Introducción
Anteriormente, los profesores tenían no solo la autonomía de decidir el contenido de una asignatura, también diseñaban y decidían el cómo impartir dicho contenido, para posteriormente evaluarlo. Este enfoque de enseñanza se centralizaba en el profesor que, en últimas, se refería al contenido que se sería cubierto en las clases, esto es, se enfocaba en el contenido a enseñar y procuraba qué tanto el estudiante entendía de la materia. Actualmente, la enseñanza en educación propone un modelo que cambia este enfoque y se centraliza en el estudiante, es decir, en lo que él debe ser capaz de hacer con el conocimiento que le transmite el profesor, por lo tanto, este modelo se basa en lo que se define como los Resultados de Aprendizaje Esperado -RAE- (Kennedy, 2007), que cada vez están siendo más aceptados en la enseñanza internacional, sobre todo en la educación superior.
Sin embargo, no debe desconocerse que los entornos escolares y lo que acontece dentro de las aulas de clase, a través de las prácticas docentes, también influye en el desempeño escolar de los estudiantes, al condicionar su motivación y sus actitudes frente al aprendizaje (Hipkins, 2012). De acuerdo con Clotfelter et al. (2006), cuando se trata de explicar el porqué de la heterogeneidad en los conocimientos adquiridos por los estudiantes, el profesor y su manera de enseñar y transmitir el conocimiento, es un factor fundamental. Por lo tanto, aquellos estudiantes que cuentan con profesores que tienen buenas prácticas de enseñanza, aprenden los conceptos más rápidamente y mejoran su desempeño, y aquellos que han tenido un mal docente, pueden tener dificultades para el desarrollo de sus competencias y capacidad de aprendizaje, lo que puede marcarlos durante toda su vida (Barber & Mourshed, 2007).
Por lo anterior, es importante conocer lo que sucede en los entornos escolares y dentro de las aulas de clase -en adelante “entornos de aprendizaje”-, ya que ello contribuye al diseño de políticas educativas más eficaces, por cuanto tiene efectos en términos de eficiencia, al mejorar el desempeño académico escolar, y en tanto contribuye a una asignación más equitativa, dada la concentración de los mejores profesores en las escuelas más exitosas. Pese a ello, no es fácil saber lo que sucede en dichos entornos, debido a que los estudios en este ámbito son escasos, más en el contexto de países latinoamericanos, en especial, aquellos que miden el efecto de los entornos sobre el éxito escolar del alumnado (Giménez et al., 2019).
Ahora bien, existe un consenso internacional no solo en resaltar la importancia de abordar el proceso de enseñanza-aprendizaje que ocurre en los entornos de aprendizaje. También se ha puesto de manifiesto la complejidad de medir su efecto en el desempeño académico escolar (Consejo Nacional de Rectores, 2017) ya que, como lo señala Merchán (2009a; 2009b), aunque el diseño curricular y los contenidos que guían la práctica pedagógica sean los mismos en los centros escolares, cada profesor adecúa tanto el contexto en el que los desarrolla, como el espacio físico en el que se realiza sus prácticas docentes. De ahí nace la importancia de crear herramientas que permitan medir los efectos de esta autonomía docente, que hacen parte del entorno de aprendizaje, sobre el rendimiento de los estudiantes (al respecto, ver Briggs, 2011; Stronge et al., 2011).
Sobre la línea de lo anterior, la Organización para la Cooperación y Desarrollo Económico -OECD, por sus siglas en inglés- ha desarrollado una serie de instrumentos que recogen información sobre lo que sucede dentro de las aulas de clase, y están siendo aplicados en el Programa Internacional para la Evaluación de Estudiantes -PISA, por sus siglas en inglés- (OECD, 2013). Ello permite determinar cómo el desempeño escolar del alumnado está asociado con las dinámicas que ocurren en el entorno de aprendizaje.
Así las cosas, el presente artículo busca determinar cuál es el efecto y la relación que tienen los entornos de aprendizaje, con el desempeño académico escolar en los países Latinoamericanos participantes en PISA 2018. Específicamente, lo que se pretende aquí es identificar cuáles de las dimensiones asociadas al aprendizaje, explican en mayor medida la heterogeneidad en el éxito escolar de los estudiantes latinoamericanos participantes en PISA 2018. Para el logro de los objetivos, se estimará lo que la Economía de la Educación ha definido como la función de producción educativa -FPE- (Hanusheket al., 2013), empleando los resultados e información de la última oleada de PISA -2018-. Los resultados de la FPE servirán de base para aplicar la técnica de descomposición de Shorrocks-Shapley, la cual, permitirá identificar cuál es la contribución relativa de cada dimensión asociada al aprendizaje, a la heterogeneidad del desempeño escolar.
La contribución principal aquí va en dos vías. La primera, llenar el vacío empírico existente en relación con los trabajos que miden y relacionan los entornos de aprendizaje con el éxito escolar, para el conjunto de países de América Latina. La segunda, tiene que ver con lo metodológico, ya que la estimación de la FPE y la aplicación de la técnica de descomposición de Shorrocks-Shapley, constituye una novedad, si bien dicha técnica ha sido ampliamente utilizada en estudios de pobreza y desigualdad, no lo ha sido el ámbito de la educación, mucho menos, en el estudio de los entornos de aprendizaje para el conjunto de países de América Latina.
Marco de referencia
Desde la aparición del famoso informe de Coleman, et al. (1966), los estudios en Economía de la Educación se han volcado a identificar cuáles son los principales factores asociados al aprendizaje que explican los resultados académicos del alumnado, en particular, cuál de ellos lo hace en mayor proporción.
Si bien han determinado que son tres las dimensiones que influyen en el desempeño académico escolar -características de estudiantes, de su familia y las características escolares-, no se ha establecido un consenso en relación con cuál de los tres es el que pesa más a la hora de explicar la heterogeneidad en los resultados. Así, hay estudios empíricos, tanto para países desarrollados como en vías de desarrollo, que apuntan hacia los factores del estudiante y de su entorno familiar, como los de mayor influencia en su desempeño. Entre tanto, existen otros trabajos empíricos que demuestran cómo la dimensión de factores escolares es la de mayor peso al explicar el éxito escolar. Para el caso particular de los países de América Latina, en la Figura 1 se relacionan los estudios empíricos en este ámbito.
Ahora bien, de acuerdo con Goldhaber (1999) las razones que explican la mayor parte de la variabilidad de los resultados académicos, medidos a través de las puntuaciones obtenidas por los estudiantes en las diferentes evaluaciones nacionales e internacionales, son los factores inobservables, tanto de los profesores como de las escuelas, y de lo que ocurre dentro de las aulas de clase. Sobre este mismo punto, Goldhaber y Anthony (2007) y Goldhaber y Brewer (1997) apuntan específicamente a los dotes de comunicación del profesor, su capacidad de transmitir el conocimiento, las relaciones entre el profesor y el alumno, la forma de dictar las clases, la asignación de los tiempos, y la autoridad que refleje el docente, como factores inobservables del entorno de aprendizaje, que influyen en el éxito escolar. Eso sí, los autores reconocen que son aspectos difícilmente medibles, pero ello no implica que no tengan efecto alguno sobre el rendimiento del alumnado.
Tener en cuenta estos factores, que directamente no pueden ser observables, es de gran relevancia, debido a que estos van a influir sobre la empatía y el respeto de los alumnos, su disposición frente a las clases, su motivación e implicación, incluso sobre su asistencia y puntualidad, aspectos que al final terminan reflejándose en su nivel de esfuerzo, llevándolos a superarse y tener éxito (Giménez et al., 2019). De hecho, autores como Hendriks et al.(2013) reiteran que hay una alta asociación entre el aprendizaje del alumnado y la manera en que se diseñan y se imparten las actividades académicas, incluido la forma en que los docentes distribuyen el tiempo dentro de las aulas.

Fuente: adaptado y actualizado de Castro, et al. (2018, p. 38).
a Hace referencia a las características socioeconómicas.
Nota: SABER11 hace referencia a los resultados obtenidos en las pruebas aplicadas a los estudiantes del último curso de bachillerato en el Sistema Nacional de Evaluación de la Calidad de la Educación. PISA se refiere al Programa Internacional para la Evaluación de los Estudiantes. SERCE significa Segundo Estudio Regional Comparativo y Explicativo. ENH es la Encuesta Nacional de Hogares. SIMCE es el Sistema de Medición de la Calidad de la Educación. ECV es la Encuesta de Calidad de Vida. El símbolo entre paréntesis junto a cada factor se refiere a la relación entre el desempeño y el factor. Cuando el género se mide con una variable ficticia [dummy] con valor 1 si es mujer, 0 si es hombre, el efecto sobre la puntuación en lectura es (+) y en matemáticas ( ).
