Servicios Personalizados
Revista
Articulo
Indicadores
-
Citado por SciELO -
Accesos
Links relacionados
-
Citado por Google -
Similares en
SciELO -
Similares en Google
Compartir
DYNA
versión impresa ISSN 0012-7353
Dyna rev.fac.nac.minas vol.79 no.175 Medellín sep./oct. 2012
APLICACIÓN DE LA TRANSFORMADA DE HILBERT-HUANG EN LA DETECCIÓN DE MODOS DE VARIABILIDAD HIDROCLIMÁTICA EN COLOMBIA.
APPLICATION OF HILBERT-HUANG TRANSFORM TO DETECT HYDROCLIMATIC VARIABILITY MODES IN COLOMBIA
Alejandra Carmona
Magíster-Recursos Hidráulicos, Universidad Nacional de Colombia, Sede Medellín, amcarmo0@unal.edu.co
Germán Poveda
PhD, Profesor Titular, Universidad Nacional de Colombia, Sede Medellín, gpoveda@unal.edu.co.
Recibido para revisar Mayo 11 de 2011, aceptado Mayo 30 de 2012, versión final Junio 25 de 2012
RESUMEN: Se estudia la aplicación de la transformada de Hilbert-Huang en series de precipitación, caudal y temperatura de diferentes resoluciones temporales, para detectar los principales modos de variabilidad hidroclimática en Colombia. Se comparan los resultados con las metodologías tradicionales de análisis espectral: Transformada de Fourier y Transformada en Onditas. En las variables con resolución mensual (precipitación, caudal y temperatura) se detectan modos se oscilación asociados con períodos de 3, 6 y 12 meses, 2-3 años y 3.5-6 años. En los registros diarios, además de los períodos ya mencionados se encuentran frecuencias asociadas a períodos de 3.5-5 días y 69-78 días. En las series horarias se identifican frecuencias asociadas a períodos de 12 y 24 horas, seguidas de una frecuencia de 0.017 h-1 equivalente a 59 horas (2.5 días). Se evidencia la potencia y superioridad de la transformada de Hilbert-Huang, especialmente para señales con ciclos marcados y series con datos atípicos.
PALABRAS CLAVE: Análisis espectral, Descomposición en Modos Empíricos, Hidrometeorología, Transformada de Fourier, Transformada de Hilbert-Huang, Transformada en Onditas, Variabilidad Hidroclimática.
ABSTRACT: The application of the Hilbert-Huang Transform in series of rainfall, river discharge and temperature, for different temporal resolutions, is studied, in order to identify the principal modes of hydroclimatic variability in Colombia. Results are compared with the traditional methodologies for spectral analysis: the Fourier Transform and the Wavelet Transform. In variables with monthly resolution (precipitation, temperature and river discharge) oscillation modes are associated with periods of 3, 6 and 12 months, 2-3 years and 3.5-6 years, while in daily records, in addition to the aforementioned periods, frequencies are associated with periods of 3.5-5 days and 69-78 days. In hourly series, frequencies are associated with periods of 12 and 24 hours, followed by a frequency of 0.017 h-1 equivalent to 59 hours (2.5 days). The power and superiority of the Hilbert-Huang transform is demonstrated, especially in signals with strong cycles and datasets containing outliers.
KEYWORDS: Spectral analysis, Empirical Mode Decomposition, Hydrometeorology, Fourier Transform, Hilbert-Huang Transform, Wavelet Transform, hydroclimatic variability.
1. INTRODUCCIÓN
Colombia exhibe una alta variabilidad climática en diferentes escalas temporales y espaciales debido a su localización tropical entre el océano Pacífico y el mar Caribe, bajo la influencia de los vientos alisios y la migración de la Zona de Convergencia Intertropical (ZCIT). El clima colombiano también depende de la advección de la humedad proveniente de la cuenca amazónica, en donde Colombia tiene una gran extensión, incluyendo parte de la región más lluviosa de la cuenca [1]. Además, también cuenta con una gran barrera orográfica: la cordillera de los Andes, la cual influye en el clima local y regional dificultando la predicción de eventos en las distintas escalas de tiempo [1], [2].
Por lo tanto, teniendo en cuenta los fenómenos hidrometeorológicos que tienen influencia de forma simultánea sobre la climatología Colombiana, se hace necesario el análisis de las diferentes variables hidroclimáticas mediante herramientas de diagnóstico potentes que contribuyan de manera eficaz al entendimiento de los distintos modos de oscilación.
