Servicios Personalizados
Revista
Articulo
Indicadores
-
Citado por SciELO -
Accesos
Links relacionados
-
Citado por Google -
Similares en
SciELO -
Similares en Google
Compartir
Boletín de Investigaciones Marinas y Costeras - INVEMAR
versión impresa ISSN 0122-9761
Bol. Invest. Mar. Cost. vol.47 no.1 Santa Marta ene./jun. 2018
https://doi.org/10.25268/bimc.invemar.2018.47.1.737
Artículos de Investigación
Fauna asociada a la pesquería de Arca Zebra (Mollusca Bivalvia: Arcidae) en Venezuela
1 Departamento de Biología, Laboratorio de Ecología. Escuela de Ciencias. Universidad de Oriente, Cumana, Venezuela. robertdiazf@gmail.com, vanessaacosta@yahoo.com
Arca zebra, constituye uno de los recursos pesqueros de mayor impacto económico en el nororiente de Venezuela, ya que forma bancos de importancia comercial. Durante un periodo de nueve meses (mayo 2010- agosto 2011) se identificó, cuantificó y describió la estructura comunitaria de los organismos provenientes de la pesquería de arrastre efectuada por los pescadores de la zona; así mismo, se calculó la biomasa y abundancia de los diferentes grupos taxonómicos para realizar Curvas de Comparación Abundancia-Biomasa (ABC), con el objetivo de determinar el grado de afectación por la actividad de arrastre. En total se contabilizaron 3 249 organismos, pertenecientes a 130 especies, agrupadas en cinco Phylla: Mollusca, Annelida, Arthropoda, Echinodermata y Chordata. La diversidad total de Sanders fue de 122.9. Entre los taxones más diversos se encontraron los moluscos (70.87) y poliquetos (29.91). Los moluscos presentaron la mayor abundancia, seguidos de los poliquetos, crustáceos, equinodermos y ascidias. El mayor aporte en biomasa la mostraron los moluscos y equinodermos. Las especies constantes fueron: Mithraculus forceps, Phallucia nigra, Echinometra lucunter, Eunice rubra y Pinctada imbricata. El microgasterópodo Triphora melanura se reconoce como nuevo registro para la zona y el poliqueto Oenone fulgida, para Venezuela. La curva ABC mostró que la abundancia total de organismos estuvo por encima de la biomasa total, sugiriendo que la pesquería de Arca zebra, ejerce un efecto negativo sobre la mayoría los grupos de organismos, principalmente sobre los equinodermos, ya que muchos de ellos sufren fuertes daños físicos en el momento de la extracción del recurso, por lo antes señalado existe la necesidad de modificar las redes de arrastre, incrementado la apertura de la malla, pero sin poner en peligro la viabilidad económica de la pesquería.
PALABRAS CLAVE: Pesca incidental; banco de pepitona; Arca zebra; Chacopata; Venezuela
Arca zebra, constitutes one of the fishing resources with the greatest economic impact in northeastern Venezuela, since it forms banks of commercial importance. During a period of nine months (May 2010-August2011) the community structure of the organisms from the trawling fishery carried out by the fishermen of the area was identified, quantified and described. The biomass and abundance of the different groups were estimated to perform Abundance-Biomass Comparison Curves (ABC) with the objective of determining the degree of affectation by the trawling activity. A total of3 249 organisms belonging to 130 species were grouped in five Phyla: Mollusca, Annelida, Arthropoda, Echinodermata and Chordata. The Sanders' diversity index was 122.9 with mollusks (70.87) and polychaetes (29.91) as the most diverse taxa. Mollusks had the highest abundance followed by polychaetes, crustaceans, echinoderms and ascidians. Mollusks and echinoderms made the largest contribution to total biomass. The most frequent species were: Mithraculus forceps, Phallucia nigra, Echinometra lucunter, Eunice rubra and Pinctada imbricata. The microgastropods Triphora melanura is recognized as a new record for the area and the polychaete Oenonefulgida, for Venezuela. The ABC curve showed that total abundance of organisms was above total biomass, suggesting that the fishery of Arca zebra has a negative effect on most groups of organisms, mainly on echinoderms, since many of them suffer strong physical damage at the time of extraction, therefore, there is a need to modify the trawl nets, increasing the mesh opening, but without endangering the economic viability of the fishery.
KEY WORDS: Bycatch; pepitona bank; Arca zebra; Chacopata; Venezuela.
