Servicios Personalizados
Revista
Articulo
Indicadores
-
Citado por SciELO -
Accesos
Links relacionados
-
Citado por Google -
Similares en
SciELO -
Similares en Google
Compartir
Revista Facultad Nacional de Salud Pública
versión impresa ISSN 0120-386Xversión On-line ISSN 2256-3334
Rev. Fac. Nac. Salud Pública v.29 n.2 Medellín mayo/ago. 2011
INVESTIGACIONES
Metodología experimental para obtener coeficientes de absorción de ruido
Experimental methodology for obtaining sound absorption coefficients
Hernán D. Sepúlveda D1; Carlos A. Macía M2.
1Ingeniero químico, Magíster en salud ocupacional, Grupo Gidso de la Facultad Nacional de Salud Pública, Universidad de Antioquia, Medellín, Colombia. Correo electrónico: hsepulv@saludpublica.udea.edu.co.
2Magíster en salud ocupacional; ingeniero en evaluación y control ambiental, Medellín, Colombia. Correo electrónico: camacim@yahoo.com
Sepúlveda HD, Macia CA. Metodología experimental para obtener coeficientes de absorción de ruido. Rev. Fac. Nac. Salud Pública 2011; 29(2): 9-18.
RESUMEN
OBJECTIVE: the authors propose a new methodology for estimating sound absorption coefficients using genetic algorithms.
METHODOLOGY: sound waves are generated and conducted along a rectangular silencer. The waves are then attenuated by the absorbing material covering the silencer‘s walls. The attenuated sound pressure level is used in a genetic algorithm-based search to find the parameters of the proposed attenuation expressions that include geometric factors, the wavelength and the absorption coefficient.
RESULTS: a variety of adjusted mathematical models were found that make it possible to estimate the absorption coefficients based on the characteristics of a rectangular silencer used for measuring the attenuation of the noise that passes through it.
CONCLUSIONS: this methodology makes it possible to obtain the absorption coefficients of new materials in a cheap and simple manner. Although these coefficients might be slightly different from those obtained through other methodologies, they provide solutions within the engineering accuracy ranges that are used for designing noise control systems.
Keywords: noise, sound, absorption coefficient, attenuation, genetic algorithms.
ABSTRACT
OBJECTIVE: a new methodology designed to obtain sound absorption coefficients using genetic algorithms is proposed.
METHODOLOGY: sound waves are generated and conducted along a rectangular silencer and attenuated by the absorbing material covering its walls. Taking the sound pressure level related to attenuation, a search is developed to find parameters of the proposed attenuation expressions including geometric factors, wavelength and absorption coefficient.
RESULTS: a variety of adjusted mathematical models were found capable of estimating the absorption coefficients based on the characteristics of a rectangular silencer used to measure attenuation.
CONCLUSIONS: this methodology allows to obtain in a simple and low-cost way absorption coefficients for new materials, provided it may slightly differ from those obtained by means of other methods, but admitting that it can also provide solutions within a certain range of accuracy in applied engineering for the design of noise control systems.
Keywords: noise, sound absorption coefficient, attenuation, genetic algorithms.
Introducción
En el diseño de sistemas de control de ruido, es de suma importancia el conocimiento de las propiedades absorbentes de los materiales disponibles para tal fin, representadas específicamente por el coeficiente de absorción. Para la obtención de tales coeficientes, se cuenta con procedimientos estandarizados y normalizados por la American Society for Testing and Materials (ASTM): mencionado por Harris [1] la cámara reverberante y el tubo de impedancia. Estos métodos, aunque eficaces, no han sido utilizados en nuestro medio debido a los costos que generan en infraestructura y equipos de medición, y a la poca demanda surgida a partir de la producción de nuevos materiales a utilizar en el control de ruido. En los países en vía de desarrollo, es común plantear soluciones a los problemas de ruido empleando materiales que se tienen a mano, y de los cuales se tiene el mito de su eficacia en la absorción de ruido, pero sus propiedades acústicas son desconocidas, e incluso, se llegan a utilizar elementos que no implican mejoras considerables en la condición de ruido [2, 3]. En esta investigación se propone un método alternativo como herramienta para la obtención de los coeficientes de absorción de materiales producidos y disponibles localmente, de tal forma que permitan realizar intervenciones en el control de ruido, logrando reducciones del nivel de presión sonora a bajo costo.
Absorción
La absorción de energía es uno de los mecanismos pasivos existente para el control del ruido [1,4] que tiene lugar cuando se emplean materiales acústicos y porosos, como también mediante muchos materiales de acabado y mobiliario utilizados en la construcción, principalmente en países industrializados, con arreglo a normatividades orientadas a garantizar un confort en las edificaciones, así como la disminución de ruido hacia el exterior de estas.
El comportamiento del sonido es diferente entre espacios abiertos y espacios cerrados, debido a las superficies reflectantes de los objetos que se encuentran dentro de estos espacios y a los límites del encerramiento que reflejan el sonido [1]. En los espacios cerrados, parte de la energía sonora incidente es reflejada, parte es absorbida y parte es transmitida a través de las paredes (límites) de dicho encerramiento; igual fenómeno ocurre en las superficies y elementos que se encuentran dentro de dicho espacio (figura 1).