La Transformada de Hilbert-Huang (THH) [3], [4] es una herramienta matemática compuesta por un proceso de filtrado denominado Descomposición en Modos Empíricos (DME) y la posterior aplicación de la transformada de Hilbert. La THH se emplea en la estimación del espectro de señales no lineales y no estacionarias, permitiendo el análisis de series de variables sin un procesamiento previo, entregando resultados de fácil interpretación física y por lo tanto es útil para la investigación de la variabilidad hidroclimatológica, superando en muchos aspectos otras técnicas como la Transformada Rápida de Fourier y la Transformada en Onditas (Wavelets), [3], [4], [5], [6].
El objetivo de este trabajo es identificar los principales modos de variabilidad hidroclimática en series de precipitación, caudales y temperatura de variada resolución temporal en Colombia, comparando los resultados obtenidos mediante las Transformadas de Fourier, Onditas y Hilbert-Huang.
2. METODOLOGÍA
La transformada de Hilbert-Huang, que combina el análisis espectral de Hilbert y la Descomposición en Modos Empíricos (DME), desarrollada por Norden Huang [3], [7], [8], fue diseñada específicamente para el análisis de datos no lineales y no estacionarios. Consiste en expandir la serie temporal en modos base derivados de los propios datos (Funciones de Modos Intrínsecos, FMI) mediante el algoritmo de DME para luego aplicar la transformada de Hilbert y de esta manera estimar la distribución Tiempo-Frecuencia-Energía, denominada Espectro de Hilbert [3].
2.1. Análisis Espectral de Hilbert
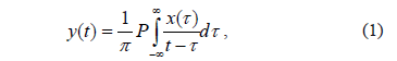
La transformada de Hilbert y(t), de una función x(t) de clase Lp, (es decir
, donde ), es un caso especial de convolución de la función x(t) y una función g(t)=1/ t y se define como:

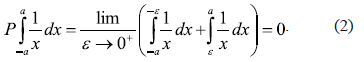
donde P es el valor principal de Cauchy de la integral singular, es decir que el límite definido por la ecuación 2, existe:

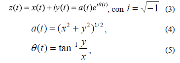
La función x(t) y su transformada de Hilbert, y(t), forman un par conjugado complejo, y por lo tanto es posible definir una señal analítica z(t), tal que:

Donde la variable a representa la amplitud instantánea y q la función de fase instantánea. La frecuencia instantánea, única para un tiempo dado, es:

Tanto la amplitud como la frecuencia son funciones del tiempo y por lo tanto es posible expresar la amplitud (o la energía, definida como el cuadrado de la amplitud) [7] en términos de una función del tiempo y la frecuencia H(w,t). Sin embargo, para un proceso estocástico x(t) arbitrario, la frecuencia obtenida a partir de la transformada de Hilbert no tiene necesariamente significado físico. [3] demostraron que para una estimación adecuada de la frecuencia instantánea mediante la transformada de Hilbert, la función x(t) debe ser una función puramente oscilatoria con un nivel de referencia cero. Así surge la necesidad de buscar una expresión para una x(t) arbitraria en términos de una suma de un pequeño número de funciones puramente oscilatorias, dando como resultado la metodología de Descomposición en Modos Empíricos [7].
2.2. Descomposición en Modos Empíricos
La Descomposición en Modos Empíricos es clave en la metodología de la transformada de Hilbert-Huang [7]. Mediante este proceso cualquier conjunto de datos puede ser descompuesto en un número finito de Funciones de Modos Intrínsecos (FMI), asumiendo que en cualquier tiempo dado, la serie de datos temporal contiene diversos modos oscilatorios simples de diferente frecuencia, coexistiendo simultáneamente en la señal. Cada FMI debe satisfacer dos condiciones básicas: 1) en toda la serie, el número de valores extremos y el número de cruces por cero deben ser iguales o diferentes al menos en uno y 2) el valor medio de la envolvente definida usando el máximo local y el mínimo local es cero [7]. Además, a diferencia de las funciones armónicas que tienen frecuencia y amplitud constante, las FMI pueden tener amplitud y frecuencias variables como función del tiempo. La técnica de la DME es un proceso de filtrado mediante el cual se separan los modos de oscilación de más alta frecuencia, con base en la escala de tiempo característica, suavizando las amplitudes desiguales, y según las siguientes suposiciones: (i) la señal tiene por lo menos dos extremos (valores máximos o mínimos); (ii) la escala de tiempo característica se define por el tiempo transcurrido entre los extremos. Tal proceso de filtración consiste en los siguientes pasos [6]:
1. Se identifican todos los extremos (máximos y mínimos) de la señal x(t).
2. Se conectan todos los valores máximos mediante un spline cúbico y se construye la envolvente superior emax(t). Luego se usa el mismo procedimiento para construir la envolvente inferior emin(t).