INTRODUCCIÓN
Arca zebra es un molusco pelecípodo perteneciente al superorden Filibranchia, familia Arcidae. Se distribuye desde el Golfo de México y norte de Florida hasta el norte de Brasil (Lodeiros et al., 1999), pero es en Venezuela donde forma bancos de importancia comercial (Prieto et al., 2001). La reproducción continúa y el crecimiento están condicionados por el enriquecimiento y fertilidad de las aguas, a la que es sometida por la acción constante de los vientos alisios que originan la surgencia costera (Saint-Aubyn et al., 1999; Acosta et al., 2007).
Arca zebra es el segundo recurso de la pesca artesanal en Venezuela, tiene un alto impacto socioeconómico, principalmente en la región nororiental (costa norte de la península de Araya y en algunas comunidades de las islas de Margarita y Coche), con una producción de 40000 t/ año. La zona con mayor actividad corresponde al morro de Chacopata (11214 t y 2313 faenas/mes). Se estima que unas 6000 personas se benefician directa o indirectamente de la extracción, procesamiento y comercialización de este recurso. La estructura de tallas oscila entre 10 y 115 mm con un promedio de 56 mm de longitud, tiene reproducción continua, con máximos de julio a noviembre, observándose ejemplares maduros desde 41 mm, con una longevidad de 2 años (Jiménez, 1998, 1999; Arias et al., 2002; Ramírez et al., 2006). La Gaceta Oficial Ordinaria N° 38.372, establece como cuota de captura 200 sacos de 40 kg para las embarcaciones que utilicen rastras y 60 sacos para los que realicen extracción manual (Casas et al., 2015). Según Peralta et al. (2016), actualmente en cada faena de pesca se arrastran 27830 m2 por cada embarcación, extrayendo en promedio 607 kg de A. zebra (sin concha) y la flota completa captura ~30000 kg.
Los estudios sobre A. zebra están relacionados con el crecimiento (Prieto y Saint-Aubyn, 1998), producción específica (Saint-Aubyn et al., 1999; Casas et al., 2015), índices de condición (Lista et al., 2006; Villarroel et al., 2016), movilización y utilización de substratos energéticos (Villarroel et al., 2016), aspectos pesqueros (Novoa et al., 1999; Ramírez et al., 2016), diversidad malacológica (Prieto et al., 2001), microgasterópodos y macromoluscos bentónicos asociados (Narciso et al., 2005; Acosta et al., 2007; Licet et al., 2009) y captura incidental de gasterópodos asociados a la pesca (Nieves, 2012; Peralta et al., 2016). Sin embargo, existe un vacío de información con respecto a los organismos que viven asociados A. zebra; es por ello que en este estudio, se identificaron, cuantificaron y evaluaron los efectos negativos que podría ejercer la actividad pesquera sobre los diferentes grupos taxonómicos que forman parte del banco de A. zebra.
MATERIALES Y MÉTODOS
Area de muestreo
Las muestras fueron obtenidas bimensualmente, provenientes de la extracción pesquera que se realiza en el banco de Chacopata, ubicado entre la Cabecera de Coche y el Morro de Chacopata (10° 43'-10° 48' latitud N y 63° 48'-63° 55' longitud O; Figura 1). Tiene una extensión aproximada de 70 a 80 Km2 con una profundidad que oscila entre 7 y 16 m. Las muestras fueron suministradas por los pescadores que realizan las extracciones en el área, para la cual emplean una rastra artesanal, con dimensiones de 1.40 x 1.80 m x 50 cm, maniobrada desde una embarcación tipo peñero de madera, cuyas dimensiones son 10 m de eslora, 2.5 m de manga y 0.5 m de puntal, con un motor fuera de borda de 75 HP. Los arrastres duran entre 10 y 15 minutos entre 4-8 m de profundidad, aproximadamente. Arca zebra, conjuntamente con toda su fauna asociada, es depositada en sacos. Para este estudio se analizó un saco bimensual, desde mayo de 2010 hasta agosto de 2011.
Procesamiento de las muestras
Toda la fauna acompañante fue separada cuidadosamente de forma manual, con ayuda de pinzas y agujas que facilitaron el desprendimiento de los organismos, principalmente de las conchas de A. zebra. Los moluscos y tunicados se colocaron en una solución de formalina al 10%. Los poliquetos, crustáceos y equinodermos se preservaron con alcohol isopropílico al 70% para evitar la acidificación, descomposición y pérdida de algunas estructuras esenciales de su anatomía, que son claves al momento de realizar estudios taxonómicos.
