SciELO - Scientific Electronic Library Online

 
vol.25 número1Enzymatic isolation of protoplasts from the mesophilus of vitroplants Gynerium sagittatum Aubl. Beauv. cv. “Criolla”Biomass production and chemical characterization of Lentinula edodes grown in a bioreactor under different conditions índice de autoresíndice de assuntospesquisa de artigos
Home Pagelista alfabética de periódicos  

Serviços Personalizados

Journal

Artigo

Indicadores

Links relacionados

  • Em processo de indexaçãoCitado por Google
  • Não possue artigos similaresSimilares em SciELO
  • Em processo de indexaçãoSimilares em Google

Compartilhar


Revista Colombiana de Biotecnología

versão impressa ISSN 0123-3475

Rev. colomb. biotecnol vol.25 no.1 Bogotá jan./jun. 2023  Epub 11-Dez-2023

https://doi.org/10.15446/rev.colomb.biote.v25n1.100883 

Artículos/Investigación

Actividad bactericida de anticuerpos anti-ABO en colonias aisladas de Escherichia coli

Bactericidal activity of anti-ABO antibodies in isolated colonies from Escherichia coli

* Biomedicine Course, Universidade do Vale do Itajaí (UNIVALI), Itajaí, 88032-005, Brazil. ORCID: https://orcid.org/0000-0002-4900-8471. Email: nicollibutzkesouza31@edu.univali.br

** Biomedicine Course. UNIVALI. Itajaí, 88032-005, Brazil. ORCID: https://orcid.org/0009-0008-8395-2109. Email: naiaramgomes@gmail.com

*** College of Health Sciences. UNIVALI. Itajaí, 88032-005, Brazil. ORCID: https://orcid.org/0000-0002-3944-9265. Email: bellacruz@univali.br

**** College of Health Sciences. UNIVALI. Itajaí, 88032-005, Brazil. ORCID: https://orcid.org/0000-0002-1923-585X. Email: danivalca@univali.br

***** Biomedicine Course. UNIVALI. Itajaí, 88032-005, Brazil. ORCID: https://orcid.org/0009-0007-1962-5173 Email: manuscozer@hotmail.com

****** College of Health Sciences. UNIVALI. Itajaí, 88032-005, Brazil. ORCID: https://orcid.org/0000-0002-0143-4914. Email: alexandregeraldo@univali.br


RESUMEN

Se ha estudiado la interacción entre antígenos ABO y microorganismos, incluidos los presentes en la microbiota, sobre la posible acción de antígenos y anticuerpos ABO en la susceptibilidad a enfermedades infecciosas. El objetivo de esta investigación fue determinar el título mínimo de la bacteria Escherichia coli capaz de sufrir la acción bactericida in vitro de los anticuerpos humanos anti-ABO. La selección de las muestras de sangre utilizadas se realizó mediante la aplicación de un cuestionario, fenotipado sanguíneo (un voluntario de cada fenotipo ABO) y la titulación de anticuerpos ABO. Se preparó una suspensión bacteriana (inoculo) y se agregó al suero de los voluntarios, seguido de la inoculación en Mueller Hinton Agar, luego de 24 horas, los resultados se leyeron e interpretaron con análisis por duplicado. No hubo diferencia significativa en la Prueba Bactericida entre las pruebas 1 y 2 en los grupos sanguíneos A, B, AB, O y Control Positivo. Hubo una diferencia significativa en el suero humano puro cuando se analizó el Grupo A x Control Positivo; Grupo B x Control Positivo; Grupo AB x Control Positivo y Grupo O x Control Positivo. No hubo diferencia significativa en las otras diluciones. Se concluye que los anticuerpos anti-ABO tienen efecto bactericida cuando existe una alta concentración de bacterias en el ambiente.

Palabras chave: capacidad bactericida; anticuerpos anti-ABO, Escherichia coli

ABSTRACT

The interaction between ABO antigens and microorganisms, including those present in the microbiota, has been studied about the possible action of antigens and ABO antibodies in susceptibility to infectious diseases. This research aimed to determine the minimum titer of the Escherichia coli bacteria capable of undergoing in vitro bactericidal action of human anti-ABO antibodies. The selection of blood samples was performed through a questionnaire, blood phenotyping (one volunteer of each ABO phenotype), and the titration of ABO antibodies. A bacterial suspension (inoculum) was prepared and added to the serum of the volunteers, followed by inoculation in Mueller Hinton Agar. After 24 hours, the results were read and interpreted with duplicate analysis. There was no significant difference in the bactericidal test between tests 1 and 2 in blood groups A, B, AB, O, and Positive Control. There was a significant difference in pure human serum when Group A x Positive Control was analyzed, Group B x Positive Control, Group AB x Positive Control, and Group O x Positive Control. There was no significant difference in the other dilutions. It is concluded that anti-ABO antibodies have a bactericidal effect when there is a high concentration of bacteria in the environment.

