Serviços Personalizados
Journal
Artigo
Indicadores
-
Citado por SciELO -
Acessos
Links relacionados
-
Citado por Google -
Similares em
SciELO -
Similares em Google
Compartilhar
DYNA
versão impressa ISSN 0012-7353
Dyna rev.fac.nac.minas vol.80 no.181 Medellín set./out. 2013
DIMENSIONADO Y DISEÑO DE UN MOTOR DE RELUCTANCIA CONMUTADO PARA UNA APLICACIÓN AUTOMOTRIZ
DESIGN AND SIZING OF A SWITCHED RELUCTANCE MOTOR FOR AN AUTOMOTIVE APPLICATION
SANDRA M. CASTANO
Ph.D., Profesor Investigador Universidad Antonio Nariño, Grupo REM, Bogota-Colombia, samilena@gmail.com
JAVIER MAIXÉ-ALTÉS
Ph.D., Profesor Titular Universitat Rovira i Virgili, Grupo GAEI, Tarragona-España, xavier.maixe@urv.cat
Recibido para revisar Julio 24 de 2012, aceptado Julio 2 de 2013, versión final Julio 23 de 2013
RESUMEN: Este artículo establece directrices que disminuyen la complejidad del proceso de diseño del motor de reluctancia conmutada (SRM), abarcan los efectos de la geometría de la máquina, y la configuración de los parámetros en el desempeño del SRM para una aplicación automotriz a 42V. Estos rangos de trabajo, o directrices de diseño se incorporan a un método sistemático de cálculo implementado en Matlab® en conjunción con un programa comercial de análisis de elementos finitos (Maxwell® by Ansys), con el fin de obtener los valores de las curvas de enlace de flujo y de par acordes a las condiciones de trabajo de la aplicación. Posteriormente se comparan estos resultados con aquellos de un software comercial, con el fin de verificar el ajuste de los mismos a las especificaciones propuestas.
PALABRAS CLAVE: Diseño, máquinas eléctricas, aplicaciones para el automóvil, 42V.
ABSTRACT: This article provides guidelines that reduce the complexity of the design process of switched reluctance motor (SRM) and include the effects of machine geometry, configuration and performance parameters of the SRM for an 42V automotive application. The ranges of operation or design guidelines are incorporated into a systematic method of calculation implemented in Matlab® in conjunction with a commercial finite element analysis (Maxwell® by Ansys). In order to obtain the characteristic analytical results of the flux linkage and torques for some rotor positions according to proposed requirements. Additionally, these results are compared with those of commercial software to check the fit to the specifications proposed.
KEYWORDS: Design, electrical machines, automobile applications, 42V.
1. INTRODUCCIÓN
El diseño del motor de reluctancia conmutada (SRM) es complejo debido a sus múltiples parámetros de diseño y a su característica altamente no lineal cuando opera con corrientes de saturación. Algunos autores han explorado procedimientos para el diseño de motores de reluctancia [1-4] o el diseño de motores basados en metodologías de tipo empírico [5] e inclusive de metodologías de diseño de tipo comprehensivo no existentes en la literatura [6].
En el presente artículo se aplica una alternativa simple de diseño. Esta inicia tomando como referencia las nuevas metodologías de dimensionado o pre-diseño de la maquina y luego aplicar la metodología establecida en [6]. Este método lleva a definir un conjunto de criterios y directrices para el diseño de un motor de reluctancia conmutada operando a 42V, los criterios se establecieron previamente en [15].
El estudio de las variables y su parametrización en el caso de motores de pequeño voltaje fue desarrollado empleando el software analítico RMXprt® byAnsys. Las restricciones se aplican a un programa de diseño analítico realizado en Matlab®, las distintas variables que interactúan en el diseño de la maquina se varían hasta la obtención de un "modelo satisfactorio". Luego se verifica su desempeño de acuerdo a los requisitos establecidos para la aplicación. Entre los aspectos críticos a tener en cuenta en una aplicación automotriz, en mayor o menor medida figuran: la maximización del par por amperio, la minimización del rizado de par, la maximización de la eficiencia, la operación en un rango amplio de velocidad, el efecto del aumento de temperatura, el ruido acústico, la tolerancia a fallos y el costo total.