Identificación y clasificación para cada grupo taxonómico
El material biológico fue examinado bajo un microscopio estereoscópico (Motic) e identificado a través de las siguientes claves taxonómicas para moluscos: Morris (1960), Warmke y Abbot, (1962), Lodeiros et al. (1999), Macsotay y Campos (2001). Crustáceos: Davant (1963) y Rodríguez (1980). Equinodermos: Hendler et al. (1995) y Gómez y Hernández (2011). Poliquetos: Uebelacker y Johnson (1984), Liñero-Arana (1999; 2011), Fauchald (2003) y tunicados: Montes (1985). Una vez separados los organismos por grupos taxonómicos, se contabilizaron e identificaron en lo posible hasta la categoría de especie. El estatus taxonómico de las especies fue verificado con la base de datos WORMS (World Register of Marine Species; Http://www.marinespecies.org/).
Cálculo de la biomasa
Para la determinación de la biomasa seca en los diferentes grupos taxonómicos se utilizó una estufa VWR, donde se deshidrataron por un lapso de 48 a 72 h a 60°C, hasta obtener su masa constante. El peso seco total de cada organismo, se obtuvo en una balanza electrónica Adventure-pro (Ohaus) de 0.001g de precisión. Para la normalización bimensual de la biomasa, se dividieron las biomasas por el tiempo de arrastre (10 min) en relación al área de la rastra y fue expresada en g/m2/hora arrastre.
Índices ecológicos
Para caracterizar la estructura de la comunidad de organismos asociados a la pesquería de A. zebra, se analizaron: la abundancia, riqueza específica, diversidad de Sanders (1968), equidad (Pielou, 1969) y dominancia (Krebs, 1985). Estos índices se determinaron utilizando el programa estadístico PAST. La constancia se obtuvo mediante la fórmula definida por Krebs (1985), estableciéndose tres categorías: (C) = constante: especie presente en más del 50% de los muestreos, (A) = accesoria: especie presente entre el 25 y 50% de los muestreos y (a) = accidental: especie presente en menos del 25% de los muestreo.
Curvas ABC
Para conocer el grado de perturbación de la comunidad de macroinvertebrados capturados mediante la pesca de arrastre, se utilizó el método Comparación Abundancia Biomasa (ABC), que contrasta simultáneamente la dominancia en términos de abundancia con la dominancia en términos de biomasa (Warwick et al, 1987; Yemane et al, 2005). En estado normal la curva de biomasa está por encima de la curva de abundancia; mientras que en ambientes bajo perturbación pesquera la curva de la biomasa está por debajo de la curva de abundancia. El estadístico W, representa el área de diferencia entre las dos curvas; W se obtiene de la siguiente manera: Σs ¡=1(B¡-A¡)/[50(S-1)] donde, S describe el cambio en el número total de especies, A es la abundancia total en cada muestra i y B es la biomasa total en cada muestra i. Un valor negativo indica que la curva de la biomasa está por debajo de la curva de abundancia y sugiere una comunidad alterada (Warwick y Clarke, 2001). Para este estudio la abundancia se expresó en CPUE (individuos por hora) y la biomasa en CPUE (kilogramos por hora de arrastre).
Análisis estadísticos
Los datos de las diferentes variables estudiadas no se ajustaron a una distribución normal después de realizar diferentes alternativas de homogenización para comparar los valores de abundancia, biomasa, diversidad y riqueza entre los meses de muestreo; se realizó un análisis no paramétrico de Kruskal Wallis (Siegel, 1994).
RESULTADOS
Se colectaron un total de 3249 organismos. Se identificaron 130 especies (Tabla 1), distribuidas en cinco Phylla: Mollusca (22 bivalvos y 49 gasterópodos) con 71 especies (54.96%), Annelida (Clase Polychaeta) 30 especies (22.90%), Arthropoda (Clase Malacostracea) 15 especies (11.45%), Echinodermata (1 Asteroidea, 4 Echinoidea y 6 Ophiuridea) 11 especies (8.40%) y Chordata (Clase Ascidiacea) 3 especies (2.29%).
Tabla 1 Clasificación taxonómica de los organismos asociados al banco de Arca zebra.

* Primer registro para la zona
** Microgasterópodos
*** Primer registro para Venezuela
Porcentaje de contribución por familia
Las familias con los mayores porcentajes de contribución fueron: Pteriidae (16.17%) y Eunicidae (13.01%). El resto de las familias presentaron porcentajes menores a 10%: Serpulidae (9.31%), Mytilidae (8.40%), Crepidulidae (6.43%), Corallanidae (4.76%), Arcidae (3.88%), Mithracidae (3.58%), Xanthidae (2.70%), Pectinidae (2.70%), Chamidae (2.64%), Trochidae (2.55%), Muricidae (2.27%), Ophiothrichidae (1.97%) y Ascidiidae (1.76%).