3. Se halla la media entre la envolvente superior y la envolvente inferior: m(t)=[emax(t)- emin(t)]/2.
4. Se calcula d(t)=x(t)-m(t).
5. Se considera d(t) como la nueva señal x(t). Se sigue el procedimiento anterior hasta que d(t) sea una señal con media cero de acuerdo con un criterio de convergencia. Para este trabajo se usa el test de convergencia de tipo Cauchy [3], definido por la diferencia normalizada al cuadrado entre dos operaciones de filtrado sucesivas [8], [10].

6. Una vez se tiene la señal d(t) de media cero, ésta se designa como la primera función de modos intrínsecos (FMI), c1.
7. Esta primera FMI se extrae de la señal original, y el residuo se convierte en una nueva señal x(t). Se repite el proceso de filtrado con el fin de obtener la siguiente FMI, c2.
8. Se continúa con el proceso de filtrado para obtener las siguientes FMI. El proceso final se detiene cuando el residuo es una función monótona que tiene sólo un máximo o sólo un mínimo y ya no es posible extraer más funciones a partir de ésta.
La señal original puede reconstruirse a partir de la superposición de las FMI generadas mediante el proceso de descomposición (Ecuación 8):

Una vez se descompone la señal original en sus FMI se aplica la transformada de Hilbert para cada una de ellas, determinando de esta manera la amplitud y la frecuencia instantánea de las series producto de la descomposición.
Con el fin de implementar la THH se utilizó el software DATADEMON V1.2 cuya licencia fue otorgada por la NASA de Estados Unidos. Este software descompone la señal en modos empíricos, calcula la transformada de Hilbert de las funciones de modos intrínsecos (FMI) y además contiene los módulos para el cálculo de las transformadas de Fourier y Onditas.
3. INFORMACIÓN UTILIZADA
Este estudio se realizó con registros de 227 estaciones de variables hidrológicas distribuidas de la siguiente manera: 100 de precipitación mensual, 26 de precipitación diaria, 42 de caudales mensuales, 22 de temperatura media mensual y 15 de temperatura mínima mensual, suministradas por el Instituto de Hidrología, Meteorología y Estudios Ambientales (IDEAM), obtenidas dentro del marco del programa de investigación del grupo GRECIA. También se utilizaron 22 series de precipitación horaria suministradas por el Centro Nacional de Investigaciones de Café (CENICAFÉ). Las estaciones seleccionadas tienen no sólo una buena distribución espacial a través del territorio colombiano sino que además cuentan con un período de registro superior a 25 años (Figuras 1, 2 y 3).
Todas las estaciones utilizadas se agruparon por regiones y/o cuencas y de esta manera se encontraron las frecuencias comunes en las zonas y ríos estudiados. Las estaciones colombianas de precipitación mensual fueron agrupadas tomando como base un mapa de regiones con precipitación homogénea (22 Regiones), identificadas en la Tesis de Maestría "Estimación de los campos mensuales históricos de precipitación en el territorio colombiano" [11]. Estas regiones se definen considerando las diferencias latitudinales por efecto del paso de la ZCIT, separando cada una de las laderas de las tres cordilleras y teniendo en cuenta los valles de los ríos Cauca y Magdalena. De igual manera, se estudiaron las estaciones de precipitación diaria localizadas en las cuencas de los ríos Atrato, Catatumbo, Patía, y Orinoco. Por otra parte, las estaciones de precipitación horaria se encuentran localizadas principalmente en la parte central del país, en la región cafetera de Colombia. Finalmente para las estaciones de caudal se seleccionaron ríos que tuvieran un mínimo de 3 estaciones sobre la misma corriente, con el fin de cuantificar la variación de los procesos a lo largo de una misma cuenca. De esta manera fueron estudiados 10 ríos colombianos: Atrato, Catatumbo, Lebrija, Nechí, Negro, Patía, Saldaña, San Juan, Sinú y Sumapaz.
4. RESULTADOS
Para cada una de las estaciones estudiadas se identificaron las frecuencias y las fechas que explican la mayor parte de la variabilidad de las series, mediante la transformada de Fourier, la transformada en Onditas y la transformada de Hilbert-Huang. Luego se obtuvieron resultados regionales, en los que las frecuencias detectadas se asociaron con los fenómenos climáticos que tienen una mayor influencia sobre el territorio Colombiano.
