reflejan variaciones espaciales en las dotaciones de bienes públicos de diferentes comunidades, clusters, vecindarios, localidades y regiones compuestas de aglomeraciones urbanas entre otros. Una relación econométrica típica para estimar las DAP marginales de cada componente del bien compuesto, para un bloque de i=1,…,m individuos (predios, viviendas, establecimientos comerciales) está dado por:

Aik y Gir son vectores de atributos de la unidad i-ésima que se distinguen entre sí porque Aik comprende atributos privados e internos a la unidad como el tipo de actividad económica que se desarrolla allí (comercio, servicios, industria, producción de fuerza de trabajo), el número de cuartos, el área de la construcción, el área del terreno, en tanto que Gir comprende atributos públicos como el estrato socioeconómico (dado que se trata de vivienda), el tipo de zona, (en deterioro urbanístico, en desarrollo progresivo con o sin consolidar inter alia).

La naturaleza del agente económico que efectúa la decisión de comprar una unidad de bien compuesto afecta, obviamente, las decisiones asociadas a la elección. En particular, Xij es un vector de datos de características socioeconómicas de los individuos en los predios que, por estar relacionadas con el nivel de ingreso, determinan el espacio de elección y por tanto las soluciones de los problemas [1] y [4], esto es, afectan el equilibrio DAP-DAR sobre el cual se determina el precio de equilibrio. Es de esperarse que las características socioeconómicas como los niveles de educación (capital humano), el tamaño del hogar en términos del número de personas, etc., son covariantes del ingreso, que es un parámetro fundamental en las posiciones de oferta y demanda por la mercancía compuesta, según se ha explicado. El vector βˆ'=(a0krj )ˆ' contiene parámetros a estimar que describen las DAP marginales por los atributos internos y externos Aik y Gir, las elasticidades ingreso de la demanda (inversa) por el bien compuesto (αj) y el precio promedio de un bien compuesto, cuando no hay diferencias en los atributos internos/externos entre ninguna de las i=1,…,n unidades.

Finalmente εi es un vector de residuales que de cualquier modo puede descomponerse en otros dos vectores: uno de efectos individuales y otro de efectos que se pueden compartir entre otros individuos y que puede representar variaciones generadas por el conjunto de controles G_ir de bienes públicos y otras externalidades.

El Impacto de las Intervenciones Públicas

Con las Evaluaciones de Impacto (EI) se quiere indagar por “qué habría pasado con los beneficiarios (de un programa o intervención) en ausencia del programa en cuestión?”

Se quiere conocer el conjunto de efectos, tratamientos o causas sobre una variable de respuesta o de resultado Yi. Sea Di un indicador de tratamiento. Si el tratamiento es binario, entonces, i=1,2,…,m, siendo m el tamaño de la población de referencia se tendrá:

Di=1 ↔ si el individuo recibe el tratamiento
Di=0↔ en caso contrario

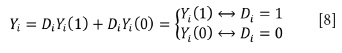
Defínanse además las variables de resultado Yi (Di ) entonces (Bernal & Peña, 2011:18),

Yi (Di=1)=Yi (1) es la variable de resultado cuando el individuo i ES tratado, y

Yi (Di=0)=Yi (0) es la variable de resultado cuando el individuo i NO recibe el tratamiento.

Finalmente, el impacto del proyecto, esto es, el efecto del tratamiento puede entonces expresarse como:

Como el impacto de la intervención se da en un momento concreto del tiempo no es igual comparar el sujeto en dos momentos distintos (antes y después). El resultado observado de la intervención se puede expresar del siguiente modo (Bernal & Peña, 2011:18)

Dado que en [7] solo uno de los dos resultados es observado en tanto que el otro es no observable, el análisis debe concentrarse en el impacto promedio del programa en la población de referencia. El impacto promedio del programa, el efecto promedio del tratamiento o ATE (Average Treatment Effect) puede estimarse mediante:

Que expresa el cambio promedio en la variable de resultado cuando un individuo escogido al azar pasa aleatoriamente de ser participante a ser no participante. La variable aleatoria τATE es una buena aproximación a la medición del impacto. Desde el punto de vista econométrico, una representación sencilla de la variable de resultado viene dado por:

Donde τi=Yi (1)-Yi (0) e Yi (0)=E[Yi(0)]+μi0i (cfr. Bernal & Peña, 2011:19). Para el caso que nos ocupa, la función [10] es un caso particular [sin controles adicionales] de la ecuación hedónica [6]. Si el tratamiento del programa se concentra en un subconjunto poblacional, se precisa computar un estimador que mida el promedio del efecto sobre la población elegible. En estos casos es pertinente medir el impacto promedio del tratamiento sobre el tratado o ATT (Average Treatment on Treated) que mide el efecto del tratamiento sobre los sujetos que fueron efectivamente tratados:

Que es una medida que estima la diferencia entre el promedio de la variable de resultado de los individuos que experimentan la intervención y el promedio que hubieran reportado de no haber existido la intervención. (Bernal & Peña, 2011: 19; Ravallion, 2008: 3790; Khandker, 2010: 26).

El resultado contrafactual, que corresponde al componente E[Y_i (1)|D_i=0] se interpreta como el promedio de la variable de resultado de los individuos que pertenecen al grupo de los no tratados, si hubieran participado en el programa, es decir, es el promedio de la variable de resultado de los no participantes si hubieran participado en el programa, dado que estos individuos no han sido tratados (Bernal & Peña, 2011: 20).

Así como τ_ATT informa sobre si un programa existente debe continuar o debe modificarse, el parámetro τ_ATU es útil al informar sobre si el programa debe extenderse a otros grupos poblacionales. Tanto en el caso de τ_ATT como en el caso del τ_ATU se requiere contar con una aproximación o sustituto del resultado contrafactual, que por tratarse de un resultado hipotético, no es observable, es decir, no hay datos respecto de ellos.

Propuesta Metodológica

Supuesto que la relación [6] es susceptible de ser estimada y que es posible, para una observación o un subconjunto de observaciones como las que conformarían una vecindad, reemplazar el valor observado en una variable que describe las condiciones socioeconómicas y/o escénicas en las que tiene lugar por otro valor que represente mejores condiciones externas.

De ser este el caso, un cambio que involucre pasar de una condición de «deterioro urbanístico (-)» a «deterioro urbanístico (+)» debería producir un cambio en el lado izquierdo (en adelante LHS) del modelo, esto es, en el avalúo; más aún, desde una óptica cualitativa, pasar de «deterioro urbanístico (-)» a “comercial predominante” debería generar un impacto cuantitativo en el LHS del modelo. La diferencia en los LHS del modelo estimado y del contrafactual, es equivalente al τATT descrito en términos generales mediante [11]

Lo que se acaba de describir es la ejecución de un ejercicio what-if, esto es de una micro-simulación de qué pasaría a un individuo si los valores de variables de control son modificadas por un tomador de decisiones. En particular, con el ejercicio descrito, se evalúa ex ante el valor del predio, contingente a un cambio de régimen que suponga modificaciones en algunos de los atributos del mismo.

Bajo la normativa del POT en concreto, una intervención de política busca alterar las condiciones de bienestar del sujeto de la política: en general, es posible observar cambios ex post en el empleo o en el gasto del beneficiario, pero el punto es si estos cambios están asociados directamente a la intervención. La pregunta es si la intervención causa cambios en el empleo o en el gasto. La respuesta es: no necesariamente. En efecto, con solo una observación posterior al tratamiento, es difícil lograr una conclusión sobre el impacto (Khander, Koolwal, & Samad, 2010). Y no hay ex ante observaciones posteriores al tratamiento.

