Servicios Personalizados
Revista
Articulo
Indicadores
-
Citado por SciELO -
Accesos
Links relacionados
-
Citado por Google -
Similares en
SciELO -
Similares en Google
Compartir
Ingeniería y Ciencia
versión impresa ISSN 1794-9165
ing.cienc. v.8 n.15 Medellín ene./jun. 2012
ARTÍCULO ORIGINAL
Caracterización, identificación y localización de huecos de tensión: revisión del estado del arte
Characterization, identification and location of voltage sags: review of state of art
Caracterização, identificação e localização de afundamentos de tensão: revisão do estado da arte
Jairo Blanco Solano1, Johann F. Petit Suárez2, Gabriel Ordoñez Plata3y Víctor Barrera Núñez4
1 Estudiante de Maestría en Ingeniería Eléctrica, jairo.blanco@correo.uis.edu.co, Universidad Industrial de Santander (UIS)-Bucaramanga-Colombia.
2 Doctor en Ingeniería Eléctrica, jfpetit@uis.edu.co, Profesor, Universidad Industrial de Santander (UIS), Bucaramanga-Colombia.
3 Doctor en Ingeniería Eléctrica, gaby@uis.edu.co, Profesor, Universidad Industrial de Santander (UIS), Bucaramanga-Colombia.
4 Doctor en Monitorización de la Calidad de la Energía Eléctrica, victor.barrera@udg.edu., Universitat de Girona, Girona-España.
Recepción: 06-sep-2011. Modificación: 21-mar-2012. Aceptación: 17-abr-2012
Se aceptan comentarios y/o discusiones al artículo
Resumen
En este artículo se presenta una revisión del estado del arte de la caracterización, identificación y localización de los huecos de tensión. Los métodos presentados son el producto de diferentes análisis aplicados a la perturbación electromagnética, específicamente a las formas de onda de tensión y corriente, donde basándose en la teoría de circuitos eléctricos, transitorios electromagnéticos y el conocimiento del fenómeno se proponen atributos y descriptores que permiten caracterizar las perturbaciones de acuerdo a cierta característica de interés. Se hace una revisión tanto de caracterizaciones básicas como de metodologías que integran clasificadores y descriptores más complejos. Se hace énfasis en los métodos de caracterización, junto con sus atributos y descriptores, incluyendo sus limitantes y posibles mejoras. De acuerdo al nivel de desarrollo encontrado en estos estudios, resulta la necesidad de nuevas metodologías que integren módulos de caracterización, de diagnóstico de causas, de localización, de valoración y módulos de extracción de información y/o conocimiento, con la intención de orientarlo a una herramienta para la gestión automática de perturbaciones del sistema eléctrico.
Palabras claves: calidad de la energía, hueco de tensión, descriptores, causas de huecos de tensión, localización relativa, localización exacta.
Abstract
This paper presents a review of the state of art of characterization, identification and location of voltage sags. The methods presented are the product of different analyzes on electromagnetic disturbance, specifically on voltage and current waveforms. Electrical circuits theory, electromagnetic transients and knowledge of the phenomenon are used to propose attributes and descriptors to characterize the disturbances according to some interest characteristic. A review of basic characterizations and methodologies that integrate complex classifiers and descriptor is performed. Emphasis is performed on characterization methods, together with attributes and descriptors, where the limitations and possible improvements are included. According at development level in these studies, new methodologies are needed to integrate characterization, diagnosis of causes, localization, assessment and information extraction modules. The methodologies are oriented towards a tool for automatic management of power systems disturbances.
Key words: Power quality, voltage sag, descriptors, voltage sags causes, relative location, exact location.
Resumo
Apresenta-se neste artigo uma revisão do estado da arte na caracterização, identificação e localização dos afundamentos de tensão. Os métodos apresentados sao o resultado das diferentes analises aplicadas à perturbação eletromagnética, específicamente aos formatos de onda de tensao e corrente; nos quais baseando se na teoría de circuitos elétricos, transitórios eletromagnéticos e o conhecimento do fenómeno; propõe-se atributos e descritores que permitem caracterizar as perturbaçoes em relação a determinada característica de interesse. Faz-se uma revisão quer de caracterizaçoes simples quer de metodologías que integram clasificadores e descritores mais complexos.ênfase é nos métodos de caracterizaçao, junto a sus atributos e descritores, incluindo suas limitaçoes e possíveis melhoras. Em concordancia com o nível de desenvolvimento encontrado nesses estudos, obtem-se a necesidade de novas metodologías que integrem modulos de caracterizaçao, de diagnóstico das causas, de localizaçao, de valoraçao e módulos de extraçao de informaçao e ou conhecimento; na tentativa de orientarlo a uma ferramenta para a gestao automática de perturbaçoes do sistema elétrico.
Palavras chaves: Qualidade da Energia Elétrica, afundamentos de tensao, descritores, causas de afundamentos de tensao, localizaçao relativa, localizaçao exacta.
1 Introducción
La calidad de la energía eléctrica constituye en la actualidad un factor importante en muchos de los sectores industriales y comerciales, debido a que una calidad deficiente trae consigo pérdidas económicas considerables [1, 2] y [3]. Es tal la importancia de la calidad de la energía eléctrica que se han incrementado las propuestas de metodologías que permitan estimar las pérdidas económicas originadas por el continuo aumento de perturbaciones que afectan el sistema eléctrico [4, 5] y [6].
Entre las perturbaciones, las de mayor ocurrencia son las interrupciones, las componentes armónicas de tensión y corriente, las fluctuaciones de tensión, las elevaciones de tensión y los huecos de tensión [7].