A manera de ejemplo, se presentan los resultados obtenidos para una estación de precipitación mensual (Código 5311501) localizada en la región de la Costa Pacífica Colombiana (Región 1, Figura 1). Luego se presenta el resultado general para la región a la cual pertenece. Es importante aclarar que cada una de las 227 estaciones utilizadas se analizó de la misma manera.
La Figura 4 presenta la variación de la precipitación a través de los años. Las Figuras 5 y 6 presentan los espectros de potencias de Fourier y Onditas respectivamente. La Figura 7 muestra las FMI y el residuo resultantes del proceso de Descomposición en Modos Empíricos y finalmente la Figura 8 presenta el espectro de Hilbert-Huang. La Tabla 1 presenta las propiedades de las FMI asociadas a la estación 5311501, sus frecuencias promedio, el período al que está asociada cada frecuencia y el porcentaje de potencia de cada FMI. Este porcentaje de potencia representa el porcentaje de energía de cada FMI comparado con el de la señal original, es decir, es una medida de la contribución de cada FMI a la varianza la serie.
En esta estación en particular, el espectro de potencias identifica dos modos de oscilación principales de frecuencias f1=0.084 mes-1 y f2=0.167 mes-1, representados en los dos picos que se observan en la Figura 5, asociados al ciclo anual y semi-anual respectivamente. En el espectro en Onditas se detectan, además de los dos ciclos mencionados anteriormente, un tercer modo asociado a un período de 3 meses con una energía particularmente fuerte en las siguientes fechas: junio de 1963, septiembre de 1989 y noviembre de 2002 (Figura 6). Por su parte la transformada de Hilbert-Huang detecta 6 modos de oscilación principales con frecuencias asociadas con períodos de 3, 7, 14, 25, 50 meses, de los cuales los primeros tres son los que aportan mayor contribución a la varianza de la serie (Figura 8 y Tabla 1). Particularmente, en la Figura 8 se observa que la frecuencia asociada con un período de 50 meses, presenta mayor energía en los siguientes años: 1963, 1964, 1966, 1972, 1975, 1982, 1988, 1998, 1999, 2004 y 2005, coincidiendo con los años que han sido reportados como años con fenómeno El Niño (1965-1966, 1972-1973, 1982-1983, 1997-19982004-2005) o La Niña (1975-1976, 1988-1989 1998-1999) y por lo tanto esta frecuencia está asociada al sistema ENSO.
La Tabla 2 muestra los resultados de las frecuencias comunes en las 7 estaciones localizadas en la Región 1, para cada una de las tres metodologías utilizadas.
En el análisis general de las 100 estaciones de precipitación mensual en Colombia, se encontró que la frecuencia predominante es la asociada con el ciclo anual (12 meses). Luego se identifica, específicamente en las regiones que están expuestas al doble paso de la ZCIT, una frecuencia asociada al ciclo semi-anual (6 meses). También se identifican en algunas de las estaciones de precipitación mensual, frecuencias asociadas con períodos entre 3.5 y 6 años que pueden relacionarse con el sistema ENSO ya que en el espectro de Hilbert es posible visualizar los años que coinciden con fenómenos El Niño o La Niña. Otra frecuencia menos común, pero igualmente detectada en las señales estudiadas, fue una correspondiente a un período entre 2-3 años, que podría estar relacionada con la Oscilación Cuasi-bienal, ó con otra componente significativa del ENSO en tal banda frecuencial. En todos los casos se observó que la Transformada de Hilbert-Huang tiene una mejor capacidad para detectar más frecuencias significativas que las otras dos metodologías empleadas (Tabla 2).
En las estaciones de precipitación diaria se detectaron frecuencias asociadas con los ciclos semi-anual y anual. También se identifican frecuencias asociadas con períodos de 3.5 a 5 días y otras asociadas con un período entre 69-78 días que podrían estar relacionadas con la oscilación intra-estacional u oscilación de Madden-Julian [12]. Finalmente, en algunas estaciones se detectaron frecuencias 0.0008 día-1 con un período equivalente a 1250 días o 3.4 años, que sugieren la asociación con el sistema ENSO.
Las frecuencias predominantes encontradas en las series de precipitación horaria en la región cafetera de Colombia, son principalmente aquellas asociadas con períodos de 12 y 24 horas, seguidas por frecuencias de 0.146 h-1 y 0.017 h-1 equivalentes 7 horas y 59 horas (2.5 días), respectivamente, las cuales requieren de una explicación en términos físicos.
