Serviços Personalizados
Journal
Artigo
Indicadores
-
Citado por SciELO -
Acessos
Links relacionados
-
Citado por Google -
Similares em
SciELO -
Similares em Google
Compartilhar
DYNA
versão impressa ISSN 0012-7353
Dyna rev.fac.nac.minas vol.80 no.181 Medellín set./out. 2013
DISIPACIÓN DE ENERGÍA MECÁNICA EN LA DESCARGA DE UN HIDROCICLÓN: NUEVA ESTRATEGIA DE MODELADO
UNDERFLOW MECHANICAL ENERGY DISIPATION IN HYDROCYCLONES: NEW MODELING APPROACH
LINA CHICA
Ph.D. Cimex. Universidad Nacional de Colombia, lmchica@unal,edu.co
OSWALDO BUSTAMANTE
Ph.D. Cimex. Universidad Nacional de Colombia, mosbustam@unal.edu.co
ARTURO BARRIENTOS
Ph.D. Dimet. Universidad de Concepción, abarrien@udec.cl
Recibido para revisar: Mayo 28 de 2013, aceptado: Julio 30 de 2013, versión final: Agosto 1 de 2013.
RESUMEN: El hidrociclón es un equipo de uso extendido en la industria del procesamiento de minerales. Aunque existen numerosos estudios que intentan comprender los fenómenos que explican la separación por tamaños que ocurre en estos equipos, ninguno de ellos ha abordado la perspectiva energética. Se presentan los resultados obtenidos desde un balance de energía mecánica para el modelado de la disipación de energía en la descarga de un hidrociclón. Los principales resultados operando con suspensiones newtonianas mostraron que si bien la disipación de energía en la descarga no controla la operación del equipo pues su magnitud es muy pequeña en comparación con la disipación energética al interior del volumen de control (cuerpo del hidrociclón), si brinda información suficiente para describir la forma de la descarga en términos de variables adimensionales como la relación geométrica de diámetros de salida, la partición de caudales, el diámetro de aire en la descarga normalizado y el ángulo en a descarga.
PALABRAS CLAVE: Hidrociclón, disipación de energía, separación por tamaños
ABSTRACT: Hydrocyclone is a device commonly used in mineral processing industry. Many studies attempt to understand size separation phenomenon but, none of them has taken an energy point of view. This paper presents the results of modeling underflow energy dissipation in hydrocyclone operation from a mechanical energy balance. The results related to newtonian suspensions show that underflow energy dissipation does not control the operation. That magnitude is small compared to interior energy dissipation but provides enough information to describe underflow conditions. The most important dimensionless parameters to this study about hydrocyclone energy modeling are exit diameters ratio, split ratio, normalized air core diameter and discharge angle.
KEYWORDS: Hydrocyclone, energy dissipation, size separation.
1. INTRODUCCIÓN
Dentro del procesamiento de minerales, la operación de clasificación se ha convertido en una etapa fundamental en cualquier planta de beneficio mineral debido al control que ejerce sobre el desarrollo de los procesos siguientes y sobre la calidad del producto final. Los clasificadores centrífugos llamados hidrociclones son ampliamente usados en la actualidad debido a la sencillez de su operación, su bajo costo de mantenimiento por la ausencia de partes móviles, y el amplio espectro de tamaños en los que puede emplearse [1]. Estas características favorables han permitido además, que el uso de hidrociclones se extienda a otras industrias como la bioquímica, la farmacéutica y la petroquímica.
La clasificación en hidrociclones, es un área que ha concentrado los esfuerzos de investigadores e industriales quienes buscan desarrollar modelos que permitan la optimización de procesos. El modelado del funcionamiento de un hidrociclón debe incluir relaciones entre variables de operación y de diseño capaces de predecir la relación presión-capacidad, la distribución de agua en las corrientes de salida así como los parámetros asociados con la eficiencia de la clasificación. Debido a la complejidad del campo de flujo, la mayor parte de los modelos que recogen las relaciones entre estas variables son de origen empírico y se limitan al desarrollo de correlaciones a partir de datos experimentales considerando el aparato una "caja negra". La mayor debilidad de los modelos empíricos, sin desconocer su utilidad en el diseño y puesta a punto de un hidrociclón, es el poco aporte a un mejor entendimiento de los mecanismos fluidodinámicos del proceso de clasificación, que aún se desconocen [2], [3]. Otro punto que quiebra la aplicación de un modelo empírico, es el hecho que no considere la importancia de los fenómenos que ocurren en la descarga. Recientemente, los modelos basados en la física de fluidos han comenzado a ser utilizados, pero incluyen gran cantidad de simplificaciones y requieren de esquemas de solución numérica que dificultan el procesamiento de los datos en el interior del campo de flujo. Las últimas aproximaciones pretenden un mejor entendimiento de la separación por tamaños, como única consecuencia del movimiento del fluido por lo cual es posible optimizar el desempeño y las condiciones de operación examinando únicamente el flujo de fluido.