Figura 1 Factores asociados al aprendizaje como determinantes del rendimiento escolar en América Latina
Dicho lo anterior, al buscar trabajos empíricos sobre los entornos de aprendizaje y su efecto en el éxito escolar en países o regiones, es poco lo que se encuentra, dada la dificultad que se ha expuesto anteriormente, mayor aún, estudios aplicados a países de América Latina. Dentro de los más recientes, se encuentra el trabajo realizado por Borbely et al. (2023) para Etiopía, quienes encontraron que, cuando el alumnado interactúa con más compañeros, la motivación aumenta y por tanto su desempeño, un hecho más marcado en las mujeres respecto a los hombres. Por su parte, Jackson (2012; 2021) determinó para Trinidad y Tobago que las escuelas de un solo género tienen un mejor resultado académico respecto a los colegios que son mixtos, tanto en los colegios de niños como en los de niñas. Para el caso de Suiza, Eisenkopf, et. al (2015) también encontró resultados similares a los hallados por Jackson (2012; 2021), esto es, la escolarización diferenciada por género -niños o niñas- reporta un mejor rendimiento, en particular, esta diferenciación mejora el desempeño de las niñas en matemáticas. Por otra parte, está el trabajo realizado por Astorquiza (2019), quien encontró que tanto la pedagogía como el compromiso educativo, favorecen el desempeño escolar de los estudiantes. Stallingset al. (2014), encontraron que, cuando los docentes tienen una mayor capacidad de involucrar a los alumnos en las tareas asignadas, desde el primer momento de la clase, no solo son más valorados, sino que también el rendimiento de los estudiantes es mayor. Para este hallazgo, los autores emplearon lo que en educación se conoce como el Método de Stallings, en el que se recolecta información del “interior del aula de clase”, a partir de la observación y del uso del tiempo, en diferentes momentos de este.
Ya para el contexto de los países de Latinoamérica, Bruns y Luque (2014) aplicaron un estudio a más de 3000 escuelas de Brasil, Colombia, Honduras, Jamaica, Perú y México, con el objetivo de analizar las prácticas docentes, la capacidad para mantener la atención y participación del alumnado, así como también, conocer cómo los profesores hacían uso del material educativo y del tiempo para dar las instrucciones. Encontraron que el número de estudiantes que tienen una mayor oportunidad de aprender crece, cuando los docentes tienen un mejor control de la clase, y menores inconvenientes de disciplina, ya que esto les da más tiempo para influir en el aprendizaje. Para ello, los propios docentes deben lograr que los estudiantes se involucren más en las actividades curriculares.
Gregorio, et al. (2019), al estudiar los resultados obtenidos por los estudiantes costarricenses en PISA 2012, hallaron que las características de la escuela y del profesorado determinaron, en promedio, el 36 % de la heterogeneidad en el rendimiento escolar, mientras que el conjunto de las características del individuo y de su familia solo aportaron el 12,5 %. Dentro de los factores de escuela, los autores destacan que son dos los aspectos de mayor influencia: el primero de ellos es el absentismo y la impuntualidad de los estudiantes, y el segundo es la autonomía del profesorado y de la dirección del colegio, en el diseño de planes de estudio y exámenes. Cada uno contribuye, en media, con un 6,42 % y un 11,07 %, respectivamente. Para México, Moreno y Cortez (2020) determinaron que la educación preescolar tiene un efecto favorable en el desempeño escolar y reduce las desigualdades entre los colegios públicos y privados.
Por último, se encontró el estudio de Zambrano (2013) que, según Astorquiza (2019), es el primero que intenta asociar el incremento del rendimiento escolar, con la forma de introducir la pedagogía, como estrategia educativa. Usando para Colombia los datos del Estudio Internacional de Tendencias en Matemáticas y Ciencias -TIMSS, por sus siglas en inglés-, y empleando los modelos multinivel, determinó que, si bien hay un efecto positivo de los factores asociados con el profesorado, el 57,4 % de la variabilidad en los resultados en TIMSS es explicada por las características de los estudiantes.
Como se ve, los estudios para América Latina son escasos, por lo que el presente artículo se destaca por tratar de llenar este vacío para el conjunto de países latinoamericanos, incluyendo los entornos de aprendizaje como input en la FPE, y se diferencia de los demás, porque estima la FPE de forma simultánea, con la aplicación de la técnica de descomposición Shorrocks-Shapley, para determinar si dichos entornos explican en mayor medida a la heterogeneidad del éxito escolar.
Fuentes de información y tratamiento de los datos
El presente artículo usó los datos de la última versión de PISA -2018-, donde participaron 79 países o economías1, de las cuales 10 son latinoamericanos, con un total de 75 622 estudiantes y 3 061 escuelas participantes en esta oleada de PISA, distribuidos como se muestra en la Tabla 1, y representativos estadísticamente para cada país.
Tabla 1 Países latinoamericanos participantes en PISA 2018
| País [h] | # Estudiantes [n] | Peso en la muestra | # Escuelas | Peso en la muestra |
|---|---|---|---|---|
| Brasil (BRA) | 10 691 | 14,1 % | 597 | 19,5 % |
| Buenos Aires, Argentina (ARG) | 11 975 | 15,8 % | 455 | 14,9 % |
| Chile (CHL) | 7 621 | 10,1 % | 254 | 8,3 % |
| Colombia (COL) | 7 522 | 10,0 % | 247 | 8,1 % |
| Costa Rica (CRI) | 7 221 | 9,6 % | 205 | 6,7 % |
| Repú. Dominicana (DOM) | 5 674 | 7,5 % | 235 | 7,7 % |
| México (MEX) | 7 299 | 9,7 % | 286 | 9,3 % |
| Panamá (PAN) | 6 270 | 8,3 % | 253 | 8,3 % |
| Perú (PER) | 6 086 | 8,1 % | 340 | 11,1 % |
| Uruguay (URY) | 5 263 | 7,0 % | 189 | 6,2 % |
| Total | 75 622 | 100,0 % | 3 061 | 100,0 % |
Nota: países o economías ordenadas alfabéticamente.
Fuente: elaboración propia a partir de información PISA 2018 (OECD, 2024).
Ahora bien, la base de datos que construye la OECD posee lo que se conoce en la literatura como missing value, es decir, hay datos sin registro, entre otras razones, porque el estudiante no contesta algunas de las preguntas hechas en los formularios. Así, siguiendo lo recomendado por Medina y Galván (2007) para el tratamiento de los datos educativos, y lo realizado por Giménez y Castro (2017), se aplicará la metodología de imputación hot-deck a las variables cuyos missing values superen el 10 % de la muestra total, por país. El hot-deck es un método no paramétrico desarrollado algorítmicamente por Mander y Clayton (1999) el cual, con la información recogida de una selección aleatoria de valores observados [donantes], se sustituyen los datos sin registro -receptores-. Es considerado superior a otros métodos de imputación, ya que no produce sesgos en los estimadores y sus desviaciones estándar, y es más eficiente, porque las variables imputadas conservan su distribución de probabilidad (Durrant, 2009).
El modelo y tratamiento econométrico
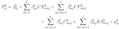
Las investigaciones en Economía de la Educación han empleado, de manera amplia, la función de producción educativa -FPE-, que establece una relación estadística de carácter empírico, entre los resultados educativos (output ) y los factores asociados al aprendizaje (inputs), estimándola a través de distintas técnicas de regresión2. Para América Latina, aún son escasos los resultados empíricos, entre otras razones, gracias a la carencia de datos que, afortunadamente, desde la puesta en marcha del proyecto PISA, se ha venido solventando la falta de información, en especial, la que tiene que ver con los entornos de aprendizaje. En este artículo se usará la FPE estándar, con base en lo propuesto por Hanushek y Woessmann (2012), pero incluirá como dimensión adicional, los entornos de aprendizaje, de manera tal que:
Como output,
corresponde al valor promedio de los diez valores plausibles, del i-ésimo estudiante, en la j-ésima competencia, en el h-ésimo país (Castro et al., 2028). El primer sumatorio recoge los inputs de las características del estudiante -CE- [i = 1, . . ., n], por competencia evaluada [j = 1, 2, 3.], en cada país latinoamericano [h = 1, . . ., 10.]. De igual forma, en el segundo sumatorio se agrupan los inputs de las características de su familia -CF-, el tercero las del centro escolar al cual asiste -C- y, por último, están los inputs asociados a los entornos de aprendizaje -EA-. El término de error está representado por µ
h
y se supone que se distribuye como una normal con media cero y varianza constante
. Dado que la aplicación de esta investigación está orientada a los países latinoamericanos, la elección de cada factor asociado al aprendizaje se hizo con base en los trabajos aplicados a estos países o regiones (ver Figura 2).

Fuente: elaboración propia.