La idea subyacente a la noción de contrafactual en el contexto de la evaluación de impacto, puede ayudar a comprender el problema que se enfrentará en el momento de comprobar la viabilidad de un proyecto urbano cualquiera. Mientras el impacto del programa solo puede ser estimado mediante comparación entre los resultados actual y contrafactual, el resultado contrafactual no se observa en el mundo real (Khandker, Koolwal & Samad, 2011:22).

Entonces, lo que se plantea es la posibilidad de medir el efecto de una intervención POT en términos de los valores privados de los elementos cuyo entorno se quiere modificar. Hay un problema por resolver porque la evaluación exigida es ex ante y la metodología descrita hace referencia a mediciones ex post. Más aún, en la situación presente, los grupos de tratamiento y de control no pueden ser identificados en forma unívoca, ni los avalúos de los predios son resultados posteriores a un tratamiento.

Una forma de tratar este problema consiste en encontrar grupos de vecindades o de clusters o agrupaciones caracterizados por una serie de atributos privados simulares que difieren únicamente en las características externas Gir en la ecuación [6]. En particular, uno de los grupos debería contar con los atributos externos Gir mientras que el otro debe carecer de ellos y, por tanto, si estos elementos añaden valor, deberán observarse diferencias entre los niveles Yi en cada uno de los grupos.

En este sentido, los dos grupos de observaciones deberían conformar una zona de soporte común de forma tal que su propensión a adquirir un valor i sea idéntico si los dos grupos de observaciones comparten las características Gir. Si es posible identificar estos dos grupos, y es posible estimar el conjunto de parámetros γr y reemplazarlos en el grupo de tratamiento contingente. Bajo las condiciones descritas, los valores Yi para los dos grupos deberán ser similares en sus primeros momentos (media y varianza) y diferir en términos de las diferencias que introducen los controles socioeconómicos Xij en la ecuación [6], el término de error εi, y otros no observables para los cuales no se disponga de información.

Como consecuencia, el modelo de microsimulaciones, no es una cosa distinta a la elaboración de un ejercicio en el que se crea un mundo alternativo para un grupo de observaciones, a través de la modificación de sus valores observados, que serán reemplazados por los valores de benchmark que fija la situación de aquellas observaciones que disponen actualmente de las características Gir.

El alcance de esta metodología es limitado, desde luego. Suponer que existe al menos un conjunto de unidades que disponen Gir en la ciudad, deja por fuera la posibilidad de concebir un proyecto completamente innovador para el cual no hay manifestación empírica en el ámbito al que se quiere someter. Sin embargo, también resulta poco probable que un proyecto, independientemente de su origen, no tenga un referente empírico y se sustente únicamente en juicios de valor.

Como la función hedónica, por otra parte, es débilmente separable, es posible determinar individualmente las disponibilidades a pagar por los k+r atributos privados y externos en forma separada. Por lo tanto, una intervención que puede comprender variaciones en distintos de estos atributos, puede ser simulada, importando los valores relevantes de las situaciones en las que dichos atributos, si bien no aparecen en forma agrupada, si pueden tener lugar en forma individual.

En la práctica, la relación [6] es estimable salvo por el hecho de que normalmente la ecuación hedónica tiene algún grado de no linealidad, exigiendo en algunos casos aproximaciones como las de Box-Cox que buscan exponentes óptimos para el lado derecho de la ecuación (en adelante RHS) y el LHS de la relación postulada entre precios y atributos. En estas circunstancias, suele estimarse, en lugar de la relación [6] una versión modificada de la misma:

En donde θ=λ=1 es uno de los casos plausibles. La principal dificultad para la estimación de [12] no es por supuesto, la búsqueda de valores óptimos para (θ,λ) sino la disponibilidad de información suficiente, que parece ser el caso de Bogotá. Un tratamiento sobre el problema de la estimación de [12] en el contexto de la evaluación de impacto, es el provisto en el estudio de impacto de la Fase I de Transmilenio sobre los precios del suelo en Bogotá elaborado por Perdomo & Mendieta (2007)