Figura 1. Propagación del sonido en espacios cerrados
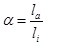
En todos los materiales, una parte de la energía acústica que llega a su superficie es absorbida y otra es transmitida hacia el otro extremo de la superficie [1, 5, 6] (figura 1). La absorción es la fracción de energía acústica que se transforma en energía cinética o en calor (disipación a través de la superficie). La cuantificación de la capacidad de los materiales para absorber el sonido se define como el coeficiente de absorción a, expresado como la fracción de la energía absorbida con relación a la energía incidente, cuyos valores varían entre 0 y 1. Dicho coeficiente de absorción puede ser expresado como:

Donde:
la = intensidad del sonido absorbida (W/m2)
li = intensidad del sonido incidente (W/m2) .
La absorción y la reflexión dependen de la frecuencia, de modo que las ondas a altas frecuencias son absorbidas más eficientemente por materiales porosos. Un amplio uso de la absorción de energía se da en los silenciadores y conductos forrados que se emplean en procesos industriales con alta generación de ruido, el cual debe controlarse para disminuir los efectos negativos en las personas por causa de los niveles de presión sonora altos [5]. Dentro de la amplia gama de quipos como silenciadores y mofles empleados para la atenuación de distintos tipos de ruido, están los silenciadores absortivos, utilizados para atenuar ruidos con frecuencias altas o agudas, que buscan disminuir la energía acústica mediante la utilización de materiales absorbentes.
Se han obtenido expresiones empíricas para determinar la cantidad de energía que se atenúa en función del material y de la forma del silenciador. Una expresión matemática usada ampliamente para determinar la energía atenuada es [1, 4]:

Donde:
LA: atenuación en el silenciador (dB Lin)
D0: perímetro interno (pies)
S: perímetro interno (pies cuadrados)
l: longitud del silenciador (pies)
a: coeficiente de absorción de Sabine.
El coeficiente de absorción puede estimase mediante diferentes métodos [1, 7, 8], uno de los cuales es el método de cámara reverberante, definido por la ASTM [1, 7]. Dicho método consiste en utilizar un recinto diseñado especialmente para minimizar la absorción del sonido de todas las superficies que se encuentran en su interior, condición que se aproxima a un campo difuso, es decir, a un ambiente acústico con alto número de reflexiones donde se hacen lecturas del nivel de presión sonora, con material de prueba y sin él, generalmente en el intervalo de frecuencia de 100 a 5.000 Hz [1, 8-10]. Con un cuidadoso control de temperatura y humedad, puede ampliarse el intervalo a 10 kHz; por fuera de este intervalo, se sugiere emplear el método del tubo de impedancia, de acuerdo con la norma ASTM C384 (equivalente a ISO 10534-1).
Pese a que este método está definido como un estándar con un buen rango de precisión, los resultados con él obtenidos tienen algún grado de incertidumbre, en el que las principales fuentes o factores son: variación en la razón de decaimiento de los niveles de presión sonora a bajas frecuencias, que no es constante y varía con el tiempo; cambios en la humedad y la temperatura durante la prueba; reproducibilidad del coeficiente de absorción en diferentes pruebas que disminuye a bajas frecuencias; amontonamiento de los materiales de prueba que puede tener influencia significativa en los resultados de la prueba.
El cálculo mediante este método de la absorción del sonido se corrige en función del área usada, el tamaño dado, la razón de aspecto y el amontonamiento en un campo de sonido difuso. Estos cálculos, al hacer la corrección para un absorbedor con un área mayor a la de un material plano, puede sobrepasar sustancialmente la absorción del sonido [7].
Materiales absorbentes
Los materiales absorbentes presentan poca oposición al paso del sonido incidente, reflejando una pequeña parte de las ondas que llegan a su superficie y variando las fracciones de las ondas que son absorbidas en las diferentes frecuencias; y todo el conjunto de estas fracciones (coeficientes de absorción) denotaría la capacidad absorbente del material.
La eficacia de un material absorbente en el control de ruido depende de algunas de sus propiedades, como son la porosidad y su densidad; además, deben tenerse en cuenta las características de resistencia a los diferentes agentes propios de cada proceso, como, por ejemplo: humedad, corrosión, abrasividad, temperaturas extremas, alta velocidad de flujo, entre otras [1, 11-16].
Algoritmos genéticos
Los algoritmos genéticos son una técnica computacional basada en la teoría darwiniana de la evolución de las especies, orientada a la solución una gran variedad de problemas de búsqueda y optimización heurística mediante la simulación del proceso de evolución natural [17, 18].
Dicha técnica consiste en simular una población de individuos que evolucionan constantemente para llegar a obtener el mejor individuo que representa la solución al problema. En cada ciclo evolutivo se aplican los operadores genéticos de reproducción, cruzamiento y mutación, lo que permite establecer las características que tendrá su descendencia en la siguiente generación, en busca del individuo más apto (mejor desempeño según la función de desempeño definida). Al final del proceso evolutivo se obtiene entonces el individuo de mejor desempeño, que haya evolucionado y logrado mantenerse a lo largo de generaciones. Este individuo corresponde a una solución óptima y, posiblemente, la mejor solución al problema planteado [17, 18].
La función de adaptación permite establecer el desempeño de cada individuo de una forma inversamente proporcional, es decir, un individuo con un valor de adaptación menor (valor obtenido con la función de adaptación) tendrá un mayor desempeño:

En el proceso evolutivo del algoritmo genético se utiliza una población constante en cada iteración de 500 individuos, sobre los cuales se aplican los operadores genéticos para obtener una nueva descendencia (figura 2).

Figura 2. Operadores genéticos en el proceso evolutivo
El objetivo de este artículo consiste en plantear el uso de los algoritmos genéticos como método para estimar los coeficientes de absorción de ruido mediante el ajuste de los parámetros de ecuaciones propuestas, tomando como base la ecuación de Sabine a partir de datos del nivel de presión sonora, medidos a la entrada y a la salida de un silenciador absortivo rectangular.
Metodología
En el experimento se emplearon los siguientes instrumentos y equipos: 1) un silenciador construido en lámina de hierro de 1/8” de pulgada de espesor, con soportes para material absorbente de 2 pulgadas de espesor; 2) materiales absorbentes (lana mineral de roca, del tipo SonoWall, lana mineral de roca tipo placa, espuma flexible de poliuretano gris d30, espuma flexible de poliuretano rosada d23 y espuma rígida de poliuretano); 3) fuente de ruido con amplificador monofónico de un único bafle, que emite una grabación de sonidos en las octavas de frecuencia de 125, 250, 500, 1.000, 2.000 y 4.000 Hz, mezcla de tonos puros, ruido blanco y ruido rosa; y 4) sonómetro Quest- SoundPro DL (receptor) (figura 3).