Nota: los signos entre corchetes representan las relaciones esperadas entre cada factor asociado al aprendizaje y el desempeño escolar. Para la variable género, el signo esperado es positivo en lectura y negativo en matemáticas, al comparar los resultados de las mujeres respecto a los hombres, en cada competencia evaluada.
Figura 2 Dimensiones y factores asociados para la estimación de la FPE
Ahora bien, en lo que respecta a los entornos de aprendizaje, al momento de realizar la presente, no se encontraron estudios que incluyan las proporciones profesor-cualificado por alumno y profesor-certificado por alumno3, cuya relación con el éxito escolar se espera positiva. Desde esta perspectiva, este trabajo presenta una novedad adicional, al construir estos dos factores e incluirlos en la FPE. En la Tabla 2 se describen cada uno de los inputs educativos, incluyendo los factores que se tendrán en cuenta para la medición del entorno del aprendizaje.
Tabla 2 Descripción de los factores asociados al aprendizaje incluidos en la FPE
| Factores asociados al aprendizaje [Inputs Educativos] | Estudiantes | Género | Variable dicotómica que toma el valor de 1 si el i-ésimo estudiante es mujer, cero si es hombre. |
|---|---|---|---|
| NoRezago | Variable dicoómica que toma el valor de 1 si el i-ésimo estudiante repitió al menos una vez un curso electivo, cero en caso contrario. | ||
| Preescolar | Variable dicotomica que toma el valor de 1 si el i-ésimo estudiante realizó preescolar antes de la primaria, cero en caso contrario. | ||
| Familia | Libros | Variable dicotómica que toma el valor de 1 si en el hogar del i-ésimo estudiante hay al menos 26 libros, cero en caso contrario. | |
| Educamamá | Variable contínua que hace referencia a los años de educación que tiene la madre, con base en el ISCED. | ||
| Ocupación | Variable continua. Índice construido por la OCDE [HISEI]. Mide el estatus ocupacional más alto logrado por los padres. | ||
| Colegio | Alum/Prof | Variable continua. Calculado por la OECD [STRATIO]. Mide la relación alumnos por profesor. | |
| Público | Variable dicotómica que toma el valor de 1 si el i-ésimo estudiante es de colegio público, cero si es de un centro escolar privado. | ||
| Materiales | Variable continua. Índice construido por la OECD [EDUSHORT]. Mide la calidad de los materiales educativos del colegio. A mayor valor del índice, mejor el material educativo. | ||
| Entornos de Aprendizaje | PCU-Alum | Variable continua. Construcción propia. Calula el ratio de profesores cualificados por alumno, en el centro escolar. | |
| PCE-Alum | Variable continua. Construcción propia. Calcula el ratio de profesores certificados por alumno, en el centro escolar. | ||
| Ambiente | Variable continua. Índice construido por la OEDCD [DISCLIMA]. Mide el clima dentro del salón de clase, teniendo en cuenta que los estudiantes hallan respondido “nunca o casi nunca” a los siguientes eventos: Los estudiantes no escuchan al profesor, hay ruido y desorden, no se trabaja bien, el profesor debe esperar mucho para iniciar. A mayor valor del índice, mejor la disciplina. | ||
| Climaestu | Variable dicontómica que toma el valor de 1 si el director responde “en cierta medida o mucho” si los siguientes eventos afectan el aprendizaje: absentismo, estudiantes se escapan de las clases, los estudiantes no muestran respecto al profesor, consumo de alcohol o sustancias ilegales, los estudiantes amedrentan a otros [bulling], cero en caso contrario. | ||
| Climaprofe | Variable dicontómica que toma el valor de 1 si el director responde “nunca o casi nunca” si los siguientes eventos afectan el aprendizaje: relaciones profesor-alumno pobres, Los profesores tienen que enseñar a alumnos con niveles heterogéneos de habilidades dentro de la misma clase, Los profesores tienen bajas expectativas de los estudiantes, Absentismo del profesorado, Los profesores no satisfacen las necesidades individuales de los estudiantes, Los profesores llegan tarde a clase, los profesores no preparan bien las clases, cero en caso contrario. | ||
| Output educativo: | Éxito Escolar: puntuación obtenido en las pruebas PISA 2018, en Lectura, Matemáticas y Ciencias. | ||
Fuente: elaboración propia a partir de información PISA 2018, OECD (2024).
La descomposición de Shorrocks (1999)-Shapley (1953)
Shapley (1953) introduce un método para distribuir la riqueza desde la perspectiva de la teoría de juegos cooperativos, el cual, se conoce en la literatura como el valor de Shapley. La idea central es la siguiente: en una coalición de jugadores se coopera, y producto de esta cooperación se obtienen unos beneficios globales. Como unos jugadores pueden contribuir más que otros en la coalición, puesto que, por ejemplo, pueden tener un mayor poder de negociación, ¿cuál debería ser el reparto o distribución final que debe recibir cada jugador? El valor de Shapley sugiere cómo distribuir las ganancias totales entre los jugadores4.
A partir del valor de Shapley, Shorrocks (1999) desarrolla una técnica de descomposición para el análisis de las distribuciones o asignaciones del ingreso, por grupos factoriales, al encontrar que los enfoques que usualmente se empleaban en los estudios de pobreza y desigualdad, presentaban una serie de desventajas: 1) la interpretación de la contribución de un factor en específico a la desigualdad, no siempre puede darse de forma significativa, además, puede ser no precisa, 2) en los métodos tradicionales, se imponen restricciones a los índices en los que pueden ser aplicados, 3) establecen algunas limitaciones sobre los factores que contribuyen a la desigualdad , y finalmente 4) no hay metodologías que permitan ver la descomposición de forma simultánea por subgrupos.
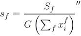
En el presente artículo se adapta el análisis de descomposición de Shorrocks- Shapley al estudio del entorno de aprendizaje, y su contribución al éxito escolar. De esta manera, se define G (x) =
como la desigualdad o heterogeneidad en los resultados de las pruebas PISA 2018, en cada competencia evaluada y para cada país, en función de la suma de la contribución de cada factor asociado al aprendizaje, a la desigualdad [S
f
], con
, como la heterogeneidad en desempeño escolar, resultado de la agregación de la desigualdad por factor. Dividiendo la contribución de cada factor entre el indicador de desigualdad, se obtiene la contribución relativa por factor:
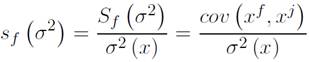
Shorrocks (1982) demuestra que la varianza es el único indicador que permite diferenciar la contribución a la desigualdad -heterogeneidad- de cada fuente. En este caso, la heterogeneidad puede expresarse como una combinación de la desigualdad de cada escuela, y de las interacciones -permutaciones- que surgen entre las variaciones originadas por cada factor asociado al aprendizaje, de esta manera:
(3)
donde ρjf corresponde al coeficiente de correlación entre los colegios, y σ2 (x) arroja un único valor para la contribución de cada factor, a la heterogeneidad en el rendimiento académico, esto es, en el éxito escolar. Por lo tanto, la contribución relativa es:
Finalmente, se estimará la FPE propuesta en la expresión 1 para obtener la varianza del rendimiento académico medio
, para Lectura, Matemáticas y Ciencias, en los 10 países participantes en PISA 2018, como proxy de la heterogeneidad. Así, si
corresponde a la puntuación obtenida por el estudiante i, en la competencia j, en el país h, y X la matriz que representa el conjunto de factores asociados al aprendizaje, incluidos los entornos de aprendizaje, entonces el valor medio del rendimiento es
Por lo que la varianza de
queda como sigue:
Posteriormente, se aplicará la expresión 4 en 6 para “descomponer” dicha varianza, y determinar la contribución de cada factor asociado al aprendizaje, a la heterogeneidad en los resultados.
Resultados
Dimensión estudiantes
En la Tabla 3 se ilustran los efectos de cada uno de los factores asociados a las características del estudiante, incluidos como inputs en la FPE. Las interpretaciones se hacen tomando el valor promedio de los países cuyos coeficientes resultan significativos.
Para el caso de Matemáticas, en todos los países latinoamericanos participantes en PISA 2018, el género es un factor determinante del desempeño escolar. En este caso, tal y como lo demuestra la literatura (ver Cárcamo & Mola, 2012; Woessmann, 2010, entre otros), las mujeres obtienen un menor desempeño en estas pruebas. En promedio, las mujeres lograron una puntuación en esta competencia inferior en 16,77 puntos, respecto a la puntuación obtenida por los hombres. Los países o economías con una mayor brecha por género son Buenos Aires, Argentina, Colombia y Costa Rica. El escenario se revierte al examinar los resultados en Lectura. En esta competencia, ahora las mujeres tienen, en promedio, 12,16 puntos más que los hombres, y los países con mayor brecha por género son República Dominicana, Brasil y Uruguay. Para Ciencias, de nuevo las mujeres están por debajo respecto a los hombres. En promedio, las mujeres obtienen 12,79 puntos menos que los hombres. Para República Dominicana y Panamá este factor no fue significativo.