Keywords: bactericidal capacity; anti-ABO antibodies; Escherichia coli

INTRODUCTION

The ABO blood system consists mainly of two antigens (A and B) formed by carbohydrates, with four possible phenotypes A, B, AB, and O, and the most frequent among the population of Latin America are O, A, B, and AB, respectively, according to Alvarado et al. (2020); Bermúdez et al. (2012) and Pereira & Siebert (2020). The antigens of the ABO system are: A, B, and H, and the antigens A and B are autosomal codominant, and the H antigen (phenotype O) is autosomal recessive. The FUT1 gene, coded on chromosome 19, is responsible for regulating the production of the H antigen, and the ABO gene, coded on chromosome 9, is responsible for regulating the production of antigens A and B; these antigens are present in the blood (erythrocytes), among other tissues such as bone marrow, placenta, and spleen. If expressed, secretive status, coded by the FUT2 gene, antigens of the ABO blood system can be found in tissues such as the trachea, parotid and salivary glands, gastric and intestinal mucosa, uroepithelial cells (bladder and kidney) and female reproductive tract (vagina, cervix, and ovary) (Cooling, 2015; Pereira & Siebert, 2020; Silva-filho et al., 2020).

Antibodies against ABO antigens (anti-A and anti-B) can be developed by alloimmune and natural stimulation. Alloimmune stimulus occurs when there is contact with incompatible ABO red cells antigens and may occur through transplantation, transfusion, and/or pregnancy. Natural anti-ABO formation happens through contact with bacteria of the microbiota that have similar antigens to those of the ABO blood group, passively and constantly stimulating the formation of antibodies (Geraldo, 2013).

The interaction between ABO antigens and microorganisms has been researched, including those in the microbiota, especially the action of antigens and ABO antibodies in susceptibility to infectious diseases (Chakrani et al., 2018; Ewald & Sumner 2016; Stowell et al., 2010; Uchida et al., 2006). The association of the ABO system with various diseases and their degrees of severity has been linked to the expression of antigens in the red cell membrane and histocompatibility, which serve as pathogens receptors. However, the relationship may also be associated with the presence or not of natural antibodies in this blood group, according to Cooling (2015); Ewald & Sumner (2016); Garratty (2000); Geraldo & Martinello (2020). In particular, antigens of the ABO system may interact with bacteria to aid the adherence to tissues and/or cells or inhibit them (Cooling, 2015; Uchida et al., 2006).

Using anti-ABO antibodies may be a strategy for combating pathogens (Kappler & Hennet, 2020; Xia et al., 2020). Researches indicate that the presence of anti-A in human plasma provides lower rates of development of SARS-CoV2, according to Gérard et al. (2020), and Xia et al. (2020), and the absence of anti-A represents a facilitator for COVID-19 infection, according to Breiman et al. (2020) and Hoiland et al., (2020). For other viruses, such as the Human Immunodeficiency Virus (HIV) (Chanzu et al., 2015) and Norovirus (Hosoi, 2008; Hutson et al., 2003) this angle of research has already been carried out. Researchers have explored using natural anti-A, anti-B, and anti-Galα1-3Gal antibodies to neutralize other virus species through bonding as a protection strategy for individuals (Onsten, 2010).

In addition, some researchers also evaluated the action of anti-ABO antibodies on bacteria such as Vibrio cholerae and Helicobacter pylori, according to Cooling, 2015; Galili et al., 1988 and Guerra et al., 2013, do not make it clear whether the action of these antibodies is bactericidal or bacteriostatic (Geraldo et al., 2016; Hedestam et al., 2008; Onsten, 2010; Stowell et al., 2010; Uchida et al., 2006; Zhang et al., 2013).

This research aimed to determine the minimum titer of the Escherichia coli bacteria capable of undergoing in vitro bactericidal action of a given titer of human anti-ABO antibodies.