Figura 3. Diseño del experimento
En este sistema se llevaron a cabo dos tipos de prueba:
1) mediciones tendientes a corroborar el comportamiento de la fórmula expresada, empleando para ello material con coeficientes de absorción conocidos. Para tal efecto, se empleó lana mineral de roca elaborada con los mismos estándares de fabricación de nivel internacional, cuyos coeficientes se presentan en la (tabla 1), no obstante que difieren con valores reportados en la literatura para el mismo material [1, 11]:
Tabla 1. Coeficientes de absorción para la lana mineral de roca

2) mediciones enfocadas a obtener los coeficientes de absorción para diferentes materiales de alta disponibilidad y de bajo costo en el medio, utilizando la formulación matemática ajustada con las pruebas anteriores.
A partir de la ecuación de atenuación de un silenciador:

y considerando el diseño del silenciador propuesto con una sección transversal del ducto rectangular (figura 4), la expresión anterior se transforma en:

Figura 4. Sección transversal del ducto

El ruido se hace pasar a través del silenciador sin material absorbente y se toma una lectura con el sonómetro a la salida del silenciador para conocer el LP incidente, y a continuación se le aplica al silenciador el material absorbente y se hace la medición para obtener el LP atenuado, para obtener de esta forma el LA especificado en la formulación matemática.
El procedimiento descrito en la figura 2 se realizó con la apertura máxima del silenciador, equivalente a una área transversal de 6 pulgadas por 6 pulgadas para los diferentes sonidos y longitudes del silenciador. Los valores de atenuación obtenidos en la entrada y la salida del silenciador se emplean en diferentes expresiones matemáticas, planteadas por los autores a partir de la ecuación de Sabine con la adición de algunos factores que pueden tener relación con la atenuación del sonido, como son la longitud de onda (ɐ) y longitudes geométricas del silenciador. Las expresiones planteadas se presentan en la (tabla 2).
Tabla 2. Modelos matemáticos evaluados mediante algoritmos genéticos

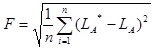
Los resultados de coeficiente obtenido con cada uno de los modelos se comparan con los valores teóricos mediante el error cuadrático medio:

Donde xi es el valor de la atenuación medida experimentalmente y x*i es el valor de atenuación obtenido con el modelo.
Resultados
Durante pruebas previas de medición no se presentaron atenuaciones significativas para longitudes pequeñas del silenciador en frecuencias bajas, por tal motivo, se optó por realizar dichas pruebas solo con la longitud máxima del silenciador, es decir, 9 pies (2,74 metros). Los datos obtenidos con el experimento para valores de nivel de presión sonora medidos al final del ducto (figura 3) se presentan en la tabla 3 y corresponden a una fuente con tonos puros que pasa a través de este, ya sea con material absorbente o sin él.
Tabla 3. Datos medidos experimentalmente de ruido con tonos puros, en dB

Las mediciones del nivel de presión sonora al final del silenciador proveniente del ruido emitido por la fuente con mezclas de sonidos puros están tabuladas en la tabla 4, en la cual se observa que para la mayoría de los materiales empleados la atenuación es buena, excepto el poliuretano, debido a que este material no tiene porosidades que permitan el flujo de las ondas.
Tabla 4. Datos medidos experimentalmente de ruido con mezcla de sonidos puros, en dB

A partir de estos datos, se calculan los coeficientes de atenuación para los diferentes materiales de forma indirecta con base en la ecuación de atenuación del sonido de Sabine (tabla 5).
Tabla 5. Valores de atenuación teóricos y medidos, en dB

Al llevar a cabo la simulación para los modelos indicados en la tabla 2, se llegó al final del proceso evolutivo del algoritmo genético a individuos que representan una solución óptima al problema, es decir, se obtuvieron los coeficientes que permiten dar el mejor ajuste al modelo, los cuales se presentan en la tabla 6. Adicionalmente, en la última columna de la misma tabla se presenta el error cuadrático medio del modelo con relación a los datos suministrados por el fabricante.
Tabla 6.Coeficientes de los modelos matemáticos evaluados mediante algoritmos genéticos

Los coeficientes de absorción de diferentes materiales obtenidos a partir de los modelos anteriores se presentan en las figuras 5, 6, 7 y 8. En las figuras 5 y 6 se incluye la curva de los coeficientes de absorción dados por el fabricante de lana mineral de roca tipo placa y tipo manto. Además, como se puede observar, los modelos 2 a 7 son bastante cercanos a los datos del fabricante, mientras que el modelo 1 muestra diferencias considerables.