Al considerar la condición de no repetidor se encontró, para las tres competencias, que este es un factor que influye de manera positiva en el éxito escolar en todos los países latinoamericanos, esto es, no repetir ningún curso electivo, a lo largo de su vida escolar, favorece el desempeño escolar. Este resultado está sobre lo hallado por Oreiro y Valenzuela (2013) en el caso de Uruguay, y Méndez y Serpa (2011) en el caso de Uruguay y Chile. Para Matemáticas, los estudiantes que no repitieron curso están, en media, 47,06 puntos por arriba de quienes sí repiten año. Aquí se destacan Chile y Perú. En Lectura, la puntuación media de los estudiantes no repetidores está 50,17 puntos arriba de quienes sí repitieron al menos una vez, en donde Chile y Uruguay obtienen las mayores brechas. Para Ciencias, el rendimiento medio de los no repetidores de curso es mayor en 45,31 puntos, con respecto a los que sí repitieron, y nuevamente Chile y Uruguay logran las mayores diferencias entre no repetidores y repetidores de curso.
Tabla 3 Dimensión estudiantes, factores asociados al aprendizaje determinantes del desempeño escolar. América Latina, 2018
| Factor Asociado Aprendizaje ↓ | ARG | BRA | CHI | COL | CRI | DOM | MEX | PAN | PER | URY |
|---|---|---|---|---|---|---|---|---|---|---|
| Matemáticas | ||||||||||
| Constante | 341,977*** | 380,086*** | 322,508*** | 364,316*** | 371,810*** | 318,964*** | 299,953*** | 327,156*** | 306,401*** | 346,539*** |
| (6,238) | (4,814) | (5,718) | (5,087) | (4,937) | (5,281) | (8,836) | (8,435) | (5,410) | (6,188) | |
| Mujer | -24,748*** | -16,716*** | -16,921*** | -22,335*** | -20,077*** | -4,933*** | -16,112*** | -10,183*** | -19,327*** | -16,419*** |
| (1,742) | (1,602) | (1,880) | (1,707) | (1,525) | (1,716) | (1,890) | (2,039) | (1,690) | (1,929) | |
| NoRezagoesco | 46,258*** | 52,152*** | 62,589*** | 41,998*** | 42,524*** | 41,480*** | 47,926*** | 41,335*** | 57,675*** | 56,731*** |
| (2,874) | (1,947) | (2,805) | (1,936) | (1,610) | (2,317) | (5,985) | (2,699) | (2,907) | (2,536) | |
| Preescolar | 2,936 | -3,913** | 7,995*** | 3,262 | 7,605*** | -6,518** | -2,341 | 3,043 | 11,341*** | 9,638*** |
| (2,862) | (1,952) | (2,178) | (2,499) | (1,652) | (2,531) | (3,640) | (2,854) | (2,992) | (3,511) | |
| Lectura | ||||||||||
| Constante | 342,369*** | 397,071*** | 335,756*** | 368,813*** | 377,416*** | 319,702*** | 304,856*** | 334,567*** | 300,275*** | 341,653*** |
| (7,960) | (5,909) | (6,815) | (5,957) | (5,721) | (6,465) | (9,311) | (10,160) | (6,446) | (7,444) | |
| Mujer | 4,212* | 17,739*** | 10,145*** | 8,352*** | 12,960*** | 24,133*** | 8,292*** | 13,577*** | 7,709*** | 14,538*** |
| (2,151) | (1,957) | (2,211) | (2,006) | (1,756) | (2,123) | (2,096) | (2,431) | (1,982) | (2,341) | |
| NoRezagoesco | 52,298*** | 54,322*** | 69,135*** | 41,125*** | 36,469*** | 45,687*** | 44,062*** | 44,659*** | 52,592*** | 61,441*** |
| (3,650) | (2,435) | (3,273) | (2,288) | (1,901) | (2,599) | (6,560) | (3,240) | (3,671) | (3,235) | |
| Preescolar | 7,523** | -11,952*** | 7,003*** | -2,502 | 0,541 | -4,082 | -4,603 | -2,806 | 1,315 | -2,118 |
| (3,670) | (2,380) | (2,542) | (2,676) | (1,913) | (3,196) | (3,778) | (3,551) | (3,592) | (4,502) | |
| Ciencias | ||||||||||
| Constante | 351,030*** | 396,377*** | 347,716*** | 386,165*** | 382,535*** | 325,873*** | 330,646*** | 332,925*** | 323,658*** | 358,971*** |
| 6,695 | (5,085) | (5,814) | (5,462) | (4,872) | (5,390) | (7,664) | (9,858) | (5,492) | (6,912) | |
| Mujer | -18,844*** | -6,751*** | -11,732*** | -15,294*** | -10,733*** | 2,629 | -12,196*** | -2,089 | -15,998*** | -10,812*** |
| 1,884 | (1,688) | (1,946) | (1,830) | (1,502) | (1,778) | (1,818) | (2,364) | (1,675) | (2,110) | |
| NoRezagoesco | 48,699*** | 52,819*** | 59,338*** | 37,748*** | 39,151*** | 33,726*** | 31,573*** | 43,557*** | 52,593*** | 53,979*** |
| (2,974) | (2,075) | (2,886) | (2,082) | (1,592) | (2,163) | (5,509) | (3,036) | (3,088) | (2,805) | |
| Preescolar | 6,590** | -10,097*** | 5,041** | 3,212 | 0,885 | 0,729 | -6,128* | 0,812 | 2,314 | 0,966 |
| (3,219) | (2,032) | (2,270) | (2,535) | (1,672) | (2,598) | (3,426) | (3,449) | (3,001) | (3,930) |
Nota: A.L. América Latina. *** sig. 1 % , ** sig. 5 %, * sig. 10 %. Estimación MCO con efectos fijos por escuela. Desviaciones estándar robustas entre paréntesis. ARG hace referencia a Buenos Aires, Argentina.
Fuente: elaboración propia a partir de información PISA 2018, OECD.
Para Preescolar, en algunos países o economías, el que el estudiante haya cursado preescolar, no es un determinante en su desempeño académico, como en Buenos Aires, Argentina, Colombia, México y Panamá, para Matemáticas. En Lectura y Ciencias, sólo fue significativo en Buenos Aires, Buenos Aires, Argentina, Brasil y Chile.
Dimensión familiar
En términos generales, los factores asociados a las características familiares incluidos en el modelo son determinantes en el desempeño educativo de los estudiantes latinoamericanos participantes en PISA 2018. En la Tabla 4 se ven cada uno de ellos.
La cantidad de libros que hay en el hogar del estudiante tiene un efecto positivo en las tres competencias evaluadas, tal y como lo encontrado por Thieme et al. (2013). En el caso particular de Matemáticas, si en el hogar del estudiante hay al menos 100 libros, su puntuación media es mayor en 22,95 puntos, respecto a los estudiantes cuyos hogares tienen menos de 100 libros. Por arriba de este promedio se encuentran Perú, Chile, Uruguay, Buenos Aires, Argentina y Colombia. En Lectura, en promedio, un estudiante obtiene 24,06 puntos más, si tiene al menos 100 libros en el hogar, donde se destacan los estudiantes de Uruguay, Perú y Buenos Aires, Argentina. En Ciencias, esta brecha es de 23,77 puntos, y los países con mayor puntuación en este factor son Perú, Buenos Aires, Argentina y Colombia.
Respecto a la educación de la madre, en Matemáticas, en países como Colombia, Costa Rica y República Dominicana, el nivel educativo de la madre no fue significativo. Teniendo en cuenta los demás países, se encontró que un año adicional en el nivel educativo de la madre, hace que el estudiante obtenga 1,12 puntos más en esta competencia. En Lectura, para Brasil, Colombia, República Dominicana y Uruguay, este factor no tiene influencia alguna en el desempeño académico. El efecto medio de los demás países es de 1,33 puntos más, por cada año adicional en el nivel educativo de la madre. En Ciencias, el efecto medio de la educación de la madre es de 1,13 puntos, excluyendo a Colombia, porque este componente no fue significativo en este país (Castro et al., 2017).