2. ESPECIFICACIONES Y REQUERIMIENTOS PARA EL DISEÑO
Se ha optado por definir la aplicación: establecer las características técnicas del motor para accionar un compresor de aire acondicionado operando a 42V. Se deben tener en cuenta los parámetros par-velocidad de la maquina, los cuales dependen de: la temperatura exterior, la cilindrada, el caudal másico de aire, la presión de salida, el número de pasajeros en su interior, la construcción del vehículo y su tamaño [7].
2.1. Especificaciones
La potencia en el eje del motor compresor tiene una capacidad de operación en forma continua de 1-2 kW.
La velocidad de operación es de alrededor de 2000-6000 rpm o inclusive mayores [8].
El par constante es alrededor de 1-6 Nm [9].
Un nivel competitivo de eficiencia (>70%), al operar sobre rangos amplios de velocidad.
2.2. Requerimientos
Relacionados con la velocidad: la operación a alta velocidad es crítica. A mayor velocidad en el eje del compresor, mas rápido es el tiempo en que se enfría la cabina [9].
Requerimientos mecánicos: la reducción de ruido acústico es una figura de mérito de diseño [10]. El ruido acústico como tal no se toma en consideración, si se tiene en cuenta el rizado de par, el cual es proporcional a la vibración y por ende al ruido en la maquina.
Requerimientos de temperatura: el motor que se considere idóneo para la aplicación, eventualmente debe estar preparado para trabajar a una elevada temperatura. En un futuro se espera la integración motor-compresor [9-10].
Limitaciones de espacio y forma: debe considerarse una maquina compacta en términos de densidad de potencia. Se asume los diámetros exteriores del estator y del compresor, iguales.
Reducción de costo: implica un compromiso entre motor y convertidor; un incremento de fases implica un incremento de coste del accionamiento [11]. Sin embargo, la tolerancia a fallos se ve incrementada [12].
Modularidad: la redundancia en los servicios más críticos, implica el incremento de coste.
Viabilidad de Control: involucrar una máquina SRM implica la necesidad de optimizar la curva par-velocidad, manteniendo los niveles de eficiencia competitivos. En este apartado el criterio último de diseño se tomará en función de que se pueda conseguir el equilibrio adecuado del binomio coste-eficiencia y ejecución de par vs. velocidad [11].
3. SELECCIÓN DE PARAMETROS INICIALES
El primer paso en el prediseño de un motor SRM es la estimación del tamaño de la máquina sobre la base del par requerido.
La nomenclatura y sección de corte del SRM se observa en la Figura 1. Desde el punto de vista de construcción, las variables que establecen un efecto notable en el par de la máquina SRM son: el entrehierro g, la relación D.L, el numero de espiras por polo Tp y el tipo de lámina utilizada. A partir de parametrización del modelo a partir de una configuración inicial, se obtuvieron los siguientes criterios, basados en [15]:
3.1. Numero de Fases y Polos por Fase
La máquina SRM de dobles salientes y excitación independiente es energizada por un inversor. La selección del número de fases Nph y de repeticiones Nrep depende de la aplicación. La configuración válida a esta aplicación es: SRM 8/6, Ns=8, Nr=6, Nph=4, Nrep=1. Es posible aumentar Nrep y disminuir el número de fases, esto implica que el número de polos del rotor aumente, permitiendo que el período de operación entre fases adyacentes sea más pequeño, disminuyendo el rizado de par.
3.2- Arcos de los Polos del Estator bs y del Rotor br
Los arcos de los polos del estator y rotor se asignan como condiciones iniciales de usuario. El sistema de estimación de los parámetros internos del programa analítico para el diseño del SRM, se basa en el siguiente criterio:
El arco del polo del rotor br debe de ser ligeramente más grande que el arco del polo del estator bs con el fin de compensar los efectos del flujo del estator que conduzcan a pares negativos, alterando el par total promedio.