Figura 5.Coeficientes de atenuación de lana mineral tipo placa

Figura 6. Coeficientes de absorción para la lana mineral tipo manto

Figura 7.Coeficientes de absorción de la espuma gris

Figura 8.Coeficientes de absorción de la espuma rosada
Discusión
En el diseño de silenciadores absortivos se recurre a materiales con diferentes coeficientes de absorción, con el fin de disminuir los niveles de presión sonora (ruido) que llegan a un receptor y que son generados por una fuente de ruido. Algunos de estos materiales suelen tener un precio relativamente alto por los procesos de producción o debido al costo de la tecnología para producirlos. También puede existir un sinnúmero de materiales de los cuales se desconoce el coeficiente de absorción (así sea un valor aproximado), para poder calcular así las dimensiones requeridas de un silenciador, con lo cual se obtienen los niveles de ruido máximos deseados para un receptor.
Es de tener en cuenta que los coeficientes de absorción reportados por los fabricantes corresponden en la mayoría de los casos a los obtenidos a partir de muestras obtenidas en procesos estandarizados y donde los materiales producidos pueden ser ligeramente diferentes de aquellos tomados de referencia; adicionalmente, muchos de estos valores reportados están por encima de 1,0, lo que no corresponde con la definición teórica del coeficiente de absorción, cuyos valores se encuentran entre 0 y 1. Esto implica que, en el diseño de silenciadores, los valores de coeficientes de absorción utilizados pueden no ser muy exactos; es decir, que puede diseñarse con materiales de un alto costo, de los cuales se desconoce si la calidad absortiva coincide con la suministrada por los fabricantes del mismo material de referencia, o puede diseñarse con materiales de menor costo, para los cuales puede obtenerse un coeficiente de absorción con buenos niveles de precisión.
Dicho nivel de precisión del coeficiente de absorción puede mejorarse planteando modelos matemáticos por cada una de las frecuencias de interés o por grupos de frecuencia. También puede mejorarse utilizando la programación genética [19], que permite obtener un modelo matemático óptimo combinando los diferentes parámetros en muchas formas matemáticas.
Conclusiones
La técnica de algoritmos genéticos permite optimizar el cálculo de los coeficientes de ajuste de una forma ágil y precisa, de los modelos matemáticos propuestos del coeficiente de absorción a un conjunto de datos obtenidos experimentalmente. Es de anotar que para este método se propusieron algunos modelos matemáticos teniendo en cuenta algunos factores físicos que inciden sobre el coeficiente de absorción, situación que puede mejorarse usando la programación genética, en que adicionalmente puede obtenerse el modelo matemático que mejor desempeño pueda representar en los datos experimentales.
El montaje efectuado para las pruebas experimentales es de fácil aplicación y permite la estimación del coeficiente de absorción para diferentes materiales con utilidad potencial en el diseño de silenciadores absortivos por su bajo costo experimental. Es posible que los resultados obtenidos con esta técnica no sean muy exactos, pero su precisión permite su aplicabilidad en el diseño de los silenciadores, ya que normalmente estos son diseñados con un factor de seguridad que puede oscilar entre el 10 y el 20% por encima del cálculo teórico.
Referencias
1 Harris M. Manual de medidas acústicas y control de ruido. 3.ª ed. Madrid: Mc Graw Hill; 1993. [ Links ]
2 Jaramillo A. Acustica: La ciencia del sonido. Medellin: Fondo editorial ITM; 2007. [ Links ]
3 Ballagh KO. Acoustical Properties of Wool. Appkd Acoustics [revista en internet] 1996 [acceso 13 de agosto de 2009]; 48(2). Disponible en: http://www.sciencedirect.com/science/article/pii/0003682X95000428. [ Links ]