Debido al impacto de los huecos de tensión en las cargas industriales, los costos producidos por daños, gastos de mantenimiento y por su elevada frecuencia de aparición, se ha prestado especial atención en el estudio de esta perturbación [1] con el fin de determinar las causas y efectos de los huecos de tensión en los sistemas eléctricos y de esta forma proponer soluciones a estos problemas. Es tal la importancia que en países como España se han formulado procedimientos de operación (P.O. 12.3), estableciendo los requisitos de respuesta frente a huecos de tensión en las instalaciones eólicas. Esto es debido a la masiva incorporación de la generación eólica en los sistemas de potencia y a la necesidad de controlar el impacto negativo en la continuidad del servicio debido a los huecos de tensión.
En este orden de ideas, en este artículo se presenta una revisión de los avances en la caracterización y diagnóstico de los huecos de tensión. Los aportes y conclusiones de estas investigaciones son el punto de partida para el establecimiento de nuevas metodologías que integran métodos de caracterización ya formulados o mejoras de los mismos. El propósito es identificar los métodos con desempeños eficientes en la caracterización, especialmente los propuestos en publicaciones recientes donde se presentan algunos métodos mejorados, haciéndose evidente la necesidad de una revisión del estado del arte que permita obtener una perspectiva del nivel de desarrollo de la investigación en estos temas.
El estado del arte de la caracterización de huecos de tensión es presentado en cinco secciones. En la sección 2 se exponen los primeros trabajos que abordaron el problema de los huecos de tensión, resaltando algunas de las caracterizaciones y clasificaciones básicas. En la sección 3 se identifican las causas más comunes de huecos de tensión y, a su vez, en la sección 4 se presentan algunas metodologías de clasificación de los mismos de acuerdo al tipo de causa que los generó. En la sección 5 se realiza la revisión de las metodologías de localización relativa y exacta de la fuente generadora de la perturbación y finalmente, en la sección 6 se presentan las principales conclusiones.
2 Caracterización y clasificación de huecos de tensión
Según el estándar [8], los huecos de tensión son definidos como variaciones de corta duración con reducciones en el valor de la tensión eficaz entre el 90 % y el 10 %, y con una duración de 0,5 ciclos a 1 minuto.
La forma de onda, la duración y la caída de tensión son los atributos principalmente utilizados en la caracterización básica de huecos de tensión. Aplicando estos atributos a un conjunto de huecos de tensión, se obtienen resultados que analizados estadísticamente arrojan información importante para la valoración de la calidad de la energía eléctrica [6].
Un ejemplo se presenta en la figura 1, donde el hueco de tensión tiene una duración aproximada de 20 ciclos, una magnitud del hueco de 0,52 p.u, una forma de onda rectangular y es originado por una falla de red monofásica, siendo los huecos de tensión que tienen este tipo de falla como origen, los que tienen una mayor ocurrencia en los sistemas eléctricos [9]. Esta información es indispensable para la aplicación de los diferentes análisis y la determinación de las características principales como duración, magnitud, salto de fase, etc.,[10] y [11].
Entre las metodologías existentes de mayor impacto en la caracterización de los huecos de tensión se encuentran: En [12, 13] se presenta una metodología que permite caracterizar los huecos de tensión según diferentes tipos, de acuerdo a su magnitud y grado de desbalance. Usando los descriptores Remaining Complex Voltage (RCV) y Positive-Negative Factor (PNF) se realiza una caracterización como la mostrada en la figura 2, en donde los huecos de tensión tipo C son debidos a fallas bifásicas y los huecos tipo D son debidos a fallas monofásicas.
Esta clasificación ha sido adoptada e implementada en algunos algoritmos clasificadores de huecos de tensión [14, 15] y [16]. El tipo de hueco está determinado por el tipo de falla y la conexión de los devanados de los transformadores localizados entre el punto de falla y el punto de monitorización [17, 18]. Este último aspecto es importante en los análisis de propagación de los huecos de tensión en el sistema eléctrico, de los cuales se obtienen conclusiones importantes, entre ellas que la magnitud y el ángulo de fase de un hueco de tensión son modificados al pasar por un transformador dependiendo del tipo de conexión que éste tenga.
En [14] se presenta un análisis comparativo entre dos algoritmos utilizados en la clasificación de huecos de tensión tipo C o D. El primero de ellos es denominado Symmetrical Component Algorithm (S-C), el cual utiliza las componentes de secuencia positiva y negativa de la tensión para determinar el tipo de hueco. El otro algoritmo es Six-Phase Algorithm (S-P), el cual solo hace uso de la tensión de secuencia cero y las tensiones de línea para realizar la clasificación. Los resultados de esta investigación muestran que ambos algoritmos realizan clasificaciones con algunas limitaciones. Six-Phase Algorithm estima incorrectamente el tipo de hueco cuando es significativo el salto de fase en la señal de tensión, situación presente en fallas en cables de distribución.
Otra metodología similar se presenta en [15], donde adicionalmente de la clasificación de la figura 2, también son tenidos en cuenta los huecos de tensión de naturaleza balanceada tipo A. Se utiliza el método de la transformación en espacio vectorial y de acuerdo a las componentes de la transformación, se estima el tipo de hueco junto con características como magnitud y salto del ángulo de fase.
En [16] se realiza un análisis comparativo entre un nuevo algoritmo denominado Three-Phases Three-Angles Algorithm (TP-TA), y los algoritmos Symmetrical Component Algorithm (S-C) y Six-Phase Algorithm (S-P), utilizados en la identificación de huecos de tensión desbalanceados tipo C y D [14]. Este nuevo algoritmo supera las limitantes debidas a grandes saltos en el ángulo de fase o caídas de tensión reducidas en algunas fases que provocan errores en los algoritmos S-C y S-P respectivamente.
