Serviços Personalizados
Journal
Artigo
Indicadores
-
Citado por SciELO -
Acessos
Links relacionados
-
Citado por Google -
Similares em
SciELO -
Similares em Google
Compartilhar
DYNA
versão impressa ISSN 0012-7353
Dyna rev.fac.nac.minas vol.80 no.181 Medellín set./out. 2013
IDENTIFICACIÓN DE PÉRDIDAS TÉCNICAS EN REDES DE BAJA TENSIÓN CON SISTEMAS DE PUESTA A TIERRA
TECHNICAL LOSSES IDENTIFICATION IN LOW VOLTAGE DISTRIBUTION NETWORKS WITH GROUNDING SYSTEMS
CAMILO A. ACOSTA-URREGO
Estudiante Maestría en Ingeniería Eléctrica, Universidad Tecnológica de Pereira, Colombia, caanacosta@utp.edu.co
RICARDO A. HINCAPIÉ-ISAZA
M.Sc., Docente Programa Ingeniería Eléctrica, Universidad Tecnológica de Pereira, Pereira, Colombia, ricardohincapie@utp.edu.co
RAMÓN A. GALLEGO-RENDÓN
Ph.D., Docente Programa Ingeniería Eléctrica, Universidad Tecnológica de Pereira, Pereira, Colombia, ragr@utp.edu.co
Recibido para revisar Junio 20 de 2012, aceptado Abril 26 de 2013, versión final Abril 30 de 2013
RESUMEN: En este trabajo se propone una aplicación para observar el impacto del neutro y sistemas de puesta a tierra en el cálculo de pérdidas técnicas, usando un flujo de carga radial trifásico tetrafilar. Para asegurar y acelerar la convergencia de este algoritmo, se hace uso de la técnica Anderson mixing scheme, dando robustez y eficiencia a la metodología. Para validar la metodología propuesta se emplea un sistema de distribución colombiano, con el cual se establece un análisis comparativo considerando diversos escenarios, con respecto a la metodología empleada tradicionalmente, la cual considera sistemas sólidamente aterrizados. Los resultados obtenidos indican la necesidad de involucrar en el cálculo de pérdidas técnicas las ocasionadas por el sistema de puesta a tierra, con el fin de calcular con mayor precisión este valor, ya que pueden incidir en los planes de reducción de pérdidas y esquemas tarifarios, entro otros.
PALABRAS CLAVE: Anderson mixing scheme, flujo de carga radial trifásico, redes de distribución, sistemas trifásicos tetrafilares.
ABSTRACT: This paper proposes an approach to observe the impact of neutral wire and grounding systems on technical losses computation, using a three-phase four wire radial power flow. To ensure and accelerate the convergence of this algorithm, the Anderson mixing scheme technique is employed, giving both strength and efficiency to methodology. To validate the proposed methodology a colombian distribution system is used, in order to make a comparative analysis over different scenarios respect to traditional studies, which consider solidly grounded systems. The results obtained show that the grounding systems must not be neglected in the power flow analysis because the technical losses index can be wrong, and these losses have impact on losses reduction plans and electricity tariff structure, among others.
KEYWORDS: Anderson mixing scheme, three-phase radial power flow, distribution networks, three-phase four wire systems.
1. INTRODUCCIÓN
Los sistemas de distribución de nivel de tensión 1 generalmente son diseñados en forma simétrica, las cuales son redes trifásicas que incluyen el neutro como conductor de retorno con múltiples conexiones a tierra y que operan con cargas monofásicas, bifásicas y trifásicas. Debido a esto, en algunos tramos de red circulan corrientes de retorno por el neutro y tierra. Además, si las redes presentan un gran desequilibrio en las cargas, pueden circular corrientes mayores por el neutro que por las fases, ocasionando situaciones de operación indeseables para el sistema [1].
Para conocer el estado operativo de los sistemas de distribución, es necesario contar con herramientas de análisis como los flujos de carga. Unos de los métodos inicialmente usados fueron los flujos de carga de Newton Raphson con todas sus variantes [2-3]. Debido al inconveniente que se presentaba al aplicar estos flujos en redes de distribución y a las características de estos sistemas, empezaron a aparecer nuevas metodologías para resolver este problema.
Entre los métodos propuestos están los presentados en [4-8], los cuales están sustentados en el uso del barrido iterativo, aprovechando la topología radial de las redes para encontrar de manera eficiente las variables de estado sin recurrir a inversión de matrices.