Abundancia total de los taxones
Los moluscos mostraron la mayor abundancia, seguidos de los poliquetos, crustáceos, equinodermos y ascidias (Figura 2). A pesar de no obtenerse diferencias bimensuales (KW; P= 0.62), entre diciembre y abril, se registraron las mayores abundancias representadas principalmente por los moluscos P. imbricata y C. aurícula y los anélidos S. dendropoma y E. rubra. El resto de los taxones expresaron menores abundancias, exceptuando a los crustáceos, representados por E. antillensis, que en noviembre y diciembre mostraron el mayor número de organismos (Figura 3).
Cuantificación de la biomasa de los diferentes grupos taxonómicos
Los moluscos contribuyeron con 81% de la biomasa total, seguidos por los equinodermos (17%), mientras que los crustáceos y ascidias estuvieron representados por 2% (Figura 4). Las especies que aportaron las biomasas más altas fueron: P. imbricata, P. pomun, M. brevifrons y C. macerophylla, mientras que dentro de los equinodermos se encontraron: Clypeaster sp. y Encope sp. De los grupos restantes P. nigra, M. forceps y E. rubra, registraron la mayor biomasa.
Los promedios bimensuales de la biomasa total oscilaron entre 14.26 y 143.42 g/m2/hora arrastre, con mínimos en septiembre y noviembre, mostrando una tendencia al aumento en diciembre, alcanzando el máximo valor en agosto. Las altas biomasas estuvieron representadas por los moluscos y equinodermos, en todos los meses de muestreo. En julio, diciembre y agosto, los moluscos presentaron el mayor número de organismos, mientras que, los equinodermos fueron en febrero, abril y agosto. De los moluscos, P. imbricata, aportó la mayor biomasa y en los equinodermos, Clypeaster sp. y Encope sp. (Figura 5).
Parámetros ecológicos
La riqueza total no mostró cambios bimensuales (KW; P=0.83), registrándose los valores más altos en febrero y abril de 2011 y los menores en noviembre 2010 y julio de 2011. Los moluscos aportaron el mayor número de especies, particularmente en febrero de 2011, mientras que en abril de 2011, los poliquetos registraron la riqueza más alta (Figura 6).

Figura 6 Variación bimensual de la biomasa total y de los principales taxones (g/m2/hora arrastre) asociados al banco de Arca zebra.
La diversidad total de Sanders en la zona fue de 129.9. Los oluscos presentaron la mayor diversidad, seguidos de los poliquetos, mientras que los equinodermos, crustáceos y ascidias mostraron las diversidades más bajas. La equidad total, indica que las agregaciones de bivalvos se encuentran equitativamente distribuidas, mientras que, los crustáceos y poliquetos fueron los taxones con distribuciones más bajas en comparación con los equinodermos y ascidias (Figura 7).

Figura 7 Diversidad de Sanders y equidad total de los principales taxones asociados al banco de Arca zebra.
La diversidad bimensual osciló entre 27-55 especies, presentando sus máximos en abril y febrero, mientras que en noviembre de 2010 se obtuvieron los menores valores. No se registraron diferencias bimensuales (KW; P = 0.76; Figura 8).
Constancia
De 100% de los organismos identificados (130 especies), 22.14% resultaron ser constantes, mientras que 19.08% fueron accesorias y 58.78% se encontraron de forma accidental. En cuanto a la constancia bimensual, solo cinco especies presentaron un 100% de aparición, siendo éstas: M. forceps, P. nigra, E. lucunter, E. rubra y P. imbricata. Las principales especies accesorias fueron: P. gibbosa, A. floridana, C. waltonense, Clypeaster sp. y Ophiocoma sp. Las especies accidentales estuvieron representadas por: C. glauca, O. algicola y P. interruptolineata (Tabla 2).
Tabla 2 Abundancia y valores de constancia (frecuencia %) de organismos asociados al banco de Arca zebra.

%C: porcentaje de constancia, Cat: categorías, C: constante, A: accesoria y a: accidental
Evaluación del impacto de la actividad pesquera de A. zebra
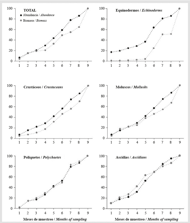
La Curva de Comparación Abundancia-Biomasa, mostró que la abundancia total de organismos estuvo por encima de la biomasa total (Figura 9), sugiriendo que la pesquería de A. zebra tiene un efecto negativo sobre los organismos asociados (W=-0.29). A efectos de estimar con mayor precisión las variaciones de estadístico-W, se realizaron curvas para cada taxón, con la finalidad de conocer cuales grupos son los más afectados. Los equinodermos y crustáceos presentaron curvas semejantes, donde la abundancia estuvo por encima de la biomasa con el transcurrir del tiempo, la abundancia mostro una tendencia a superar a la biomasa, lo cual se interpreta como una alta perturbación (W= -0,75; W= -0,53 respectivamente), mostrando los equinodermos el mayor grado de estrés. Los moluscos fueron los menos perjudicados (W= -0,23). Los poliquetos y ascidias mostraron curvas muy similares, reflejando una perturbación moderada (W= 0,01 para poliquetos y W = 0,05 para ascidias), ya que los valores estuvieron muy cercanos a cero del estadístico-W.
