I. INTRODUCCIÓN
Los sistemas hidráulicos hacen parte de los medios de transmisión de energía existentes, donde la transferencia energética se efectúa mediante el movimiento de un fluido que ha sido confinado [1]. Sus campos de acción se focalizan en procesos donde se requiere el movimiento de cargas elevadas.
La adición de dispositivos electrónicos ha influido en la evolución del funcionamiento de los sistemas hidráulicos; componentes que han permitido obtener respuestas rápidas con la incorporación de sistemas de control en aplicaciones realimentadas. El empleo de válvulas proporcionales evita las imprecisiones arrojadas por los sistemas de control con lazo abierto, a partir de la comprobación del valor constante de la salida del sistema, permitiendo con ello la corrección inmediata de la alteración que se presente [2]. Para la obtención del valor de la salida se emplea un sensor que va relacionado con la variable a controlar.
El presente documento aborda el control de fuerza en actuadores hidráulicos, con base en las características de las válvulas proporcionales, empleando una válvula proporcional de alivio, que permite ejercer cambios directamente en la presión del fluido. El sistema de control implementado se diferencia del planteamiento de otros autores que utilizan una válvula de cuatro vías y tres posiciones, con la cual efectúan alteraciones en el caudal que va hacia el actuador y lograr con ello el aumento o disminución de la fuerza deseada [3].
Para la retroalimentación del sistema de control se emplea una celda de carga tipo S. Se hace una comparación entre la señal de la celda de carga y la del punto de referencia para determinar su desfase. Dependiendo del resultado obtenido, el sistema de control corrige el error enviando la información correcta al elemento final de control (válvula proporcional de alivio), alcanzando finalmente el valor de la presión, que aplicada sobre la superficie del pistón, produce la fuerza adecuada respecto a la señal de la celda de carga.
II. IDENTIFICACIÓN DEL SISTEMA Y SUS ELEMENTOS
A. Caracterización de la válvula de alivio proporcional.
Para caracterizar la válvula de alivio proporcional, se ajusta la válvula de seguridad del circuito a cuatro valores de máxima presión.
Se realiza una prueba inicial mediante la conexión hidráulica mostrada en la Fig. 1, con la diferencia de la ubicación de la válvula reguladora de caudal (3) después de la válvula de alivio proporcional (6). La instalación de la válvula reguladora de caudal compensada por presión y temperatura garantiza un caudal constante de 1, 2 y 3 l/min.
La tensión suministrada a la tarjeta de amplificación de la válvula, se incrementa 0,2 V de manera gradual, iniciando desde 0 V hasta 10 V (ver Fig. 2).
Dentro del comportamiento obtenido, la curva característica presenta desplazamientos a la derecha, a medida que se aumenta la presión regulada del sistema en la válvula de seguridad, y los máximos valores de presión ocurren cuando el valor del diferencial de potencial es cero (Fig. 2).
Debido a estas inconsistencias se plantea un nuevo esquema que permite alcanzar el comportamiento de la válvula de alivio proporcional (KCG3) de manera experimental [4].
Para cada valor elegido en la válvula de seguridad se realiza el mismo procedimiento, que consiste en limitar el paso de caudal a 1 𝑦 3 l/min, empleando la válvula reguladora de caudal compensada por presión y temperatura, instalada antes de la válvula de alivio proporcional, manteniendo así la presión constante entre la válvula de seguridad y la reguladora de caudal (Fig. 1).
Independientemente de la presión en la válvula de seguridad y manteniendo un mismo flujo en la válvula reguladora de caudal compensada por presión y temperatura, el comportamiento de la válvula proporcional de alivio es el mismo. Lo anterior se puede evidenciar en la Fig. 3, donde se presenta la evolución de la presión a medida que aumenta el voltaje para dos valores de caudal.
El mejor resultado se da cuando el sistema es regulado a 1 l/min, ya que con este caudal se alcanza un mayor rango de presión, iniciando por debajo de los689,476 kPa (100 psi); particularidad que posibilita el empleo de actuadores hidráulicos con un menor diámetro de pistón.