MATERIALS AND METHODS

Selection of the blood samples

Human blood samples were obtained from volunteers, and for their inclusion in the tests, they should meet the following criteria: age between 18 and 69 years old; individuals of either sex. In order to evaluate the exclusion criteria, a questionnaire was applied to the research subjects, since individuals who have used antibiotics and/or anti-inflammatory drugs in the last 90 days and/or individuals who have undergone surgical and/or dental procedures in the previous 90 days were excluded from recruitment to obtain biological samples. After treating two biological blood samples, one with EDTA anticoagulant and another without anticoagulant (5 mL each), the titer of anti-ABO antibodies was evaluated. Individuals with antibody titers lower than 1:32 were excluded from the research. The research was carried out with a volunteer from each blood group A, B, AB, and O.

This research was approved by the Ethics and Research Committee of Universidade do Vale do Itajaí (UNIVALI) upon advice number 4.013.440.

Phenotyping of the ABO system

The determination of the phenotyping of the ABO system of the individuals was performed by centrifugation of the sample with EDTA anticoagulant for 5 minutes at 1,000 g. A 3% red blood cell suspension was prepared in sterile saline (0.9% sodium chloride solution).

The determination of the ABO phenotype was performed through direct and reverse testing by the tube technique, according to the Ministério da Saúde (2014). Monoclonal anti-A, anti-B, and anti-AB reagents and A1 and B red blood cells reagents from Bio-Rad Laboratories® were used. The reactions were read after additional centrifugation of the tubes for 15 seconds at 2,326 g. The tube technique followed the pattern of reading the reaction intensity, according to Girello and Kuhn (2016).

Determination of anti-ABO antibodies titers

The determination of the titer of anti-A and anti-B antibodies was performed according to Judd et al. (2008) through serial plasma titration of the individuals. A dilution battery was performed for anti-ABO antibodies up to 1:512 in 0.9% sterile saline at room temperature. Samples collected with EDTA anticoagulant were centrifuged for 5 minutes at 1,000 g, and 50 µL plasma was added to the tubes accompanied by 50 µL A1 3% red blood cell suspension of the Bio-Rad Laboratories® reagent was added to the previously identified tubes of blood group B, and 50 µL B 3% red blood cell suspension of the Bio-Rad Laboratories® reagent was added to the previously identified tubes of blood group A; for blood group O both titrations were performed to evaluate anti-A and anti-B antibodies. Subsequently, the tubes were homogenized and centrifuged at 2,326 g for 15 seconds. The reaction was read by verifying the presence or absence of hemolysis and/or agglutination according to Girello and Kuhn (2016). The antibody Titus was determined when agglutination occurred in the last dilution tube in which the intensity of agglutination observed was 1+. Elevated ABO antibody titers were considered those with positive reaction in dilution equal to or greater than 1:32, adapted according to the criteria adopted by the English National Health Service Blood and Transplant (NHSBT) (Win, 2011).

Preparation of bacterial inoculum

To determine the bacteria titer, a solution with Escherichia coli (ATCC 25922) was prepared by the suspension of 5 colonies isolated in 5 mL sterile saline from the bacterium previously grown in Mueller-Hinton agar for 24 hours. The concentration of cells was adjusted by comparing the suspension and number 0.5 (equivalent to 1.5. 108 cells/mL) from MacFarland Scale, followed by dilution to reach a concentration of 1.5.10³ cells/mL.

Bactericidal Test

Solutions for the bactericidal tests were prepared through serial dilutions (1:1 to 1:64 parts) in sterile microcentrifuge tubes. 100 µL inoculum was added to the microcentrifuge tubes in dilutions 1:1 and 1:2, and then serial inoculum dilutions were started in the microcentrifuge tubes at 1:2, 1:4, 1:8, 1:32 and 1:64 dilutions, adding 100 µL 0.9% sterile saline.

After the preparation of serial dilutions, 100 µL of serum from volunteers was added to the microcentrifuge tubes. Serum preparation was performed by separating red blood cells using centrifugation of 1,000 g for 10 minutes and separated by blood groups A, B, O, and AB (negative control) in each dilution series. The preparation of the final solution (saline with inoculum + serum) did not exceed 20 minutes, aiming at preserving the concentration of bacterial cells. Subsequently, 100 µL each solution was inoculated (saline with inoculum + serum) by spreading with the Drigalski inoculation loop in Petri plates with Mueller-Hinton agar (identified according to blood groups and dilutions) incubated at 35 °C for 24 hours. After incubation, the colony-forming units (CFU) were counted.