Inicialmente las metodologías aplicadas en redes de nivel de tensión 2 consideraban redes simétricas y cargas balanceadas, por lo cual los estudios se realizaban sobre equivalentes monofásicos. Debido a las características de diseño y operación de las redes de nivel de tensión 1, surge la necesidad de adaptar estas metodologías considerando un modelamiento trifásico. En un principio se aplicaron flujos de carga trifásicos en la cual la red es modelada sólidamente aterrizada. En las metodologías propuestas en [4-6] se usan modelos simplificados del problema mediante la reducción de Kron, donde los efectos del neutro se transfieren a las fases, eliminando así las ecuaciones correspondientes al neutro y sistema de puesta a tierra.
Los inconvenientes que aparecen al aplicar la reducción de Kron son la eliminación del sistema de puesta a tierra y que no queda el neutro explícitamente representado en el modelo; además dependiendo del grado de desbalance, los resultados del flujo de carga se alejan de la realidad operativa del sistema.
En la referencia [9] se propone una metodología para el cálculo de la corriente y las pérdidas en el conductor de neutro, empleando las corrientes y tensiones de fase. A pesar de llevar en cuenta el neutro, los sistemas son considerados sólidamente aterrizados, es decir, la resistencia del sistema de puesta a tierra es cero, lo cual es diferente en la vida real, pues estos presentan distintos valores de impedancia que dependen de diversos factores [10]. En la referencia [11] los autores proponen un modelo de red que considera de forma explícita las tres fases, neutro y tierra, el cual es una extensión del algoritmo propuesto en [5] al agregar las ecuaciones de corrientes y tensiones de los conductores de neutro y tierra. Sin embargo no tiene en cuenta la corrección de tensión en el nodo fuente por presencia de la impedancia de puesta a tierra, como tampoco la diferencia de tensión entre neutro y tierra en el cálculo de las corrientes nodales.
En la referencia [12] se presenta un algoritmo de flujo de carga radial trifásico tetrafilar considerando sistema de puesta a tierra en uno o varios puntos incluyendo el nodo fuente y considerando una variación de tensión en este nodo. Este algoritmo está basado en el flujo de carga radial de barrido iterativo, y además presenta un eficiente proceso de convergencia al emplear la técnica Anderson mixing scheme (AMS) [13]. La metodología permite conocer las pérdidas técnicas en las fases, neutro y el sistema de puesta a tierra.
En este trabajo se presenta un estudio para obtener condiciones operativas en estado estacionario de sistemas de distribución radial trifásicos incluyendo efectos de neutro y tierra. Para esto se incorpora la expresión para el cálculo de la corriente por el neutro y el efecto de la tensión entre neutro y tierra en todos los nodos (incluyendo el nodo fuente). La convergencia y rapidez del método se mejora haciendo uso de la técnica Anderson mixing scheme dentro del algoritmo de barrido iterativo [12].
Este análisis se realiza sobre un sistema típico de distribución colombiano, en el cual se plantean diversos escenarios que contemplan distintos valores de impedancias de puesta a tierra y desequilibrio de cargas. Inicialmente se obtiene el valor de las pérdidas técnicas sobre un caso base, las cuales son obtenidas considerando el sistema sólidamente aterrizado y se desprecia la caída de tensión en el neutro (reducción de Kron).
Finalmente se realiza un análisis comparativo de todas las condiciones operativas con respecto al caso base, en el cual se evidencia la importancia de considerar en los análisis de los sistemas de distribución del nivel de tensión 1, los conductores de neutro y la impedancia de puesta a tierra.
Este documento está presentado de la siguiente forma. En la sección 2 se presenta el algoritmo del flujo de potencia propuesto; además se expone la técnica AMS y su integración a la metodología planteada. En la sección 3 se muestra la aplicación del algoritmo propuesto a un sistema de distribución colombiano de nivel de tensión 1. En este se realiza un análisis comparativo al considerar diversos valores de sistemas de puesta a tierra con diferentes grados de desbalance. Finalmente se presentan las conclusiones derivadas de este proyecto.
2. ALGORITMO PROPUESTO
El algoritmo que se propone se fundamenta en la metodología presentada en [12]. La representación de cada tramo de red se efectúa mediante una matriz de impedancia de dimensión 4x4, tal como se muestra en (1):

