Servicios Personalizados
Revista
Articulo
Indicadores
-
Citado por SciELO -
Accesos
Links relacionados
-
Citado por Google -
Similares en
SciELO -
Similares en Google
Compartir
Acta Colombiana de Psicología
versión impresa ISSN 0123-9155
Act.Colom.Psicol. vol.19 no.1 Bogotá ene./jun. 2016
https://doi.org/10.14718/ACP.2016.19.1.7
ARTÍCULO
10.14718/ACP.2016.19.1.7
ANÁLISE DOS ERROS APRESENTADOS POR ADULTOS ILETRADOS AO LONGO DE UM PROGRAMA INFORMATIZADO DE ENSINO DE LEITURA E ESCRITA
ANÁLISIS DE ERRORES PRESENTADOS POR ADULTOS ILETRADOS A LO LARGO DE UN PROGRAMA COMPUTARIZADO DE ENSEÑANZA DE LECTURA Y ESCRITURA
ANALYSIS OF ERRORS PRESENTED BY ILLITERATE ADULTS THROUGHOUT A COMPUTERIZED PROGRAM TO TEACH READING AND WRITING SKILLS
Solange Calcagno1*; Romariz da Silva Barros2, Isabela Sbravatti Ferrari, and Deisy das Graças de Souza3
1Universidade Federal do Pará e Programa de Pós-Graduação em Psicologia - Universidade Federal de São Carlos -Instituto Nacional de Ciência e Tecnologia sobre Comportamento - INCT-ECCE, Brazil. 2Universidade Federal do Pará e Instituto Nacional de Ciência e Tecnologia sobre Comportamento - INCT-ECCE, Brazil. 3Universidade Federal de São Carlos e Instituto Nacional de Ciência e Tecnologia sobre Comportamento - INCT-ECCE, Brazil.
a Solange Calcagno, Faculdade de Psicologia - Instituto de Filosofia e Ciências Humanas/ Universidade Federal do Pará - Belém, PA, Brazil - 66.075.110 - (55) (91) 3201-8483, solangecalcagno@gmail.com; Romariz da Silva Barros - romarizsb@gmail.com; Isabela Sbravatti Ferrari -isah.ferrari@hotmail.com; Deisy das Graças de Souza - deisydesouza@gmail.com
Este trabajo fue financiado por la Coordenação de Aperfeiçoamento de Pessoal Nível Superior-CAPES con una beca doctoral para la primera autora y una beca de productividad para la segunda y cuarta autoras. Este trabajo es el resultado de una de las líneas de investigación del Instituto Nacional de Ciência e Tecnologia sobre Comportamento, Cognição e Ensino - INCT- ECCE), FAPESP (Processo 2008/57705- 8) and CNPq (Processo 573972/2008-7).
Referencia: Calcagno, S., Barros, R. S., Ferrari, I. S. & de Souza, D. G. (2016). Análisis de errores presentados por adultos iletrados a lo largo de un programa computarizado para la enseñanza de lectura y escritura. Acta Colombiana de Psicología, 19(1). 137- 150. DOI: 10.14718/ACP.2016.19.1.7
Recibido, mayo 16/2015
Concepto de evaluación, junio 10/2015
Aceptado, septiembre 14/2015
Resumo
A tipologia de erros apresentados por crianças na aquisição de leitura e escrita tem sido amplamente explorada. A análise de erros permite inferir fontes de controle do comportamento ao longo da aprendizagem, sendo por isso um importante instrumento para o aperfeiçoamento de programas de ensino. No entanto, poucos estudos têm explorado a tipologia de erros apresentados por adultos iletrados. Este é um estudo descritivo que teve como objetivo identificar/analisar os erros cometidos por participantes adultos durante o processo de aprendizagem da leitura e escrita, submetidos a um programa informatizado de ensino, visando verificar a adequação do programa ou a necessidade de procedimentos específicos para esta população. Quinze adultos passaram individualmente pelo programa, constituído por uma sequência de passos de ensino e avaliação (pré e póstestes e testes intermediários). Os erros foram categorizados e analisados com base nas categorias descritas na literatura e categorias novas, criadas especificamente para este trabalho. Os dados mostraram grande concentração de erros em algumas categorias, principalmente para o primeiro módulo de ensino, com indicação parcial de especificidade de tipologia de erros para a população em foco. Os participantes também mostraram dificuldade na escrita (ditado por construção), indicando a necessidade de aperfeiçoamento do programa quando utilizado na alfabetização de adultos.
Palavras-chave: tipos de erros, leitura, escrita, alfabetização de adultos.
Resumen
La tipología de los errores presentados por los niños en la adquisición de la lectura y la escritura ha sido ampliamente examinada. El análisis de errores permite inferir fuentes de control del comportamiento durante el aprendizaje, siendo así una herramienta importante para perfeccionar los programas de enseñanza. Sin embargo, pocos estudios han explorado los tipos de errores cometidos por adultos iletrados. Este es un estudio descriptivo que tuvo como objetivo identificar y analizar los errores cometidos por adultos que están aprendiendo a leer y escribir, a partir de un programa de enseñanza computarizado, con el fin de verificar la adecuación del programa a la necesidad de desarrollar procedimientos específicos para esta población. Quince adultos se sometieron individualmente al programa, el cual se compone de una secuencia de pasos de enseñanza y evaluación (pre y postpruebas y exámenes intermedios). Los errores fueron clasificados y analizados con referencia a las categorías descritas en la literatura y algunas nuevas creadas específicamente para este trabajo. Los datos muestran alta concentración de errores en algunas categorías, especialmente para el primer módulo de enseñanza, con indicación parcial de especificidad de los tipos de errores para la población objeto de estudio. Los participantes también presentaron dificultades en la tarea de dictado por construcción, lo cual indica la necesidad de perfeccionamiento del programa cuando es utilizado en la alfabetización de adultos.
Palabras clave: tipos de errores, lectura, escritura, alfabetización de adultos.
Abstract
The typology of errors presented by children in the acquisition of reading and writing has been widely explored. Error analyses allow inferring sources of behavior control throughout the learning process and are an important tool for improving programs that teach reading and writing. Nevertheless, few studies have explored the types of errors made by illiterate adults. This is a descriptive study aiming to identify and analyze the errors made by adults participating in the process of learning to read and write using a computerized teaching program. The purpose was to evaluate the adequacy of the program and to point out whether there is a need to develop specific procedures for this population. Fifteen adults were individually submitted to the program, which comprises a sequence of teaching steps and assessments (pre and post-tests and intermediate tests). Errors made by the students were categorized and analyzed according to categories described in the literature as well as new ones created specifically for this study. The data show a high concentration of errors in some categories, particularly for the first teaching module, with partial indication of error type specificity for the population in focus. This study also shows the participants' difficulties in writing (construction spelling task), requiring improvement of the computerized program when applied to adult literacy.