Tabla 4 Dimensión familia, factores asociados al aprendizaje determinantes del desempeño escolar. América Latina, 2018
| Factor Asociado Aprendizaje | ARG | BRA | CHI | COL | CRI | DOM | MEX | PAN | PER | URY |
|---|---|---|---|---|---|---|---|---|---|---|
| Matemáticas | ||||||||||
| Libros | 25,568*** | 22,594*** | 27,275*** | 24,562*** | 22,338*** | 12,916*** | 21,162*** | 15,899*** | 30,791*** | 26,432*** |
| (1,937) | (1,989) | (2,000) | (2,023) | (1,966) | (2,358) | (2,084) | (2,350) | (1,986) | (2,281) | |
| Educamama | 1,166*** | 0,625*** | 1,314*** | -0,186 | 0,280 | 0,079 | 1,397*** | 1,063*** | 1,386*** | 0,944*** |
| (0,230) | (0,186) | (0,343) | (0,222) | (0,176) | (0,227) | (0,278) | (0,251) | (0,279) | (0,323) | |
| Ocupación | 0,391*** | 0,511*** | 0,636*** | 0,444*** | 0,460*** | 0,433*** | 0,599*** | 0,196*** | 0,529*** | 0,500*** |
| (0,047) | (0,043) | (0,050) | (0,045) | (0,040) | (0,043) | (0,055) | (0,049) | (0,049) | (0,056) | |
| Lectura | ||||||||||
| Libros | 28,284*** | 25,907*** | 27,946*** | 27,109*** | 22,898*** | 12,684*** | 20,236*** | 13,840*** | 30,054*** | 31,632*** |
| (2,400) | (2,432) | (2,364) | (2,305) | (2,274) | (2,916) | (2,423) | (2,762) | (2,322) | (2,778) | |
| Educamama | 1,179*** | 0,284 | 1,295*** | -0,122 | 0,556*** | -0,216 | 1,876*** | 1,680*** | 1,440*** | 0,543 |
| (0,288) | (0,233) | (0,390) | (0,271) | (0,205) | (0,285) | (0,304) | (0,305) | (0,332) | (0,382) | |
| Ocupación | 0,395*** | 0,595*** | 0,661*** | 0,566*** | 0,587*** | 0,506*** | 0,731*** | 0,269*** | 0,675*** | 0,665*** |
| (0,058) | (0,053) | (0,058) | (0,053) | (0,046) | (0,053) | (0,062) | (0,059) | (0,058) | (0,068) | |
| Ciencias | ||||||||||
| Libros | 29,086*** | 25,324*** | 29,346*** | 28,258*** | 19,564*** | 11,012*** | 22,732*** | 13,541*** | 31,107*** | 27,714*** |
| 2,088 | (2,080) | (2,088) | (2,115) | (1,927) | (2,397) | (2,090) | (2,713) | (1,976) | (2,513) | |
| Educamama | 1,881*** | 0,521*** | 1,431*** | -0,284 | 0,761*** | 0,479** | 1,467*** | 1,631*** | 1,026*** | 0,977*** |
| (0,248) | (0,198) | (0,333) | (0,245) | (0,173) | (0,244) | (0,265) | (0,295) | (0,277) | (0,347) | |
| Ocupación | 0,378*** | 0,569*** | 0,604*** | 0,451*** | 0,512*** | 0,391*** | 0,633*** | 0,236*** | 0,563*** | 0,541*** |
| 0,051 | (0,046) | (0,051) | (0,048) | (0,040) | (0,044) | (0,054) | (0,057) | (0,050) | (0,061) | |
Nota: A.L. América Latina. *** sig. 1 %, ** sig. 5 %, * sig. 10 %. Estimación MCO con efectos fijos por escuela. Desviaciones estándar robustas entre paréntesis. ARG hace referencia a Buenos Aires, Argentina.
Fuente: elaboración propia a partir de información PISA 2018, OECD.
En relación con el nivel de ocupación de los padres, se encuentra que hay un efecto directo sobre el éxito escolar del estudiante, esto es, a mayor nivel de ocupación, mayor es el desempeño en PISA 2018, tal y como lo establece Castro et al. (2018) con información PISA 2012, para los países de América Latina. Cuando el estatus ocupacional alcanzado por los padres es mayor, la puntuación media en matemáticas aumenta en 0,47 puntos, la de Lectura en 0,56 puntos y la de Ciencias en 0,48 puntos. Los países donde los niveles de ocupación de los padres tienen un mayor efecto en Matemáticas son México, Perú y Brasil, en Lectura México, Perú y Uruguay, y en Ciencias México, Chile y Brasil.
Dimensión escolar
En la Tabla 5 se muestran los resultados de la dimensión escolar. Como se ve, estos son heterogéneos, ya que no en todos los países los factores incluidos como inputs en la FPE son significativos, y en otros casos, los signos esperados no son los encontrados. La proporción alumno-profesor, guarda una relación inversa con el desempeño escolar en Brasil, República Dominicana y Panamá, en las tres competencias evaluadas, acorde con lo establecido en anteriores trabajos (ver Woessmann, 2010). En promedio, al aumentar esta proporción en una unidad, la puntuación en Matemáticas se reduce 0,47 puntos, la de Lectura baja 0,43 puntos, y en Ciencias disminuye 0,40 puntos (promedio para Brasil, República Dominicana y Panamá). Sin embargo, en países como México, Perú, Uruguay y Costa Rica dicha relación es directa, lo que no es lo usual.
Tabla 5 Dimensión escuela, factores asociados al aprendizaje determinantes del desempeño escolar. América Latina, 2018
| Factor Asociado Aprendizaje | ARG | BRA | CHI | COL | CRI | DOM | MEX | PAN | PER | URY |
|---|---|---|---|---|---|---|---|---|---|---|
| Matemáticas | ||||||||||
| AlumProfe | -0,051 | -0,439*** | -0,073 | -0,080 | 0,025 | -0,476*** | 0,233*** | -0,502*** | 0,132* | 0,674*** |
| (0,134) | (0,051) | (0,102) | (0,080) | (0,138) | (0,059) | (0,049) | (0,107) | (0,078) | (0,136) | |
| Público | -34,512*** | -54,681*** | -18,694*** | -41,609*** | -43,668*** | -31,756*** | 3,483 | -45,274*** | -30,953*** | -24,832*** |
| (2,363) | (2,931) | (2,405) | (2,939) | (3,119) | (2,675) | (3,324) | (4,168) | (2,700) | (3,515) | |
| Edumate | -3,567*** | -6,269*** | -4,691*** | -4,332*** | 0,822 | -3,154*** | -8,898*** | -6,517*** | -3,892*** | -1,152 |
| (0,797) | (0,819) | (1,125) | (0,972) | (0,637) | (0,888) | (0,843) | (1,218) | (0,946) | (0,979) | |
| Lectura | ||||||||||
| AlumProfe | 0,189 | -0,534*** | 0,129 | 0,025 | 0,552*** | -0,481*** | 0,289*** | -0,277** | 0,138 | 0,781*** |
| (0,163) | (0,062) | (0,131) | (0,092) | (0,157) | (0,068) | (0,055) | (0,130) | (0,088) | (0,170) | |
| Público | -41,994*** | -55,225*** | -14,548*** | -49,634*** | -52,843*** | -37,849*** | -4,617 | -41,793*** | -34,920*** | -19,297*** |
| (2,857) | (3,382) | (2,872) | (3,597) | (3,516) | (3,324) | (3,786) | (4,905) | (3,201) | (4,142) | |
| Edumate | -3,568*** | -7,980*** | -4,450*** | -5,469*** | 0,586 | -4,562*** | -8,530*** | -8,350*** | -6,127*** | 0,326 |
| (0,990) | (1,015) | (1,340) | (1,109) | (0,720) | (1,135) | (0,931) | (1,468) | (1,106) | (1,180) | |
| Ciencias | ||||||||||
| AlumProfe | -0,025 | -0,479*** | -0,021 | 0,003 | 0,250* | -0,349*** | 0,236*** | -0,371*** | 0,035 | 0,539*** |
| (0,143) | (0,053) | (0,112) | (0,084) | (0,134) | (0,056) | (0,048) | (0,127) | (0,076) | (0,152) | |
| Público | -34,418*** | -50,301*** | -15,065*** | -44,944*** | -48,458*** | -35,495*** | 3,763 | -50,609*** | -26,689*** | -17,845*** |
| (2,559) | (2,982) | (2,479) | (3,222) | (3,001) | (2,800) | (3,259) | (4,622) | (2,741) | (4,015) | |
| Edumate | -3,244*** | -6,795*** | -6,432*** | -3,806*** | 0,869 | -3,030*** | -7,230*** | -6,309*** | -4,813*** | -1,918 |
| 0,877 | (0,896) | (1,176) | (1,010) | (0,634) | (0,970) | (0,823) | (1,397) | (0,932) | (1,073) | |
Nota: A.L. América Latina. *** sig. 1 %, ** sig. 5 %, * sig. 10 %. Estimación MCO con efectos fijos por escuela. Desviaciones estándar robustas entre paréntesis. ARG hace referencia a Buenos Aires, Argentina.
Fuente: elaboración propia a partir de información PISA 2018, OECD.