DISCUSIÓN
Se contabilizaron un total de 3 249 individuos. Estos valores fueron superiores a los obtenidos por Narciso et al. (2005) y Acosta et al. (2007) con 378 y 713 organismos respectivamente. Es importante destacar que dichos trabajos se enfocaron en cuantificar e identificar los bivalvos y gasterópodos asociados a la pesquería de A. zebra, mientras que en este estudio se contabilizó e identificó, toda la fauna procedente de la actividad pesquera; donde el principal grupo taxonómico, también estuvo constituido por los bivalvos, representados principalmente por P. imbricata. La abundancia y biomasa de esta especie puede ser explicada por la presencia de pequeños agregados poblacionales, ubicados en zonas aledañas pudieran estar aportando constantemente individuos al banco de Arca zebra. Esto corrobora lo señalado por Hernández et al. (2013), quienes mencionan que las agregaciones de A. zebra y P. imbricata, funcionan entre sí como hábitats alternativos, compartiendo por lo general los mismos grupos de organismos. La reproducción continua de P. imbricata que, según Marcano et al. (2005), se produce a lo largo de todo el año en la el área, es lo que explicaría la alta incidencia de individuos con tallas menores a 30 mm. El estatus reproductivo de P. imbricata mostró que 70% de la captura total se encontraba en estado indeterminado e inmaduro y en un menor porcentaje, se observaron organismos en estado maduro y en estado de desove (Observación personal), lo que confirma que el arte de pesca utilizado para la extracción de A. zebra es poco selectiva, ya que atrapa una alta cantidad de individuos que aún no han alcanzado su primera madurez sexual, lo que pudiera estar afectando la renovación de la población de P. imbricata, especie que tiene una importancia comercial y que soporta una importante pesquería en el nororiente de Venezuela.
El número y composición de especies asociadas a A. zebra en este estudio explican que este árcido actúa una especie bioingeniera, generando una complejidad estructural con nichos diferentes que pueden ser ocupados por variados grupos taxonómicos. Varios estudios señalan el papel de las agregaciones de bivalvos como hábitat potencial o como refugio para fauna bentónica (Eggleston 1998; Posey et al., 1999). Los mayores valores de biomasa fueron aportados por P. imbricata y los gasterópodos P. pomun y M. brevifrons. En P. imbricata estuvo relacionada con la alta abundancia registrada en todos los meses de muestreo; sin embargo, en los gasterópodos este parámetro estuvo asociado al tamaño de los organismos. Dentro de los equinodermos, Clypeaster sp. y Encope sp., fueron quienes aportaron mayor biomasa, debido al tamaño de sus individuos, que oscilo entre los 10-26 cm. La estructura física de sus cuerpos, constituida por placas calcáreas, también le proporcionan un mayor peso. Los menores valores estuvieron representados por los poliquetos, relacionados con el tamaño y estructura anatómica de sus cuerpos. La magnitud de la biomasa capturada estuvo relacionada con el tiempo de arrastre, el tipo de arte de pesca utilizado, sitio de pesca y las condiciones ambientales del área.
El segundo taxón con mayor abundancia y biomasa, fueron los poliquetos, representados por Leodice rubra, Spirobranchus tetraceros y Oenone fulgida, esta última especie constituye nuevo registro para Venezuela. El banco de A. zebra no solo tiene importancia como recurso económico, también constituye un importante substrato para el establecimiento de una poliquetofauna importante en el área. La abundancia de este grupo, puede ser explicada ya que la superficie de las valvas de este árcido sirven de asiento para muchas especies tubícolas y además aportan una mayor disponibilidad de microhábitats para especies vágiles. La biomasa y diversidad registrada en este estudio, sugiere que este grupo taxonómico tiene importantes nichos ecológicos en el banco, pero podrían ser perjudicados con el tiempo por la explotación comercial de A. zebra.