De igual forma surge la necesidad de diferenciar las perturbaciones electromagnéticas entre sí, tales como huecos de tensión, sobretensiones, flicker, transitorios tipo impulso, etc. Una solución al problema consiste en el diseño de clasificadores basados en máquinas de soporte vectorial SVM y el uso de la transformada Wavelet [19, 20, 21] y [22], con los cuales se han obtenido resultados satisfactorios a la hora de clasificar. Adicionalmente permiten diferenciar entre huecos de tensión originados por fallas de red bifásica y trifásica, según sean entre fases a-b-c, a-b, b-c o c-a.
3 Metodologías de caracterización según la causa de la perturbación electromagnética
Un aspecto importante para establecer la calidad de la energía eléctrica es la identificación y/o clasificación de las perturbaciones electromagnéticas registradas por los equipos de monitorización de acuerdo a la causa de las mismas [9, 23] y [24]. Una clasificación generalizada de los huecos de tensión es realizada de acuerdo a la forma de la secuencia de valores eficaces de tensión. De acuerdo a esto, la clasificación consiste en huecos de tensión rectangulares y huecos de tensión no rectangulares [21]. Los huecos de tensión originados por fallas de red son considerados rectangulares mientras que los originados por saturación de transformador y el arranque de motores de inducción son considerados no rectangulares.
Adicionalmente se consideran las interrupciones, los transitorios de baja frecuencia producidos por la energización de bancos de condensadores, conexión y desconexión de cargas y la compensación de tensión como perturbaciones de cambio de nivel de tensión. Las perturbaciones en esta última clasificación, aunque no sean consideradas como huecos de tensión, son de interés por su alta frecuencia de ocurrencia, especialmente los transitorios originados por condensadores. A continuación se hace una revisión teniendo en cuenta la clasificación anterior.
3.1 Huecos de tensión rectangulares
Dentro de esta clasificación se encuentra los huecos de tensión originados por fallas de red. Sin embargo, existe una subclasificación tal como se describe a continuación.
3.1.1 Hueco de tensión originado por falla de red monoestado: Las fallas de red provocan grandes flujos de corriente y por consiguiente importantes caídas de tensión que son experimentadas por los usuarios conectados a lo largo de los circuitos de transporte de energía eléctrica. De acuerdo a la característica de simetría de la falla, el hueco de tensión puede ser clasificado como balanceado o desbalanceado. Por ejemplo, una falla trifásica provoca un hueco de tensión simétrico o balanceado y una falla desbalanceada provoca un hueco de tensión asimétrico o desbalanceado.
La principal característica asociada a los huecos de tensión originados por fallas de red es el comportamiento rectangular de la tensión eficaz [21, 25] y [26]. Un ejemplo de un hueco de tensión monoestado es presentado en la figura 1 y en el cual la característica de monoestado hace referencia a que el estado de falla es único durante la perturbación.
En la figura 3a1se presenta un hueco de tensión monofásico originado por una falla de red y obtenido por simulación de la red eléctrica descrita en [27]. El registro de la perturbación es tomado en el punto de conexión con la carga y la falla es generada en el secundario del transformador que conecta el nivel de transmisión con el de distribución, destacándose su comportamiento rectangular. En este caso, el despeje de la falla se da por la operación de los elementos de protección (relés, fusibles, reconectadores, etc.), de tal forma que la duración del hueco de tensión está determinada por el tiempo de actuación del dispositivo de protección [3].
Los resultados mostrados en la figura 3a consideran el sistema con neutro conectado sólidamente a tierra. En el caso de tener un sistema sin puesta a tierra, el registro de la perturbación cambia como se muestra en la figura 3b. Un aspecto importante para resaltar de esta última figura es que mientras en la fase a se experimenta la caída de tensión, en las fases restantes se produce una sobretensión. Este fenómeno se puede presentar debido a que el sistema no se encuentra puesto a tierra o a que la impedancia de puesta a tierra es muy elevada [21]. Este es un aspecto a tener en cuenta en futuras investigaciones, ya que en los modelos idealizados de huecos de tensión no se tiene en cuenta esta característica.
3.1.2 Huecos de tensión multiestado: Son originados por fallas en la red, donde el hueco de tensión presenta diferentes magnitudes o estados de falla antes de la recuperación de la tensión a su valor nominal [21, 23] y [24]. Este comportamiento obedece típicamente a los cambios de la configuración del sistema una vez los sistemas de protección operan o también a los cambios en la naturaleza de la falla. En la figura 4 se muestra la tensión eficaz de un hueco de tensión multiestado simulado en la red descrita en [27].
De acuerdo a la figura 4, se identifican claramente tres estados de falla. El primer estado está comprendido por una falla bifásica entre fases a-c y con una duración que va desde el ciclo 6 hasta el ciclo 13 y una magnitud alrededor del 0,6 p.u; el segundo estado por una falla monofásica en la fase a comprendida entre los ciclos 13 y 25 y por último termina siendo una falla trifásica con una duración aproximada de 5 ciclos y magnitud alrededor del 0,04 p.u. Este tipo de huecos son comunes en los sistemas eléctricos, por lo cual requieren atención especial para su diagnóstico y caracterización [21].
Por otra parte, un hueco de tensión multiestado también puede ser originado por cambios en la configuración del sistema, siendo una de las causas más comunes la reconfiguración por efecto de la operación de protecciones del sistema eléctrico. Un ejemplo de este tipo de hueco es mostrado en la figura 5, el cual es obtenido al simular la red descrita en [27], modificando la configuración del sistema de transmisión.