Key words: types of errors, reading, writing, adult literacy.
INTRODUÇÃO
A ocorrência de erros pode, a depender do referencial teórico, ser vista como um aspecto positivo do processo de aprendizagem (e.g. Davis & Esposito, 1991; Zorzi & Ciasca, 2009, para uma visão ligada à tradição da psicologia cognitiva) ou mesmo como um evento deletério, que deve ser evitado, por gerar subprodutos emocionais desfavoráveis ao engajamento e à motivação para o aprender, além de contribuir para a deterioração de repertórios já aprendidos (e.g. Stoddard & Sidman, 1967; Stoddard, de Rose, & McIlvane, 1986; Terrace, 1963).
Para Stoddard et al. (1986), erros não são aleatórios: (...) os erros não são ocorrências casuais que diminuem gradual e pacificamente à medida que a aprendizagem do desempenho correto tem lugar. Ao contrário, um programa de ensino que permite a ocorrência de erros oferece uma oportunidade para que o comportamento do aluno passe a ser controlado por estímulos irrelevantes. Este controle pode permanecer no repertório do sujeito, impedindo a aprendizagem, levando à deterioração de aprendizagens já ocorridas, ou contribuindo para a manutenção de um desempenho permanentemente falho (p. 18).
Erros são, portanto, respostas do aprendiz sob controle de aspectos da tarefa que são diferentes daqueles planejados pelo educador para serem elementos criticamente relevantes. Esse tipo de deslocamento de controle de estímulos (de Rose, 2005) pode se tornar recorrente em situações de aprendizagem subsequentes, aumentando a probabilidade de ocorrência de novos erros.
Estudos experimentais têm sugerido que aspectos aparentemente irrelevantes do procedimento, tais como posição dos estímulos usados, semelhança entre estímulos ou mesmo preferências a determinados estímulos decorrentes de história anterior do aprendiz no contato com os estímulos, podem exercer controle sobre o repertório do participante resultando em responder incorreto nas tarefas (McIlvane & Dube, 2003; Ray, 1969; Stoddard et al., 1986).
Assim, a ocorrência de erros pode ter implicações importantes para a aprendizagem de forma geral. Contudo, especificamente para a aprendizagem de leitura e escrita, a ocorrência de erros pode ter múltiplas fontes de controle. Por essa razão, estudos sobre categorização e análise específicas de erros de leitura e escrita podem gerar contribuições para o ensino desses comportamentos e consequentemente para a aprendizagem acadêmica de forma geral.
Nessa perspectiva, é importante atentar, tanto em ambiente escolar quanto experimental, para fatores relacionados aos procedimentos de ensino e aos estímulos (palavras) escolhidos. Alguns desses fatores podem favorecer e outros evitar a ocorrência de erros. No processo de aquisição da leitura, erros comumente se constituem de substituições, omissões e trocas (Cunha & Capellini, 2010; Goodman, 1976, citado em Valle, 1984; Pinheiro, Cunha e Lúcio, 2008) que podem indicar características do progresso na aquisição do comportamento de ler (Zorzi & Ciasca, 2009).
De acordo com a literatura, entre os fatores que influenciam erros no processo de aprendizagem de leitura e escrita estão (1) a familiaridade com a palavra (Dias & Ávila, 2008; Pinheiro, 2001; Pinheiro, Lúcio & Silva, 2008; Pinheiro & Rothe-Neves, 2001; Salles & Parente, 2002, 2007; Stivanin & Scheuer, 2007) medida pela frequência com que a palavra ocorre no ambiente do aprendiz ou na exposição a um texto específico, podendo variar de zero (pseudopalavra) até palavras muito frequentes; (2) extensão da palavra (Pinheiro, 2001; Pinheiro, Lúcio & Silva, 2008), medida pela quantidade de letras, em que palavras mais extensas (regulares ou não-palavras) resultam em maior tempo de 'processamento' da leitura e/ou mais erros em crianças de quinto ano escolar, consideradas leitores eficientes. A incidência de erros também foi negativamente correlacionada com progressão escolar (Capovilla & Dias, 2007; Dias & Ávila, 2008, Nobile & Barrera, 2009).
De forma geral, esses estudos mostram que a ocorrência de erros na leitura e na escrita é maior quanto menor a familiaridade do aprendiz com aquelas palavras (por exemplo, em pseudopalavras), assim como erros são mais freqüentes quanto maior a extensão das palavras (exceção para o estudo de Dias & Ávila, 2008). Os estudos também mostram redução de erros na medida em que as crianças progridem no sistema escolar, ampliando sua experiência de leitura (Nobile & Barrera, 2009).
Também tem sido relatado que erros são decorrentes de controle por apenas parte dos estímulos utilizados, o que tem sido denominado de controle restrito ou parcial (Alves, Kato, Assis, & Maranhão, 2007; Domeniconi, Costa, de Rose, & de Souza, 2009; Dube & McIlvane, 1997; Hora & Benvenuti, 2007; Stromer, McIlvane, Dube, & Mackay, 1993). Esse tipo de ocorrência pode ser exemplificado no ensino das palavras "palito" e "pacote". Uma vez tendo aprendido a dizer "palito" diante da palavra escrita "palito", o aprendiz pode fazê-lo atentando apenas para a primeira sílaba. Assim, ao ser apresentado a uma nova palavra que se inicia com a sílaba "pa", por exemplo "pacote", o aprendiz lê "palito". Esse tipo de erro mostra que a resposta "palito" está sob controle apenas da primeira sílaba "pa".
Uma das habilidades de um bom educador é saber identificar quais aspectos do ambiente controlam o comportamento do aprendiz. A ocorrência de erros pode conduzir os educadores na tarefa de (re)planejamento de procedimentos, de estratégias e de materiais de ensino, ao invés de apenas serem vistos como eventos corriqueiros e inerentes ao processo de aprender. A análise dos erros constitui um instrumento poderoso para desvendar o percurso trilhado pelo aprendiz, assim como as estratégias usadas por eles.
Uma ampla variedade de tipos de erros no processo de aprendizagem de leitura pode ser mapeada em diversos estudos da literatura com crianças como participantes (Dias & Ávila, 2008; Pinheiro, 2001; Cagliari (1989) e Carraher (1990) citados por Zorzi (1997); Zorzi & Ciasca, 2008; Zuanetti, Corrêa-Schnek, & Manfredi, 2008).