Los incrementos de las biomasas en la mayoría de los grupos taxonómicos, coincidieron con los períodos de surgencia costera, la cual está asociada con el patrón de reclutamiento de muchos organismos en el nororiente de Venezuela; por otro lado, la calidad y cantidad de alimento disponible es lo que explica la renovación continua de las poblaciones de A. zebra y junto con ella, la alta diversidad de los organismos que se asocian a la misma. Por otra parte, los cambios de temperatura durante la surgencia costera también juegan un papel importante en la abundancia y biomasa de los organismos, debido a que muchos inician los procesos de reproducción en función a las variaciones de este parámetro ambiental.
Se observó la presencia de cinco especies con 100% de constancia, encontrándose algunas de ellas con importancia ecológica, como M. forceps que contribuye con abundantes larvas al zooplancton (Hernández-Reyes et al., 2001). E. rubra, permite la renovación de la materia orgánica en la zona (Rivera y Romero, 2002) ocupando varios niveles en la cadena alimentaria, actuando como presas o como depredadores. Las agregaciones de P. imbricata sirven de sustrato para la colonización de otros organismos (Hernández-Ávila et al., 2013). E. lucunter es importante en el reciclaje del carbono y su extracción puede intervenir negativamente con estos procesos ecológicos (De Entrambasaguas, 2008). La alta constancia de estos organismos está asociada con la actividad reproductiva y al aporte continuo de nutrientes que recibe el área por efecto de la surgencia costera. Los altos porcentajes de especies encontradas de forma accidental 58.78% sugieren la importancia que poseen las agregaciones de A. zebra como sustrato o refugio para el establecimiento de una gran variedad de organismos. Las especies accidentales pueden indicar la existencia de nuevos organismos en el banco que hasta el momento no ha sido descrito para el área, como el microgasterópodo Triphora melanura.
Las Curvas de Comparación Abundancia-Biomasa mostraron que los grupos más afectados por parte de la actividad extractiva de A. zebra fueron los equinodermos, crustáceos y moluscos, ya que los valores obtenidos en estos tres grupos fueron menores a cero, pues sus curvas de abundancia estuvieron por encima de la biomasa. Los equinodermos fueron el taxón con mayor grado de afectación en la zona, con una baja diversidad, debido probablemente a la muerte de estos organismos como resultado de la presión que ejercen las conchas de A. zebra en el momento del arrastre. La baja perturbación que presentaron los poliquetos y ascidias está asociado al continuo movimiento y re-suspensión del fondo como producto de la pesquería. Entre los crustáceos, las especies carroñeras fueron las más abundantes: M. fórceps, E. antillensis y P. herbstii, posiblemente estas pudieran estar remplazando a las poblaciones de crustáceos más afectados.
Las capturas incidentales, al igual que las capturas de la especie objetivo, son afectadas por la falta de selectividad del arte empleado, ya que éste modifica la estructura de la comunidad, tomando en cuenta que el banco de A. zebra constituye un importante sustrato para la fijación y desarrollo de diferentes poblaciones de organismos bentónicos, muchos de importancia comercial. Es por ello, que existe la necesidad de mejorar el patrón de aprovechamiento de este importante recurso pesquero, mediante la modificación de las redes de arrastre, aumentando la apertura de malla que permita un incremento en el número de escapes tanto de pequeños organismos sedentarios, como de ciertos errantes de tamaño promedio; así se garantizaría un menor impacto sobre la fauna asociada al banco natural de A. zebra.
