Servicios Personalizados
Revista
Articulo
Indicadores
-
Citado por SciELO -
Accesos
Links relacionados
-
Citado por Google -
Similares en
SciELO -
Similares en Google
Compartir
DYNA
versión impresa ISSN 0012-7353
Dyna rev.fac.nac.minas v.78 n.169 Medellín oct. 2011
ESTUDIO DE LA TRANSICIÓN DE FASE ESTRUCTURAL EN EL SISTEMA PB1−XLAXTIO3
STUDY OF THE STRUCTURAL PHASE TRANSITION IN PB1−XLAXTIO3 SYSTEMS
MIRYAM RINCÓN JOYA
PhD , Universidad Nacional de Colombia - Bogotá , mrinconj@unal.edu.co
JOSÉ JOSÉ BARBA ORTEGA
PhD , Universidad Nacional de Colombia - Bogotá jjbarbao@unal.edu.co.
Recibido para revisar Diciembre 12 de 2010, aceptado Mayo 17 de 2011, versión final Mayo 23 de 2011
RESUMEN: Las muestras de PB1−XLAXTIO3 (PLT), fueron preparados por el método convencional de mezcla de óxidos de alta pureza sinterizadas a una temperatura de 1200ºC, con composiciones x = 0.0, 2.5, 5, 10,15 y 20 %. Las muestras fueron analizadas mediante espectroscopia micro Raman para observar la transición de fase estructural de tetragonal para cúbica, mediante la aplicación de temperatura y altas presiones hidrostáticas. Se usó la simulación de Dinámica Molecular para describir la transición de fase estructural del PLT inducido por variación de temperatura. La difracción de rayos X (DRX) y la microscopia electrónica de barrido (MEB) se utilizaron para estudiar el proceso de síntesis de las muestras obtenidas.
PALABRAS CLAVE: Raman, temperatura, altas presiones hidrostáticas, transición de fase estructural
ABSTRACT: The samples of PB1−XLAXTIO3 (PLT) were prepared using the conventional mixed oxide of high purity sintered at a temperature of 1200°C, with compositions x = 0.0, 2.5, 5, 10.15 and 20%. The samples were analyzed using micro Raman spectroscopy to observe the structural phase transition from tetragonal to cubic, by applying high temperature and hydrostatic pressure. We used the molecular dynamics simulation to describe the structural phase transition of the PLT-induced temperature variation. X-ray diffraction (XRD) and scanning electron microscopy (SEM) were used to study the synthesis of the samples obtained.
KEYWORDS: Raman, temperature, high hydrostatic pressure, structural phase transition.
1. INTRODUCCIÓN
El Titanato de Plomo (PT) es uno de los materiales ferroeléctricos más investigados debido a sus propiedades dieléctricas, piroeléctricas, piezoeléctricas y electro ópticas [1-5], que son de gran interés científico y tecnológico. Debido a estas características, el PT tiene una tendencia a ser aplicado como piroeléctrico estable y material piezoeléctrico para aplicaciones en altas temperaturas o altas frecuencias [2], siendo muy utilizado como transductor de ultrasonido en aplicaciones médicas y sonares [1]. El Titanato de Plomo dopado con cationes de tierras raras, tal como el Lantano (La), PB1−XLAXTIO3(PLT), muestran ser eficientes en la obtención de cerámicas con buena densidad y buenas propiedades piezoeléctricas [3]. Se sabe que la substitución del Pb por átomos de La en el PbTIO3, esto, induce cambios significativos en las propiedades eléctricas de este material [4,5]. Para las composiciones x < 25, en el Titanato de Plomo dopado con La, este compuesto presentan un comportamiento de ferroeléctrico normal y para x > 25 en la estructura tetragonal presenta un comportamiento ferroeléctrico relaxor [3,6]. El PT presenta una transición de fase en ~12 GPa [7]. Sin embargo, a medida que aumenta la concentración de La, la presión de transición (Pc) cambia; igualmente sucede con la temperatura de transición (Tc) al aumentar La [4]. El modo de más baja frecuencia E(1TO) ( modo suave o “soft mode"), en los espectros Raman permite observar cambios en cuanto a concentración, temperatura y presión hidrostática aplicada al material. Este modo E(1TO), con frecuencia en + 89 cm-1 para el PT, a temperatura ambiente corresponde a una vibración de los iones de plomo contra los iones de Titanio y Oxígeno [3].