3.3. Otros Parámetros Iniciales
Entrehierro: cuanto menor es el entrehierro, más nos aproximamos a la máquina ideal, sin embargo tiene limitaciones respecto a la manufactura del motor.
Relación Do vs D: para que la relación entre el radio del rotor y del estator sea lo mayor posible con el fin de producir un mayor par, ésta debe de ser provista por D cuando Do=Domax. Sin embargo, el aumento de D podría implicar la reducción del área disponible para albergar los devanados, y la reducción de la FEM de la máquina.
Relación D vs L: la velocidad de trabajo y el par a desarrollar puede establecer un rango para los valores de D.L. A partir de la parametrización de la máquina, el aumento de D.L establece una tendencia progresiva para obtener un mayor de par y decreciente para el parámetro velocidad como se observa en la Figura 2.
Selección del número de espiras por polo (Tp): La densidad de par aumenta cuando se incrementa la densidad de corriente en el devanado Jrms.
Por condiciones iniciales el número de espiras por polo debe de incrementarse para mantener mayor el número de amper-vueltas cuando se incrementa la densidad de corriente en el devanado. Con un Jrms bajo, el par promedio del rotor puede mantenerse, al aumentar las dimensiones del rotor (D y L) sin violar la desigualdad de limitación de carga.
Selección de los yugos del estator (ys) y del rotor (yr): En un SRM el flujo principal se divide en dos partes iguales cuando circula por los polos y cuando entra al yugo.
El flujo que circula por las secciones del yugo es compartido entre diferentes fases, y puede haber solapamiento durante la operación a alta velocidad. Con el fin de prevenir la saturación del hierro, yr y ys deben ser superiores al 50% del ancho de los polos del rotor tr y del estator ts, respectivamente.
4. PROCESO DE DISEÑO
El método analítico de simulación numérica se basa en los conceptos de [2-5,16]. El método se implementa en Matlab® y se describe por medio del diagrama de flujo de la Figura 3. El método permite estimar con eficacia las virtudes del diseño de un motor con respecto a otro, siempre y cuando se realice su ejecución dentro de ciertos límites de referencia enmarcados por los rangos de operación estipulados anteriormente. El procedimiento se resume en los siguientes 6 pasos:
1) Correspondencia a los requerimientos del motor.
2) Selección de parámetros, condicionado a los rangos de operación de cada variable. Se proponen valores iniciales para D, Do y L.
Los pasos 3) y 4) corresponden al diseño laminar y del devanado de la máquina, los rangos óptimos de valores para las relaciones yr/ys y D/Do son acordes a la sección anterior y son adicionados al programa.
Los pasos 5) y 6) establecen a partir del modelo analítico, las curvas de ejecución estáticas de la máquina: curvas de enlace de flujo basado en [4,13,16], las curvas de inductancia y de par promedio, etc., además de las curvas dinámicas de par basadas en la posición del rotor establecidas en [1].
4.1 Pasos 1 y 2: Especificaciones y Selección de Parámetros de Forma
Los pasos 1 y 2, definen las especificaciones eléctricas y mecánicas del motor. Se asume que parámetros como número de fases y el número de polos del estator y rotor sean previamente seleccionados.
La elección de una maquina SRM de 4 fases, con 8 polos en el estator y 6 polos en el rotor se efectúa con el fin de disminuir el rizado del par y la reducción de ruido [6].
Otro parámetro que se establece es el diámetro exterior del estator a partir del diámetro exterior del compresor, por cuestión de modularidad o de embalaje y acorde a la estimaciones de la normas IEC [14]. El diámetro del eje del rotor puede ser seleccionado a partir de parametrización basado en el requerimiento de par de la máquina o seleccionado igualmente a partir de las regulaciones dadas en [14-15,17].
Un resumen de la configuración inicial (Paso1) en el diseño de la máquina -accionamiento SRM se anota previamente en la Tabla 1.