Pinheiro (2001), por exemplo, identificou os seguintes tipos: regularização fonética (grafema com fonema irregular lido como um fonema regular: boxe é lido como boche), acentuação tônica (deslocamento do acento tônico: café é lido como cáfe), mudança nas qualidades das vogais (o aluno lê uma vogal aberta como se fosse fechada ou vice-versa: vovô é lida como vovó), falhas na tradução ("confusão entre consoantes vocalizadas sonoras e não-vocalizadas surdas e entre consoantes com formas similares, troca de vogal e adição ou subtração de sílabas, nasais e consoantes pós-vocálicas r, s, l ou n", p. 543) e contextualização (falhas no uso de regras contextuais, como desconsiderar que a letra "s" entre vogais tem som de z, por exemplo).
Outro estudo (Zuanetti et al., 2008) encontrou como erros mais frequentes na aprendizagem da escrita: irregularidades; trocas, adições e omissões de letras; nasalizações; omissões de sílabas; hipercorreção (o aluno aprende que nem tudo se escreve da maneira como se fala, e começa a corrigir palavras que estão corretas); acentuação e apoio na oralidade (as palavras são escritas da forma como são faladas: patu ao invés de pato é um exemplo).
Em tarefa de ditado, Zorzi e Ciasca (2008), relataram como erros mais frequentes: representações múltiplas (grafemas que têm mais de uma opção de fonema), omissão de letras e apoio na oralidade/transcrição da fala.
Os dados apresentados por estes trabalhos permitem supor uma diversidade de aspectos dos procedimentos de ensino que podem dar origem a respostas consideradas incorretas em tarefas de leitura e escrita. Um programa de ensino de leitura e escrita deve estar preparado para identificar os tipos de erros cometidos pelos participantes. Conhecendo esses erros, é possível desenvolver procedimentos remediativos ou mesmo promover a melhoria do programa de forma a prevenir tais erros, o que seria o mais desejável.
Considerando a importância crítica de procedimentos eficazes para a alfabetização de adultos, é surpreendente que poucos estudos tenham explorado a tipologia de erros em leitura e escrita de jovens e adultos. Os estudos previamente citados foram conduzidos com crianças em idade escolar. A única exceção é o estudo de Zorzi e Ciasca (2008) que tinha, entre os participantes, crianças do ensino fundamental e adolescentes no segundo ano do ensino médio, mas que não tratou da comparação de erros entre as faixas etárias. Essa lacuna é especialmente crítica porque, como apontado anteriormente, diferentes tipos de erros sugerem adaptações diferentes de procedimentos corretivos e mesmo aperfeiçoamentos específicos em programas-padrão.
O padrão de erros de adultos na aprendizagem de leitura e escrita pode vir a ser diferente do encontrado com crianças, considerando sua extensa história de vida e exposição aos estímulos relevantes (palavras escritas e faladas). O conhecimento sobre a tipologia dos erros na aprendizagem de leitura e escrita por adultos iletrados pode subsidiar decisões futuras sobre a necessidade ou não de criação de programas específicos de alfabetização voltados a esta população.
Com essa preocupação, este trabalho teve como objetivo identificar/categorizar os erros (tipos e quantidades) cometidos por adultos iletrados durante o processo de aprendizagem da leitura e escrita, quando da aplicação do programa informatizado denominado "Aprendendo a ler e a escrever em pequenos passos -ALEPP" (Rosa Filho, de Souza, de Rose, Fonseca, & Hanna, 1998). Esta versão informatizada foi desenvolvida após testes bem sucedidos com material convencional (de Rose, de Souza, & Hanna, 1996; de Rose, de Souza, Rossito, & de Rose, 1989).
Na versão empregada neste estudo, as atividades de ensino são gerenciadas por uma plataforma de software que apresenta as atividades e registra todas as respostas (acertos e erros) dos alunos em um banco de dados on-line, garantindo precisão de controle e registro do processo de alfabetização. Aplicado em grande escala com crianças em idade escolar, o ALEPP tem sido eficiente no ensino de conjuntos de palavras e tem, adicionalmente, mostrado efeitos na leitura e na escrita generalizadas (Alves, Assis, Kato, & Brino, 2011; Benitez & Domeniconi, 2012; de Souza, de Rose, Faleiros, Bortoloti, Hanna, & McIlvane, 2009; Felippe, Rocca, Postalli, & Domeniconi, 2011; Lima, de Souza, Martinez, & Rocca, 2010; Reis, de Souza, & de Rose, 2009; Souza Junior, Monteiro, Pereira, Barros, & Marques, 2012).
O ALEPP também foi utilizado com adultos iletrados (Bandini, Bandini, Sella, & de Souza, 2014) e os resultados gerais (porcentagens de acertos em pré e pós-testes) replicaram aqueles encontrados com crianças. Porém, as autoras não analisaram os tipos de erros apresentados pelos aprendizes ao longo do procedimento de ensino, o que seria útil para uma melhor compreensão sobre o processo de aprendizagem dessa população, como pretendido com este estudo.
MÉTODO
O presente trabalho é um estudo descritivo no qual se identificou e categorizou os erros cometidos por adultos durante a aprendizagem de leitura e escrita ao longo de um programa informatizado de ensino.
Participantes
Os participantes deste trabalho foram 15 adultos iletrados (onze homens e quatro mulheres), com idades variando entre 17,6 (anos/meses) e 62,2. Treze deles estavam matriculados em duas turmas de Educação de Jovens e Adultos (EJA) em uma escola da rede municipal de educação de uma cidade do interior do estado de São Paulo (Brasil) e duas não frequentavam escola. Todos tinham histórico de pelo menos uma interrupção de percurso escolar, seja por dificuldade de conciliar estudo e trabalho, seja por morar longe (em fazendas ao redor da área urbana). Dois deles passaram a frequentar escola quando adultos. Nenhum dos 15 participantes tinha qualquer diagnóstico de transtorno do desenvolvimento ou cognitivo, nem indicação ou avaliação que os levassem a ser considerados portadores de algum grau de déficit cognitivo. Relatos dos professores (para os participantes que frequentavam escola) e uma avaliação realizada por uma das pesquisadoras indicaram, para todos os participantes, acertos muito baixos ou inexistentes na leitura de palavras isoladas. Antes de iniciar efetivamente a participação, os participantes assinaram o Termo de Consentimento Livre e Esclarecido, que era lido e explicado pela professora e/ou por alguém do círculo familiar do participante.
Instrumentos, materiais e situação experimental
Foram utilizados três notebooks, material de anotações, fichas para registro das atividades desenvolvidas pelos participantes a cada dia e módulos de ensino informatizados.
A aplicação do programa ocorreu na escola frequentada pelos participantes no período noturno (turmas de Educação de Jovens e Adultos) para 13 participantes. As duas participantes que não frequentavam escola foram atendidas em ambiente domiciliar no período vespertino. Durante a coleta de dados, permaneciam no ambiente apenas uma pesquisadora e os participantes da pesquisa. Cada participante trabalhava individualmente em um computador, que apresentava o material de ensino no formato de tentativas discretas, envolvendo estimulação auditiva e visual. Para evitar interferência do trabalho de um aluno sobre o outro, os computadores eram dispostos de modo que um aluno não via a tela do outro; além disso, cada participante portava fone de ouvido, que atenuava a estimulação auditiva proveniente do ambiente, incluindo os sons dos computadores dos demais participantes.