A pesar de ello se ha efectuado poco esfuerzo en identificar cuáles son los parámetros que afectan en mayor proporción la forma de la descarga. La literatura no reporta las relaciones que deben guardar algunas variables asociadas al tipo de descarga para mantener la correcta operación del equipo, aunque si menciona la influencia del campo de flujo o campo de velocidad interior sobre la forma de la descarga de manera incipiente [4],[5].
A partir de lo anterior, puede establecerse entonces que aunque se tiene evidencia que el flujo de la descarga incide en el desempeño del hidrociclón como clasificador este aspecto no ha sido incluido explícitamente en los modelos existentes para evaluar el desempeño del equipo. Por este motivo, para acoplar las consideraciones asociadas con la forma de la descarga y la dinámica de la separación por tamaños, las consideraciones energéticas pueden ser empleadas. Una aproximación con éstas características abre la puerta a la optimización de procesos de clasificación industrial de minerales logrando una disminución considerable en consumos de agua y energía, una reducción en los costos asociados y un aumento en la eficiencia del clasificador, lo que a futuro permitiría explorar nuevas alternativas de uso para equipos con estas características en otras industrias. Este artículo ha sido dividido en secciones, como sigue: un primer acercamiento a la importancia de la descarga dentro de la operación de un hidrociclón que actúa como separador por tamaños, luego se presenta una aproximación teórica del balance de energía mecánica alrededor de un hidrociclón partiendo de la primera ley de Cauchy para finalizar con una validación experimental que permite analizar la operación del equipo a partir de aspectos energéticos fuertemente relacionados con las condiciones que definen la forma de la descarga. Las principales conclusiones apuntan a que, pese que la magnitud de la disipación de energía en la descarga es muy pequeña, establece algunas condiciones críticas en lo referente a la evaluación de la eficiencia de la separación cuando se opera con fluidos newtonianos.
2. PAPEL DE LA DESCARGA DEL HIDROCICLÓN EN LA SEPARACION POR TAMAÑOS
Cuando un hidrociclón opera con un ápex libre, la descarga ocurre a presión atmosférica. La descarga puede considerarse en tres formas diferentes dependiendo de la distribución de tamaños y la viscosidad en el alimento, así como del tamaño del ápex. A una concentración relativamente baja de sólidos en la descarga (entendido también como baja viscosidad), esta es tipo spray o sombrilla y se origina debido a la elevada velocidad tangencial de la suspensión en cercanías del ápex y al ingreso simultáneo de aire a la altura del ápex. Este tipo de operación presenta una alta recuperación de sólidos pero la baja concentración, resulta en más finos en la descarga incrementando el cortocircuito. Cuando más sólidos llegan a la descarga del hidrociclón, por un incremento en la concentración y/o tamaño de partículas del alimento o una reducción en el tamaño del ápex, el flujo de la capa límite lleva las partículas hacia el centro de la descarga, convirtiéndola en rope o cordón [6] debido a la baja velocidad rotacional del fluido. Esto significa que el ápex se sobrecarga significativamente de sólidos, lo que resulta en una pérdida de eficiencia. El rope se caracteriza por un bajo contenido de finos pero una pobre separación. La separación en flujo transitorio que se define en términos operativos como spray cercano al rope, es un estado intermedio que debido a los efectos positivos sobre la eficiencia de la clasificación, es el estado de mayor interés [7]. Debido a que los términos spray y rope son ampliamente usados en la literatura, serán empleado a lo largo del texto sin traducción alguna.
Resultados experimentales como los mostrados por [1] y [8] advierten que la geometría de la descarga juega un papel importante sobre varios aspectos de la clasificación:
- Define las condiciones hidrodinámicas en la descarga
- Genera cambios sobre el diámetro de corte
- Controla el diámetro del núcleo de aire
- Modifica la capacidad
- Define la partición de caudales
- Juega un rol importante en el control del cortocircuito
Lo anterior, significa que el flujo de la descarga interviene sobre la eficiencia de la clasificación.
3. CONCEPTO DE DISIPACIÓN DE ENERGÍA
Pocos autores han introducido el concepto de disipación de energía en hidrociclones. Sin embargo, desde la perspectiva de la operación del equipo, en la que están involucrados flujos en vórtice y diferencias de presión significativas, la energía disipada en el proceso de clasificación, podría ser definitiva en la determinación de la eficiencia.
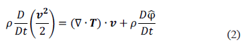
Desde una aproximación termomecánica, podemos establecer el significado físico del concepto disipación de energía. Partiendo de la primera ley de Cauchy y multiplicando a ambos lados por
se tiene que:

Si la fuerza de cuerpo
es expresada como el gradiente de un potencial puede escribirse como
, y la ecuación (1) puede reescribirse así:

Reorganizando los términos, finalmente se obtiene que:

El producto
representa la disipación viscosa
.
3.1. Conceptos asociados a disipación de energía en hidrociclones
Como se indicó en la sección anterior, pocos estudios han considerado la disipación de energía en hidrociclones. Los acercamientos más significativos están asociados a soluciones numéricas de las ecuaciones de Navier Stokes empleando modelos de turbulencia, pero sin considerar los efectos del balance de energía sobre la clasificación. En ciclones separadores, la primera aproximación al concepto de disipación de energía fue el empleado por Starmaind en la modelación de ciclones de aire [9]. Dai, Li & Chen (1999) reportaron perfiles de la tasa de disipación turbulenta empleando el modelo k-e y pudieron demostrar que la disipación de energía turbulenta depende de cambios en el patrón de flujo al interior del hidrociclón [10]. Posteriormente Liu et al. (2005) mostraron que las pérdidas de energía mecánica en un ciclón separador están causadas principalmente por la disipación viscosa media [11]. Como concepto asociado a la separación por tamaño, la disipación de energía solo ha sido incluida en el trabajo de Zhao et al. (2006), quienes determinan que está asociada a la diferencia de presión entre la alimentación y las salidas [12]. Así mismo supone que entre menor sea la pérdida de energía el sistema de separación es más eficiente.
3.2. Balance de energía alrededor del hidrociclón
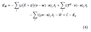
Consideremos las condiciones de operación de un hidrociclón convencional, tal y como se describe en la Figura 1. Los subíndices f, o, u corresponden a las corrientes de alimentación, rebalse y descarga, y c corresponde al interior del volumen de control.
El balance de energía mecánica corresponde a describir la velocidad de variación de la energía mecánica total del fluido contenido en el interior del volumen de control
, así:

Donde los términos de la derecha representan: la energía mecánica específica de las partículas, la potencia desarrollada por los esfuerzos extra en las superficies de entrada y salida, la potencia total entregada al fluido en superficies que limitan el volumen de control, la velocidad con que efectúan trabajo las partículas del fluido sobre las superficies sólidas móviles y la velocidad de interconversión de energía mecánica en energía interna en forma reversible e irreversible, respectivamente. Así, si se considera flujo estacionario, fluido newtoniano y un volumen de control definido en el interior del hidrociclón, los términos presentes en el balance macroscópico de energía mecánica pueden escribirse como:

El balance de energía mecánica alrededor del hidrociclón permite escribir que: la potencia entregada al fluido menos la energía cinética específica gastada por el fluido para desplazarse hasta las salidas es igual a la disipación de energía mecánica total. Ahora, la velocidad de interconversión de energía mecánica en energía interna en forma irreversible, es decir, la disipación de energía puede escribirse como:

Ahora:

Analizando las componentes del tensor gradiente velocidad de deformación
en cada corriente del hidrociclón, para especificar el término
y bajo la premisa que los términos
representan el shear rate o tasa de cizalladura
de cada corriente, podemos escribir que:

Desde la perspectiva fluidodinámica, es posible considerar que pequeños incrementos en la velocidad tangencial producen intensas fuerzas de cizalladura que tienen pronunciado efecto sobre la operación del hidrociclón. Así, los términos
y
son muy pequeños respecto de
. En la descarga, los esfuerzos de cizalladura están asociados entonces a la magnitud de las componentes tangencial y axial, al diámetro efectivo de la descarga que está condicionado por el núcleo de aire y la longitud total del ápex. En el caso de
, aproximamos como:

Como en la descarga, la velocidad axial tiene una distribución uniforme, es posible suponer que
cantidad que es posible determinar experimentalmente a partir del aforo volumétrico. En el caso de
puede escribirse:

que representa la tasa de cizalladura generada por la componente tangencial de la velocidad en la descarga. Bajo este escenario de análisis considerado, puede demostrarse que
es del mismo orden que 
justo para el plano de salida de la suspensión por la descarga. Así:

Ahora, podría esperarse que la disipación de energía en la descarga sea mucho mayor que en el rebalse debido a las condiciones de salida de fluido en esa región. Según el balance, la disipación al interior del hidrociclón debe ser estimada a partir de las corrientes de entrada y salida, por lo que se hace necesaria la verificación experimental.
4. PROCEDIMIENTO EXPERIMENTAL
Se empleó un hidrociclón transparente de 100mm de diámetro. El hidrociclón es de construcción modular lo que permite intercambiar fácilmente la sección cilíndrica y el diámetro de descarga. El esquema del montaje de laboratorio es mostrado en la Figura 2.
El sistema de bombeo es controlado a través de un PLC, que empleando una válvula neumática permite el control de presión y/o caudal de entrada. Durante cada prueba, la alimentación fue ajustada hasta alcanzar la presión deseada, permitiendo un periodo de estabilización de 5 min para alcanzar el estado estacionario, y se registraron los caudales de descarga y rebalse. Mientras los efectos de una variable eran analizados, los demás parámetros fueron mantenidos constantes. Todas las pruebas fueron realizadas de manera aleatoria y por duplicado para disminuir potenciales fuentes de error experimental. Para evaluar el desempeño del hidrociclón, el desarrollo experimental consideró variaciones en parámetros de operación y diseño, tal como son mostrados en la Tabla 1. La máxima presión analizada fue 0.14 MPa (aproximadamente 20 psi) que corresponde a la presión límite de operación industrial de un hidrociclón de características geométricas similares, y no se consideraron presiones más bajas a 0.03 MPa (5psi) debido a inestabilidades del campo de flujo interior.
El grupo de corridas experimentales fue llevado a cabo en suspensiones incoloras considerando únicamente comportamiento newtoniano. Para obtener medidas directas del diámetro del núcleo de aire, fue diseñado un sistema, que empleando una aguja de diámetro pequeño conectada a un mano-vacuómetro, permite el registro de la caída de presión radial generada por ingreso de aire desde la descarga, así como la penetración de la aguja en el flujo de manera lineal estimando el diámetro del núcleo de aire.
Para garantizar la precisión en la medida el sistema tanto el manómetro como la caída de presión generada por la aguja fueron calibrados en un sistema dinámico de presión respectivamente. El ángulo en la descarga fue obtenido a través de análisis digital de imágenes.
5. RESULTADOS Y DISCUSIÓN
5.1. Magnitud de la tasa de cizalladura
De acuerdo al campo de velocidades del hidrociclón, la componente tangencial representa la velocidad de aplicación del esfuerzo. A presiones elevadas, la velocidad se incrementa y por lo tanto se incrementa
. Si por el contrario la presión es muy baja, el vórtice pierde estabilidad y por lo tanto la tasa de cizalladura también lo hace. Los resultados obtenidos a partir de los datos experimentales para las tres corrientes del hidrociclón muestran que efectivamente en la zona de la descarga la tasa de cizalladura generada por la componente tangencial de la velocidad es mayor que en otras zonas del equipo. Un caso típico, que representa lo encontrado experimentalmente se muestra en la Figura 3.
Existe una dependencia de
con las características geométricas y con la viscosidad. En general para
,
se incrementa al reducir la relación de diámetros de salida o la relación de aspecto del hidrociclón, si la viscosidad es constante. Por supuesto, a mayor viscosidad, mayores valores de
.
5.2. Relación presión - capacidad
Considerando únicamente la operación con agua, es necesario referirse a la influencia de la altura global del hidrociclón sobre la capacidad. La Figura 4 muestra el efecto de la altura global del hidrociclón sobre la capacidad si el diámetro del hidrociclón es fijo. A diferencia de los resultados de [1] quien operando con agua no encontró influencia de la altura del hidrociclón sobre la capacidad, la Figura 4 pone en evidencia que incrementos en la altura del hidrociclón de 10 cm promueven aumentos de la capacidad de hasta 10%. Este hecho concuerda con lo planteado por Plitt (1976) [6]. Para las alturas empleadas en el diseño experimental se mantiene la relación funcional entre
y
que aparece en algunos modelos clásicos como Lynch y Rao (1970), Plitt (1976) y Mullar y Jull (1978), relación de la forma:

Siguiendo en la operación con agua y manteniendo constante la altura del hidrociclón pudo establecerse que la influencia de la relación de diámetros de salida sobre la capacidad es menos significativa que lo encontrado para variaciones en la longitud total del equipo. Es preciso destacar, que mientras mayor sea la longitud total del hidrociclón, para relaciones
se incrementa notablemente la capacidad del hidrociclón, posiblemente a expensas de la desaparición del núcleo de aire. Parece que esta variable condiciona la operación por intervalos, según fue definido por [1].
5.3. Magnitud de la disipación de energía
Se determinó para todas las condiciones estudiadas, la magnitud promedio de la disipación de energía para el rebalse, la descarga y el cuerpo del hidrociclón. De los resultados obtenidos es evidente que la disipación de energía generada en el rebalse es muy cercana a cero para todas las corridas experimentales, independiente de la geometría o las condiciones de operación. Así mismo, la disipación de energía en la descarga es casi despreciable respecto de la disipación de energía en el cuerpo del hidrociclón. Esta diferencia se encuentra es de 3 órdenes de magnitud. Lo anterior significa que en la operación con fluidos newtonianos la disipación de energía en la descarga no controla la operación del equipo. Esto tiene sentido en la operación sin partículas puesto que la fricción del fluido con las paredes y las pérdidas energéticas en la interface fluido-aire son tenidas en cuenta al interior del volumen de control seleccionado. Adicionalmente, la disipación que experimenta el fluido justo al llegar a la zona del ápex también es considerada dentro del término disipación de energía interior. Este hecho implica que el término que describe la disipación de energía en la descarga sólo determina la disipación justo en el plano de salida del fluido pero deja de lado los fenómenos disipativos que ocurren en regiones cercanas al ápex, especialmente en la reducción de área generada por el ángulo de cono. Así mismo los fenómenos de turbulencia que se experimentan cerca al buscador de vórtice y que han sido descritos en diversos modelos del campo de flujo también aportan a que la disipación en el cuerpo del hidrociclón sea aún mayor. Para respaldar el análisis anterior, la Figura 5 presenta la diferencia en la magnitud de la disipación de energía en el cuerpo del equipo y en la descarga manteniendo fija la altura global del hidrociclón, para la operación con agua. De los resultados existen algunos puntos importantes que deben discutirse.
En primer lugar, para cada relación
la disipación en la descarga crece a expensas de la disminución en la
disipación al interior, esto es a menor
mayor es la disipación de energía en el cuerpo, pero menor en la descarga. En segundo lugar, a pesar que la disipación en la descarga tiene una magnitud pequeña respecto de la disipación global, los resultados obtenidos para esta zona brindan información detallada de la influencia de las variables geométricas sobre la forma de la descarga como se discutirá posteriormente.