Para la combinación de estrategias de medición propuesta existe una amplia serie de referentes aplicados así como un abundante cuerpo de literatura empírica. Por ejemplo, en ejercicio empírico reciente Panduro & Lausted (2013) se proponen la caracterización de zonas verdes para la ciudad de Aalborg (Dinamarca) con base en tecnologías hedónicas. Nilsson (2014) explora el valor de amenidades naturales en el ecosistema urbano, su relación con el crecimiento y con la demanda de vivienda utilizando combinando el método hedónico con consideraciones espaciales (Nilsson, 2014). Schmidt, Moore & Alber (2014) se valen de regresiones hedónico-espaciales para valorar la integración de servicios ambientales y finanzas públicas en la planeación del uso del suelo (Schmidt, Moore, & Alber, 2014).

3. ¿Existe evidencia?

La aplicación del método propuesto está mediada por los datos disponibles y su calidad. El catastro de Bogotá, por otra parte, es un censo de predios que registra el LHS de [6] y [12] y algunas de las características en la matriz A_ik además, se han adelantado esfuerzos de compilación de información urbana geográfica para la construcción de la estratificación socioeconómica de la ciudad, que acude a información de hábitat y de características externas, —modificables vía actuación urbanística—, elementos típico de la matriz G_ir en [6] y [12]. Finalmente, se han reunido datos de características socioeconómicas por manzana catastral, conformando los controles que podrían registrarse en la matriz X_ij de la expresión propuesta.

A partir de una primera muestra de 3011 observaciones aportada por la Secretaría Distrital de Planeación de Bogotá, D.C. (SDP) se estimó una relación estadística del tipo [6],[12] entre el avalúo (promedio) de un conjunto de predios localizados en un lugar particular de la ciudad y una serie de características observadas al interior de ellos y en su entorno. Entre las características incluidas se han incorporado, en relación con los atributos internos variables como el uso económico que se le da al predio, que es el conjunto de controles que registran los niveles de empleo por gran clasificación de actividad económica (industria, comercio, servicios, etc.) y el número de establecimientos donde estos individuos venden su fuerza de trabajo.

En el conjunto de los controles socioeconómicos se ha incluido una razón de dependencia (el ratio entre el número de personas que pueden no valerse por sí mismas y el número de personas en edad de trabajar), la población total y entre el conjunto de controles asociados a bien (o mal público) el estrato y el código del tipo de zona (deterioro urbanístico, zonas verdes, zona de pobreza). Los resultados —provisionales— son los que se presentan en la tabla a continuación:

La hipótesis de la competencia de los usos parece tener una verificación aquí pues los destinos distintos a la vivienda, aportan más al valor promedio del avalúo en tanto que la razón de dependencia, la población y el estrato, al ser mayor operan en dirección contraria del avalúo9.

Características privadas como el área del terreno y el área de la construcción tienen signo correcto y alta significancia. El número total de establecimientos lleva signo negativo indicando un posible patrón de congestión que genera deseconomías externas, en detrimento de los precios. Una segunda muestra con 5000 entradas independiente de la primera muestra (provista también por la SDP), fue sujeto de escrutinio bajo la óptica del esquema hedónico propuesto. En este nuevo ejercicio exploratorio se estima una relación estadística entre el avalúo (promedio) de un conjunto de predios localizados en un lugar particular de la ciudad y una serie de características observadas al interior de ellos y en su entorno.

Entre las características incluidas se han incorporado, como atributos internos (i.e., características privadas), variables como el uso económico que se le da al predio, que es el conjunto de controles que registran los niveles de empleo por gran clasificación de actividad económica (industria, comercio, servicios, etc.) y el número de establecimientos donde estos individuos venden su fuerza de trabajo.