Foram empregados os dois módulos iniciais do Programa "Aprendendo a ler e a escrever em pequenos passos".
No Módulo 1 eram ensinadas 60 palavras regulares, formadas por duas ou três sílabas do tipo consoante-vogal (por exemplo: bolo, dedo, loja, luva, mala, pato, pipa, rede, suco, tatu, vaca, cavalo, gaveta, janela, menino, salada, tomate), distribuídas em 20 Passos de ensino (três palavras por Passo). Detalhes sobre conteúdo, sequência e procedimentos em cada passo podem ser encontrados em publicações prévias (de Rose et al., 1996; de Souza et al., 2009; Reis et al., 2009).
O Módulo 2 envolve a programação do ensino de 320 palavras irregulares, denominadas "dificuldades da língua", por acarretarem dificuldades na aprendizagem. As atividades são distribuídas em 80 passos de ensino (quatro palavras por passo), os quais foram organizados em 20 unidades. Cada unidade ensina um conjunto de 16 palavras (quatro passos) de uma mesma dificuldade (ou "problema de aprendizagem"), de modo que o módulo pode ser ensinado no conjunto ou por unidades. As configurações de estímulos textuais que representam a "dificuldade" alvo de cada unidade (um exemplo da cada) foram: ç (moça); c com som de s (ce-ci: cebola, vacina); lh (milho); nh (dedinho); ch (chave); g com som de j (ge-gi: gema, magia); r brando (farofa); s com som de z (s entre vogais: vaso); que-qui (queijo; quina); x com som de ch (lixo); ã-ão (rã; pavão); gue-gui (gueto, guia); e os encontros consonantais rr (carro); ss (massa); vogal-r-consoante (VrC: farda); vogal-s-consoante (VsC: pista); vogal-n-consoante (VnC: canto); vogal-l-consoante (VlC: palco); consoante-r-vogal (CrV: fruta); consoantel-vogal (ClV: globo).
Nos dois módulos, tentativas discretas envolviam pareamento entre palavras ditadas e palavras impressas, cópia com construção de palavras (construção de uma palavra igual à palavra-modelo apresentada no centro superior da tela, escolhendo-se cada letra de um conjunto de letras apresentados na parte inferior da tela), ditado com construção da palavra (construção da palavra por seleção de letras, tendo como modelo a palavra ditada), ditado manuscrito. O Módulo 1 ainda apresentava pareamentos entre: palavras ditadas e figuras; palavras impressas e as respectivas figuras (e vice-versa); e sílabas ditadas e sílabas impressas.
Procedimento
1. Aplicação do programa de ensino
Todos os participantes passaram inicialmente por uma avaliação computadorizada de leitura e escrita de palavras simples/regulares (sem dificuldades), denominado, neste trabalho, de Pré-avaliação do Módulo 1. O percentual de precisão de desempenho nessa avaliação designava o adulto para seu ponto de partida na sequência de ensino e avaliação. O participante poderia ser designado para o Módulo 1 (precisão menor que 70%), para a pré-avaliação do Módulo 2 (precisão maior ou igual a 70%); ou para o Módulo 2 (se a precisão fosse menor que 70% na préavaliação do Módulo 2).
As sessões de ensino eram conduzidas diariamente, de segunda a sexta-feira (mas a assiduidade do aluno definia quantas sessões ele realizava por semana). Durante uma sessão o aluno podia completar até três passos (de ensino, ou de ensino e avaliação), dependendo de sua própria disposição. O aprendiz podia, também, encerrar a sessão a qualquer momento (conforme o TCLE).
Em geral, havia dois ou três computadores funcionando simultaneamente. Cada participante sentava-se à frente de um computador e colocava o fone de ouvido e a sessão era, então, iniciada. As tentativas de ensino ou de teste iam se sucedendo na tela do computador e o participante tinha que apresentar uma resposta ativa, para finalizar uma tentativa e dar início à tentativa seguinte. O tipo de resposta requerida dependia do tipo de tarefa:
Tarefas de leitura
Leitura receptiva ou reconhecimento de palavras ou de sílabas; leitura com compreensão; leitura oral (ou comportamento textual).
Resposta por seleção: A tentativa iniciava por um estímulo modelo ou estímulo condicional (uma palavra ou sílaba ditada, uma palavra impressa ou uma figura). Em seguida eram apresentados os estímulos de comparação ou escolha (palavras ou sílabas impressas, ou figuras). A tarefa do aluno era escolher (por um click com o mouse) a palavra ou sílaba ou figura correspondente ao modelo, dentre as várias outras apresentadas simultaneamente na tela. Na leitura receptiva, ou reconhecimento, o modelo era ditado e os estímulos comparações eram palavras ou sílabas impressas; a leitura com compreensão era medida pelos emparelhamentos entre figuras e palavras impressas e vice-versa.
Resposta de nomeação (produção oral): Uma palavra, sílaba ou letra impressa era apresentada no centro superior da tela. Nesta tarefa o aprendiz era instruído a dizer o que estava escrito e o experimentador registrava, pelo teclado, se a resposta havia sido correta ou incorreta. Quando incorreta, o experimentador registrava também o que havia sido lido/nomeado pelo participante. A transcrição era gravada no arquivo de registro, mas não era apresentada na tela.
No Módulo 1 também era requerida a nomeação oral de figuras (uma figura por tentativa, apresentada no centro superior da tela) que, no entanto, não se caracteriza como uma tarefa de leitura.
Tarefa de ditado
O participante escrevia as sílabas ou as palavras ditadas pelo computador. Essa escrita podia ser na modalidade manuscrita (usando-se papel, lápis e borracha) ou na modalidade de escrita por construção. Nessa modalidade várias letras eram apresentadas na parte inferior da tela do computador em uma área designada como "rol de escolhas" e o participante escolhia as letras (usando o mouse), as quais se deslocavam para uma porção superior da tela, e iam sendo posicionadas na sequência em que eram tocadas, formando a palavra. O registro das respostas no ditado manuscrito era realizado pelo experimentador, que digitava a tecla de acerto ou transcrevia literalmente a escrita do aluno, em caso de erro. No ditado por construção, o registro era automático.
Tarefa de cópia
Diante de uma palavra ou sílaba apresentada na porção superior da tela do computador (modelo), o participante ia compondo a sílaba ou a palavra escolhendo as letras (ou sílabas) dentre várias (letras ou sílabas) exibidas no rol de escolhas.