A continuación se describe detalladamente el algoritmo empleado.
Paso 1. Condiciones iniciales.
Los perfiles iniciales de tensión para todos los nodos se asignan como 1 p.u. a 0° para la fase a; para las fases b y c se emplean desfases de 120° y 240°, respectivamente. El valor del neutro es cero.
Paso 2. Cálculo de corrientes nodales inyectadas.
Se obtienen para las fases de cada nodo del sistema, el valor de la corriente nodal inyectada en función de la tensión nodal actual y la carga del nodo respectivo, de acuerdo a (2):

Paso 3. Cálculo de corrientes por las líneas.
A partir de las corrientes nodales inyectadas calculadas en el paso 2 y empezando desde los nodos extremos, se calculan los flujos de potencia por cada una de las fases en cada tramo de red, en dirección hacia la fuente como se presenta a continuación:

Empleando (1) y (3), se calcula la corriente por el neutro Jln de la siguiente forma:

Paso 4. Corrección de tensión en el nodo fuente.
Debido a que la diferencia de potencial entre fases y tierra no es igual durante el proceso, es necesario calcular la tensión en el nodo fuente en cada iteración, para lo cual se requiere calcular previamente la tensión entre neutro y tierra empleando la siguiente expresión:

Una vez conocida esta tensión y haciendo uso de las tensiones establecidas para el nodo fuente en el paso 1, se actualiza la tensión en este nodo usando (8), la cual corresponde a un modelo en estrella equivalente.

Paso 5. Cálculo de tensiones nodales.
Iniciando en el nodo fuente y aplicando la segunda ley de Kirchhoff, se obtienen las tensiones de fase para los nodos del sistema, avanzando en dirección a los nodos extremos, como se presenta a continuación:

Paso 6. Cálculo de las pérdidas técnicas del sistema.
Para obtener el valor de las pérdidas técnicas del sistema es necesario calcular previamente las pérdidas por cada tramo de red. Por lo tanto, las pérdidas totales se hallan por medio de (10):

Paso 7. Criterio de parada.
Si la diferencia entre las pérdidas de la iteración actual y la anterior son mayores a un valor predefinido e, se continua con el proceso iterativo. En caso contrario, se detiene el algoritmo y se imprimen los resultados. De acuerdo a esto, el criterio de parada está dado por:

Paso 8. Aplicación de AMS.
Esta técnica es una forma eficiente de encontrar la solución de un sistema de ecuaciones no lineales, la cual se obtiene al construir un subespacio a partir de las soluciones halladas en las iteraciones anteriores. Para generar el subespacio se emplean los vectores de tensiones que resultan de la ejecución del flujo de potencia en cada iteración: el de entrada jkin es empleado para el cálculo de las corrientes inyectadas por las cargas, y el de salida jkout es obtenido de los procesos de corrección de tensiones en el nodo fuente y del barrido de tensiones, que se usa como vector de entrada para la siguiente iteración. Los vectores de entrada y salida se denotan de la forma expresada en (12) y (13), donde V0 es la tensión en el nodo fuente, N es el número de nodos y V1,…,VN son las tensiones en los nodos del sistema:

A partir de estos valores se determina el vector residual de la iteración k, empleando (14):

Luego se calcula el vector de entrada para la siguiente iteración, de acuerdo a (15):

Los subespacios de los vectores de entrada y salida en la iteración k, se denotan de la siguiente forma:

Donde na es el número de iteraciones consideradas para la construcción de los subespacios. Con base en lo anterior, se calculan dos nuevos vectores como combinaciones lineales de los subespacios:

Luego se obtiene la diferencia entre ellos, empleando la siguiente ecuación:

El factor qkm es un párametro empleado para la ponderación de la diferencia entre los errores de la iteración k y (k-m), el cual es calculado de tal manera que minimice el residuo cuadrático, tal como se ilustra en (21).

Como estos vectores son complejos, el producto punto es efectuado entre el vector
y su conjugado. Los vectores jkin y jkout se expresan como vectores fila, por lo tanto el sistema lineal a resolver se escribe de la siguiente forma:

Las tensiones para la siguiente iteración son finalmente encontradas empleando (26):