4 Puerta J, Quinchía R. Evaluación y control de ruido industrial. Medellín: IngeAire; 1991 [ Links ]
5 ISOVER. Manual de aislamiento en la industria. [internet] [acceso 12 de abril de 2009]. Disponible en: http://www.ingenieroambiental.com/4006/Acustica%20Edificio%20-%20Manual%20Aislamiento%20Industrial%20Isover.pdf [ Links ]
6 Fundación Mapfre. Manual de Higiene Industrial. 3ª ed. Madrid: Mapfre; 1991. [ Links ]
7 ASTM. Standard Test Method for Impedance and Absorption of Acoustical Materials by Impedance Tube Method. [internet] [acceso 08 de septiembre de 2009]. Disponible en: http://www.astm.org/Standards/C384.htm. [ Links ]
8 Castañeda JA, González HA. Medición del coeficiente de absorción del sonido. Scientia et Técnica Año X [revista en internet] 2004 Agosto. [acceso 12 de abril de 2009] 25(1) .Disponible en http://www.utp.edu.co/php/revistas/ScientiaEtTechnica/docsFTP/162112101-106.pdf. [ Links ]
9 Famighetti T. Investigations into the performance of the reverberation chamber of the integrated acoustics laboratory. [Trabajo de grado en internet] [acceso 10 de Marzo de 2009] Georgia: Georgia Institute of Technology; 2005. Disponible en: http://etd.gatech.edu/theses/available/etd-04022005-223652/unrestricted/famighetti_tina_m_200505_mast.pdf. [ Links ]
10 National Instruments. “Acoustic test chambers and environments”. [internet] [acceso 15 de enero de 2009]. Disponible en: http://zone.ni.com/devzone/nidzgloss.nsf/webmain/62E64F4028A2D77C862568C6005E4B84?OpenDocument. [ Links ]
11 Bobgolds. Fiberglass, Rockwool, Polyester, Cotton, and Sheep Absorption Coefficients. [internet] [acceso 15 de Agosto de 2009]. Disponible en: http://www.bobgolds.com/AbsorptionCoefficients.htm. [ Links ]
12 Rodríguez M, Simón F, Pfretzschner J. Optimización de las características absorbentes de materiales granulados reciclados. Instituto de acústica. [internet] [acceso 12 de Abril de 2009]. Disponible en http://www.ia.csic.es/Sea/publicaciones/4320gp003.pdf. [ Links ]
13 Skinner C, Peters J, Vandenbroeck J. Acoustic Absorbers: A third way for the management of sound in automobiles. Paper for UECH Europe. [revista en internet] 2006 marzo [acceso 15 de agosto de 2009]. Disponible en: http://www.huntsman.com/pu/Media/UTECH2006_Acoustic_Materials.pdf. [ Links ]
14 Barnard AR, Rao MD. A Comparison of Acoustic Absorption Coefficient Measurements from the In-Situ Method with Traditional Methods. [internet] [acceso 20 de marzo de 2009]. Disponible en: http://www.me.mtu.edu/courses/meem4704/project/papers/nc04_insitu_method.pdf. [ Links ]
15 Giese F, Ries H, Eigenbrod C. On the Performance of Porous Sound Absorbent Material in High Temperature Applications. Journal of Engineering for Gas Turbines and Power [revista en internet]. December 2010 [acceso 12 de abril de 2009] 132(12). Disponible en: http://scitation.aip.org/getabs/servlet/GetabsServlet?prog=normal&id=JETPEZ000132000012121301000001&idtype=cvips&gifs=yes&ref=no [ Links ]
16 Glé P, Gourdon E, Arnaud L. Acoustical properties of materials made of vegetable particles with several scales of porosity Applied Acoustics [revista en internet]. 2011 [acceso 16 de mayo de 2009] 72. Disponible en: http://cat.inist.fr/?aModele=afficheN&cpsidt=23933212 [ Links ]
17 Holland J. Genetics Algorithms. [internet] [acceso 3 de Junio de 2009]. Disponible en http://www.econ.iastate.edu/tesfatsi/holland.GAIntro.htm. [ Links ]
18 Mitchell M. An introduction to genetic algorithms. USA: Massachusets Institute of Technology Press; 1998. [ Links ]
19 Koza J. Genetic programming: on the programming of computers by mean of natural selection. USA: Massachusets Institute of Technology Press; 1992. [ Links ]
Recibido: 22 de abril de 2011.
Aprobado: 01 de febrero de 2011.