Nas tarefas de ensino (de leitura, ditado e cópia), a seleção pelo aprendiz ou o registro do experimentador produzia, imediatamente, um feedback auditivo para acertos (sons, expressões de elogio, palmas, entre outros) e a mudança para a próxima tentativa. Erros produziam ou uma mensagem informativa (por exemplo "Não, não é") ou a repetição da mesma tentativa. Em tentativas de teste não havia feedback para acertos ou erros.
2. Categorização e análise de erros
Para cada um dos participantes, todas as respostas incorretas nas tarefas de leitura e ditado (manuscrito ou por construção) foram identificadas e separadas de acordo com a tarefa, com a fase do estudo (pré-avaliação e testes ao longo do ensino) e pelos módulos (1 e 2).
Inicialmente, cada erro foi avaliado quanto à possível pertinência a uma das 14 categorias relatadas na literatura (Barrera & Maluf, 2003; Cagliari, 1989 e Carraher, 1990, ambos citados por Zorzi, 1997; Nobile & Barrera, 2009; Salles & Parente, 2002, 2007; Zorzi & Ciasca, 2008; Zuanetti, Corrêa-Schnek & Manfredi, 2008). Todavia, uma grande quantidade das respostas incorretas produzidas pelos aprendizes deste estudo não se encaixava em nenhuma destas 14 categorias. Assim, foi necessária a criação de outras nove categorias. Um quadro categorial incluindo 18 categorias foi então estabelecido (Tabela 1 - Véase Anexo A). Foram excluídas da tabela as categorias que, tendo sido encontradas na literatura ou criadas pelas experimentadoras, não eram adequadas para ilustrar os erros analisados no estudo aqui relatado (categorias 1, 3, 10, 13 e 18). Para garantir a fidedignidade dos dados foi mantida a numeração da tabela original, sem essas categorias. Para cada categoria foi obtido um valor total (N) de frequência de ocorrência de erros.
Concordância entre avaliadores
Uma avaliadora independente foi treinada a realizar a categorização de erros usando esse quadro categorial. A concordância foi aferida integralmente (100% dos dados) para o Módulo 1 e por amostragem (10% dos dados) para o Módulo 2. Para cada categoria, o procedimento para aferição do índice de concordância foi a divisão do menor N (Avaliador 1 ou 2) pelo maior N e então multiplicando por 100. Assim, se, por exemplo, o Avaliador 1 atribuiu N=12 para uma determinada categoria e o Avaliador 2 atribuiu N=13, o índice de concordância teria sido: 12/13 x 100 = 92,30. A concordância entre avaliadores independentes foi 88,5% para o Módulo 1 e 93% para o Módulo 2.
RESULTADOS
Os dados obtidos são aqui analisados em termos de categorias encontradas, quantificação dos erros (freqüência) por categoria, comparação entre a ocorrência de erros nos Módulos 1 e 2 em seus totais e em cada tarefa (leitura, ditado por composição e ditado manuscrito). Também se analisa a frequência de erros por categoria considerando-se as atividades de pré-testes e testes durante o ensino.
Dos 15 participantes submetidos à pré-avaliação, sete iniciaram o Programa pelo Módulo 1 e apenas dois deles avançaram posteriormente para o Módulo 2. Oito participantes iniciaram o procedimento pelo Módulo 2: cinco por não alcançarem, na pré-avaliação, o critério de 70% de acertos na escrita, embora tenham apresentado precisão acima de 70% na leitura; e três por obterem escores menores que 70% em leitura e escrita. Nenhum participante finalizou o Módulo 2.
No conjunto dos passos de ensino e avaliação realizados pelos participantes foram identificados 433 erros na execução do Módulo 1 e 1.668 no Módulo 2. Essa diferença é compreensível dado que o Módulo 2 envolveu ensino e teste de palavras com dificuldades da língua.
A Tabela 1 (Veja o Apêndice A) mostra as categorias utilizadas para classificação dos erros apresentados por nossos aprendizes (categorias descritas na literatura e categorias criadas para o estudo).
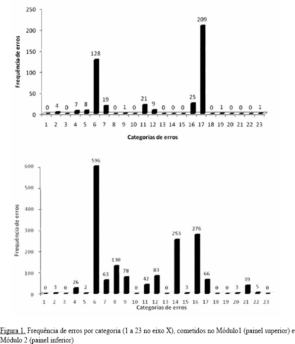
Não foram encontrados erros enquadráveis em seis das 14 categorias pré-existentes para o Módulo 1 (resultando em 42,9% das categorias com N=0) e em quatro das 14 para o Módulo 2 (21,4% das categorias com N=0); 61% dos erros encontrados no Módulo 1 e 13% do Módulo 2 foram categorizáveis de acordo com alguma das categorias novas. Esses erros em categorias novas foram bastante concentrados na categoria 17 para o Módulo 1 e nas categorias 17, 11 e 21, para o Módulo 2.
Quanto à frequência de erros por categoria, os dados mostram que as categorias destacadamente com maior incidência no Módulo 1 foram a 17 (dizer não sei ou escrever um conjunto desordenado de letras, com 55% dos erros) e a 6 (troca, adição ou omissão de letras, com 25,5% dos erros). Somados, os erros nessas duas categorias representam 80,5% dos erros no Módulo 1. Dentre outras categorias com incidência moderada de erros estão a 16 (concorrência fonêmica entre dois grafemas, com 5%), 11 (similaridade gráfica entre letras, com 2,3%) e 7 (troca, adição ou omissão de sílabas, com 4%).
Apenas 8,3% dos erros ocorreram nas demais categorias, o que indica grande concentração dos erros em apenas cinco categorias. Maior quantidade de erros na categoria 17 é explicável pelo fato de que ela englobava erros típicos de não leitores (dizer não sei, ou dizer ou escrever uma palavra totalmente distinta da palavra apresentada como modelo ou mesmo um conjunto de letras sem sentido). A Figura 1 apresenta esses dados.
As categorias com maior incidência no Módulo 2 foram a 6 (troca, supressão e adição de letras, com 35,7% dos erros), 16 (concorrência fonêmica entre dois grafemas, com 16,5%) e a 14 (troca de sílabas complexas por sílabas simples, com 15,2% dos erros). Somados, os erros nessas três categorias representam 67,4% dos erros no Módulo 2. Dentre outras categorias com incidência moderada de erros estão a 8 (dificuldades com a nasalização, com 7,8%), 12 (apoio na oralidade, com 5% dos erros), 9 (quando um grafema tem dois fonemas possíveis e ele escolhe o incorreto, com 4,7%), 17 (com 3,9%) e 7 (troca, omissão ou adição de sílaba, totalizando 3,8% dos erros). Apenas 7,4% dos erros ocorreram nas demais categorias.