Positive Control of Bactericidal Test

To evaluate the capacity of bacterial growth, inoculations were performed in Mueller-Hinton agar with 100 µL of the inoculum and dilutions from 1:2 to 1:64 in 0.9% sterile saline solution; by spreading with the Drigalski inoculation loop. The plates were incubated at 35 °C for 24 hours, with a posterior count of the colony-forming units (CFU).

Negative Control of Bactericidal Test

Sample without antibodies from the ABO system

To evaluate the bactericidal potential of the antibodies of the ABO system, inoculations identical to those of the Bactericidal Test with the serum of blood group AB in Mueller-Hinton agar were performed; by spreading with the Drigalski inoculation loop. It was used as a negative control due to the absence of characteristic antibodies of the phenotype.

Controls were performed to certify the sterility of the culture medium, saline, and human serum samples used in the research.

Statistical analysis

The Tukey Multiple Comparison Test was applied to the experimental data, with a 95% confidence interval to verify the correlation between the concentration of bacteria and antibody titer against ABO antigens, using the GraphPad Prism® program version 8.0 of 2019. ANOVA Two-way analysis was performed to evaluate the interaction force between the results of dilutions with a 95% confidence interval. The research was carried out in duplicate (tests 1 and 2) with an interval of 21 days for the new biological sample collection of the same volunteers. The comparison of the blood group titers and the CFU of assays 1 and 2 was confirmed by paired T-Test analysis (p<0.05) with a 95% confidence interval.

RESULTS

Ten volunteers (100%) between the ages of 18 and 69 were initially recruited, and no volunteer was excluded from the survey when applying the questionnaire. After applying the exclusion criteria, six of the recruited volunteers (n=6 or 60%) were found to have anti-ABO antibody titers less than 1:32 and were subsequently excluded from the research. Regarding the selection of volunteers, one individual from each blood group of the ABO system (blood group A, B, AB, and O) was chosen based on the similarity of their antibody titers. This variable was considered important in the Bactericidal Test. Therefore, a total of four participants were selected (n=4 or 40%).

In test 1, antibody titration selected for participation in the Bactericidal Test was: 1:128 for blood group A, 1:64 for blood group B, 1:32 (anti-A), and 1:64 (anti-B) for blood group O. In test 2, the antibody titration used in the Bactericidal Test was: 1:128 for blood group A, 1:32 for blood group B, 1:128 (anti-A) and 1:256 (anti-B) for blood group O.

There was no significant difference in the Bactericidal Test between tests 1 and 2 in blood groups A (p=0.1573), B (p=0.1137), AB (p=0.0762), O (p=0.0994), and Positive Control (p=0.1473), as shown in Figure 1.

Figure 1 Comparison of Colony Forming Units (CFU) counts and paired T-Test of Test 1 and 2 of blood groups A, B, AB, O, and positive control. 

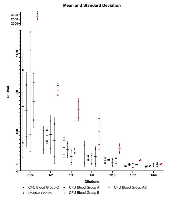
There was a significant difference in pure human serum when blood group A x Positive Control (p<0.0001) was analyzed; likewise for blood group B x Positive Control (p<0.0001); blood group AB x Positive Control (p<0.0001) and blood group O x Positive Control (p<0.0001), corroborating with the results found in the study by Gomes et al. Although Figure 2 and Table 1 shows a reduction in the CFU count, no significant difference was observed in the other dilutions. Table 1 was generated through the mean colony count carried out in the test 1 and 2. The colony forming units could be seen in Supplementary Material Fig S.1 and S.2.

Legend: *= data that showed significant difference; CFU = Colony Forming Units.

Figure 2 Colony Forming Units in relation to bacterial dilutions with anti-ABO antibodies, mean and standard deviation. 

Table 1 Colony Forming Units of blood groups A, B, AB, and O and positive control, mean ± standard deviation. 

Sample Blood Group A Blood Group B Blood Group AB Blood Group O Positive Control
mean sd* mean sd mean sd mean sd mean sd
Pure 72.00 46.67 96.00 76.37 84.00 33.94 77.50 65.76 281.50 43.13
1:2 40.00 9.90 41.50 24.75 34.00 29.70 34.50 17.68 98.00 8.49
1:4 22.50 10.61 13.50 10.61 20.50 3.54 25.00 12.73 73.50 14.85
1:8 11.50 3.54 10.00 7.07 13.50 13.44 16.50 16.26 45.50 23.33
1:16 9.00 0.00 6.00 5.66 7.50 4.95 8.00 4.24 23.50 6.36
1:32 3.00 1.41 2.50 3.54 3.00 0.00 1.00 0.00 8.50 0.71
1:64 1.50 0.71 2.50 2.12 3.00 2.83 0.50 0.71 3.50 0.71

* Standard deviation.