Una vez se aplica la técnica AMS se regresa al paso 2 y se continua el proceso iterativo.
3. RESULTADOS
A continuación se presenta la aplicación de la metodología propuesta a un sistema de distribución colombiano. Inicialmente se ilustra el cálculo de las pérdidas técnicas para un caso base, en el cual se considera la reducción de Kron. Posteriormente se realizan modificaciones al caso base, entre las cuales se consideran diferentes tipos de aterrizaje, varios valores de impedancias de aterrizaje y diversos grados de desbalance de carga del sistema. Luego se presentan las comparaciones derivadas de los diferentes casos de prueba.
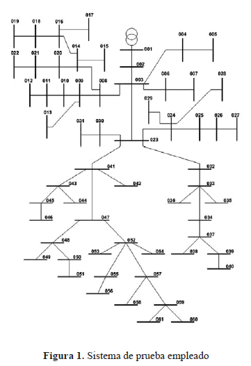
Este sistema consta de 61 nodos (figura 1), en el cual el transformador de distribución está ubicado en el nodo 001. Los nodos están identificados desde el número 002 hasta el número 061. El voltaje nominal del sistema es 120 voltios entre línea y neutro. La carga es modelada como impedancia constante, las cuales están conectadas en Y. Los datos del sistema se encuentran en el Anexo.
Se presentan tres escenarios para condiciones de desbalance de carga del sistema del 10%, 20% y 25%. Para cada escenario se tienen cuatro situaciones: la primera considera reducción de Kron (aterrizaje sólido), la segunda lleva en cuenta sistemas de puesta a tierra de 5 W, 10W y 25W en todos los nodos, la tercera involucra aterrizaje de 20W en el nodo fuente y nodos extremos, y la última presenta todos los nodos aislados.
Los resultados obtenidos se presentan en la tabla 1, en la cual se puede observar en la última columna las diferencias en porcentaje en los cálculos de pérdidas para todos los casos de estudio, con respecto al caso base (sistema sólidamente aterrizado). De acuerdo a esto, en la primera fila de cada condición de desbalance de carga del sistema, este valor es cero, pues es el que se toma como referencia para los demás casos.
En los tres escenarios se observa con respecto al caso base, un error relativo alrededor del 1.68%, 2.71% y 3.32%, para los escenarios 1 (desbalance de 10%), 2 (desbalance de 20%) y 3 (desbalance de 25%), respectivamente.
Los resultados presentados reflejan un porcentaje de error en estimación de las pérdidas técnicas respecto a la forma como se calculan generalmente en los estudios relacionados [14]. Esto se debe a que generalmente en estas investigaciones no se considera explícitamente el efecto que existe entre el neutro y tierra, y por lo tanto se asume el neutro como conductor de retorno sin presentar caída de tensión. Además se considera que la resistencia de puesta a tierra del sistema es cero, es decir, sólidamente aterrizado.
Tradicionalmente las pérdidas no asociadas a líneas, transformadores, acometidas y medidores son consideradas pérdidas no técnicas. Lo expuesto en este trabajo refleja que no es preciso tener en cuenta esta consideración, pues si se involucran el neutro y los sistemas de puesta a tierra en los estudios de pérdidas, se observa que este índice aumenta. Debido a esto, es aconsejable considerar en el cálculo de pérdidas técnicas las ocasionadas por el sistema de puesta a tierra, con lo cual este índice será mayor al obtenido con metodologías tradicionales.
Lo anterior podría implicar que el valor de pérdidas técnicas que se han venido obteniendo por parte de electrificadoras y organismos de regulación y control, sean diferentes, lo cual puede incidir en diversos aspectos como planes de reducción de pérdidas técnicas y no técnicas, y esquemas tarifarios, entro otros.
Por otro lado, se observa de la tabla 1, que a medida que el desbalance del sistema de distribución crece, el valor de las pérdidas de potencia activa del sistema aumenta, debido al incremento de las corrientes que circulan por el neutro y tierra.
Además la metodología propuesta proporciona una herramienta adicional para calcular los voltajes presentados entre neutro y tierra a lo largo del sistema, con lo cual pueden ser dimensionados adecuadamente los sistemas de puesta a tierra, para garantizar un buen análisis de la operación, y por consiguiente un adecuado diseño de las redes.
4. CONCLUSIONES
Se propone una estrategia para solucionar el problema de flujo de carga radial trifásico tetrafilar llevando en cuenta en forma explícita el efecto entre neutro y tierra. Se tiene como base un algoritmo de barrido iterativo que aprovecha la radialidad de la red. Para asegurar y acelerar la convergencia de este algoritmo, se hace uso de la técnica anderson mixing scheme, dando robustez y eficiencia a la metodología. Este es un nuevo enfoque que es de fácil implementación y con resultados de buena calidad.
En redes de nivel de tensión 1, la diferencia entre la energía entregada por el transformador de distribución y la leída por parte de la electrificadora en los contadores, se conoce como pérdidas del sistema, las cuales corresponden a técnicas y no técnicas. Con base en esto, se debe contar con un modelo preciso para calcular ambos valores de pérdidas, que permitan diferenciar las técnicas de las no técnicas.
Los resultados obtenidos indican la necesidad de involucrar en el cálculo de pérdidas técnicas las ocasionadas por el sistema de puesta a tierra, con el fin de calcular con mayor precisión este valor. Esto puede incidir en planes de reducción de pérdidas técnicas y no técnicas, y esquemas tarifarios, entre otros.
Esta metodología es flexible debido a su adaptabilidad a sistemas de distribución de diferentes topologías. Además puede ser modificada para sistemas con incertidumbre en su operación, así como levemente enmallados.
ANEXO
A continuación se presentan los datos del sistema de prueba. En la tabla 2 se ilustran los datos de los tramos de red.
Luego se ilustran las configuraciones de los tramos de red, con sus respectivas matrices de impedancias en [ohm/millas], para las fases a, b, c y el neutro, respectivamente.
Posteriormente en la tabla 3 se presentan las potencias nodales para las tres fases. Estos valores están expresados en kW y con un factor de potencia igual a 0.95.