Las restricciones de diseño conllevan a establecer los rangos tolerables de los parámetros de forma los cuales se anotan en la Tabla 2. Ellos están basados en los valores de parametrización de las variables del motor [15,17] realizados con ayuda del paquete de diseño de máquina RMXprt by Ansys®.
4.2. Paso 3: Diseño Laminar del Motor
Corresponde al diseño laminar del motor tomando la metodología propuesta por [1,2,6,14]. Este paso necesita de la selección de valores preliminares de D, L, bs y br, en primera instancia, para luego ser recalcularlos por el diagrama de flujo. A partir del proceso de parametrización, se asume la mejor elección la lamina M19-24G por sus buenos resultados en lo que a eficiencia se refiere en el rango de operación entre los 2000-7000 rpm. La densidad máxima de flujo para este tipo de lámina es situada alrededor de 1.75 T.
4.3. Paso 4: Diseño del Devanado del Motor
Corresponde a los pasos empleados en el diseño de la ventana y del devanado del motor SRM e incluye el cálculo del espacio requerido por el devanado así como de otros parámetros (Figura 1). Este paso se basa en las metodologías empleadas por [1,14].
Para encontrar los parámetros de la ventana es necesario estimar:
1) El ancho del polo del estator, ts;
2) La máxima altura del devanado hw.
3) Cálculo de la mínima área de conductor asumiendo que la corriente que circula por él es la máxima para una temperatura de operación de 125ºC.
4) Cálculo del tamaño estándar del conductor dw.
5) Cálculo del número de capas transversales condicionado a la altura del devanado en la ventana.
6) Cálculo del número de capas transversales NLV y horizontales NLH condicionado a la altura del devanado en la ventana y el número de espiras por polo.
7) Examen del ancho del devanado Ww y del espacio de separación de devanados entre fases Cl, con el fin de evitar traslape: Cl> Clmin.
4.4. Pasos 5 y 6: Curvas de Ejecución Dinámica y Estática
Corresponde a los pasos empleados en el diseño de la ventana y del devanado del motor SRM e incluye el cálculo del espacio requerido por él. Corresponde a la estimación de la resistencia por fase, los pesos en el motor, las curvas características de enlace de flujo y la inductancia de fase basada en la posición del rotor. Además, los valores promedio de par y potencia son calculados. En el paso 6, el programa de cálculo ejecuta un análisis de enlace de flujo con el propósito de encontrar el par del motor basado en distintas posiciones del rotor. La computación del ángulo de apagado del convertidor y las formas de las corrientes eficaces se obtiene como un procedimiento basado en [1].
5. COMPARATIVA: SOFTWARE COMERCIAL Y MODELO ANALÍTICO
5.1. Determinación de las curvas de enlace de flujo y de inductancia a diferentes posiciones del rotor.
El modelo analítico de las curvas de enlace de flujo para un SRM, cuando los polos del rotor y del estator están solapados y no solapados, incluyendo saturación del hierro, sigue la aproximación [5]. Se asume que cada fase es independiente, esto significa que el flujo enlazado por cada fase depende solamente de la posición del rotor y de la corriente en cada fase.
El campo magnético se computa por medio de la solución de expansión de series de la ecuación de Laplace, para una geometría rectangular simplificada (Figura 1). Los parámetros geométricos y la curva característica BH de material permiten encontrar las curvas de enlace de flujo con una exactitud elevada en un tiempo de simulación relativamente corto. Cada curva representa el flujo enlazado por la fase a una posición de rotor y corriente de fase fijos. Usando el software Maxwell by Ansys®, se observa la distribución de las regiones y de los vectores de densidad de flujo magnético del motor SRM 8/6 obtenidos por análisis de elementos finitos para corrientes no superiores a 64A (Figura 4).
La densidad de flujo de saturación mientras los polos del rotor y del estator están alineados, está relacionada con la corriente de saturación, el número de espiras y el entrehierro, este comportamiento obedece a la ley de Ampere.
Los resultados en las posiciones semi-alineadas empleando la fracción de alineación de polos proyectan resultados aceptables, ver Figura 5.