En la figura 5 se aprecia que el hueco de tensión presenta un único estado de falla, de tipo bifásico que se mantiene durante toda la perturbación, aunque la magnitud sea variable. Inicialmente el hueco de tensión tiene una magnitud de 0,32 p.u y alrededor del ciclo 12 sufre una variación en su magnitud debido a la operación de las protecciones en el sistema mallado. De acuerdo a esto, es notoria la diferencia respecto al hueco de tensión presentado en la figura 4, donde los cambios en la magnitud son originados por la variación en la naturaleza de la falla. Tal como se observa, cada tipo de hueco multiestado tiene asociado unas características propias que describen su comportamiento y los factores y/o elementos de sistema involucrados en su origen. Esta clase de información resulta de interés a la hora de diagnosticar el tipo de perturbaciones que afectan la calidad de la energía eléctrica.
3.2 Huecos de tensión no rectangulares
Dentro de esta clasificación se encuentra los huecos de tensión originados por el arranque de motores de inducción y la energización de transformadores, tal como se describe a continuación.
3.2.1 Huecos de tensión originados por el arranque de motores de inducción: Durante el arranque de un motor de inducción, éste demanda grandes corrientes cuyas magnitudes oscilan alrededor de 5 veces la corriente nominal y con un factor de potencia muy bajo [23, 28]. A diferencia de las fallas de red, la duración del hueco de tensión está determinada por la inercia de la máquina ya que una vez alcance el estado estable, la corriente habrá disminuido significativamente respecto a su estado inicial de arranque, provocando que el hueco de tensión desaparezca. En la figura 6 se muestran los resultados de simulación de un hueco de tensión originado por el arranque de un motor de inducción en un sistema de 13,8 kV, el cual es descrito en [29].
Esta clase de huecos de tensión se caracterizan por la recuperación de tipo exponencial que sigue la tensión. Este comportamiento hace que sea clasificado como un hueco de tensión no rectangular [21, 25] y [26]. Generalmente, los huecos de tensión producidos por motores son menos severos que los producidos por cortocircuitos en la red eléctrica. Un atributo ampliamente utilizado para caracterizar este tipo de perturbación es el cociente entre las potencias activas pos-evento y pre-evento. Teniendo en cuenta que ante la puesta en marcha de un motor de inducción se incrementa el flujo de potencia activa por el sistema eléctrico, se espera que el cociente de sus potencias activas sea superior a la unidad. Adicionalmente, el motor de inducción presenta importantes efectos sobre los huecos de tensión, de tal forma que puede modificar la característica rectangular del hueco debido a la generación de un hueco posfalla, producto de la reaceleración de la máquina una vez se da el despeje de la falla generadora del hueco de tensión original [29, 30, 31] y [32].
3.2.2 Huecos de tensión originados por la energización de transformadores: Durante la energización de un transformador se presentan transitorios en el flujo magnético del transformador [25, 26] y [33], originándose elevadas corrientes de magnetización en el transformador. En la figura 7 se muestra un hueco de tensión originado por la energización de un transformador. Esta perturbación es simulada en la red descrita en [27] y se obtiene tras energizar el transformador que alimenta directamente la carga.
Una característica importante de los huecos de tensión originados por la energización de transformadores es el desbalance que se presenta entre las tensiones de fase y el contenido significativo de armónicos de corriente inyectados por el transformador [25, 26]. Esto resulta importante para distinguir entre huecos de tensión originados por la energización de transformadores y huecos de tensión por el arranque de motores de inducción ya que estos últimos, aunque presentan una recuperación tipo exponencial, no inyectan armónicos a la red. Se han formulado modelos y algoritmos para cuantificar las corrientes transitorias originadas por la saturación del núcleo del transformador durante su energización. Los resultados de estas investigaciones han permitido estimar y valorar las perturbaciones originadas por la energización de transformadores a partir del modelamiento eléctrico de los mismos [34, 35] y [36].
3.3 Transitorios de baja frecuencia originados por la energización de bancos de condensadores
La conexión de bancos de condensadores en los sistemas eléctricos provoca transitorios en el instante de la energización, impactando negativamente tanto al sistema eléctrico como a los mismos usuarios del servicio de energía eléctrica [37]. Existen trabajos importantes que se han realizado en busca de caracterizar esta clase de perturbaciones, que aunque no se consideran huecos de tensión, son de interés por ser muy recurrentes en los sistemas eléctricos [38]. Durante la energización de un banco de condensadores aparecen frecuencias alrededor de 300 a 1000 Hz como resultado del intercambio de energía reactiva entre el banco de condensadores y la red. De igual forma, en el instante de energización se experimenta una sobretensión como respuesta al cambio instantáneo de la tensión en los condensadores [37, 38, 39] y [40]. En la figura 8 se presenta la forma de onda de tensión que se obtiene al simular la energización de un banco de condensadores en el sistema de 13,8 kV, descrito en [40]. Se distingue una deformación en la onda de tensión pero su duración es corta, alrededor de 3 ciclos.
La localización relativa y exacta de los transitorios originados por la energización de bancos de condensadores han sido los principales intereses de gran parte de los estudios relacionados con esta temática. En [39, 41] y [42] se define una polaridad inicial en la tensión y corriente, haciendo referencia a los signos del gradiente de tensión dv/dt y corriente di/dt en el punto de inicio de la perturbación. Estos son descriptores utilizados para estimar la localización relativa del banco de condensadores que da origen a la perturbación, es decir, si el banco de condensadores se encuentra aguas arriba o aguas abajo del punto de monitorización. En la localización exacta de estos transitorios se utiliza principalmente el análisis lineal de circuitos eléctricos, la evaluación en los cambios instantáneos antes y después de la perturbación [43], el procesamiento de señales con herramientas como la transformada Wavelet, análisis de componentes principales, análisis en el dominio del tiempo y de la frecuencia [44, 45] y [46].