Desde el punto de vista de las desigualdades educativas entre los centros públicos y privados, el presente artículo halla la misma relación que encontraron Gamboa y Waltenberg (2012) y Krüger y Formichella (2012): los centros públicos obtienen, en promedio, un menor desempeño respecto a los centros privados. Para Matemáticas, los colegios públicos tienen 36,22 puntos menos, exceptuando a México, donde no se dio una relación significativa, en ninguna de las tres competencias. Los países con una mayor desigualdad educativa son Brasil, Panamá y Costa Rica. Para el caso de Lectura, la puntuación promedio de los colegios públicos estuvo 38,68 puntos por debajo de la lograda por los centros privados. En esta competencia, los países con mayor brecha por tipo de centro escolar son Brasil, Costa Rica y Colombia. En Ciencias, en promedio, el puntaje de los colegios públicos es menor en 35,98 puntos, en donde Brasil, Panamá y Costa Rica, nuevamente tienen las mayores desigualdades educativas.
El último factor de la dimensión escolar es significativo y se relaciona directamente con el éxito escolar, tal y como se esperaba, menos en Costa Rica y Uruguay, donde no resultó un factor determinante. Para el promedio en las tres competencias, se encontró que, cuando la calidad de los materiales educativos disminuye en una unidad, la puntuación en Matemáticas baja 5,16 puntos, en Lectura disminuye 6,13 puntos, y en Ciencias cae 5,20 puntos. Los países o regiones donde el efecto es menor son Buenos Aires, Argentina, Colombia, República Dominicana y Perú.
Dimensión entornos de aprendizaje
Los resultados para esta última dimensión se ilustran en la Tabla 6. Para el número de profesores certificados por alumno, se encontró, de manera general, que este factor es determinante en el éxito escolar de los estudiantes latinoamericanos participantes en PISA 2018.
En particular, para el caso de Matemáticas, cuando el número de profesores certificados por alumno aumenta, la puntuación media sube 0,12 puntos -exceptuando a Chile y Costa Rica-, en Lectura el puntaje medio crece 0,14 puntos -sin México-, y en Ciencias, este aumento es de 0,12 puntos -sin Costa Rica-. Perú, Uruguay y Panamá son los países con un mayor efecto.
Tabla 6 Dimensión Entornos de Aprendizaje, factores asociados al aprendizaje determinantes del desempeño escolar.
| Factor Asociado Aprendizaje | ARG | BRA | CHI | COL | CRI | DOM | MEX | PAN | PER | URY |
|---|---|---|---|---|---|---|---|---|---|---|
| Matemáticas | ||||||||||
| ProfCer | 0,068*** | 0,077*** | 0,017 | 0,069*** | 0,032 | 0,060*** | 0,110*** | 0,145*** | 0,278*** | 0,178*** |
| (0,011) | (0,015) | (0,023) | (0,021) | (0,026) | (0,018) | (0,020) | (0,019) | (0,026) | (0,022) | |
| Profecua | 8,662** | 14,323*** | 12,522*** | 26,432*** | 16,325*** | 13,400*** | 23,427*** | 17,382*** | 14,354*** | 7,379*** |
| (3,863) | (1,918) | (2,767) | (2,473) | (2,717) | (2,656) | (4,530) | (6,367) | (2,272) | (1,958) | |
| Ambiente | 5,653*** | 9,058*** | 4,528*** | 7,866*** | 8,016*** | 8,831*** | 11,011*** | 2,730** | 4,990*** | 8,221*** |
| (1,012) | (0,816) | (0,952) | (1,058) | (0,788) | (0,892) | (1,040) | (1,182) | (1,068) | (1,025) | |
| Climaestu | -20,431*** | -11,764*** | -13,113*** | -9,659*** | 1,102 | -15,426*** | -3,338 | -4,139 | -10,782*** | -18,845*** |
| (2,164) | (2,100) | (2,165) | (2,145) | (2,041) | (1,812) | (2,118) | (2,640) | (2,038) | (2,524) | |
| Climaprofe | 3,364* | 0,855 | -6,360*** | 6,844*** | -7,792*** | -0,629 | 8,300*** | -3,257 | 1,510 | 0,834 |
| (1,914) | (1,868) | (2,088) | (1,819) | (1,837) | (2,000) | (2,294) | (2,185) | (1,918) | (2,404) | |
| Lectura | ||||||||||
| ProfCer | 0,088*** | 0,099*** | 0,025 | 0,094*** | 0,073** | 0,103*** | 0,157*** | 0,196*** | 0,312*** | 0,168*** |
| (0,014) | (0,019) | (0,027) | (0,025) | (0,030) | (0,022) | (0,023) | (0,024) | (0,031) | (0,026) | |
| Profecua | 10,428** | 15,480*** | 12,727*** | 28,190*** | 15,943*** | 16,460*** | 18,393*** | 13,623* | 20,345*** | 6,510*** |
| (4,933) | (2,478) | (3,239) | (2,824) | (3,012) | (3,248) | (4,847) | (7,545) | (2,664) | (2,366) | |
| Ambiente | 8,038*** | 9,942*** | 7,137*** | 8,911*** | 7,907*** | 8,577*** | 11,345*** | 6,074*** | 4,348*** | 10,453*** |
| (1,243) | (1,020) | (1,157) | (1,197) | (0,928) | (1,107) | (1,173) | (1,419) | (1,273) | (1,264) | |
| Climaestu | -24,927*** | -8,316*** | -13,519*** | -7,625*** | 1,399 | -20,129*** | -5,256** | -12,859*** | -9,298*** | -21,245*** |
| (2,660) | (2,544) | (2,628) | (2,517) | (2,308) | (2,290) | (2,314) | (3,160) | (2,409) | (3,039) | |
| Climaprofe | 4,492* | 0,171 | -7,968*** | 7,716*** | -5,334** | -1,525 | 10,171*** | -3,113 | -0,485 | -0,822 |
| (2,334) | (2,257) | (2,529) | (2,116) | (2,076) | (2,431) | (2,495) | (2,655) | (2,270) | (2,991) | |
| Lectura | ||||||||||
| ProfCer | 0,077*** | 0,081*** | 0,051** | 0,068*** | 0,027 | 0,082*** | 0,127*** | 0,164*** | 0,248*** | 0,170*** |
| (0,012) | (0,016) | (0,022) | (0,022) | (0,027) | (0,019) | (0,020) | (0,023) | (0,025) | (0,023) | |
| Profecua | 7,115* | 14,521*** | 9,389*** | 23,816*** | 15,961*** | 11,149*** | 17,221*** | 17,817** | 15,045*** | 5,535*** |
| (4,180) | (2,133) | (2,884) | (2,585) | (2,657) | (2,672) | (4,279) | (7,671) | (2,235) | (2,126) | |
| Ambiente | 6,758*** | 9,040*** | 6,202*** | 7,439*** | 4,392*** | 7,351*** | 9,822*** | 6,300*** | 2,477** | 9,725*** |
| (1,058) | (0,870) | (1,023) | (1,092) | (0,786) | (0,909) | (1,001) | (1,371) | (1,070) | (1,122) | |
| Climaestu | -21,705*** | -12,826*** | -11,975*** | -7,022*** | -0,402 | -18,006*** | -6,453*** | -9,116*** | -10,537*** | -19,333*** |
| (2,378) | (2,190) | (2,255) | (2,303) | (1,982) | (1,895) | (2,031) | (3,054) | (2,046) | (2,781) | |
| Climaprofe | 2,819 | 0,926 | -3,406 | 5,486*** | -5,425*** | -1,912 | 6,676*** | -1,597 | 3,368* | -1,582 |
| (2,064) | (1,949) | (2,199) | (1,969) | (1,768) | (2,046) | (2,177) | (2,620) | (1,935) | (2,692) | |
Nota: A.L. América Latina. *** sig. 1 %, ** sig. 5 %, * sig. 10 %. Estimación MCO con efectos fijos por escuela. Desviaciones estándar robustas entre paréntesis. ARG hace referencia a Buenos Aires, Argentina.
Fuente: elaboración propia a partir de información PISA 2018, OECD.
Respecto al número de profesores cualificados por alumno, se encontró, para todos los países de América Latina, en las tres competencias evaluadas en PISA2018, que es un determinante del desempeño académico de los estudiantes. Así, si la cantidad de profesores cualificados por alumno aumenta, entonces la puntuación promedio en Matemáticas crece 15,42 puntos, en Lectura sube 15,81 puntos y en Ciencias sube 13,76 puntos. Los países donde este factor tiene un mayor efecto en Matemáticas son Colombia y México, en Lectura Colombia y Perú, y en Ciencias Colombia y Panamá. Al tener en cuenta el clima dentro del salón de clase, desde el punto de vista de la disciplina, se estimó que cuando el clima dentro del salón de clase mejora, los estudiantes aumentan su rendimiento en las tres competencias. Los países donde el Ambiente escolar tiene un mayor efecto son, para Matemáticas, México y Brasil, para Lectura y Ciencias, México y Uruguay.