La regulación de la presión del circuito, ocurre después de que empieza a pasar fluido por la válvula reguladora de caudal. Se inicia regulando la tensión a 0 V donde se registra una presión mínima en el sistema inferior a 551,581 kPa (80 psi). Se va aumentando el voltaje gradualmente y se observa que la presión permanece constante hasta alcanzar 1 V; al seguir incrementando la tensión se puede apreciar un aumento constante en la presión hasta que se alcanza el valor de máxima presión asignado a la válvula de seguridad (Fig. 4).
En el desarrollo de la caracterización de la válvula proporcional de alivio se detectan dos zonas que deben ser evitadas ya que presentan inestabilidades donde la presión es constante, tanto al inicio como al final de la curva característica. En la primera región 0<V<1 (zona muerta de la válvula). La segunda región es la zona final, allí el caudal cae rápidamente a cero debido a la apertura de la válvula de seguridad del circuito, esto ocurre porque se ha llegado a la máxima presión a la que se calibra dicha válvula (Fig. 5).
B. Implementación del circuito hidráulico y adquisición de datos del sistema.
Inicialmente se regula la máxima presión que el sistema puede alcanzar para un actuador hidráulico de 25,4 mm de diámetro de pistón, mediante la válvula de seguridad calibrada a 6,89476 MPa (1000 psi). Con la incorporación de la válvula reguladora de caudal se establece 1 l⁄min, parámetro elegido en la caracterización de la válvula de alivio proporcional. El rango de presión mostrado en la Fig. 6, es la región de trabajo seleccionada para la válvula de alivio, con la finalidad de evitar las zonas donde la presión es constante.
Posteriormente se energiza el solenoide del lado izquierdo de la válvula de cuatro vías y tres posiciones (Fig. 7); dicha operación comprime mínimamente el resorte. El valor de consigna respecto a la fuerza deseada es comandado desde la computadora. Con la ayuda de la interfaz de la tarjeta de adquisición de datos, se transforma la señal digital en una señal análoga que se suministra a la tarjeta de amplificación de la válvula en estudio, para transmutar estos valores en cambios de la presión del sistema.
El aumento de fuerza que registra la celda de carga, depende del producto entre el incremento de la presión y la superficie del pistón. Ahora las señales son digitalizadas con el empleo nuevamente de la tarjeta de adquisición de datos. La señal de fuerza registrada por la celda de carga es comparada con el valor de fuerza solicitado, a continuación se aplica la estrategia de control que se ha seleccionado que se describe en la sección III y IV.

Fig. 7 Circuito esquemático control de fuerza.1. Actuador hidráulico, 2. Válvula 4 vías 3 posiciones con centro en tándem, 3. Válvula reguladora de caudal compensada por presión y temperatura, 4. Bomba, 5. Válvula de seguridad, 6. Válvula de alivio proporcional, 7. Transductor de presión, 8. Celda de carga.
III. DESARROLLO DEL SISTEMA DE CONTROL DE FUERZA
A. Ecuación del cilindro.
La dinámica del actuador está constituida por el equilibrio de fuerzas [5-6], aplicado en la segunda ley de Newton ecuación (1).
Donde 𝑥 es el desplazamiento, 𝑥 velocidad, 𝑥 aceleración del actuador, P1 y P2 son las presiones en las recámaras del cilindro, 𝐴 𝑝 es el área del pistón, mientras que A2 es el área resultante de restarle al área del pistón la del vástago, c representa el coeficiente de amortiguamiento viscoso, m es la masa del conjunto vástago, pistón, acople, celda de carga.
F fr es la fuerza de fricción, que se desprecia, debido a que es muy pequeña comparada con la fuerza hidráulica. F representa la fuerza de la carga, se modela como la compresión del resorte multiplicado por el coeficiente de rigidez. Dado que la presión P 2 es la presión del tanque y se encuentra a presión atmosférica, también se puede despreciar.
Reescribiendo la ecuación (1)
Transformando la ecuación (2) en términos de la ecuación (3).
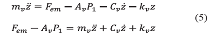
B. Ecuación de la válvula de alivio proporcional.
Para el modelo de la válvula, las ecuaciones son muy similares a las del actuador.