4 Metodologías de identificación y clasificación basadas en las causas de los huecos de tensión
Estas metodologías están orientadas a caracterizar los huecos de tensión de acuerdo a la causa que los origina. En las secciones previas se describieron algunas de las causas más comunes de huecos de tensión, enfatizando en las formas de onda obtenidas como un criterio importante de comparación entre las diferentes causas.
En [47] se presenta una metodología, compuesta por módulos de detección, clasificación y caracterización de varios tipos de perturbaciones, incluyendo los huecos de tensión. Esta metodología contiene un módulo de detección, uno de clasificación y otro de caracterización, tal como se muestra en la figura 9. El módulo de detección hace uso de las transformadas Fourier y Wavelet para la extracción de las características de la perturbación y utiliza sistemas expertos de lógica Fuzzy para la identificación del tipo de perturbación. Una vez realizado esto, se aplica el módulo de caracterización para extraer los parámetros de descripción de la perturbación de acuerdo al tipo, figura 9b. Entre las características extraídas se encuentra los valores máximos, mínimos y eficaces, tiempos de inicio y final, ángulos de inserción de la falla, salto de fase y distorsión armónica.
Paralelamente, en [48] se presenta un sistema experto para la clasificación automática de perturbaciones eléctricas registradas en los equipos de monitorización, de acuerdo al tipo de causa. La estructura del sistema de clasificación es mostrada en la figura 10. Un módulo de la base de conocimientos (KBM) contiene los atributos que caracterizan las perturbaciones eléctricas. El sistema experto contiene KBMs para la clasificación de huecos de tensión por fallas inducidas, saturación de transformador, arranque de motor de inducción y también sobretensiones transitorias. El sistema utiliza filtros Kalman para el proceso de segmentación de las formas de onda registradas. Este proceso de segmentación tiene como propósito determinar el inicio y culminación de los estados estacionarios y transitorios dentro de la perturbación. Una desventaja del sistema experto es que con huecos poco profundos o con tiempos cortos de duración, la clasificación no es realizada adecuadamente.
Por otro lado se encuentra una metodología en la cual se utilizan las redes neuronales Radial Basis Function (RBF) y el salto del ángulo de fase para realizar la clasificación de los huecos de tensión de acuerdo a su causa [9]. La estructura del sistema de identificación se muestra en la figura 11. En este método se distinguen tres etapas: extracción de atributos utilizando el salto de fase, entrenamiento de las redes neuronales e identificación de huecos de tensión utilizando las redes entrenadas. El conjunto de causas de huecos de tensión considerado es: fallas de red bifásicas, arranque de motores de inducción, fallas multiestado, auto-extinción de fallas por operación de dispositivos de protección y energización de transformadores. En comparación con la metodología del valor RMS [49], esta metodología presenta ventajas en el proceso de extracción de características como magnitud, duración y forma de onda, además de considerar un conjunto más amplio de causas.
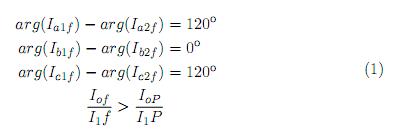
En [50] se presenta una caracterización de todos los tipos de fallas de red (monofásica, bifásica y trifásica) a partir de los ángulos de fase de las componentes de secuencia de corriente y la relación entre ellas durante los estados de pre-falla y pos-falla de la perturbación. La expresión mostrada en (1) permite identificar una falla monofásica a tierra (a-g).

En [51] se utiliza la transformada Wavelet para la clasificación de los huecos de tensión por medio de los diferentes parámetros que pueden ser extraídos de las señales al ser aplicada dicha transformada.
Las características de los huecos de tensión causados por el arranque de motores de inducción junto con la energización de transformadores y cómo difieren respecto a los huecos originados por fallas de red, son tratadas en [52].
En general se encuentran una variedad de metodologías que utilizan diferentes estrategias de caracterización de perturbaciones. Algunas poseen clasificadores más robustos que otras, requiriendo mayores esfuerzos computacionales. Dentro de la revisión de estas metodologías se encontró la ausencia de un pre-tratamiento de los atributos y descriptores formulados. Un análisis previo permitiría identificar aquellos descriptores con mayor relevancia en las tareas de detección, caracterización e identificación de perturbaciones eléctricas y de esta forma optimizar las metodologías propuestas. El análisis estadístico multivariable es una técnica que permite llevar a cabo este propósito, así como también las técnicas de minería de datos y de extracción de conocimiento.
5 Metodologías para la localización de huecos de tensión
La localización de la fuente generadora de la perturbación es otro aspecto de interés para el mejoramiento de la calidad de la energía y se divide en localización relativa y exacta. En la localización relativa se identifica la posición relativa de la fuente generadora de la falla respecto al punto de monitorización, es decir, se localiza la falla aguas arriba o aguas abajo del punto donde se encuentra instalado el equipo de monitorización. La localización exacta complementa esta tarea, determinando el punto de origen de la perturbación.
De acuerdo a esto, en algunos trabajos [25, 26] y [53] se hace énfasis en el problema de la localización relativa del hueco de tensión respecto al punto de registro. En tales estudios, aunque el objetivo principal no es diagnosticar la causa del hueco de tensión, se ha tenido en cuenta eventos como las fallas de red, el arranque de motores de inducción, la energización de transformadores y bancos de condensadores [39]. Para una falla de red, se utiliza el cociente entre la corriente prefalla y la corriente durante el hueco de tensión como el criterio para determinar la localización relativa de la falla (aguas arriba o abajo del punto de monitorización). Para el arranque de un motor de inducción se toman las potencias activas pre-evento y pos-evento y finalmente para la energización del transformador se estima el contenido del segundo armónico de corriente pos-evento como característica discriminante de los otros tipos de perturbaciones.