Teniendo en cuenta que para la variable precipitación se contó con información en tres diferentes resoluciones temporales (mensual, diaria y horaria), es posible decir que para cada una de ellas se encontró información significativa dependiente de la escala temporal. En los registros mensuales se detectan frecuencias del orden de meses hasta años (frecuencia máxima asociada a un período de 3 meses), en los datos diarios del orden de días hasta meses (período máximo de hasta 3.7 años) y en los horarios se detectaron frecuencias máximas asociadas a 7 horas y mínimas asociadas a 10 días.
Con respecto a las estaciones de caudales medios mensuales se identificaron frecuencias predominantes asociadas con los ciclos anuales y semi-anuales, especialmente mediante las transformadas en Onditas y Fourier. Una vez más se observó que la transformada de Hilbert-Huang permite identificar otras frecuencias en los datos, como aquellas asociadas posiblemente con las ondas de Madden-Julian (0.33 mes-1), el sistema ENSO (0.014-0.022 mes-1), y probablemente con la Oscilación Cuasi-Bienal (0.024-0.036 mes-1).
Tanto en los registros de temperatura media como en los de temperatura mínima se encontraron frecuencias asociadas a los siguientes períodos: 3 meses (probablemente asociado a las ondas de Madden-Julian), 6 meses (ZCIT), 12 meses (ciclo anual), 2.6-2.7 años (posiblemente asociada con la oscilación Cuasi-bienal), 3.6-6 años (probablemente relacionada al sistema ENSO) y otras frecuencias asociadas a períodos decadales entre 10-20 años.
Un resultado importante de esta investigación se obtuvo a partir de la comparación de las tres metodologías para la detección de modos de variabilidad climática, evidenciando la potencia de la transformada de Hilbert-Huang, pues detecta todos los modos de oscilación de la señal aún cuando hay frecuencias particularmente fuertes, como ciclos anuales, semi-anuales y datos atípicos. Un ejemplo de esto se muestra en las Figuras 9 a 12, que presentan los resultados gráficos obtenidos para la estación con código 5307003, también localizada en la Región 1 (Costa Pacífica Colombiana).
En esta estación se identificó una temporada de lluvias inusualmente altas (probablemente debidas a un error de medición) alrededor del año 1990, la cual es detectada por las tres metodologías (Fourier, Onditas y THH). Sin embargo, mientras que las transformadas de Fourier (Figura 10) y Onditas (Figura 11) se concentran sólo en mostrar que hay datos atípicos ("Outliers"), la transformada de Hilbert-Huang los muestra y localiza temporalmente (Figura 12), pero además identifica las demás frecuencias de oscilación en la señal. En particular, la transformada de Hilbert-Huang detecta que la frecuencia predominante en esta estación es la asociada a un período de 7 meses, con un porcentaje de potencia del 42% (Tabla 3).
5. CONCLUSIONES
Los resultados obtenidos del análisis de las series hidrometeorológicas con resolución mensual, diaria y horaria permiten confirmar que los fenómenos climáticos que mayor influencia tienen en las variables climáticas colombianas corresponden a los ciclos anuales y semi-anuales (asociados con la migración de la Zona de Convergencia Intertropical- ZCIT), pero también con el sistema ENSO, la Oscilación Cuasi-Bienal, las Oscilaciones intra-estacionales, las Ondas Tropicales del Este y los ciclos diurnos y semidiurnos.
Se concluye además que la THH es una herramienta más potente para detectar los más importantes modos tempo-frecuenciales en las señales hidrológicas estudiadas a partir de la comparación entre los resultados encontrados mediante las Transformadas de Fourier, Onditas y de Hilbert-Huang. Se evidenció que mientras las Transformadas de Fourier y Onditas se concentran en mostrar que hay datos atípicos ("Outliers") o alguna frecuencia particularmente fuerte en algunas de las series, el espectro de Hilbert los muestra y los localiza temporalmente, pero al mismo tiempo está en capacidad de detectar otras frecuencias de oscilación en la señal. Estos resultados denotan la superioridad de la transformada de Hilbert-Huang.
Este trabajo demuestra que la THH está en capacidad de detectar modos de oscilación significativos de frecuencia más baja que la anual, aún para series de registros que no han sido previamente estandarizados, lo cual no ocurre con las Transformadas de Fourier y Onditas, para las cuales se hace necesario estandarizar las series, dada la significancia de los ciclos anuales y semi-anuales que absorben la totalidad de la varianza de la señal.