A Figura 2 mostra a distribuição dos erros, dividindoos por tarefa (leitura, ditado manuscrito e ditado por construção). A figura considera, ainda, a separação entre pré-avaliação e erros nos testes da fase de ensino (embora uma avaliação da eficiência do programa de ensino não seja o foco central do presente estudo).
Os dados do Módulo 1 mostram grande eficiência do programa de ensino para reduzir erros na tarefa de ditado manuscrito, tanto na categoria 6 quanto na categoria 17 (ver diferença entre pré-avaliação e ensino). O programa também mostrou eficiência na redução de erros nas categorias 5, 7, 11 (especificamente para ditado manuscrito) e 16 (leitura e ditado manuscrito).
Os dados do Módulo 2 na Figura 2 mostram sistematicamente a eficiência do programa de ensino para reduzir erros, entre a pré-avaliação e as avaliações ao longo do ensino, na tarefa de ditado manuscrito (categorias 4, 6, 8, 9, 14, 16 e 21) e leitura (categorias 6, 7, 8, 9, 11, 16, 17).
Erros persistentes na pré-avaliação e nos testes ao longo do ensino permitem inferir dificuldade dos participantes na tarefa de ditado por construção, em diversas categorias de ambos os módulos (e.g. categorias 6, 17, mas também 11, 16 e 7 do Módulo 1; categorias 6, 14 e 16, mas também 7, 8, 9, 11, 12, e 17 do Módulo 2).
DISCUSSÃO
O presente trabalho explorou a identificação e categorização de erros cometidos por adultos iletrados durante o processo de aprendizagem da leitura e escrita em um programa de ensino informatizado. Conforme afirmado anteriormente, a análise dos erros é uma importante fonte de identificação de deficiências de programas de ensino e pode apontar direções para seu aperfeiçoamento e para a criação de tarefas específicas que levem à superação da fonte de controle para o erro. Pode, também, sugerir direções de pesquisa para explorar condições de ensino compatíveis com os repertórios de entrada da população de jovens e adultos iletrados, com vistas à aprendizagem bem sucedida, sem a ocorrência de uma grande quantidade de erros que interfira negativamente com a aprendizagem (McIlvane & Dube, 2003; Stoddard et al., 1986; Stoddard & Sidman, 1967).
Os dados mostrados na Tabela 1 (Anexo) sugerem certa especificidade da tipologia de erros encontrada no ensino de leitura e escrita com adultos em relação à tipologia de erros relatada na literatura, especialmente em relação ao Módulo 1. Essa é, contudo, uma especulação que aponta um direcionamento para pesquisas futuras, nas quais seja analisada, experimentalmente, a diferença de tipologia de erros na comparação entre um grupo de participantes adultos e outro de crianças.
Os dados apresentados na Figura 1 mostram que, apesar de ter sido mapeada uma variedade de categorias maior que a relatada na literatura (c.f. Tabela 1), os erros estão concentrados principalmente em duas (17 e 6) categorias para o Módulo 1 e três (6, 16 e 14) para o Módulo 2. Reitera-se, portanto, que os dados obtidos no presente estudo não permitem falar em maior variedade de tipos de erros obtidos com os adultos, somente com base no fato de que foi necessário criar categorias novas.
A inexistência, na literatura, de dados de análise de erros com crianças que utilizaram o mesmo o programa informatizado, nos impede de afirmar com precisão qual aspecto do trabalho (especificidade de nossos participantes [adultos] ou de procedimentos) foi responsável pela ocorrência destas novas categorias de erros.
Os dados apresentados na Figura 2 indicam necessidade de cuidadoso planejamento dos programas para jovens e adultos iletrados no que diz respeito à tarefa de ditado por construção. É possível que o ditado por construção tenha gerado erros persistentes em função da experiência restrita dos participantes com recursos informatizados. Os dados mostram que os participantes desempenharam melhor a tarefa de ditado quando manuscrito. É possível que desempenho preciso também fosse obtido com ditado por construção empregando letras móveis, tridimensionais, de madeira (como os palitos empregados por Hanna, de Souza, de Rose e Fonseca, 2004) ou borracha (EVA), de forma que os alunos pudessem construir as palavras, mesmo que com habilidades manuais pouco sofisticadas. Esta, no entanto, é uma questão a ser verificada experimentalmente.
O uso de mouse, teclado e monitor difere muito do uso de lápis, papel, borracha e lousa. Uma quantidade significativa das trocas de letras decorreu de confusão envolvendo similaridade gráfica entre as letras disponíveis para escolha nas tentativas de ditado por construção (em que é apresentado na tela um conjunto limitado de letras e o participante vai escolhendo as letras que compõem a palavra na sequencia supostamente correta). Os erros tenderam a ocorrer, por exemplo, nos casos em que as opções de seleção se assemelham em forma (t-f, i-l, m-n, h-n, u-n, p-q, d-b, g-p...). Este tipo de erro corresponde a uma das novas categorias criadas (a de número 11). Outros exemplos que remetem claramente à especificidade do método aplicado são as categorias 22 (incompreensão do modelo auditivo) e 23 (fatores não textuais), que agrupam erros decorrentes do uso de tecnologia, como dificuldade de discriminação auditiva da palavra ditada pelo computador (voz feminina gravada e apresentada pelos alto-falantes), ou clicks fora da área correta na tela.
A vantagem do ditado por construção informatizado é, contudo, que o sistema provê feedback imediato de acerto ou erro sem a dependência do acompanhamento individualizado por um instrutor (isso permite uma aplicação em maior escala, sem a necessidade de grande número de instrutores). Com o ditado manuscrito, será sempre necessário que o aprendiz aguarde feedback do instrutor. Por essa razão, é recomendável que programas desse tipo para esta população prevejam uma etapa inicial de aprendizado de habilidades de uso de ferramentas básicas do recurso informatizado, como uma forma de manter o ditado por construção, mas reduzindo erros. Isso pode ter impacto positivo na motivação e no engajamento dos participantes (Stoddard et al., 1986).
Os dados apresentados no presente estudo mostram que a metodologia aqui adotada é promissora para explorar um aspecto que nos parece central desta área de estudos: a busca por conhecimento mais completo sobre tipologia e diversidade de erros na alfabetização com diferentes populações, e suas diferentes fontes. O presente estudo é um passo inicial no levantamento dos tipos e natureza dos erros encontrados em processo de aquisição de leitura e escrita por jovens e adultos, considerando a variedade de tipos de erros já relatada na literatura. Estudos mais aprofundados sobre essa tipologia de erros poderiam ser conduzidos com estudos experimentais que explorassem algumas variáveis como os tipos de procedimentos (informatizados ou não) e materiais utilizados (bi ou tridimensionais, manipuláveis ou não), bem como a quantidade de exposição a relações entre palavras impressas e escritas (por seleção ou por produção de resposta oral e escrita). Seria importante, também, isolar aspectos da experiência de escolarização de participantes jovens e adultos (haveria diferenças de desempenho entre os que tiveram algum grau de escolarização interrompida há longo tempo e os que não tiveram qualquer experiência acadêmica?).