Un atributo que resulta importante a la hora de estimar la localización relativa del hueco de tensión es la resistencia vista por el equipo de medida durante la falla. De esta forma, el objetivo es estimar la impedancia vista y determinar el signo de la parte real de la impedancia [54]. La expresión utilizada para el cálculo de la impedancia equivalente vista desde el punto de monitorización se muestra en (2).

Las tensiones y corrientes utilizadas en (2) corresponden a la secuencia positiva de la componente fundamental. Para determinar la localización relativa, el método plantea la evaluación de las reglas mostradas en (3). No obstante, estas reglas no siempre funcionan correctamente cuando los huecos de tensión son de corta duración [54].

Otro aspecto importante es la localización exacta de la fuente generadora de la perturbación. El interés de localizar los puntos de la red que están bajo condiciones de cortocircuito se debe a la pertinencia con la cual se debe realizar el despeje de dichas fallas. Este tipo de localización requiere la incorporación de un modelo del sistema eléctrico, el cual es utilizado por las metodologías de localización para estimar la ubicación del punto de falla. Esta es la diferencia principal respecto a la localización relativa, en la cual solo se requiere contar con registros de tensión y/o corriente.
La técnica Learning Algorithm for Multivariable Data Analysis (LAMDA), es utilizada para la localización de fallas en sistemas eléctricos de distribución [55]. La estructura de la metodología se muestra en la figura 12. En el bloque 4 se extraen descriptores como magnitud del hueco, incrementos de corriente, pendientes de caída de la tensión y sus respectivos valores estadísticos como máximos, medias y desviaciones estándar. En el bloque 6 el sistema de clasificación ha sido entrenado y validado, mientras en el bloque 7 se usa un modelo lineal adecuado para el sistema de distribución usando señales de tensión y corriente fundamentales. Además, esta herramienta utiliza el análisis de componentes principales (PCA), obteniendo como resultado aquellos descriptores relevantes que discriminen entre los diferentes tipos de falla.
La aplicación de estas técnicas estadísticas arroja buenos resultados, disminuyendo la múltiple estimación del punto de falla que es un problema común en este tipo de algoritmos de localización.
La información recopilada por los equipos de monitorización es utilizada para determinar la localización de fallas, a través de métodos como Expert System, Fuzzy Logic y Artificial Neural Network [56, 57, 58] y [59]. En [56] se utilizan patrones característicos de los huecos de tensión utilizando como descriptores la magnitud y el salto de fase del mismo. Se utiliza un algoritmo de reconocimiento de patrones para seleccionar todas las posibles secciones falladas y a través de un proceso de razonamiento, identificar la sección con mayor probabilidad de falla. En [57] se presenta un sistema experto que utiliza un conjunto de reglas heurísticas formuladas a partir de conocimiento del sistema y utilizando una base de datos con los parámetros del sistema de distribución. En [58, 59] se utilizan los datos provenientes del sistema SCADA como estrategia para la reducción de la incertidumbre en la localización de las fallas. Estas técnicas realizan diferentes caracterizaciones de las perturbaciones y las aplican con el fin de extraer la mayor información de una perturbación que permita localizar de forma exacta el sitio de ocurrencia de la falla.
6 Conclusiones
En este artículo se ha presentado una revisión del estado del arte de los huecos de tensión, considerados como perturbaciones electromagnéticas que generan importantes pérdidas económicas.
Se han dado importantes avances en los métodos de caracterización y clasificación tanto de los huecos de tensión como de transitorios originados por la energización de bancos de condensadores. Se ha identificado que los métodos básicos de caracterización de huecos de tensión utilizan fundamentalmente atributos relacionados con la forma de onda, duración y cambio de magnitud de la tensión, punto de la onda y el salto del ángulo de fase en las señales de tensión y corriente. Dentro de la variedad de métodos planteados, se destaca el algoritmo TP-TA el cual utiliza la magnitud y ángulo de las tensiones trifásicas para determinar el tipo de hueco de tensión, superando algunas limitantes respecto a otros algoritmos similares.
En trabajos de caracterización donde la causa generadora de la perturbación es el criterio de clasificación, se han identificado atributos importantes relacionados con la forma de onda de las señales de corriente y tensión registradas durante la perturbación. Sin embargo, no se ha encontrado una formulación sólida de descriptores que permitan valorar cuantitativamente las características de la forma de onda, de modo que sea posible utilizarlos para la identificación y clasificación automática de perturbaciones eléctricas. De acuerdo a lo anterior, resulta de interés la formulación e implementación algorítmica de este tipo de descriptores, basados en la teoría existente de caracterización de las causas de las perturbaciones eléctricas.
La transformada Wavelet es identificada como una herramienta eficiente en la estimación de los tiempos de inicio y final de las perturbaciones eléctricas, aplicada principalmente en la clasificación de los diferentes eventos de calidad de la energía eléctrica y en la caracterización de transitorios causados por energización de bancos de condensadores. Tras estos resultados, se concluye que la transformada Wavelet también se podría aplicar en otros campos como la localización relativa de perturbaciones y en la identificación de las frecuencias transitorias o armónicas generadas durante una perturbación, con el propósito de evaluar el impacto negativo sobre diferentes elementos de la red eléctrica.
Por otra parte, es notoria la necesidad de formular nuevos atributos y descriptores que contemplen variables no consideradas en los modelos idealizados de los huecos de tensión. Algunas de estas variables se presentan en los huecos de tensión multiestados, huecos de tensión con sobretensiones en fases no falladas debido a sistemas sin puesta a tierra, energización de transformadores con carga y sin carga, efectos de dispositivos de protección, entre otros. Estos descriptores permitirían la formulación de nuevos módulos de clasificación y extracción de características de perturbaciones electromagnéticas, con ventajas en el análisis de señales de tensión y corriente con comportamientos más cercanos a la realidad.