Teniendo en cuenta que se disponía de información en tres escalas de resolución temporal (mensual, diaria y horaria) fue posible determinar que las frecuencias detectadas dependen de la resolución: desde meses hasta años para los registros mensuales, de días hasta meses para los diarios y desde horas hasta días para los horarios. Esto indica que es necesario analizar las variables con una resolución temporal coherente con las preguntas de investigación específicas y con el período de los fenómenos en los que se quiera hacer énfasis. De igual manera se encontró que las frecuencias detectadas también dependen de la longitud de la serie de registros.
AGRADECIMIENTOS
Agradecemos el apoyo de COLCIENCIAS al programa de investigación del grupo Red de Cooperación en Investigación del Agua (GRECIA) y de igual manera al Instituto de Hidrología, Meteorología y Estudios Ambientales (IDEAM) por los datos de precipitación, caudal y temperatura suministrados dentro del marco de este programa. También agradecemos al Centro Nacional de Investigaciones de Café (CENICAFÉ) por proporcionar los datos de precipitación horaria utilizados en el estudio. Finalmente agradecemos a la National Aeronautics and Space Administration (NASA) de Estados unidos por permitirnos el acceso al software DATADEMON V1.2.
REFERENCIAS
[1] Mejía, J.F., Mesa, O., Poveda, G., Vélez, J.I., Hoyos, C.D., Mantilla, R, Barco, J., Cuartas, A., Montoya, M.I., Botero, B., Distribución Espacial y Ciclos Anual y Semianual de la Precipitación en Colombia. DYNA Revista de la Facultad de Minas, Universidad Nacional de Colombia, Sede Medellín. N°127. pp. 7-24. 1999. [ Links ]
[2] Poveda, G., La Hidroclimatología de Colombia: Una síntesis desde la escala inter-decadal hasta la escala diurna. Revista Academia Colombiana de Ciencias. 28 (107), pp. 201-222. 2004. [ Links ]
[3] Huang, N. E., Shen, Z., Long, S. R., Wu, M., Shih, H. H., Zheng, Q., Yen, N.-C., Tung, C. C., y Liu, H. H., The empirical mode decomposition and the Hilbert spectrum for nonlinear and nonstationary time series analysis. Proc. R. Soc. London, Ser. A, 454, pp.903-993. 1998. [ Links ]
[4] Daubechies, I., Ten lectures on wavelets. Series in applied mathematics. Vol 61. P. 3571992. [ Links ]
[5] Torrence, C. y Compo, G., A practical guide to wavelet análisis. Bull.Amer. Meteorol. Soc. pp. 61-78. 1998. [ Links ]
[6] Hoyos, C.D., Algunas aplicaciones de la transformada de Fourier y la descomposición en onditas a señales hidrológicas y sísmicas. Trabajo dirigido de grado, Ingeniería Civil. Facultad de Minas. Universidad Nacional de Colombia, Sede Medellín. 1999. [ Links ]
[7] Huang, N. E, Wu, Z., A Review on Hilbert-Huang Transform: Method and its applications to geophysical studies. Rev. Geophys. 46. RG2006. 2008. [ Links ]
[8] Huang, N. E., Shen, Z. y Long. S. R., A new view of nonlinear water wavesThe Hilbert spectrum. Annu. Rev. Fluid Mech., 31, pp. 417-457. 1999. [ Links ]
[9] Rao, A.R. y Hsu, E.C., Hilbert-Huang transform analysis of hydrological and environmental time series. Water Science and Technology Library, Vol. 60. Springer. 2008. [ Links ]
[10] Huang, N. E., Wu, M.L., Long, S. R., Shen,S. S., Qu, W.D., Gloersen, P., y Fan, K. L., A confidence limit for the position empirical mode decomposition and Hilbert spectral analysis. Proc. R. Soc. London, Ser. A, 459, pp. 2317-2345. 2003. [ Links ]
[11] Hurtado, A.F., Estimación de los campos mensuales históricos de precipitación en el territorio colombiano. [Tesis de Maestría en Ingeniería-Recursos Hidráulicos]. Facultad de Minas, Universidad Nacional de Colombia, Sede Medellín. 2009. [ Links ]
[12] Arias, P.A., Diagnostico y predicción de la variabilidad intra-anual de la hidrología colombiana. Tesis de Maestría en Ingeniería - Recursos Hidráulicos. Universidad Nacional de Colombia sede Medellín. 2005. [ Links ]



