Donde 𝑧 es el desplazamiento, 𝑧 velocidad, 𝑧 𝑎𝑐𝑒𝑙𝑒𝑟𝑎𝑐𝑖ó𝑛 del carrete de la válvula, 𝐴 𝑣 es el área de asiento normal a la presión, 𝐶 𝑣 representa el coeficiente de amortiguamiento viscoso para la válvula, 𝑚 𝑣 es la masa de los cuerpos móviles en el interior, 𝑘 𝑣 es el coeficiente de rigidez del resorte, 𝐹 𝑒𝑚 es la fuerza electromagnética generada en el solenoide.
El caudal que va hacia el cilindro 𝑄 1 es la diferencia entre el caudal de entrada 𝑄 𝑡 y el que retorna al tanque por la válvula de alivio proporcional 𝑄 2 como se muestra en la Fig. 7.
Para obtener la ecuación que describe el caudal 𝑄 1 es necesario tener presente la ecuación de continuidad de flujo, la cual involucra el cambio de volumen con respecto al tiempo y a la presión; característica que presentan los fluidos al ser presurizados, dicha alteración se representa con el módulo de compresibilidad 𝛽 (módulo de Bulk). 𝑄 𝑎 simboliza el caudal al avance, donde se efectúa el control, mediante la válvula proporcional [7].
A la ecuación se le efectúan los cambios respectivos de la expresión 𝑑∀ 𝑑𝑡 a 𝐴 𝑝 𝑥 y se suma el caudal de fugas, que depende de la presión y el coeficiente de fugas ( 𝐶 𝑓 =𝑃 1 𝐾 𝐿 ) ecuación (8).
Reemplazando la ecuación (3) en la ecuación (8).
La ecuación (10) representa el caudal que va al tanque a través de la válvula proporcional de alivio, en términos de la ganancia de flujo 𝐺 𝑓 , el desplazamiento del carrete 𝑧, el coeficiente de presión de flujo 𝐶 𝑝 y la presión del sistema 𝑃 1 . [8-9].
La fuerza electromagnética 𝐹 𝑒𝑚 , depende de la ganancia de fuerza de flujo de corriente 𝐺 𝑓𝑖 y la corriente que circula por el solenoide (ver ecuación 11).
El voltaje en la válvula de alivio proporcional, está representado por la inductancia 𝐿, la corriente y la resistencia (ver ecuación 12).
Las ecuaciones anteriormente descritas, se representan en forma de diagrama de bloques (Fig. 9).
Después de desarrollar las ecuaciones que describen los componentes del sistema de control, se observa la complejidad de obtener los valores de las constantes, en especial los de la válvula de alivio proporcional, debido a los movimientos tan cortos en el actuador, en ocasiones imperceptibles.
Las ecuaciones descritas, al estar compuestas por un buen número de variables, conllevan a que el sistema genere errores en la obtención de la fuerza, ya que la presión es el resultado de la interacción de los valores ya mencionados. Debido a los argumentos anteriormente expuestos y a la fortaleza de contar con el comportamiento de la presión, respecto al valor de consigna (voltaje), en la caracterización de la válvula de alivio proporcional, se procede a efectuar la identificación de la planta que representa el sistema.
La planta está compuesta por la válvula proporcional de alivio, cilindro hidráulico, celda de carga, resorte y amplificador. Para probar el funcionamiento de la planta, se le aplica al sistema una señal de voltaje con un tiempo de duración establecido en segundos. La señal enviada se comanda desde un programa computacional, que se emplea como una arquitectura fácilmente adaptable, permite evaluar diversos sistemas con mínimas modificaciones, sin la necesidad de adicionar circuitos electrónicos complejos. Los datos adquiridos se almacenan y posteriormente son exportados a otro programa, para proceder con la identificación del sistema. La estructura generada es un modelo general de segundo orden.
La estimación del modelo se efectúa mediante la función de modelos de transferencia en tiempo continuo, con el empleo del método de enfoque variable instrumental (iv) que posee la característica de relacionar las perturbaciones tanto internas como externas con el estado observable.
C. Modelos de control.
Para la verificación del comportamiento de la planta se emplean variables de estado, PID, diagrama de bode, para la parte continua, y en la parte discreta variables de estado.
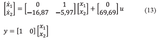
1) Planta del sistema
La planta identificada del sistema, se le adicionan las ganancias que se derivan de la representación entre las variables empleadas y es descrita en la ecuación (13), en forma de ecuaciones de estado.