Mientras en las posiciones alineada y no alineadas son muy similares, ello cuando el programa basado en Matlab® para el conjunto total de curvas de enlace de flujo se compara con el software RMXprt-Maxwell2D® by Ansys.
La inductancia por fase es calculada analíticamente al usar la aproximación lineal (no saturación). La construcción de la curva de inductancia utiliza el valor de la inductancia no alineada Lu [16] y el valor de la inductancia alineada saturada Lasat basada en la ecuación (1).
Los valores de las inductancias en los casos de polos no alineados y alineados en función de la posición del rotor y su comparación con la curva característica del software comercial (Figura 6) implican una correcta estimación de los puntos principales de la curva inductancia vs. posición del rotor y del valor de la corriente acorde a su operación.

Se asumen los siguientes criterios:
1) Se incrementa el par promedio por fase al eliminar la generación del par negativo por medio de la creación de una zona muerta, por tal motivo bs £ br.
2) El ángulo de encendido qon de los interruptores en el accionamiento es previamente conocido, qon<q2
3) El ángulo correspondiente a la caída de la corriente qf a la velocidad nominal esta basado en la característica magnética lineal.
Esto significa que la pendiente de la inductancia permanece constante de principio a fin desde el instante de tiempo tf en que se asume el apagado de los interruptores en el accionamiento Se asume que la velocidad es constante en el tiempo de conmutación (qoff-qon).
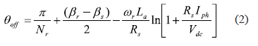
Con estas suposiciones la forma analítica de la corriente es establecida, la ecuación (2) permite estimar el ángulo de apagado del convertidor para una determinada velocidad nominal y el máximo valor de corriente por fase cuando el uso de la zona muerta se hace necesario.
Se considera moderadamente aceptable la comparativa entre las curvas de corriente por fase realizadas por el modelo analítico SRM y el software comercial, ver Figura 7.

5.2. Determinación del Par de Salida
Un procedimiento directo aplicado a cualquier condición de operación para el cálculo del par promedio Tave puede ser evaluado simplemente al dividir la coenergía total por el desplazamiento angular, este procedimiento no toma en cuenta el efecto de solapamiento entre fases.
El par instantáneo Tinst permite encontrar el par desarrollado en todas las posiciones del rotor (incluyendo regiones con solapamiento). Este procedimiento implica conocer las curvas de enlace de flujo para realizarlo. Al encontrar la coenergia incremental dWc dividido por el correspondiente incremento angular para cada posición del rotor, como se expresa en (3). El par instantáneo vs. posición del rotor por fase (Figura 8) desarrollado en particular para el diseño dado por el SRM basado en el programa analítico muestra los valores estimados del par total, correspondiente a la sumatoria del par en cada una de las fases y su relación con el par promedio.

La Tabla 4 compara los parámetros adicionales y complementarios a las graficas los cuales son realizados empleando el programa analítico SRM y un software comercial. Los valores del diseño final analítico estiman una correcta ejecución acorde a las especificaciones de diseño de la aplicación. Esto se confirma, al comparar las características par-velocidad y de eficiencia-velocidad (Figura 9) las cuales son realizadas con el software RMXprt-Maxwell de Ansys.
6. CONCLUSIONES
Este artículo introduce algunas consideraciones de diseño, restricciones y una metodología simple para el diseño de máquinas SRM. El método es analítico iterativo y permite ser aplicado en Matlab®.
El programa implica el procedimiento de diseño de un 42V SRM a 4 fases con el propósito de una aplicación automotriz el cual se basa en la combinación de diferentes aproximaciones introducidas previamente por diversos autores.
La técnica de simulación permite en corto tiempo estimar las bondades de un prototipo con respecto a otro de prestaciones cercanas, de manera eficaz y en un margen corto de tiempo.
El programa analítico puede predecir con detalle algunas curvas de ejecución de la máquina SRM "prototipo" tales como: inductancias, característica de enlace de flujo, forma de ondas de corriente, par desarrollado y otros parámetros.
Por comparación, existe una clara correspondencia entre los resultados estimados al usar el programa desarrollado y los de un software comercial como RMXprt® by Ansys.