BIBLIOGRAFÍA
Acosta, V., A. Prieto, L. Ruíz y H. Gil. 2007. Moluscos asociados a la pepitona Arca zebra (Mollusca: Bivalvia) en Chacopata, Estado Sucre, Venezuela. Saber, 19: 21-26. [ Links ]
Arias, A., R. Guzmán, R. Jiménez y R. Molinet. 2002. La pesquería de la pepitona, Arca zebra, en Chacopata, Estado Sucre, Venezuela: Un análisis bioeconómico. Zootec. Trop., 20: 49-67. [ Links ]
Casas, P., W. Villalba y R. Crescini. 2015. Producción específica de la pepitona Arca zebra (Swainson, 1833) en la Bahía de Charagato, Isla de Cubagua, Venezuela. Saber, 7:659-667. [ Links ]
Davant, P. 1963. Clave para la identificación de los camarones marinos y de rio. Cuadernos Oceanográficos N°1. Cumana. 46 p. [ Links ]
De Entrambasaguas, L. 2008. Estudio faunístico y ecológico de los equinodermos del archipiélago de Cabo Verde. Tesis Profesional. Fac. de Biología. Univ. Murcia. Murcia. 301 p. [ Links ]
Eggleston, D., W. Elis, L. Etherington, C.P. Dahlgren and M. Posey. 1999. Organism responses to habitat fragmentation and diversity: Habitat colonization in estuarine macrofauna. J. Exp. Mar. Biol. Ecol., 236: 107-132. [ Links ]
Fauchald, K. 2003. Eunicidae (Polychaeta) A Delta database of general, and Australian species. In: Polychaetes: An interactive guide. Wilson, R., P. Hutchings, P. and C. Glasby (Eds.). CSIRO Publishing, Melbourne. [ Links ]
Godínez-Domínguez, E. 2003. Ecología de las asociaciones de macroinvertebrados bentónicos de fondos blandos del pacífico central mexicano. Tesis Profesional. Fac. de Biología., Univ. Coruña. La Coruña. 88 p. [ Links ]
Gómez, M. e I. Hernández. 2011. Equinodermos de la bahía de Tunantal, Estado Sucre, Venezuela. Bol. Inst. Oceanogr. Venezuela, 2: 209-231. [ Links ]
Hendler, G., J. Milleer, D. Pawson and P Kier. 1995. Sea strars, sea urchins, and allies: Echinoderms of Florida and the Caribbean. Smithssonia Institution. Washington, D.C. 383 p. [ Links ]
Hernández-Ávila, I., A. Tagliafico y N. Rago. 2013. Composición y estructura de la macrofauna asociada con agregaciones de dos especies de bivalvos en Isla de Cubagua, Venezuela. Rev. Biol. Trop., 61: 669-682. [ Links ]
Hernández-Reyes, I., J. Palazón-Fernández, J. Bolaños-Curvelo y J. Hernández. 2001. Aspectos reproductivos de Mithraxforceps (A. Milne-Edwards, 1875) (Crustácea: Decápoda: Majidae). Cienc. Mar., 27: 21-34. [ Links ]
Jiménez, R. 1998. Análisis y evaluación de la pesquería de la pepitona en el banco Chacopata. Informe Técnico. FONAIAP. Sucre, Venezuela. 10 p. [ Links ]
Jiménez, R. 1999. Algunas consideraciones sobre la pesquería de la pepitona Arca zebra, en el Oriente venezolano. Informe Técnico. FONAIAP-Sucre, Venezuela. 6 p. [ Links ]
Krebs, C. 1985. Ecology. Harper Collins Publ., 654 p. [ Links ]
Licett, B., V. Acosta, A. Prieto y N. García. 2009. Contribución al conocimiento de los macromoluscos bentónicos asociados a la pepitona, Arca zebra (Swainson, 1833), del banco natural de Chacopata, Península de Araya, Venezuela. Zootec. Trop., 27: 195-203. [ Links ]
Liñero-Arana, I. y O. Díaz-Díaz. 2009. Estado del conocimiento de los poliquetos (Annellidae: Polychaeta) del golfo de Cariaco, Venezuela. Bol. Inst. Oceanogr., Venezuela. 48: 143-152. [ Links ]
Liñero-Arana, I . y O. Díaz-Díaz . 2011. Poliquetos de Venezuela. Aspectos Biológicos y Ecológicos. Fondo Editorial de la Universidad de Oriente. Cumaná, Venezuela. 145 p. [ Links ]
Lodeiros, C., B. Marín y A. Prieto. 1999. Catálogo de moluscos marinos de la costa nororiental de Venezuela: Clase Bivalvia. Segunda edición. Edición APUDONS. Cumaná, Venezuela. 109 p. [ Links ]
Macsotay, O. y R. Campos. 2001. Moluscos representativos de la plataforma de Margarita-Venezuela. Editora Rivolta. Valencia. 279 p. [ Links ]
Marcano, J., A. Prieto , A. Lares, J. Alió and H. Sanabria. 2005. Growth and mortality of Pinctada imbricata (Mollusca: Pteridae) in Guamachito, Araya Peninsula, Sucre State, Venezuela. Cienc. Mar., 31: 387-397. [ Links ]