El ejercicio inicial con esta nueva muestra consiste en relacionar el valor del predio con sus características privadas: el índice de construcción (ic), el área del terreno (ha_land), el área de la construcción (ha_constr), el empleo en actividades industrales, comerciales, de servicios y otros (eind, ecom, esrv, eotr) y el tipo de construcción (t_casa, t_apto, t_cuarto, t_otro). Los resultados son los de la Tabla 2.

Los resultados obtenidos parecen ser contra intuitivos: por ejemplo, el índice de construcción, obtenido como el área de la construcción sobre la del terreno lleva un signo distinto al esperado en tanto que las áreas de construcción y terreno llevan signo adecuado. Note que el índice de construcción es una función no lineal de esas dos variables. En segundo lugar, el avalúo es función creciente de los usos relacionados con los servicios y otros usos, y fuertemente decreciente en los usos industriales; el coeficiente de los usos comerciales no resultó ser significativo. Finalmente los usos incluidos, que aparecen relacionados con usos residenciales tienen signo negativo, lo cual resulta explicable desde el punto de vista de la actividad económica.

Cómo se relaciona el (log del) avalúo con las características públicas? Se plantea un nuevo ejercicio de medición que regresa el avalúo con tres grupos de variables: aquellas que describen la intensidad del aprovechamiento de la actividad económica por tipo o indicadores de densidad industrial, de comercio y de servicios (densind, denscom, densrv, denstot), un grupo de variables binarias que asumen el valor 0 ó 1 para cada uno de los seis estratos, y finalmente u conjunto de variables categóricas que hacen referencia a la zonificación hábitat del catastro distrital.

Estas variables, que se identifican por el prefijo “zh” señalan si la zona donde un predio se encuentra es un área donde predomina la pobreza, o constituye una zona de tolerancia (zh_ztol) o es residencial con comercio (zh_rescom) o residencial intermedio (res_int), reisdencial exclusivo (res_excl), etc. Los resultados de la estimación se registran en la Tabla 3.

Los coeficientes estimados son todos distintos de cero, excepción hecha del que corresponde a las zonas residenciales de baja densidad (zh_resbd). Aspectos públicos que añaden valor son la posibilidad de adelantar actividades económicas en contextos residenciales. Desde luego, variables como zh_pobreza y est01 y est02 llevan signo negativo.

No toda actividad económica tiene el mismo premium sobre el avalúo: las zonas con densidad comercial aportan más al valor que las de servicios y las de la industria. Las zonas de tolerancia tienen un coeficiente positivo, por razones asociadas a la explotación comercial que puede desarrollarse en dichos ámbitos. Como se ha señalado, las zonas de mayor aporte al valor de un predio son, en su orden el residencial con comercio (zh_rescom) seguido de las zonas predominantemente comerciales (zh_comprd) e industrial (zh_ind). Aun cuando el resultado se refiera a una muestra tomada al azar, hay algunas relaciones, aun en este contexto muestral, entre el tipo de escenario urbano y el avalúo que vale la pena ilustrar (Gráfico 1):

Los resultados son sugestivos porque reiteran la influencia del hábitat urbano local en los valores privados. En particular, la pobreza generalizada o los ámbitos de desarrollo progresivo (consolidados y/o sin consolidar), así como aquellas zonas de deterioro urbanístico, restan valor, pero además identifican lugares donde enfocar la intervención pública. Estimando de nuevo la última relación, eliminando las variables que no aportan (zh_dpcs, zh_deturb, y zh_inst), se tiene una visión más fina del proceso, pero con la misma intuición sobre caracterización que se estaba buscando desde un comienzo, i.e., las características externas (o públicas) contribuyen a la explicación del valor:

Como es de esperarse, los resultados de la regresión mejoran y consolidan las intuiciones iniciales: las zonas de pobreza (zh_pobreza) y de desarrollo progresivo no consolidado (zh_dpnc) están relacionadas en forma inversa con el valor del predio.