En cuanto a la clasificación de eventos de acuerdo a su causología, se resalta la eficiencia en la implementación de algoritmos basados en la lógica Fuzzy, sistemas expertos y las redes neuronales. Sin embargo, se recomienda el planteamiento de nuevos métodos de clasificación y extracción de conocimiento de las perturbaciones electromagnéticas basados en descriptores, técnicas de optimización de umbrales y algoritmos de decisión, los cuales presentan menores esfuerzos computacionales y facilidades en sus requerimientos de ajuste y sintonización cuando se pretenden aplicar en una variedad de sistemas eléctricos.
De forma general, existe una tendencia hacia la búsqueda de herramientas y metodologías para la extracción de características que permitan el conocimiento y la valoración de las perturbaciones electromagnéticas. El diseño de estas nuevas metodologías está orientado a la incorporación de módulos de caracterización y localización en una única herramienta. Adicionalmente es conveniente implementar módulos de extracción de conocimiento, en los cuales, aparte de la caracterización de la perturbación, se logre gestionar la red analizando variaciones de potencia, variaciones de factor de potencia, variaciones de tensión, estimación de frecuencias armónicas inyectadas en condiciones de falla, curvas iso-sag, priorización de circuitos, entre otros.
Agradecimientos
Los autores agradecen a la Universidad Industrial de Santander por su apoyo a este trabajo mediante el proyecto VIE-DIEF-5567: Metodologías para la caracterización y diagnóstico de huecos de tensión en sistemas de distribución de energía eléctrica.
Referencias
1. D. Chapman. The Cost of Poor Power Quality , Power Quality Aplication Guide, 1-4 (2001). Referenciado en 193 [ Links ]
2. JY. Chan, JV. Milanovic. Methodology for Assessment of Financial Losses due to Voltage Sags and Short Interruptions. 9th International Conference on Electrical Power Quality and Utilization, 1-6 (Barcelona-2007). Referenciado en 193 [ Links ]
3. A. Baggini. Handbook of Power Quality, Jhon Wiley and Sons, Ltda, Capítulos 4 y 18, ISBN 0470065613. 2008. Referenciado en 193, 198 [ Links ]
4. JV. Milanovic, CP. Gupta. Probabilistic Assessment of Financial Losses Due to Interruptions and Voltage SagsPart I: The Methodology, IEEE Transactions on Power Delivery, ISSN 0885-8977, 918-924 (2006). Referenciado en 193 [ Links ]
5. J. Wang, S. Chen, T. Lie. Estimating Economic Impact of Voltage Sags . International Conference on Power System Technology, POWERCON, ISBN 0-7803-8610-8, 350-355 (New York-2004). Referenciado en 193 [ Links ]
6. KJ. Cornicky, HQ. Li. Power Quality and Voltage Dips, 5th International Conference on Advances in Power System Control, Operation and Management, APSCOM, ISBN 0-85296-791-8, 149-156 (Hong Kong-2000). Referenciado en 193, 194 [ Links ]
7. MHJ. Bollen. Understanding Power Quality Problems:Voltage Sag and Interruptions Wiley-IEEE Press, 1 edition, ISBN 978-0780347137, 2000. Referenciado en 193 [ Links ]
8. IEEE 1159-1995. Recommended Practice of Monitoring Electric Power Quality , 1995. Referenciado en 194 [ Links ]
9. G. Lv, X. Wang. Voltage Sags Detection and Identification Based On PhaseShift And RBF Neural Network , 4th International Conference on Fuzzy Systems and Knowledge Discovery, ISBN 978-0-7695-2874-8, 684-688 (2007). Referenciado en 194, 197, 208 [ Links ]
10. S. Djokic, J. Milanovic, S. Rowland. Advanced Voltage Sag Characterization II: Point of Wave, Generation, Transmission & Distribution, IET,ISBN 1751-8687, 146-154 (2007). Referenciado en 194 [ Links ]
11. SZ. Djokic, J. Milanovic. Advanced Voltage Sag Characterization. Part I: Phase Shift , Generation, Transmission and Distribution, IEEE Proceedings, ISBN 1350-2360, 423-430 (2006). Referenciado en 194 [ Links ]
12. MHJ. Bollen, L. Zhang. Characteristic of Voltage Dips (Sags) in Power, System IEEE Transactions on Power Delivery, ISSN 0885-8977, 827-832 (2000). Referenciado en 195 [ Links ]
13. MHJ. Bollen, L. Zhang. A Method for Characterisation of Three-Phase Unbalanced Dips from Recorded Voltage Waveshapes, IEEE Telecommunications Energy Conference, ISBN 0-7803-5624-1, 1-9 (1999). Referenciado en 195 [ Links ]
14. MHJ. Bollen. Algorithms for Characterizing Measured Three-Phase Unbalanced Voltage Dips, IEEE Transactions on Power Delivery, ISSN 0885-8977, 937-944 (2003). Referenciado en 195, 196, 197 [ Links ]
15. V. Ignatova, P. Granjon, S. Bacha, F. Dumas. Classification and Characterization of Three Phase Voltage Dips by Space Vector Methodology , Future Power Systems, 2005 International Conference on, ISBN 90-78205-02-4, 1-6 (2005). Referenciado en 195, 196 [ Links ]