En la Fig. 10 se observa la respuesta de la planta en lazo abierto ante una entrada escalón, con las siguientes características: tiempo de establecimiento 1,43 s, un sobreimpulso de 3,6%, el coeficiente de amortiguamiento 𝜉=0,7267 (sistema subamortiguado) y una frecuencia natural 𝜔 𝑛 =4,1073 𝑟𝑎𝑑/𝑠. Además de tener dos polos dominantes conjugados complejos 𝑠 1 =−2,9850+2,8213𝑗 y 𝑠 2 =−2,9850−2,8213𝑗, ubicados en el semiplano izquierdo, indicando con ello que la planta es controlable [10].
2) Modelo discreto
El tiempo de muestreo 𝑇=0,01 s, permite obtener entre 130 y 140 muestras en el transitorio, con una equivalencia en tiempo de 1,3 s a 1,4 s, dando como resultado un comportamiento adecuado con relación al sistema análogo. (ver Fig. 11).
A partir de la planta en tiempo continuo, se discretiza la señal mediante el retenedor de orden cero, con un tiempo de muestreo 𝑇=0,01 s. La función en tiempo discreto se presenta en la ecuación (14).
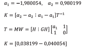
Se desea una respuesta del sistema con un sobrepaso alrededor del 1 % y un tiempo de establecimiento de 4 s.
polos de diseño respecto a las condiciones deseadas.
Se parte de las condiciones de diseño para hallar la matriz de retroalimentación del sistema K.
Ecuación característica deseada.
Empleando la matriz K, la ecuación de estado se convierte en:
Al realimentar el sistema es posible que se modifique la ecuación característica, se hace necesario obtener una ganancia 𝐾 𝑜 de tal forma que la respuesta al escalón unitario en estado permanente sea 1 [11].
Se emplea la unidad en la salida de estado permanente y(∞) , en la entrada escalón unitario, para determinar la constante 𝐾 𝑜 .
3) Compensador de adelanto usando BODE
Se parte de la planta para emplear el compensador en adelanto. El compensador debe proporcionar las siguientes características [12].
Un error del 1% en régimen permanente frente a una entrada rampa unitaria.
Un sobreimpulso del 1%.
Error del sistema para entrada rampa.
Determinación de la ganancia K para obtener un error del 1%.
Margen de fase de diseño de acuerdo al sobreimpulso deseado PM=70,901°.
Con el K obtenido se procede a encontrar la frecuencia de cruce de ganancia 24,2 rad/s y el margen de fase 14,4º del sistema no compensado que se muestra en la Fig. 14.
Dado que existirá un desplazamiento en la frecuencia de cruce debido al aporte del compensador, se debe sumar un ángulo de entre 5 y 12 grados adicionales al del compensador.
Se calcula el valor α a partir de φ_m=63,463°
Atenuación del compensador de adelanto.
Para la obtención de la nueva frecuencia de cruce de ganancia, se parte de la función de transferencia de la planta no compensada.
Al incorporar el controlador y efectuar la evaluación en lazo cerrado, se observa un tiempo de establecimiento muy corto (0,193 s) y un sobreimpulso de 8,73% por encima del parámetro de diseño(Fig. 15).
4) Control PI
Con la planta identificada, se evalúa el control proporcional e integral, se plantea emplear el método del lugar geométrico de las raíces, la segunda sintonización de Ziegler y Nichols, ya que la planta posee polos dominantes complejos conjugados. Después de observar las variantes para el cálculo de los valores del controlador, se utiliza finalmente la herramienta PID Tuner Matlab; debido a la posibilidad de verificar las diversas respuestas que se pueden obtener, gracias a la manipulación del tiempo de respuesta y el comportamiento transitorio.
La convolución entre la planta presentada en la ecuación (13) y el controlador 𝐺 𝑐 𝑠 , en conjunto con el lazo cerrado, genera la respuesta de la Fig. 16 ante una entrada escalón, siendo el tiempo de establecimiento de 3,74 s, con un sobreimpulso entre 0 % y el 1 % del valor final, presentando un comportamiento adecuado para el funcionamiento del control de fuerza hidráulico.