Con la misma muestra es posible evaluar la pertinencia de los descriptores socioeconómicos (el vector α en el modelo teórico, la matriz Xij en el esquema econométrico); en particular, se ensaya el carácter de la pobreza como resultado de las características dotacionales de los individuos en las unidades prediales. Se espera que indicadores como la razón de dependencia (razdep) y un estrato bajo estén relacionados con precios menores; la relación con la zonificación que identifica pobreza deben mantenerse, es decir, unidades prediales en zonas de pobreza (zh_pobreza) o en zonas de desarrollo progresivo consolidad y sin consolidar (zh_dpcs y zh_dpnc respectivamente) así como unidades en zonas de deterioro urbanístico (zh_deturb), no deberían reportar signo positivo. Los resultados de la Tabla 6 parecen indicar que es posible encontrar valores en Xij adecuados para eventuales ejercicios de evaluación ex ante de impacto de la política pública:

Las relaciones confirmadas en este grupo de ejercicios, son equiparables con las del ejercicio inicial (Tabla 1); esto es, resultan estables, cuestión que permite guardar expectativas positivas respecto de un ejercicio de mayor alcance estadístico: por ejemplo, la hipótesis de la competencia de los usos parece tener una verificación aquí, toda vez que los destinos distintos a la vivienda, aportan más al valor promedio del avalúo en tanto que la razón de dependencia, la población y el estrato, al ser mayor operan en dirección contraria del avalúo10.

Características internas como el área del terreno y el área de la construcción tienen signo correcto y alta relevancia (significancia). Finalmente, el número total de establecimientos lleva signo negativo identificando patrones de congestión relacionados con deseconomías externas, en detrimento de los precios.

Reforma Urbana en el Laboratorio

El papel de las microsimulaciones puede ilustrarse con un ejemplo elemental. A partir de los resultados de la Tabla 1 es posible obtener un conjunto de valores estimados que, en relación con el avalúo original observan una relación fuerte y estable: la presencia de algunos outliers es inevitable aunque aceptable. El Gráfico 2 ilustra estas relaciones (avalúo y avalu estimado):

Un experimento contrafactual para la evaluación ex ante de una política puede partir de la consideración de que partir de las relaciones estimadas es posible, —para una observación o un subconjunto de observaciones como las que conformarían una vecindad—, cambiar el valor observado en la variable codigo_zona del valor actual a un valor que esté asociado a mejores condiciones externas.

Si la variable está bien orientada, un cambio que involucre pasar de deterioro urbanístico a residencial intermedio debería producir un cambio en el avalúo: considerar un cambio cualitativo como, por ejemplo, pasar de deterioro urbanístico (-) a comercial predominante debería generar un impacto cuantitativo en el LHS del modelo.

Considérese entonces una reforma (proyecto urbano) consistente en desincentivar el uso Industrial en favor del uso Comercial, según alguna conjetura urbanística sobre el funcionamiento de la ciudad (a cargo de los planeadores). El procedimiento real puede consistir de la emisión de una serie de decretos que tornen prohibitivo el uso del suelo a intervenir; independientemente del mecanismo, se esperaría que los usos industriales se destinaran al comercio, por ejemplo, o en cualquier caso al mejor uso alternativo. La evaluación de este posible resultado es, según la presente propuesta, adelantar un ejercicio what-if a partir de la simulación de los valores prediales que podrían surgir si el mundo fuera otro: uno en el cual, los usos industriales desaparecen y son sustituidos por usos comerciales (por ejemplo). Los aspectos procedimentales no son de mayor complejidad porque se limitan a filtrar los datos de la tabla de datos contrafactual con una estimación de valores hedónicos espaciales obtenida mediante la aproximación econométrica ilustrada en los ejemplos previos. La construcción de la tabla contrafactual por su parte, consiste en construir una base de información a partir del reemplazo de los valores originales de las variables involucradas en el modelo hedónico definitivo; en el ejemplo que se propone, los usos industriales se sustituyen con los valores que sugerirían éxito en la política: de ser este el caso, la zona no contendría usos industriales y los lotes que antes de la política ocupaban, ahora son aprovechados por usos comerciales. El Gráfico 3 ilustra una sección de la base de datos de benchmark con los usos industriales.