16. V. Ignatova, P. Granjon, S. Bacha, F. Dumas. A Contribution of Characterizing Measured Three-Phase Unbalanced Voltage Sags Algorithm, IEEE Transactions on Power Delivery, ISSN 0885-8977, 1885-1890 (2007). Referenciado en 195, 196 [ Links ]
17. MHJ. Bollen. Characterization of Voltage Sags Experienced by Three-Phase Adjustable Speed Drives, IEEE Transactions on Power Delivery, ISSN 08858977, 1666-1671 (1997). Referenciado en 195 [ Links ]
18. MT. Aung, J. Milanovic. The Influence of Transformer Winding Connections on the Propagation of Voltage Sags , IEEE Transactions on Power Delivery,
19. PGV. Axelberg, I. Yu-Hua Gu, MHJ. Bollen. Support Vector Machine for Classification of Voltage Disturbance . IEEE Transactions on Power Delivery, ISSN 0885-8977, 1297-1303 (2007). Referenciado en 197 [ Links ]
20. P. Janik, T. Lobos. Automated Classification of Power-Quality Disturbances Using SVM and RBF Networks , IEEE Transactions on Power Delivery, ISSN 0885-8977, 1663-1669 (2006). Referenciado en 197 [ Links ]
21. MHJ. Bollen, I. Yu-Hua Gu, P. Axelberg, E. Styvaktakis. Classification of Underlying Causes of Power Quality Disturbances: Deterministic versus Statistical Methods , EURASIP Journal on Advances in Signal Processing, ISSN 1687-6180, 1-17 (2007). Referenciado en 197, 198, 200, 201, 202 [ Links ]
22. V. Vega García. Detección y Clasificación Automática de Perturbaciones que afectan la Calidad de la Energía Eléctrica, Tesis de Maestría de Ingeniería Eléctrica, Dir. C. Duarte y G. Ordoñez,Universidad Industrial de Santander, (2007). Referenciado en 197 [ Links ]
23. MHJ. Bollen, E. Styvaktakis, I. Yu-Hua Gu. Analysis of Voltage Dips for Event Identification, Power Quality: Monitoring and Solutions (Ref. No. 2000/136), IEE Seminar on, 1-4 (2000). Referenciado en 197, 200, 202 [ Links ]
24. MHJ. Bollen, E. Styvaktakis, I. Yu-Hua Gu. Classification of Power Systems Events: Voltage Dips , Harmonics and Quality of Power. Proceedings. Ninth International Conference on, ISBN 0-7803-6499-6, 745-750 (2000). Referenciado en 197, 200 [ Links ]
25. S-J. Ahn, D-J. Won, D-Y. Chung, S. Moon. Determination of the Relative Location of Voltage Sag Source According to Event Cause , Power Engineering Society General Meeting. IEEE, ISBN 0-7803-8465-2, 620-625 (2004). Referenciado en 198, 202, 203, 204, 210 [ Links ]
26. K. Kim, J. Park, J. Lee, S. Ahn, S. Moon. A Method to Determine the Relative Location of Voltage Sag Source for PQ Diagnosis , IEEE Proceedings of the Eighth International Conference on Electrical Machines and Systems, ISBN 7-5062-7407-8, 2192-2197 (2005). Referenciado en 198, 202, 203, 204, 210 [ Links ]
27. K. Yao, D. Koval, W. Su, J. Salmon Modelling Consumer Voltage Sags by Distribution Primary Faults . Electrical and Computer Engineering, IEEE Canadian Conference on, ISSN 0840-7789, 1277-1282 (1999). Referenciado en 198, 200, 201, 203 [ Links ]
28. MF. McGranaghan, DR. Mueller, MJ. Samotyj. Voltage Sags in Industrial Systems , Industry Applications, IEEE Transactions on, ISSN 0093-9994, 397-403 (1993). Referenciado en 202 [ Links ]
29. G. Yalginkaya, MHJ. Bollen, PA. Crossley. Characterization of Voltage Sags in Industrial Distribution Systems, Industry Applications, IEEE Transactions on, ISSN 0093-9994, 682-688 (1998). Referenciado en 202 [ Links ]
30. MHJ. Bollen, M. Hager, C. Roxenius. Effect of Induction Motors and Other Loads on Voltage Dips: Theory and Measurements, Power Tech Conference Proceedings, ISBN 0-7803-7967-5, 1-6 (2003). Referenciado en 202 [ Links ]
31. L. Guasch, F. Córcoles. Effects of Voltage Sags on Induction Machines and Three-Phase Transformers , PHD thesis. Universidad de Catalunya, ISBN 978-3-8465-6795-1,(2006). Referenciado en 202 [ Links ]
32. MHJ. Bollen. The Influence of Motor Re-acceleration on Voltage Sags, Industry Applications, IEEE Transactions on, ISSN 0093-9994, 667-674 (1995). Referenciado en 202 [ Links ]
33. P. Ling, A. Basak. Investigation of Magnetizing Inrush Current in Single-phase Transformer , Magnetics, IEEE Transactions on, ISSN 0018-9464, 3217-3222 (1998). Referenciado en 203 [ Links ]
34. K. Smith, L. Ran, B. Leyman. Analysis of Transformer Inrush Transients in offshore Electrical Systems, Generation, Transmission and Distribution, IEEE Proceedings, ISSN 1350-2360, 89-95 (1999). Referenciado en 204 [ Links ]
35. CE. Lin, CL. Cheng, CL. Huang, JC. Yeh. Investigation of Magnetizing Simulation Inrush Current in Transformers. Part I: Numerical , Power Delivery, IEEE Transactions on, ISSN 0885-8977, 246-254 (1993). Referenciado en 204 [ Links ]
36. JE. Holcomb. Distribution Transformer Magnetizing Inrush Current,

