A comparação de grupos de crianças e adultos também se beneficiaria de maior volume de dados e, sobretudo, de dados coletados sob condições similares de ensino e teste. Uma limitação do presente estudo está no fato de que os dados são baseados na aplicação do sistema informatizado e as categorias encontradas na literatura são baseadas em estudos que em grande medida não seguem este formato. Embora a aplicação desse mesmo programa informatizado esteja sendo feita em larga escala em escolas municipais no interior de São Paulo (de Souza et al., 2009), estudos específicos sobre a tipologia dos erros ainda não foram realizados. Sugere-se a realização de estudos subsequentes em que a análise aqui apresentada seja também conduzida sobre dados de erros com crianças (público-alvo original do programa) com a finalidade de se obter uma base de comparação de tipologia que seja comparável com aquela aqui relatada.
Adicionalmente, estudos específicos sobre a eficácia deste programa informatizado com adultos iletrados devem e estão sendo desenvolvidos. Avaliar a aprendizagem de ler e escrever implica avaliar mais as condições em que se dá o ensino, isto é, as condições de treino programadas pelo educador, do que efetivamente avaliar o desempenho propriamente dito. Se estas condições não resultam em aprendizagem do conteúdo planejado, elas devem ser revisadas. Deve-se, então, considerar a adequação entre o repertório inicial do aprendiz e o conteúdo inicial trabalhado, a qualidade e quantidade de instruções necessárias e efetivamente fornecidas para a realização da tarefa, a forma como está organizado o conteúdo (sequência, tamanho das unidades entre outros aspectos) e a qualidade e quantidade de feedback fornecido ao aprendiz.
A análise feita no presente estudo não responde plenamente à questão da eficiência do programa para produzir a diminuição de erros, mas indica a necessidade de olhar a organização do programa (quantidade e sequenciação de atividades de leitura e escrita, a escolha das palavras, o momento de se apresentar pseudopalavras ou palavras de generalização [palavras compostas por reorganização de letras e sílabas das palavras ensinadas, empregadas apenas em testes, sem feedback]), e pensar reformulações que melhorem sua eficácia e eficiência no aprendizado de ambas as habilidades.
Por exemplo, pode-se planejar o ensino da escrita desde o começo. Na estrutura atual do sistema, somente no Módulo 2 a escrita é requerida como critério para prosseguir ao longo dos passos de ensino. No Módulo 1, as tentativas de escrita são apenas tentativas de sonda (monitoram a emergência da escrita), em que respostas incorretas não geram tentativas planejadas para o ensino da habilidade. Incluir o ensino direto de escrita no Módulo 1, envolvendo apenas palavras regulares (com controle de estímulos menos complexos), talvez resulte em menor quantidade e diversidade de erros no desenvolvimento da escrita, facilitando não só o aprendizado da escrita mas também o da leitura, visto que estudos anteriores têm indicado que o ensino de uma habilidade contribui com o aprendizado da outra habilidade (Reis, Postalli, & de Souza, 2013).
REFERÊNCIAS
1. Alves, K. R. S., Assis, G. J. A., Kato, O. M., & Brino, A. L. F. (2011). Leitura recombinativa após procedimentos de fading in de sílabas das palavras de ensino em pessoas com atraso no desenvolvimento cognitivo. Acta Comportamentalia, 19, 183-203. [ Links ]
2. Alves, K. R. S., Kato, O. M., Assis, G. J. A., & Maranhão, C. M. A. (2007). Leitura recombinativa em pessoas com necessidades educacionais especiais: Análise do controle parcial pelas sílabas. Psicologia: Teoria e Pesquisa, 23(4), 387-398. [ Links ]
3. Bandini, C. S. M., Bandini, H. H. M., Sella, A. C., & de Souza, D. G. (2014). Emergence of reading and writing in illiterate adults after matching-to-sample tasks. Paidéia, 24 (57), 75-84. [ Links ]
4. Barrera, S. D, & Maluf, M. R. (2003). Consciência metalingüística e alfabetização: Um estudo com crianças da primeira série do ensino fundamental. Psicologia: Reflexão e Critica, 16(3), 491-502. [ Links ]
5. Benitez, P., & Domeniconi, C. (2012). Verbalizações de familiares durante aprendizagem de leitura e escrita por deficientes intelectuais. Estudos de Psicologia, 29, 553-562. [ Links ]
6. Capovilla, A. G. S., & Dias, N. M. (2007). Desenvolvimento de estratégias de leitura no ensino fundamental e correlação com nota escolar. Psicologia em Revista, 13(2), 363-382. [ Links ]
7. Cunha, V. L. O., & Capellini, S. A. (2010). Caracterização dos tipos de erros na leitura de escolares de 1ª à 4ª série do ensino fundamental. Temas sobre Desenvolvimento, 17(98), 74-78. [ Links ]
8. Davis, C., & Esposito, Y. L. (1991). O Papel e a função do erro na avaliação escolar. Revista Brasileira de Estudos Pedagógicos, 72, 196-206. [ Links ]
9. De Rose, J.C. (2005). Análise comportamental da aprendizagem de leitura e escrita. Revista Brasileira de Análise do Comportamento, 1(1), 19-50. [ Links ]
10. De Rose, J. C., de Souza, D. G., & Hanna, E. S. (1996). Teaching reading and spelling: Exclusion and stimulus equivalence. Journal of Applied Behavior Analysis, 29(4), 451-469. [ Links ]
11. De Rose, J.C., de Souza, D.G., Rossito, A. L., & de Rose, T. M. S. (1989). Aquisição de leitura após história de fracasso escolar: Equivalência de estímulos e generalização. Psicologia: Teoria e Pesquisa, 5(3), 325-346). [ Links ]
12. De Souza, D. G., de Rose, J. C., Faleiros, T. C., Bortoloti, R., Hanna, E. S., & McIlvane, W. J. (2009). Teaching generative reading via recombination of minimal textual units: A legacy of verbal behavior to children in Brazil. The International Journal of Psychology and Psychological Therapy, 9 (1), 19-44. [ Links ]
13. Dias, R. S., & Ávila, C. R. B. (2008). Uso e conhecimento ortográfico no transtorno específico da leitura. Revista da Sociedade Brasileira de Fonoaudiologia, 13(4), 381-390. [ Links ]