REFERENCIAS
[1] Chen, T.H. and Yang, W.C., Analysis of multi-grounded four-wire distribution systems considering the neutral grounding. IEEE Transactions on Power Delivery, 16 (4), pp. 710-717, 2001. [ Links ]
[2] García, P., Pereira, J., Carneiro, J., Da Costa, S. and Martins, N., Three-phase power flow calculations using the current injection method. IEEE Transactions on Power Systems, 15 (2), pp. 508-514, 2000. [ Links ]
[3] Ghazali, S., Nor, K. and Abdel-akher, M., Parallel sequence decoupled full Newton-Raphson three phase power flow, TENCON 2009-2009 IEEE Region 10 Conference, pp. 1-6, 2009. [ Links ]
[4] Chen, T.H., Chen, M.S., Hwang, K.J., Kotas, P. and Chebli, E., Distribution system power flow analysis a rigid approach. IEEE Transactions on Power Delivery, 6 (3), pp. 1146 -1152, 1991. [ Links ]
[5] Cheng, C. and Shirmohammadi, D., A three-phase power flow method for real-time distribution system analysis. IEEE Transactions on Power Systems, 10 (2), pp. 671-679, 1995. [ Links ]
[6] Luo, G. and Semlyen, A., Efficient load flow for large weakly meshed networks. IEEE Transactions on Power Systems, 5 (4), pp. 1309-1316, 1990. [ Links ]
[7] Céspedes, R. New m|ethod for the analysis of distribution networks. IEEE Transactions on Power Delivery, 5 (1), pp. 391-396, 1990. [ Links ]
[8] Peñuela, C.A., Granada, M. and Sanches, J.R., Algoritmo para el análisis probabilístico en sistemas de distribución con generación distribuida. Revista DYNA, Universidad Nacional de Colombia, 78 (169), pp. 79-87, 2011. [ Links ]
[9] Kersting, W., The computation of neutral and dirt currents and power losses, IEEE Power Systems Conference and Exposition, pp. 213- 218, 2004. [ Links ]
[10] Kindermann, G. and Campagnolo, J.M., Aterramiento Eléctrico, Universidad Federal de Santa Catarina, Brasil, 2010. [ Links ]
[11] Ciric, R., Feltrin, A. and Ochoa, L., Power flow in four-wire distribution networks-general approach. IEEE Transactions on Power Systems, 18 (4), pp. 1283-1290, 2003. [ Links ]
[12] Acosta, C., Hincapié, R., Granada, M., Escobar, A. y Gallego, R., Flujo de carga radial trifásico a cuatro hilos empleando anderson mixing scheme, Memorias IEEE PES T&D LA, Montevideo, ISBN 978-1-4673-2671-1, Uruguay, 2012. [ Links ]
[13] Wang, H., Wang, G., Chang, S. and Huang, Q., Accelerated solution of poisson-schrodinger equations in nanoscale devices by anderson mixing scheme, Micro & Nano Letters, IET, 4 (2), pp.122-127, 2009. [ Links ]
[14] CREG. Cálculo de pérdidas técnicas en el nivel de tensión 1, Informe Final, Tomo I. Convenio Interadministrativo UTP-CREG. Bogotá, Comisión de Regulación de Energía y Gas, 2010. [ Links ]
