In the statistical comparisons between blood group A x other ABO groups, Blood group B x other ABO groups, blood group AB x other ABO groups, and blood group O x other ABO groups, no significant difference was found (p<0.05), moreover no significant difference ABO intergroups in the serum, even if there was interaction force between the results (p=0.004) and Row Factor of p<0.0001.

In addition, the negative controls performed did not show CFU growth.

DISCUSSION

Bactericidal Test analysis

The mean Colony Forming Units (CFU) with serum was 72, 96, 84 e 77.5 CFU/mL for blood groups A, B, AB, and O, respectively, and a significant difference between the amount of CFU and the antibody titration of volunteers was observed. However, in the other dilutions, no significant bactericidal effect was shown in any blood group. The main variables capable of interfering with the Bactericidal Test are the concentration of the inoculum and the titration of anti-ABO antibodies, and there are numerous hypotheses addressed in this research of how these variables can present themselves and how they could justify the bactericidal action in serum, but not in bacterial dilutions. A hypothesis is that the bactericidal activity could be related to the isometry of the antigen-antibody binding. Antibodies are mostly formed by amino acids, thus having an amine or carboxyl termination in the antigen-binding region (bacteria), the light chain region of immunoglobulins. According to the terminal atomic structure this isomeric characteristic can be divided into levogyrous and dextrogyrous. In the case of antibodies, depending on structural fluctuations, the isometry may influence the affinity between bacterial antigens and anti-ABO antibodies, which can make it weaker and interfere with the opsonization of bacteria, according to Jain et al. (2017) and Jacobs et al. (2015). Although neither the study of the atomic isometry of bacterial antigens nor the light chain of human immunoglobulins has been carried out, this research hypothesizes that when bacterial dilution was performed, there was a decline in antigen-antibody affinity. Consequently, there is a decline in the force of opsonization of the antibodies and, finally, the bactericidal effect.

Another hypothesis for significant effect with serum, but not with dilutions of bacterial solutions, is the steric impediment, which relates the concentration and characteristic of antibodies to bacterial antigens. One of the molecular characteristics of antibodies is the electrical charge of antigen binding terminals, which are amino (positive) and carboxyl (negative). By performing the opsonization function, the antibodies need to reach the antigen. Consequently, there is an approximation between the antibodies themselves, and depending on the structural conformation, possibly resulting in electrical repulsion. Thus, the repulsion between the antibodies can occur, hindering contact whit the antigen (bacteria) and preventing opsonization. Therefore, the steric impediment would become a viable justification for the bactericidal effect found in the research (Focosi, 2020; Jacobs et al., 2015; Velloso, 2018). Figure 3 represents the hypothesis of electrical repulsion of bacterial antigens with anti-ABO antibodies.

Figure 3 Steric impediment in the inoculum and dilutions (serum 1:2; 1:4; 1:8; 1:16 and 1:64). 

The paired T-Test of the blood groups A, B, AB, and O (Figure 1) was performed to analyze whether there was a statistically relevant difference between tests 1 and 2 because of the time interval between the tests and antibody titration. Thus, it was evidenced that the performance of test 2 would not have been necessary to achieve the research objective. Only, one test would have been sufficient. As found in the research of Hirata & Haikal (2021), there was no statistical difference between the first and second analysis.

Selection of volunteers, phenotyping, and ABO titration

In the present study, blood samples from 4 volunteers were used, being sufficient to achieve the research objective.

A hypothesis for changes in the findings of this research was the titration of anti-ABO antibodies. Due, to the concentration of antibodies between the volunteers of each blood group being different, there is a possibility of interference, but the titration difference only becomes relevant when there is a change in 2 titers or more (Maranho, 2016; Rosa, 2018).

Although contamination was evidenced in some blood group plates of the Bactericidal Test of tests 1 and 2, colony count was not affected due to the specificity of the macromorphological characteristics of the E.coli. And also, the negative control plates have not been contaminated.