En lo concerniente con el absentismo de los estudiantes, la falta de respeto al profesor, el bullying, entre otras (ver Tabla 2), los resultados para Matemáticas indican que, cuando se presenta el absentismo, bullying, y demás aspectos dentro del salón de clase, la puntuación baja en 14,28 puntos. En Lectura, el rendimiento baja en 13,68 puntos. En el caso de Ciencias, el mal clima escolar, hace que los estudiantes, en promedio, tengan 12,99 puntos menos. Los países o economías donde se presenta el más bajo rendimiento a raíz del mal clima escolar dentro del salón de clase, en las tres competencias, son Buenos Aires, Argentina, Uruguay y República Dominicana. Para Costa Rica -en las tres competencias- y para México y Panamá -en Matemáticas-, no hay una relación estadísticamente significativa con el rendimiento escolar.
Al considerar el absentismo del profesorado, las relaciones pobres entre profesor y alumno, la puntualidad de los docentes, y los demás aspectos descritos en la Tabla 2, los resultados no son tan homogéneos como en el caso anterior, ya que, en algunos países el clima escolar, originado por los docentes, no es significativo, y en otros sí. No obstante, la relación entre clima del profesorado y el éxito escolar sí es la esperada, es decir, hay una relación positiva entre estas dos. En específico, los resultados indican que, para países como Chile y Costa Rica, el mal clima del profesorado reduce, en promedio, la puntuación de Matemáticas en 7,07 puntos, la de Lectura en 6,65 puntos, y la de Ciencias en 5,42 puntos [solo Costa Rica], y para Buenos Aires, Argentina, Colombia, México, un mejor clima escolar originada por los docentes, aumenta la puntuación media de Matemáticas en 6,17 puntos, sube el puntaje de Lectura en 7,46 puntos, y el de Ciencias en 5,18 puntos -aquí se excluye a Buenos Aires, Argentina, pero se incluye Perú -.
Ahora bien, como se mencionó, una de las novedades de este artículo se encuentra en el hecho de incluir como un cuarto componente en la FPE, los entornos de aprendizaje que, a su vez, agrupan los entornos escolares y lo que sucede dentro del aula de clase. Los resultados interpretados en este apartado dan cuenta que, efectivamente, los entornos de aprendizaje son una dimensión que condiciona el éxito escolar de los estudiantes, ya que cuatro de los cinco inputs de los entornos resultaron significativos.
Heterogeneidad en el éxito escolar
Los resultados empíricos obtenidos en las distintas investigaciones enmarcadas dentro de la Economía de la Educación no han establecido un consenso respecto a qué dimensión asociada al aprendizaje determina en mayor medida, las diferencias en su desempeño académico. Para ello, se han empleado distintas fuentes de información -datos-, y diferentes técnicas y metodologías, donde en los últimos años, los Modelos Multinivel han tenido un gran auge, ya que permiten identificar la proporción de la varianza que es explicada por las características de los estudiantes y de su familia y las del centro escolar.
Los resultados aquí son ambiguos, hay trabajos que apuntan a las características del centro escolar, como el factor de mayor peso al explicar la heterogeneidad del desempeño escolar, y hay otros que argumentan que son características del estudiante y su familia, la dimensión que explica la variabilidad en resultados académicos. No obstante, si bien no hay consenso, existe un mayor número de estudios sobre este último resultado, y para el caso de América Latina, comprobadas por Cervini (2012).
En esta sección, se busca determinar cuál de las cuatro dimensiones, asociadas al aprendizaje determinan en mayor proporción, la heterogeneidad del rendimiento académico, asociado al éxito escolar de los estudiantes. Una de las diferencias con respecto a las demás investigaciones que se proponen el mismo objetivo, se encuentra en la metodología, ya que aquí se aplica la técnica de descomposición de Shorrocks-Shapley. Los resultados de dicha aplicación, para el promedio de los diez países latinoamericanos que participaron en PISA 2018, se muestran en la Figura 3.

Fuente: elaboración propia a partir de información PISA 218, OECD.
Nota: la suma vertical de cada dimensión, por competencia evaluada, arroja el 100 %.
Figura 3 Contribución relativa en América Latina, 2018
Al tener en cuenta la contribución que hace cada dimensión asociada al aprendizaje, a la variabilidad de los resultados obtenidos por los estudiantes de América Latina, se encontró que, para el promedio de los 10 países latinoamericanos, los entornos de aprendizaje son los que más contribuyen a la heterogeneidad en dichos resultados. En segundo lugar, está la dimensión estudiantes, en tercer lugar, la dimensión escuela y en último lugar, se ubican la dimensión familia.
Por competencia evaluada se estimó que, la variabilidad en los resultados en Matemáticas es explicada en primer lugar, en un 29,09 % por los entornos de aprendizaje. Para Lectura y Ciencias, la contribución de esta dimensión a dicha variabilidad es del 28,01 % y del 28,71 %, respectivamente. Las características del estudiante hacen que exista una divergencia en resultados académicos, en una proporción igual a 24,63 %, en Matemáticas, 26,17 % en Lectura, y 26,64 % en Ciencias, lo que la ubica como la segunda dimensión. Finalmente, la dimensión escuela contribuye en 23,68 %, 23,61 % y 23,61 % para Matemáticas, Lectura y Ciencias, lo que la ubica en tercer lugar, y en último lugar, se cuenta la dimensión familiar, que contribuye en 20,85 %, a la variación de los resultados en Matemáticas, en Lectura 21,08 % y Ciencias 19,89 %.
Matemáticas. Al observar los resultados por países, se encuentra que, exceptuando México y Uruguay, el resultado obtenido para el promedio latinoamericano, se mantiene para cada una de las regiones, es decir, en ocho de los diez países, los entornos de aprendizaje se constituyen como la dimensión de mayor contribución relativa a la variabilidad del éxito escolar (ver Tabla 7).
Tabla 7 Contribución relativa en Matemáticas. América Latina, 2018
| Dimensión | |||||
|---|---|---|---|---|---|
| País | Estudiantes | Familia | Escuela | Entorno A. | Total |
| ARG | 28,30 % | 17,97 % | 23,14 % | 28,34 % | 100 % |
| BRA | 27,25 % | 23,95 % | 18,49 % | 29,26 % | 100 % |
| CHI | 23,37 % | 13,57 % | 29,62 % | 34,49 % | 100 % |
| COL | 23,25 % | 23,34 % | 20,84 % | 30,36 % | 100 % |
| CRI | 18,08 % | 22,99 % | 22,99 % | 30,12 % | 100 % |
| DOM | 25,61 % | 25,49 % | 21,92 % | 26,19 % | 100 % |
| MEX | 26,20 % | 18,64 % | 26,34 % | 25,56 % | 100 % |
| PAN | 26,30 % | 26,19 % | 17,62 % | 27,76 % | 100 % |
| PER | 28,04 % | 15,56 % | 25,45 % | 29,75 % | 100 % |
| URY | 19,85 % | 20,82 % | 30,36 % | 29,07 % | 100 % |
Nota: ARG hace referencia a Buenos Aires, Argentina.
Fuente: elaboración propia a partir de información PISA 218, OECD.
La proporción de las demás dimensiones en esta competencia, hacen que se distribuyan de forma distinta de acuerdo con el país o región. Por ejemplo, la segunda dimensión que más contribución hace a la heterogeneidad en desempeño escolar, para Buenos Aires, Argentina, Perú, Brasil, Panamá, México y República Dominicana, es la dimensión estudiante. En Colombia y Costa Rica, este lugar lo ocupa la dimensión familiar, en Chile corresponde a la dimensión escolar, y en Uruguay la dimensión entorno de aprendizaje. En tercer lugar, para Panamá, República Dominicana, Brasil y Uruguay, corresponde a la dimensión familiar, mientras que, para Chile y Colombia, el tercer lugar es para la dimensión estudiantes, para Perú y Buenos Aires, Argentina lo es la dimensión escuela, y para México los entornos de aprendizaje ocupan este lugar (ver Tabla 7).
Lectura. Para esta competencia, los resultados ilustran que, la dimensión de mayor peso relativo está “distribuida” entre las cuatro dimensiones. Lo que se quiere decir es lo siguiente: en países como Chile, Colombia, Costa Rica y Brasil los entornos de aprendizaje corresponden a la dimensión de mayor contribución relativa, pero este primer lugar lo ocupa la dimensión estudiante en regiones como Perú, Buenos Aires, Argentina, México y Panamá. Así mismo, la dimensión escuela en el caso de Uruguay, y en el caso de República Dominicana la dimensión familiar se ubica en el primer lugar (ver Tabla 8).