Montes, A. 1985. Aspectos bioecológicos de las poblaciones de ascidias solitarias en el Bahía de Mochima y la costa sur del Golfo de Cariaco. Tesis Profesional. Fac. de Biología. Univ. Oriente, Cumaná. 90 p. [ Links ]
Morris, P 1960. A field guide to the shells. Houghton Mifflin Company Boston. Massachusetts. 297 p. [ Links ]
Narciso, S., A. Prieto-Arcas y V. Acosta-Balbás. 2005. Microgasterópodos asociados con el banco natural de la pepitona Arca zebra (Swainson, 1833; Mollusca: Bivalvia) ubicado en la localidad de Chacopata, Estado Sucre. Cienc. Mar., 31: 119-124. [ Links ]
Nieves, M. 2012. Captura incidental de gasterópodos asociados a la pesca artesanal de la pepitona (Arca zebra) en Chacopata, Venezuela. Tesis Biol., Univ. Simón Bolívar. Miranda. 41 p. [ Links ]
Novoa, D., J. Mendoza, L. Marcano y J. Cárdenas. 1999. Atlas pesquero marítimo de Venezuela. MAC-SARP y VECEP. Caracas. 197 p. [ Links ]
Peralta, A., P. Miloslavich, A. Carranza and G. Bigatti. 2016. Impact of the clam Arca zebra artisanal fishery upon the population of the neogastropod Voluta música in eastern Venezuela. Lat. Am. J. Aquat. Res., 44: 703-710. [ Links ]
Posey, M., C. Powel, T. Alphin and E. Townsend. 1999. Use of oyster reefs as habitat for epibenthic fish and decapods. In: Luckenbach, M., R. Mann and J. Wesson (Eds.). Oyster reef habitat restoration: A synopsis and synthesis of approaches. Maryland Sea Grant, Virginia, USA. [ Links ]
Prieto, A. y M. Saint-Aubyn. 1998. Crecimiento del bivalvo Arca zebra (Swainson, 1883) en Chacopata, estado Sucre, Venezuela. Saber, 10: 14-19. [ Links ]
Prieto, A., L. Ruiz, N. García y M. Alvarez. 2001. Diversidad malacológica en una comunidad de Arca zebra (Mollusca: Bivalvia) en Chacopata, Estado Sucre, Venezuela. Rev. Biol. Trop ., 49: 591-598. [ Links ]
Ramírez, I., N. Aguado y Y. Natera. 2016. Desconchadores de moluscos en la costa norte de la Península de Araya, Estado Sucre, Venezuela. Multiciencias, 16: 22-27. [ Links ]
Rivera, C. y M. Romero. 2002. Distribución de poliquetos (Annelida: Polychaeta) en la zona costera de el Salvador. Tesis Profesional. Fac. de Biología. Univ. El Salvador. San Salvador. 68 p. [ Links ]
Rodríguez, G. 1980. Los crustáceos decápodos de Venezuela. IVIC, Caracas. 496 p. [ Links ]
Saint-Aubyn, M., A. Prieto y L. Ruiz . 1999. Producción específica de una población del bivalvo Arca zebra (Swainson, 1833) en la costa nororiental del Estado Sucre, Venezuela. ACV, 50: 15-23. [ Links ]
Siegel, S. 1994. Estadística no paramétrica. Editorial Trillas, México. 344 p. [ Links ]
Simpson, E. 1949. Measurement of Diversity. Nature, 163: 688. [ Links ]
Uebelacker, J. and P. Johnson. 1984. Taxonomic guide to the polychaetes of the northern Gulf of Mexico. Final Report to the Minerals. [ Links ]
Villarroel, J., V. Acosta y D. Arrieche. 2016a. Condición fisiológica de una población de Arca zebra (Bivalvia: Arcidae) del banco de Chacopata, Sucre, Venezuela. Rev. Biol. Trop ., 64: 1345-13521. [ Links ]
Villarroel, J ., V. Acosta , D. Arrieche y M. Guevara. 2016b. Movilización y utilización de los sustratos energéticos de Arca zebra (Bivalvia: Arcidae) en relación con el ambiente. Revmar, 8:63-78. [ Links ]
Warmke, G. and R. Abbott. 1962. Caribbean Seashells. Livingston, Narberth, Nueva Jersey, 384 p. [ Links ]
Warwick, R. 1986. A new method for detecting pollution effects on marine macrobenthic communities. Mar. Biol., 92: 557-562. [ Links ]
Warwick, R., T. Pearson and J. Ruswahyuni. 1987. Detection of pollution on marine macrobenthos: Further evaluation of the species abundance/biomass method. Mar. Biol ., 95:193-200. [ Links ]
Warwick, R . and K. Clarke. 2001. Practical measures of marine biodiversity based and relatedness of species. Ocean. Mar. Biol. Ann., 39: 207-231. [ Links ]
Yemane, D., G. Field and H. Griffiths. 2005. Effects of fishing on the size and dominance structure of line fish of the Cape region, South Africa. Afr. J. Mar. Sci., 26: 161-177. [ Links ]
Recibido: 24 de Agosto de 2017; Aprobado: 03 de Noviembre de 2017










texto en 