CONCLUSION

The results of this study indicated that the anti-ABO antibodies have a bactericidal action against Escherichia coli bacteria, reducing the growth of CFU/mL in the pure inoculum. The statistical results of multiple comparison between the antibody titer and bacterial dilutions did not show a significant effect (p>0.05) capable of demonstrating the bactericidal action in the serum of the volunteers. The paired T-Test indicated that there was no statistical difference (p>0.05) when comparing the bactericide tests of Test 1 and 2, indicating that Test 2 had no significant influence on the results. Although there are theories that justify the results found, further studies are suggested to explore other possible variables that may influence the results of the analysis, as well as the number of volunteers and bacterial species for example.

ACKNOWLEDGEMENTS

To Universidade do Vale do Itajaí for enabling the execution of this research

To Laboratório Escola de Análises Clínicas of UNIVALI for the donation of essential materials.

REFERENCE

Alvarado, D. X. A., Sánchez, C. A. P., & Gallegos, M. D. N. (2020). Determinación de antígenos del sistema abo, rh (DVI+, DVI-, C, c, e, E, CW) kell y coombs directo por microaglutinación en técnica de gel en pacientes pediátricos. Recimundo, 4(4), 30-39. [ Links ]

Bermúdez, H. F. C., Collazo, J. E. M., & Forero, S. E. (2012). Caracterización de Donantes Voluntarios de Sangre por Grupo Sanguíneo ABO y Rh que Asistieron a un Banco de Sangre de La Ciudad de Tunja - Colombia. Archivos de Medicina, 12(2), 185-189. [ Links ]

Breiman, A., Ruven-Clouet, N., & Pendu, J. Le. (2020). Harnessing the natural anti-glycan immune response to limit the transmission of enveloped viruses such as SARS-CoV-2. PLoS Pathogens, 16(5), 8-11. [ Links ]

Chakrani, Z., Robinson, K., & Taye, B. (2018). Association Between ABO Blood Groups and Helicobacter pylori Infection: A Meta-Analysis. Scientific Reports, 8(1), 1-11. [ Links ]

Chanzu, N. M., Mwanda, W., Oyugi, J., & Anzala, O. (2015). Mucosal blood group antigen expression profiles and HIV infections: A study among female sex workers in Kenya. PLoS ONE, 10(7), 1-9. [ Links ]

Cooling, L. (2015). Blood groups in infection and host susceptibility. Clinical Microbiology Reviews, 28(3), 801-870. [ Links ]

Ewald, D. R., & Sumner, S. C. (2016). Blood Type Biochemistry and Human Disease. Wiley Interdiscip Rev Syst Biol Med., 8(6), 517-535. [ Links ]

Focosi, D. (2020). Anti-A isohaemagglutinin titres and SARS-CoV-2 neutralization: implications for children and convalescent plasma selection. British Journal of Haematology, 190(3), e148-e150. [ Links ]

Galili, U., Mandrell, R. E., Hamadeh, R. M., Shohet, S. B., & Griffiss, J.M . (1988). Interaction between human natural anti-α-galactosyl immunoglobulin G and bacteria of the human flora. Infection and Immunity, 56(7), 1730-1737. [ Links ]

Garratty, G. (2000). Blood groups and disease: A historical perspective. Transfusion Medicine Reviews, 14(4), 291-301. [ Links ]

Geraldo, A. (2013). Efeito do Consumo de Probióticos Sobre Título de Anticorpos do Sistema ABO. [ Links ]

Geraldo, A., & Martinello, F. (2020). A relação entre o sistema sanguíneo ABO e a COVID-19: uma revisão sistemática. Revista Brasileira de Análises Clínicas, 52(2), 143-148. [ Links ]

Geraldo, A., Souza, A. L. De, & Martinello, F. (2016). Relationship between intestinal bifidobacteria content and ABO antibody titer. International Journal of Microbiology and Immunology Research, 4(1), 1-8. [ Links ]

Gérard, C., Maggipinto, G., & Minon, J.-M. (2020). COVID-19 and ABO blood group: another viewpoint. British Journal of Haematology, 190(2), e93-e94. [ Links ]

Gomes, Naiara Merenciano. Ação bactericida de isoaglutininas ABO em diferentes diluições de anticorpos anti-ABO. Revista de Biotecnologia & Ciência, Itajaí, v. 10, n. 2, p. 38-53, dez. 2021. [ Links ]

Guerra, P. R., Trindade, A. B., Dias, V., & Cardoso, M. R. de I. (2013). Espécies do gênero Helicobacter de importância em medicina veterinária: revisão de literatura. Veterinária Em Foco, 10(2), 228-243. [ Links ]