Tabla 8 Contribución relativa en Lectura. América Latina, 2018
| Dimensión | |||||
|---|---|---|---|---|---|
| País | Estudiantes | Familia | Escuela | Entorno A. | Total |
| ARG | 29,72 % | 19,63 % | 22,55 % | 26,80 % | 100 % |
| BRA | 26,72 % | 24,00 % | 20,23 % | 28,61 % | 100 % |
| CHI | 22,09 % | 16,40 % | 29,42 % | 30,99 % | 100 % |
| COL | 27,77 % | 22,19 % | 19,66 % | 29,59 % | 100 % |
| CRI | 24,41 % | 20,96 % | 21,35 % | 29,37 % | 100 % |
| DOM | 22,82 % | 27,32 % | 22,67 % | 26,44 % | 100 % |
| MEX | 28,70 % | 17,57 % | 26,16 % | 26,04 % | 100 % |
| PAN | 27,25 % | 26,66 % | 19,23 % | 26,19 % | 100 % |
| PER | 31,21 % | 15,79 % | 23,78 % | 27,97 % | 100 % |
| URY | 21,02 % | 20,32 % | 31,04 % | 28,09 % | 100 % |
Nota: ARG hace referencia a Buenos Aires, Argentina.
Fuente: elaboración propia a partir de información PISA 218, OECD
Al considerar cuál es la segunda dimensión que más contribución relativa hace a la variabilidad en la puntuación obtenida por los estudiantes latinoamericanos en Lectura, también se encontró que cambia de acuerdo con la región. De esta manera, el segundo lugar de mayor peso, lo ocupa la dimensión entornos de aprendizaje, en Uruguay, Perú, Buenos Aires, Argentina y República Dominicana, la dimensión estudiante, en Colombia, Brasil y Costa Rica, la dimensión escuela en Chile y México, y la dimensión familiar, en Panamá. El tercer lugar es ocupado por la dimensión escuela en Perú, Buenos Aires, Argentina y Costa Rica, la dimensión estudiante en República Dominicana, Chile y Uruguay, la dimensión familiar en Brasil [y Colombia, y la dimensión entorno escolar ocupa el tercer lugar en Panamá y México (ver Tabla 8).
Ciencias. En esta última competencia, los resultados muestran que, en Chile, Costa Rica, Colombia, Perú y Brasil la variabilidad en la puntuación lograda por los estudiantes en Ciencias es explicada en mayor proporción por la dimensión entorno escolar. Entre tanto, para Buenos Aires, Argentina, México, Panamá y República Dominicana, este primer renglón es ocupado por la dimensión estudiantes. En el caso de Uruguay la dimensión escuela ocupó el primer lugar (ver Tabla 9).
Tabla 9 Contribución relativa en Ciencias. América Latina, 2018
| Dimensiónc | |||||
|---|---|---|---|---|---|
| País | Estudiantes | Familia | Escuela | Entorno A. | Total |
| ARG | 29,90 % | 16,44 % | 24,65 % | 28,44 % | 100 % |
| BRA | 27,84 % | 23,11 % | 19,44 % | 28,96 % | 100 % |
| CHI | 24,76 % | 13,07 % | 29,20 % | 33,42 % | 100 % |
| COL | 26,13 % | 21,79 % | 20,08 % | 29,92 % | 100 % |
| CRI | 22,46 % | 20,51 % | 20,97 % | 31,15 % | 100 % |
| DOM | 27,57 % | 25,52 % | 21,12 % | 25,55 % | 100 % |
| MEX | 28,69 % | 17,23 % | 27,34 % | 26,21 % | 100 % |
| PAN | 27,84 % | 26,42 % | 17,59 % | 26,91 % | 100 % |
| PER | 29,34 % | 14,74 % | 25,19 % | 29,60 % | 100 % |
| URY | 21,91 % | 20,11 % | 30,48 % | 26,94 % | 100 % |
Nota: ARG hace referencia a Buenos Aires, Argentina.
Fuente: elaboración propia a partir de información PISA 218, OECD.
Como segunda dimensión de mayor contribución relativa en la heterogeneidad de resultados en Ciencias, se encontró que, para los países o economías de Buenos Aires, Argentina, Uruguay, Panamá y República Dominicana, la dimensión entornos de aprendizaje logra este lugar. Así mismo, la dimensión estudiante es la segunda de mayor peso, en los países de Perú, Brasil, Colombia y Costa Rica, y la dimensión escuela lo es en Chile y México. En tercer lugar, se encuentra la dimensión familiar para Panamá, República Dominicana, Brasil y Colombia. Para Perú, Buenos Aires, Argentina y Costa Rica, los factores de escuela son los que se ubican como la tercera dimensión. Para Chile y Uruguay lo es la dimensión de estudiantes, y para México corresponde a la dimensión entornos de aprendizaje (ver Tabla 9).
Conclusiones
A partir de la estimación de la FPE y de la aplicación de la descomposición de Shorrocks-Shapley se determinó el efecto que tienen los entornos de aprendizaje sobre el desempeño académico escolar, y el peso relativo que tienen estos sobre la heterogeneidad en los resultados obtenidos por los estudiantes de los países latinoamericanos que participaron en PISA 2018.
Como principales determinantes del desempeño escolar se encontró que, dentro de la dimensión de estudiantes, el género y el no rezago escolar, son condicionantes del éxito escolar. Dentro de la dimensión familiar, se establece que tanto la cantidad de libros en el hogar, como el nivel de ocupación de los padres, son factores condicionantes del éxito escolar. Ambos factores se relacionan de forma directa con el desempeño académico. Entre tanto, si bien el nivel educativo de la madre también tiene un efecto positivo en el rendimiento escolar, dicho efecto, no fue significativo para algunos países de América Latina (ver Castroet al., 2017).
Desde la dimensión escolar se encontró que la proporción alumno-profesor tienen un efecto negativo en algunos países -Brasil, República Dominicana y Panamá-, mientras que en otros es positivo -México, Perú y Uruguay-. Ahora bien, en América Latina persisten las desigualdades educativas por tipo de centro escolar. Los centros públicos, en promedio, tienen un menor desempeño escolar que los colegios privados. Las mayores desigualdades se presentan en países como Brasil, Colombia, Costa Rica y Panamá. Por último, la calidad de los materiales educativos influye de forma negativa en el éxito escolar, al considerar que si esta calidad baja, el desempeño en las tres competencias evaluadas es menor.
Desde el punto de vista de los entornos de aprendizaje, eje central del presente artículo, se determinó que, de los cinco componentes considerados aquí, cuatro resultaron estadísticamente significativos en la mayoría de los países de América Latina participantes, cada uno con la relación esperada -Número de profesores certificados y cualificados por alumno (+), Ambiente (+) y Clima Escolar originada por los estudiantes (-)-. El quinto componente -clima profesorado-, si bien se relaciona positivamente con el desempeño escolar, no solo resultó significativa en todos los países estudiados. Por lo anterior, estos resultados dan cuenta de que los entornos de aprendizaje son determinantes del éxito escolar de los estudiantes.
Respecto a la contribución relativa de estas dimensiones sobre la heterogeneidad en el desempeño de los estudiantes, se estimó, para el promedio de los países latinoamericanos, que la mayor contribución a dicha variabilidad, la hacen los entornos de aprendizaje, en las tres competencias evaluadas - matemáticas 29,09 %; lectura 28,01 %; ciencias 28,71 %-. En segundo lugar, están la dimensión del estudiante, seguidas de las dimensiones escolar y familiar. De fondo, la técnica Shorrocks-Shapley se asemeja a los modelos jerárquicos multinivel al considerar la contribución a la varianza de las dimensiones asociadas al aprendizaje. Sin embargo, la ventaja que presenta esta descomposición es que se puede identificar la contribución relativa de cada dimensión, mientras que en los multinivel, solo se determina la contribución de cada nivel, por lo tanto, está condicionada por los dos niveles que generalmente se plantean en estos modelos: el primer nivel, donde se agrupan la dimensión del estudiante y su familia, y el segundo nivel, donde se encuentran los factores de escuela. Por lo tanto, los resultados encontrados en el presente trabajo resultan una novedad al identificar por cada dimensión el peso relativo que tiene cada factor.
Finalmente, es importante que para el diseño de la política educativa se incluyan más programas que incentiven tanto la certificación como la cualificación de los docentes, además de la capacitación de estos en las nuevas pedagogías de enseñanza, para poder aplicar con mayor eficacia las evaluaciones basadas en los RAE. Así mismo, se debe considerar el mejoramiento del ambiente escolar, minimizando la indisciplina, el ruido y el desorden en las aulas de clase, aspectos que pueden lograrse al mejorar las relaciones entre profesores y estudiantes, y sembrando en el alumnado una mayor motivación y una mejor actitud frente al aprendizaje. Todos estos, factores que componen los entornos de aprendizaje.



