A modo de ilustración, el Gráfico 3 que muestra una parte de la base de benchmark con los valores originales de los usos industriales, en tanto que el Gráfico 4 muestra para la misma sección de la base contrafactual el resultado obtenido luego de haber efectuado el cambio de uso (exógeno) previsto por la política: el ejercicio contrafactual consiste entonces en evaluar la ecuación hedónica estimada, con los datos de la base de datos que simula el resultado contingente de la política.

Resultados de un Ejercicio Mínimo

La Tabla 7 resume los resultados del ejercicio propuesto; en particular compara las estimaciones, para la muestra concreta, del avalúo, dados los resultados econométricos de la ecuación hedónica (Columna ‘Base') , con aquellos obtenidos del ejercicio contrafactual, (Columna CTF) i.e., evaluar la ecuación hedónica estimada, con los datos correspondientes al mundo contingente que se recrea para tratar de imaginar el resultado de una política de intervención urbanística.

Son pertinentes estos resultados? Una forma de responder esto tiene que ver con los resultados de la estimación de la ecuación hedónica. En el ejercicio planteado, los usos industriales restan valor, en tanto que los comerciales, añaden, para la zona específica de actuación e intervención del proyecto; los resultados obtenidos (aumento del valor) son por tanto respuesta conocida a pregunta conocida: la magnitud del cambio es, precisamente el argumento que determina la viabilidad del proyecto, a la luz de otros patrones de intervención. Finalmente, es el evaluador quien determina si los resultados son aceptables a la luz de los resultados que se espera obtener de la intervención. Como siempre, el diseño del ejercicio contrafactual, pasa por la construcción del escenario contingente que es un ejercicio definitivamente no trivial.

4. Comentarios finales

La propuesta metodológica ofrecida tiene una alta probabilidad de producir resultados útiles al proceso de toma de decisiones para el que se ha requerido su diseño preliminar. Primero, acude a bases teóricas que han sido evaluadas empíricamente en múltiples y exitosos casos; segundo puede aprovechar la riqueza informacional que la Administración Distrital ha venido construyendo desde los años de 1990: específicamente es posible (y necesario) mejorar las descripciones locales con los datos geográficos que la administración dispone en abundancia.

Sin embargo, no deja de ser interesante considerar que el alcance del modelo no tiene que ver mucho con la pertinencia de las estimaciones ni con la estructura algebraica del modelo de microsimulaciones, que gracias a las posibilidades de la SDP puede ser dispuesta convenientemente en programas como GAMS y MatLab, para ejecutar en forma flexible los análisis requeridos. En realidad, el reto consiste en la construcción de escenarios contrafactuales que describan las diferentes formas que puede adoptar un proyecto urbano y construir con ellas un menú de alternativas que el tomador de decisiones enfrentará a la luz de los criterios exigidos.