Hedestam, G. B. K., Fouchier, R. A. M., Phogat, S., Burton, D. R., Sodroski, J., & Wyatt, R. T. (2008). The challenges of eliciting neutralizing antibodies to HIV-1 and to influenza virus. Nature Reviews Microbiology, 6(2), 143-155. [ Links ]

Hirata, A. S. de L., & Haikal, M. I. A. (2021). Os efeitos da hemodiálise a longo prazo na mobilidade funcional e no equilíbrio postural em pé. [ Links ]

Hoiland, R. L., Fergusson, N. A., Mitra, A. R., Griesdale, D. E. G., Devine, D. V., Stukas, S., Cooper, J., Thiara, S., Foster, D., Chen, L. Y. C., Lee, A. Y. Y., Conway, E. M., Wellington, C. L., & Sekhon, M. S. (2020). The association of ABO blood group with indices of disease severity and multiorgan dysfunction in COVID-19. Blood Advances, 4(20), 4981-4989. [ Links ]

Hosoi, E. (2008). Biological and clinicel aspects of ABO blood group system. Journal of Medical Investigation, 55(3-4), 174-182. [ Links ]

Hutson, A. M., Atmar, R. L., Graham, D. Y., & Estes, M. K. (2003). Norwalk Virus Infection and Disease Is Associated with ABO Histo-Blood Group Type. The Journal of Infectious Diseases, 188(1), 176-177. [ Links ]

Jacobs, J. F. M., Van Der Molen, R. G., Bossuyt, X., & Damoiseaux, J. (2015). Antigen excess in modern immunoassays: To anticipate on the unexpected. Autoimmunity Reviews, 14(2), 160-167. [ Links ]

Jain, D., Choudhuri, J., Chauhan, R., Dorwal, P., Sharma, D., Tiwari, A. K., & Raina, V. (2017). False negative single antigen bead assay: Is it always an effect of prozone? Journal of Clinical Laboratory Analysis, 32(2), 1-5. [ Links ]

Kappler, K., & Hennet, T. (2020). Emergence and significance of carbohydrate-specific antibodies. Genes and Immunity, 21(4), 224-239. [ Links ]

Maranho, C. K. (2016). Prevalência de anticorpos irregulares em gestantes atendidads em serviços públicos da hemorrede de Santa Catarina. Faculdade de Medicnia de Ribeirão Preto, 1-150. [ Links ]

Ministéro da Saúde. (2014). Imuno-Hematologia Laboratorial. In Editora MS. [ Links ]

Onsten, T. G. H. (2010). Assimetria de anticorpos contra os grupo sanguíneos A e B e Galα1-3Gal desfavorece o grupo sanguíneo B contra infecção por HIV - Tese de Doutorado. 1-130. [ Links ]

Pereira, L. M. M., & Siebert, T. H. R. (2020). Frequência Fenotípica dos Grupos Sanguíneos ABO e Fator Rh em Santarém, Pará - Brasil. Brazilian Journal of Development, 6(10), 78472-78481. [ Links ]

Rosa, L. S. (2018). Teste De Antiglobulina Humana Indireto Em Gestantes Aloimunizadas : Uma Revisão Sistemática. 57. [ Links ]

Silva-filho, J. C., Melo, C. G. F. de, & Oliveira, J. L. de. (2020). The influence of ABO blood groups on COVID-19 susceptibility and severity: A molecular hypothesis based on carbohydrate-carbohydrate interactions. Medical Hypotheses, 144. [ Links ]

Stowell, S. R., Arthur, C. M., Dias-baruffi, M., Rodrigues, L. C., Gourdine, J.-P., Heimburg-Molinaro, J., Ju, T., Molinaro, R. J., Rivera-Marrero, C., Xia, B., Smith, D. F., & Cummings, R. D. (2010). Innate immune lectins kill bacteria expressing blood group antigen. Nature Medicine, 16(3), 295-301. [ Links ]

Uchida, H., Kinoshita, H., Kawai, Y., Kitazawa, H., Miura, K., Shiiba, K., Horii, A., Kimura, K., Taketomo, N., Oda, M., Yajima, T., & Saito, T. (2006). Lactobacilli binding human A-antigen expressed in intestinal mucosa. Research in Microbiology, 157(7), 659-665. [ Links ]

Velloso, J. P. L. (2018). Análise de Aspectos Estruturais em Imunoinformática Utilizando Candidatos Vacinais Contra Leishmaniose que Foram Selecionados Usando Vacinologia Reversa. [ Links ]