En este trabajo presentamos el comportamiento en la transición de fase estructural, en cuanto a: dopaje, temperatura (Tc), presión hidrostática (Pc) y simulación por Dinámica Molecular (DM, en temperatura), del PT dopado con Lantano, para x < 0.25.
2. PROCEDIMIENTO EXPERIMENTAL
La fuente de radiación para el estudio Raman fue un láser modelo INNOVA 70C con la línea de λ=514.5 nm y como sistema dispersivo fue utilizado un espectrómetro Jobin-Yvon T64000 y como sistema de detección una cámara CCD. El sistema fue operado en el modo micro-Raman. Para bajas temperaturas se utilizó un criostato especial para micro-Raman que se puede operar entre 8 y 320K. Para altas temperaturas un micro-horno con ventana de cuarzo que posibilita las medidas micro-Raman hasta los 1500ºC. Para las altas presiones hidrostáticas se uso una célula de Diamante que llegaba hasta los 50 GPa, como líquido trasmisor de presión una mezcla de etanol-metanol y como calibrador de presión la luminiscencia del rubí.
2.1. Resultados y discusión
En la figura 1 se observa el diagrama de difracción de rayos-x (DRX) para el compuesto PLT. Todas las medidas fueron hechas a temperatura ambiente en el difractómetro Rigaku, modelo DMax 2500PC, con radiación CUk α= 1.5418Å. En estas figuras se observa que las muestras están libres de la presencia de fases secundarias para todas las concentraciones usadas en el estudio. Estos DRX revelan la existencia de una estructura típica peroviskita para las diferentes concentraciones, (en el difractograma del PT puro aparecen referenciados los diferentes picos de la estructura tetragonal). Se observa en los DRX una evolución gradual estructural de la simetría tetragonal para la simetría cúbica (disminución de la tetragonalidad), debido a la adición de Lantano.
Figura 1. Difractogramas de rayos x de las muestras PLT (0,2.5,5,10,15 y 20% de Lantanio), a temperatura ambiente
En la tabla 1 se observa la determinación de los parámetros de red y el factor de tetragonalidad (razón c/a), obtenidos a través del programa de ajustes de posición de los picos de difracción de rayos x, que usa el método de mínimos cuadrados. Estos parámetros muestran que con un aumento de la concentración de Lantano, el parámetro a aumenta y c disminuye causando una evolución en el volumen de la celda unitaria. Estos resultados son similares a los encontrados en la literatura et. al. Jun[8].
Tabla 1. Parámetros de red del PLT a temperatura ambiente.

En la figura 2 se observa las microscopias electrónicas de barredura (MEB) de las muestras en estudio, en las cuales se observa su morfología y tamaño de grano, con el aumento de La. Se puede observar que el tamaño de grano es alterado con la concentración de Lantanio. Por ejemplo, en la muestra pura (PT) aparecen pequeñas aglomeraciones y la forma geométrica del grano no es bien definida; con el aumento de la concentración (La) su tamaño de grano aumenta y su forma es más definida, como fue observado por otros autores [9]. El valor del tamaño medio de grano de una forma semi cuantitativa, fue obtenido a través del valor medio de los diámetros, medidos directamente en las micrografías.
Figura 2. Microscopia Electrónica de Barredura (MEB) en muestras de PT puro (a), y dopadas con: 2.5 % (b), 5% (c), 10% (d), 15% (e) ,20% (f) de La.
Estos resultados fueron de 2.8, 1.6, 0.9, 0.8, 0.6, 0,2 mm, para las respectivas concentraciones de 20, 15, 10, 5, 2.5 y 0 % de Lantanio. Esto concuerda con Yoshikawa [10] el cual dice que el valor mínimo es de 13.8nm para la fase tetragonal. Pero también existirá un valor máximo a medida que aumenta la concentración como fue observado por Katiyar [11], dicha evolución puede ser comparable con los resultados observados en la figura 2.
En cuanto a su comportamiento con temperatura, el PbTIO3 es un material ferroeléctrico de estructura tetragonal por debajo de la temperatura de Curie, o temperatura crítica de transición de fase (Tc), y de estructura cúbica por encima de esta temperatura. En la fase cúbica, el PLT pertenece al grupo espacial O1h y sus modos normales de vibración en el centro de la zona de Brillouin tienen representaciones irreductibles 3F1u+F2u. El primer término es activo en infrarrojo, pero ninguno activo en Raman. En la fase tetragonal de grupo espacial C14v, los doce modos normales de vibración son descritos por la descomposición 3A1+1B1+4E de las representaciones irreductibles. Estos modos vibracionales de la fase ferroeléctrica tetragonal del PLT pueden ser observados en la figura 3, que a modo de ejemplo están los micro Raman para 2.5% de la concentración de La, similar fue hecho para las otras concentraciones.