IV. IMPLEMENTACIÓN DE LA PLANTA REAL
Después de observar las variantes, de acuerdo a la estrategia de control y en especial el controlador a implementar, se decide emplear un controlador proporcional e integral (PI), combinado con el lazo cerrado para mejorar el desempeño del sistema de control. El lazo que cierra el sistema de control es la medición de la fuerza ejercida por el pistón, registrándose mediante la deformación de la celda de carga.
Al elegir el controlador PI se tiene la posibilidad de acceder a la banda proporcional e integral; se logra observar los diversos comportamientos del sistema durante su operación. Los parámetros que se obtienen a partir del modelo planteado se emplean en el panel de control realizado, el cual se presenta en la Fig. 17; así como el esquema general de la captura de datos y el envío de la señal que controla el sistema.
En la implementación del controlador discreto, se parte de la ecuación (15), finalizando con la ecuación en diferencias (16) por medio del método de aproximación rectangular.
Se implementan los valores del PI obtenidos, se discretizan y se incorporan al controlador realizado en la herramienta computacional labVIEW. La respuesta del control de fuerza a una entrada de 1,0765 kN (109,772 kgf) da como resultado una salida de 1,0839 kN (110,528 kgf), con un error de estado estacionario menor al 1% (Fig. 17) y un tiempo de establecimiento entre 4 y 5 segundos (Fig. 18).

Fig. 19 Componentes físicos implementación control de fuerza.1. Válvula reguladora de caudal compensada por presión y temperatura, 2. Válvula de alivio proporcional (KCG3), 3. Válvula cuatro vías y tres posiciones con centro en tándem, 4. Manómetro, 5. Celda de carga, 6. Actuador hidráulico, 7. Transductor de presión, 8. Tarjeta amplificadora EEA-PAM-513-A-32, 9. Fuente DC, 10. Amplificador celda de carga, 11. Tarjeta amplificadora, 12. Tarjeta NI-USB6008, 13. PC.
V. CONCLUSIONES
La incorporación de la válvula reguladora de caudal compensada por presión y temperatura calibrada a 1 l min dentro del circuito hidráulico de prueba, influye positivamente en dos aspectos: existe una buena regulación de presión cuando ésta se conecta en serie con la válvula de alivio proporcional KCG3; dicha regulación sucede justo en el momento cuando empieza a circular caudal a través de ella. Para caudales mayores, aunque el comportamiento de la presión es adecuado ante diferentes variaciones de tensión, se alcanzan rangos de presión más amplios y una disminución de la zona muerta con la calibración de la válvula al caudal previamente mencionado.
El control de la presión en el tiempo frente a diversas variaciones de carga se puede visualizar gracias a la intercomunicación realizada entre los instrumentos de medida y los elementos para el procesamiento de información (encargados de recoger las señales involucradas en el entorno entre el controlador y la planta física) en conjunto con la estrategia de control utilizada.
Los resultados de las pruebas realizadas a la válvula KCG3 fueron de utilidad para observar la evolución de la presión de entrada respecto al valor de voltaje. En el comportamiento de la válvula se pueden evidenciar dos zonas en la curva característica a 1 l⁄min: al inicio donde el caudal permanece constante para un rango de voltaje entre 0<𝑉<1, región que define la zona muerta de la válvula y al final de la curva donde el caudal desciende bruscamente a cero, mostrando que la presión presente en el circuito se encuentra en la región de apertura de la válvula de seguridad; indicando que allí el sistema no es controlable. Por más que se modifique el valor de consigna suministrado al amplificador, la presión no cambia; por estas razones es que se deben evitar dichas zonas. En las demás partes de la curva se encontró el mismo comportamiento en la válvula de alivio proporcional, independientemente de la máxima presión de trabajo calibrada en la válvula de seguridad del circuito.
A diferencia de la válvula de cuatro vías y tres posiciones que también es empleada en sistemas de control de fuerza, la válvula de alivio proporcional actúa directamente en la regulación de la presión del sistema, característica que permite ejercer un control adecuado de acuerdo a un perfil de fuerza establecido; mientras que su contraparte efectúa cambios en el caudal, presentando oscilaciones en la fuerza a controlar y necesitando regular la presión del fluido en ambas recámaras del actuador.





























