14. Domeniconi, C.; Costa, A. R. A.; de Rose, J. C., & de Souza, D. G. (2009). Controle restrito de estímulos em participantes com Síndrome de Down. Interação, 13, 91-100. [ Links ]
15. Dube, W.V., & McIlvane, W.J. (1997). Variáveis de reforçamento e discriminação de estímulos complexos em deficientes mentais. Temas em Psicologia, 5(4), 7-14. [ Links ]
16. Felippe, L., Rocca, J. Z., Postalli, L. M. M., & Domeniconi, C. (2011). Ensino de palavras retiradas de livros de histórias infantis por meio do procedimento de exclusão. Temas em Psicologia, 19, 563-578. [ Links ]
17. Hanna, E.S., de Souza, D.G., de Rose, J.C., & Fonseca, M.L. (2004). Effects of delayed constructed-response identity matching on spelling of dictated words. Journal of Applied Behavior Analysis, 37, 223-227. [ Links ]
18. Hora, C. L., & Benvenuti, M. F. L. (2007). Controle restrito em uma tarefa de matching-to-sample com palavras e sílabas: Avaliação do desempenho de uma criança diagnosticada com autismo. Revista Brasileira de Análise do Comportamento, 3(1), 29-45. [ Links ]
19. Lima, D. C., de Souza, D. G., Martinez, C. M. S., & Roca, J. Z. (2010). Atividades recreativas como suporte na ampliação de vocabulário e na aquisição de leitura por não-leitores. Revista de Terapia Ocupacional, 21, 61-67. [ Links ]
20. McIlvane, W. J., & Dube, W. V. (2003). Stimulus control topography coherence theory: Foundations and extensions. The Behavior Analyst, 26, 195-213. [ Links ]
21. Nobile, G. G. & Barrera, S. D. (2009). Análise de erros ortográficos em alunos do ensino público fundamental que apresentam dificuldades na escrita. Psicologia em Revista, 15 (2), 36-55. [ Links ]
22. Pinheiro, A. M. V. (2001). Heterogeneidade entre leitores julgados competentes pelas professoras. Psicologia: Reflexão e Crítica, 14(3), 537-551. [ Links ]
23. Pinheiro, A. M. V., Lúcio, P. S., & Silva, D. M. R. (2008). Avaliação cognitiva de leitura: O efeito de regularidade grafema-fonema e fonema-grafema na leitura em voz alta de palavras isoladas no português do Brasil. Psicologia: Teoria e Prática, 10(2), 16-30. [ Links ]
24. Pinheiro, A. M. V., Cunha, C. R., & Lucio, P. S. (2008). Tarefa de leitura de palavras em voz alta: Uma proposta de análise dos erros. Revista Portuguesa de Educação, 21(2), 115-138. [ Links ]
25. Pinheiro, A. M. V., & Rothe-Neves, R. (2001). Avaliação cognitiva de leitura e escrita: As tarefas de leitura em voz alta e ditado. Psicologia: Reflexão e Crítica, 14(2), 399-408. [ Links ]
26. Ray, B. A. (1969). Selective attention: The effects of combining stimuli which control incompatible behavior. Journal of the Experimental Analysis of Behavior, 12, 539-550. [ Links ]
27. Reis, T. S., de Souza, D. G., & de Rose, J. C. (2009). Avaliação de um programa para o ensino de leitura e escrita. Estudos em Avaliação Educacional, 20(44), 425-450. [ Links ]
28. Reis, L. S, Postalli, L. M. M., & de Souza, D.G. (2013). Teaching spelling as a route for reading and writing. Psychology & Neuroscience, 6(3), 365-373. [ Links ]
29. Rosa Filho, A. B., de Souza, D. G., de Rose, J. C.C, Fonseca, M. L., & Hanna, E. S. (1998). Progleit: Software para programação de atividades para o ensino de leitura. [ Links ]
30. Salles, J. F., & Parente, M. A. M. P. (2002). Processos Cognitivos na Leitura de Palavras em Crianças: Relações com Compreensão e Tempo de Leitura. Psicologia: Reflexão e Crítica, 15(2), 321-331. [ Links ]
31. Salles, J. F., & Parente, M. A. M. P. (2007). Avaliação da leitura e escrita de palavras em crianças de 2ª série: Abordagem neuropsicológica cognitiva. Psicologia: Reflexão e Crítica, 20(2), 220-228. [ Links ]
32. Souza Junior, G. N., Monteiro, D. C., Pereira, A. B. C., Barros, E. S., & Marques, L. B. (2012). Máquina de aprendizagem como ferramenta de auxílio na análise comportamental no ensino da leitura. RENOTE: Revista Novas Tecnologias na Educação, 1, 1-11. [ Links ]
33. Stivanin, L., & Scheuer, C. I. (2007). Tempo de latência para a leitura: Influência da freqüência da palavra escrita e da escolarização. Revista da Sociedade Brasileira de Fonoaudiologia, 12(3), 206-13. [ Links ]
34. Stoddard, L. T., de Rose, J. C., & McIlvane, W. J. (1986). Observações curiosas acerca do desempenho deficiente após a ocorrência de erros. Psicologia, 12, 1-18. [ Links ]
35. Stoddard, L. T., & Sidman, M. (1967). The effects of errors on children's performance on a circle-ellipse discrimination. Journal of the Experimental Analysis of Behavior, 10, 261-270. [ Links ]
36. Stromer, R., McIlvane, W. J., Dube, W. V., & Mackay, H. A. (1993). Assessing control by elements of complex stimuli in delayed matching to sample. Journal of Experimental Analysis of Behavior, 59, 83-102. [ Links ]
37. Terrace, H. S. (1963). Discrimination learning with and without "errors". Journal of the Experimental Analysis of Behavior, 6, 1-23. [ Links ]
38. Valle, T. G. M. do (1984). Análise de dificuldades de leitura e escrita em alunos repetentes de primeira série do primeiro grau. (Dissertação de Mestrado não publicada). Universidade Federal de São Carlos. São Carlos, SP. [ Links ]
39. Zorzi, J.L. (1997). A apropriação do sistema ortográfico nas 4 primeiras séries do primeiro grau. (Tese de Doutorado não publicada). Universidade Estadual de Campinas. Campinas, SP. [ Links ]
40. Zorzi, J. L., & Ciasca, S. M. (2008). Caracterização dos erros ortográficos em crianças com transtornos de aprendizagem. Revista CEFAC, 10(3), 321-331. [ Links ]
41. Zorzi, J. L., & Ciasca, S. M. (2009). Análise de erros ortográficos em diferentes problemas de aprendizagem. Revista CEFAC, 11(3), 406-416. [ Links ]
42. Zuanetti, P. A., Correa-Schneck A. P., & Manfredi, A. K. S. (2008). Comparação dos erros ortográficos de alunos com desempenho inferior em escrita e alunos com desempenho médio nesta habilidade. Revista da Sociedade Brasileira de Fonoaudiologia, 13(3), 240-245. [ Links ]










texto en 