Figura 3. Comportamiento de los modos Raman en diferentes temperaturas para el PLT al 2.5% de La.
La figura 3, muestra (2.5% La) la evolución con temperatura para las diferentes medidas que fueron realizadas en cada una de las concentraciones de Lantano. Estas medidas fueron realizadas en diferentes temperaturas desde 10k hasta alcanzar la transición de fase estructural (Tc). Con base en estos espectros fue posible determinar la evolución de la posición de los picos (corrimiento de la frecuencia) de cada uno de los 12 modos Raman activos.
En esta figura se observa que la modificación estructural ocasiona cambios en los modos vibracionales tanto por concentración de La, como por temperatura [4]. Al analizar la transición de fase estructural en las diferentes concentraciones se observó que con el aumento de T, los picos característicos de la estructura tetragonal se comienzan a dislocar para bajas frecuencias y tienden a desaparecer o quedar encubiertos por aquellos picos más intensos, hasta llegar a ser modos Raman inactivos indicando, la transición de tetragonal para cúbica.
En la figura 4 se muestra el comportamiento de los micro Raman para el 2.5% de La, pero esta vez en secuencia al estudio con temperatura, se observa el comportamiento estructural del compuesto PLT, sometido a altas presiones hidrostáticas. En las cuales se puede decir que estas compresiones conducen a: primero, un aumento en la densidad del material debido a la disminución de las distancias Interatómicas. En
Figura 4. Comportamiento de los modos Raman del PLT (2.5% de La) en función de la presión hidrostática aplicada.
segundo lugar, producen modificaciones en el empaquetamiento del compuesto, proporcionando la posibilidad de obtener nuevas fases estructurales. Trabajos encontrados en la literatura tienen previsto la transición de fase para el PT puro en aproximadamente 12 GPa[7,13]. En este estudio altas presiones hidrostáticas fueron aplicadas a las diferentes muestras a temperatura ambiente con el intuito de determinar la ocurrencia de presión crítica (Pc) en la transición de fase ferroeléctrica para paraeléctrica en las muestras de PLT[4]. El comportamiento del modo E(1TO) muestra una tendencia del corrimiento Raman gradual para bajas frecuencias debido al aumento en la presión hidrostática aplicada, análogo al de la temperatura. A diferencia de la temperatura en este caso, el ancho de los modos Raman es menor con el aumento de la presión aplicada. En el caso, de la temperatura (T) este ancho aumenta a medida que la T sube. Este efecto es visible si se compara el modo E(1TO) en la figura 3 y 4 a medida que se acercan a la transición de fase estructural ( Tc , Pc).
Para la simulación por Dinámica Molecular (DM) de las muestras estudiadas experimentalmente se usó el potencial propuesto por Vahista y Rahman [13].

Los detalles de la ecuación esta en et.al. Costa [14]. Los autores hicieron el estudio de simulación por DM para el PT puro. Los valores de las constantes de este potencial se ajustaron hasta obtener un potencial estable que reprodujera las propiedades típicas del material en estudio. Teniendo como base el estudio del PT con temperatura, se calibraron los parámetros del potencial hasta lograr reproducir un comportamiento similar de lo observado con la temperatura experimentalmente. Detalles de los parámetros se encuentran en et. al. Joya[3]. En este sistema de cuatro partículas (PLT), la neutralidad de la carga se garantizó adicionando iones de oxígeno, en cada cambio de Pb+2 por La+3, este es un problema que no se presentaba en el PT puro. Una vez obtenido el potencial las propiedades con temperatura fueron simuladas y comparadas con los datos obtenidos experimentalmente. La presión en la simulación fue mantenida en cero y los incrementos en la temperatura fueron de 50 en 50K hasta 1500k.