AGRADECIMIENTOS
Este trabajo ha sido realizado gracias al apoyo del Ministerio Español de Ciencia y Educación DPI2010-16084
REFERENCIAS
[1] Krishnan, R., Switched reluctance motor drives: modeling, analysis, design and application, CRC, 2001. [ Links ]
[2] Sheth, N.K., Rajagopal, K.R, Computer aided design of multi-phase SRM. Journal of Applied Physics 97, 2005. [ Links ]
[3] Fuengwarodsakul, N.H., Fielder, J., Bauer, S.E., De Doncker, R.W., New methodology in sizing and predesign of SRM using normalized flux-linkage diagram, IEEE Industry Application Conf., vol. 4. pp. 2704-2711, 2005. [ Links ]
[4] Radun, A., Design Considerations for the Switched Reluctance Motor. Trans. Industry Appl. Vol. 31(5). pp 1079-1087, 1995. [ Links ]
[5] Chang Liuchen., Design procedures of a SRM for automobile applications. IEEE CCECE, vol 2. pp. 947-950, 1996. [ Links ]
[6] Anwar, M. N., Husain, I., Radun, A. V., A Comprehensive design methodology for switched reluctance machines. IEEE Transactions on Industry Applications, vol. 37, (6), 2001. [ Links ]
[7] Fahimi, B., Gao, Y., Ehsani, M., On the suitability of switched reluctance motor drives for 42V super high speed operation: application to automotive fuel cells. IEEE IECON'01 vol 2. pp. 1947-1952, 2001. [ Links ]
[8] Murakami, H., Kataoka, H. and Honda, Y., Highly efficient brushless motor design for an air-conditioner of the next generation 42V vehicle. IEEE Industry Applications Conference, vol. 1. pp. 461-466, 2001. [ Links ]
[9] Naidu, M., Nehl, T. W. and Würth, L., Keeping cool while saving space and money: a semi-integrated, sensorless PM brushless drive for a 42-V automotive HVAC compressor. Ind. Applications Magazine, vol. 11, (4). pp 20-28, 2005. [ Links ]
[10] Edrington, C.S. and Fahimi, B., Coolant pump drive: An Application for switched reluctance machines. Vehicular Technology Conference, IEEE 58th, vol. 5. pp. 3226-3230, 2003. [ Links ]
[11] Kokernak, J.M. and Torrey, D.A., Design motor drives for low-voltage applications. Conference Intertech, June, pp. 13-14, 2001. [ Links ]
[12] Quiroga, J., Cartes, D. and Edrington, C., Neural network based system identification of a PMSM under load fluctuaction. DYNA, Año 76(160), ISSN 0012-7353, pp. 273-282. 2009. [ Links ]
[13] Sheth, N.K. and Rajagopal, K.R., Calculation of the flux-linkage characteristics of a switched reluctance motor by flux tube method. IEEE Transactions on Magnetics, vol 41(10). pp. 4069-4071, 2005. [ Links ]
[14] Vijayraghavan, P., Design of Switched Reluctance motors and development of a universal controller for switched reluctance and permanent magnet brushless DC motor drives", Thesis Doctor VT, Virginia, 2001. [ Links ]
[15] Castaño, S.M. and Maixe, J., Criterios de diseño para un motor de reluctancia autoconmutada operando a 42V en una aplicación automotriz. Scientia et Technica Año XIII, No 34. ISSN 0122-1701, 2007 [ Links ]
[16] Radun, A., Analytical calculation of the SRM's unaligned inductance. IEEE Trans. Magnet 35 (6), pp. 4473-7781, 1999. [ Links ]
[17] Castaño, S.M. and Maixe, J., Contribución al estudio y desarrollo del accionamiento eléctrico de reluctancia autoconmutada en ele sistema de aire acondicionado en automóviles a 42V. Tesis Doctoral, Fac. Ing. Electrónica, Eléctrica y Automática, Universitat Rovira i Virgili, 2010. [ Links ]

