Notas

3 “Por el cual se modifican excepcionalmente las normas urbanísticas del Plan de ordenamiento territorial de Bogotá, D.C., adoptado mediante Decreto Distrital 619 de 2000, revisado por el Decreto Distrital 469 de 2003 y compilado por el Decreto Distrital de 2004”. Recuperado en 09/11/2013 de: http://bogotahumana.gov.co/decreto/decreto364_2013.pdf
5 En forma más concreta, “From the second welfare theorem, we know that under suitable convexity hypotheses, any Pareto optimal allocation, can be achieved as a competitive allocation after an appropiate lump-sum redistribution of wealth” Mas-Colell, Whinston & Green (1995:350)
6 Para una discusión más formal Ver: Mas-Colell, Whinston & Green (1995), Cap. 11: “Externalities and Public Goods”, pp. 350-373.
7 Compound good, o compund commodity, en la literatura general sobre el tema.
8 Ver Varian (1993): Análisis Microeconómico. Barcelona: Antoni Bosch. Capítulo 1: La Tecnología.
9 La columna “estrato” en la muestra aportada tiene ceros en el caso de los usos predominantes de no vivienda. Un test simple de diferencia de muestras entre los dos grupos (con varianzas distintas) que se pueden conformar por aquellas observaciones con estrato “0” y estrato “>0”, muestra que el avalúo promedio para esta zona es mayor en el primer caso que en el segundo.
10 La columna “estrato” en la muestra aportada tiene ceros en el caso de los usos predominantes de no vivienda. Un test simple de diferencia de muestras entre los dos grupos (con varianzas distintas) que se pueden conformar por aquellas observaciones con estrato “0” y estrato “>0”, muestra que el avalúo promedio para esta zona es mayor en el primer caso que en el segundo.


Referencias

Bernal, R., & Peña, X. (2011). Guía Práctica para la Evaluación de Impacto. Bogotá: Uniandes.         [ Links ]

Fujita, M., Krugman, P., & Venables, A. J. (1999). The Spatial Economy. Cities, Regions and International Trade. Cambridge (MA): MIT Press.         [ Links ]

Fundenberg, D., & Tirole, J. (1992). Game Theory. Cambridge: MIT Press.         [ Links ]

Gertler, P. J., Martinez, S., Premand, P., Rawlings, L., & Vermeersch, C. M. (2011). La Evaluación de Impacto en la Práctica. Washington: World Bank.         [ Links ]

Heckman, J., Matzkin, R., & Nesheim, L. (2005). Simulation and Estimation of Hedonic Models. En T. J. Kehoe, T. N. Srinivasan, & J. Whalley, Frontiers in Applied General Equilibrium Modeling (págs. 277-339 Cap 12). Cambridge (MA): Cambridge University Press.         [ Links ]

Khander, S. R., Koolwal, G. B., & Samad, H. A. (2010). Handbook on Impact Evaluation. Washington: World Bank.         [ Links ]

Kiel, K. A., & Zabel, J. E. (2007). Location, location, location: The 3L Approach to house price determination. Journal of Housing Economics, 17, 175-190.         [ Links ]

Lee, M. -J. (2005). Micro-Econometrics for Policy, Program and Treatment Effects. Oxford: Oxford University Press.         [ Links ]

Mas-Colell, A., Winston, M. D., & Green, J. G. (1995). Microeconomic Theory. Oxford: Oxford University Press.         [ Links ]

Mendieta, J. C., & Perdomo, J. A. (2007). Especificación y estimación de un modelo de precios hedónico espacial para evaluar el impacto de transmilenio sobre el Valor de la Propiedad en Bogotá. Bogotá: Documentos CEDE Nº 22, Universidad de los Andes.         [ Links ]

Panduro, T. E., & Lausted, V. K. (2013). Classification and Valuation of Urban Green Spaces - A Hedonic Hose Price Valuation. Landscape and Urban Planning, 120, 119-128.         [ Links ]

Perdomo, J. A. (2010). Una propuesta metodológoica para estimar los cambios sobre el valor de la propiedad. Estudio de Caso para Bogotá aplicando Propensity Score Matching y precios Hedónicos Espaciales. Lecturas de Economía, 73(2), 49-65.         [ Links ]

Rosen, S. (1974). Hedonic Prices and Implicit Markets:. Journal of Political, 82(1), 34-55.         [ Links ]

Tiebout, C. M. (1956). A pure Theory of Local Public Expenditures. Journal of Political Economy, 64(1), 416-426.         [ Links ]

Varian, H. R. (1993). Análisis Microeconómico. Barcelona: Antoni Bosch.         [ Links ]