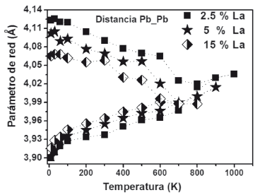
Figura 5. Parámetros de red obtenidos en simulación DM, por la distancia átomo -átomo (Pb-Pb) en función de la temperatura en el sistema PLT (2.5, 5, y 15% de La)
La figura 5 muestra los parámetros de rede a y c de la evolución de la distancia Pb-Pb entre los primeros vecinos, estos fueron obtenidos a través del ajuste de una Gaussiana. La simulación fue realizada para tres concentraciones de Lantano (2.5,5 y 15%) que ya habían sido estudiadas experimentalmente. Así, es posible observar la transición de fase de tetragonal para cúbica por estos parámetros donde a y c se unen. Estos resultados, en su comportamiento en general tienen buena concordancia con los resultados obtenidos experimentalmente con micro Raman y los resultados obtenidos por difracción de rayos x con temperatura por Chen [8]. Por lo tanto, en estos resultados obtenidos por simulación a pesar de las temperaturas de transición (Tc) haber ocurrido en temperaturas mayores que las obtenidas experimentalmente, si hacemos T/Tc el comportamiento de la transición de tetragonal para cúbica en el PLT es bien descrito.
3. CONCLUSIONES
El comportamiento de la frecuencia del modo suave “soft mode" en los espectros Raman del PLT, permitieron observar la transición de fase estructural con concentración a temperatura ambiente, con temperatura en las diferentes concentraciones, con altas presiones hidrostáticas aplicadas y así, poder comparar la transición de fase estructural en temperatura por la simulación de DM. Este trabajo muestra que la espectroscopia Raman es una técnica útil en la caracterización de materiales cerámicos.
AGRADECIMIENTOS
Agradecemos al equipo de DM de la UFSCAR Brasil por el apoyo en la Simulación en especial a Sandra y Dinilson quienes continúan trabajando en la parte de presiones en este material. Al profesor Pizani por el laboratorio Raman.
REFERENCIAS
[1] Haertling, G. H., Ferroelectric ceramics: history and technology.J. Am. Ceram. Soc., 82, pp. 797-818,1999. [ Links ]
[2] Tinte, S., Rabe, K.M. and Vanderbilt, D., Anomalous enhancement of tetragonality in PbTIO3 induced by negative pressure.Phys. Rev. B, 68, n.14, 2003. [ Links ]
[3] Joya, R.M., Efeitos Anarmônicos e transição de fase em PB1−XLAXTIO3: Estudo por Espalhamento Raman dos Efeitos de substituição catiônica, Temperatura e Pressão Hidrostática (Tese de doutorado). Universidade Federal de São Carlos, SP, Brasil, 2008.
[4] Joya, M. R. and Pizani, P. S., Pressure-temperature-La concentration three-dimensional phase diagram of La-modified PbTIO3 determined by Raman scattering. Appl. Phys. Lett. 97, 031903, 2010. [ Links ]
[5] Longo, E., et.al., Comportamento térmico do PbTIO3 modificado por terras raras. Cerâmica, São Paulo. 51, 319; 2005. [ Links ]
[6] Kutnjak, Z., Prtzelt, J. and Bling,R., The giant electromechanical response in ferroelectric relaxors as a critical phenomenon. Nature, 441,n.7096,956-959, 2006. [ Links ]
[7] Ahart M. et.al.Origin of morphotropic phase boundaries in ferroelectrics. Nature Lett, 551, 545, 2008. [ Links ]
[8] Junt, C., et al., Thermal expansion properties of Lanthanum-substituted lead Titanate Ceramics. J. Am. Ceram.Soc. 88, pp. 1356-1358, 2005. [ Links ]
[9] Deng, Y., et al., Structural and phonon characteristics of PbxLa1-xTIO3 nanocristals prepared by hydrotehermal technique. Materials Science and Engineering B. 84, pp. 248-251, 2001. [ Links ]
[10] Ishikawa, K., Yoshidawa, K. and Okada, N., Size effect on the ferroelectric phase-transition in PbTIO3 ultrafine particles. Phys. Rev. B. 37, pp. 5852-5855, 1988. [ Links ]
[11] Dobal, P.S., et al., Micro-Raman investigation of stressvariations in lead titanate films on sapphire.J.Appl. Phys. 68, pp. 828-834, 1999. [ Links ]
[12] Wu, Z.G. and Cohen, R.E., Pressure-induced anomalous phase transitions and colossal enhancement of piezoelectricity in PbTIO3. Phy. Rev. Lett, 95, 037601, 2005. [ Links ]
[13] Vashista, P. and Rahman, A., Ionic motion in alpha-agi. Phys. Rev. Lett. 40, pp. 1337-1340, 1978. [ Links ]
[14] Costa, S. C., et.al., Structural phase transition and dynamical properties of PbTIO3 simulated by molecular dynamics. Journal of physics-Condensed Matter, 17, pp. 5771-5783, 2005. [ Links ]