Win, N. (2011). High Titre Anti-A/B Testing of Donors within NHS Blood and Transplant (NHSBT). 1-13. [ Links ]

Xia, X., Li, K., Wu, L., Wang, Z., Zhu, M., Huang, B., Li, J., Wang, Z., Wu, W., Wu, M., Li, W., Li, L., Cai, Y., Bosco, B., Zhong, A., Liu, X., Lv, T., Gan, Z., Chen, G., … Wang, Q. (2020). Improved clinical symptoms and mortality among patients with severe or critical COVID-19 after convalescent plasma transfusion. Blood, 136(6), 755-759. [ Links ]

Zhang, X. F., Tan, M., Chhabra, M., Dai, Y.-C., Meller, J., & Jiang, X. (2013). Inhibition of Histo-blood Group Antigen Binding as a Novel Strategy to Block Norovirus Infections. PLoS ONE, 8(7), 12-14. [ Links ]

SUPLEMENTARY MATERIAL

Figure S.1 Colony Forming Units of Test 1 of blood groups A, B, AB, and O in respective dilutions. 

Legend: A1 = Human serum blood group A and inoculum; A2 = Human serum blood group A and inoculum 1:2; A4 = Human serum blood group A and inoculum 1:4; A8 = Human serum blood group A and inoculum 1:8; A16 = Human serum blood group A and inoculum 1:16; A32 = Human serum blood group A and inoculum 1:32; A64 = Human serum blood group A and inoculum 1:64; B1 = Human serum blood group B and inoculum; B2 = Human serum blood group B and inoculum 1:2; B4 = Human serum blood group B and inoculum 1:4; B8 = Human serum blood group B and inoculum 1:8; B16 = Human serum blood group B and inoculum 1:16; B32 = Human serum blood group B and inoculum 1:32; B64 = Human serum blood group B and inoculum 1:64; AB1 = Human serum blood group AB and inoculum; AB2 = Human serum blood group AB and inoculum 1:2; AB4 = Human serum blood group AB and inoculum 1:4; AB8 = Human serum blood group AB and inoculum 1:8; AB16 = Human serum blood group AB and inoculum 1:16; AB32 = Human serum blood group AB and inoculum 1:32; AB64 = Human serum blood group AB and inoculum 1:64; O1 = Human serum blood group O and inoculum; O2 = Human serum blood group O and inoculum 1:2; O4 = Human serum blood group O and inoculum 1:4; O8 = Human serum blood group O and inoculum 1:8; O16 = Human serum blood group O and inoculum 1:16; O32 = Human serum blood group O and inoculum 1:32; O64 = Human serum blood group O and inoculum 1:64.

Figure S.2 Colony Forming Units of Test 2 of blood groups A, B, AB, and O in respective dilutions. 

Legend: A1 = Human serum blood group A and inoculum; A2 = Human serum blood group A and inoculum 1:2; A4 = Human serum blood group A and inoculum 1:4; A8 = Human serum blood group A and inoculum 1:8; A16 = Human serum blood group A and inoculum 1:16; A32 = Human serum blood group A and inoculum 1:32; A64 = Human serum blood group A and inoculum 1:64; B1 = Human serum blood group B and inoculum; B2 = Human serum blood group B and inoculum 1:2; B4 = Human serum blood group B and inoculum 1:4; B8 = Human serum blood group B and inoculum 1:8; B16 = Human serum blood group B and inoculum 1:16; B32 = Human serum blood group B and inoculum 1:32; B64 = Human serum blood group B and inoculum 1:64; AB1 = Human serum blood group AB and inoculum; AB2 = Human serum blood group AB and inoculum 1:2; AB4 = Human serum blood group AB and inoculum 1:4; AB8 = Human serum blood group AB and inoculum 1:8; AB16 = Human serum blood group AB and inoculum 1:16; AB32 = Human serum blood group AB and inoculum 1:32; AB64 = Human serum blood group AB and inoculum 1:64; O1 = Human serum blood group O and inoculum; O2 = Human serum blood group O and inoculum 1:2; O4 = Human serum blood group O and inoculum 1:4; O8 = Human serum blood group O and inoculum 1:8; O16 = Human serum blood group O and inoculum 1:16; O32 = Human serum blood group O and inoculum 1:32; O64 = Human serum blood group O and inoculum 1:64.

Recibido: 15 de Agosto de 2022; Aprobado: 12 de Mayo de 2023

Creative Commons License Este es un artículo publicado en acceso abierto bajo una licencia Creative Commons