Ahora, como la disipación de energía específica, esto es por unidad de volumen, es mucho mayor en la descarga que en el interior del hidrociclón, podría explicarse físicamente la relación existente entre los fenómenos disipativos y los cambios generados tanto en la forma de la descarga como en la operación del equipo. En tercer lugar, puede discutirse el hecho que pequeños cambios en la viscosidad del fluido manteniendo la geometría fija generan cambios relevantes en la magnitud de la disipación de energía total, que comienzan a ser muy importantes en presiones de operación mayores a 130000 Pa.
5.4. Consideraciones para la forma de la descarga. Efecto de la disipación de energía sobre la clasificación de partículas.
A pesar que la magnitud de la disipación en la descarga es muy pequeña, lo que significa que en efecto, no controla la operación del hidrociclón si se considera la clasificación como consecuencia del movimiento del fluido, un análisis a la variación de la disipación en la zona de descarga con las condiciones típicas, puede brindar un mayor entendimiento de los fenómenos que ocurren en esa zona. De los resultados experimentales operando sin partículas, es claro que la relación de diámetros de salida tiene incidencia sobre la operación del equipo. Los resultados para el diámetro de aire normalizado
, son muy significativos para entender la transición de spray cercano al rope bajo consideraciones asociadas a la relación
. Cuando
la descarga es rope sin importar las condiciones de operación [1]. Cuando
la variación de la disipación de energía en la descarga con el diámetro de aire normalizado es una función única si la geometría se mantiene constante. Para todos los casos estudiados en este intervalo de relaciones
, si la disipación de energía específica en la descarga es inferior a 1000 watt/m3 esta corresponde a roping. Así mismo, para este tipo de descarga se pudo establecer que
, como se indica en la Figura 6. Estos resultados pueden extenderse a la operación a diferentes viscosidades de fluido. Puede entenderse entonces que el valor 1000 watt/m3 es el equivalente mecánico al concepto temodinámico de energía de activación, para el proceso de clasificación en hidrociclones.
Ahora, para la partición de caudales
, fue posible concluir con la operación solo con agua, que existe un intervalo claro que separa la operación en spray del roping (Figura 7), de acuerdo al límite de disipación de energía específica en la descarga, encontrado anteriormente, así:

spray o rope dependiendo de la disipación de energía en la descarga. Esto es, si
watt/m3 aparece el rope. En caso contrario se origina el spray.

Para definir las diferentes regiones en la descarga, sobre todo para limitar la zona de spray cercano a roping, en la Figura 8 se presentan los resultados obtenidos para el ángulo de descarga en la operación solo agua para diferentes geometrías.
Como puede notarse, en todos los casos evaluados, existe un intervalo limitado en cuanto a ángulo en la descarga en donde puede limitarse la región de spray cercano al rope, lo que mejora lo predicho para la partición de caudales. Esto es, para todos los casos 30° parece ser el ángulo crítico que separa las regiones tipo el spray de las regiones tipo rope. Más aún, dependiendo de la relación
, el intervalo entre 15-40° contiene todos los puntos spray cercanos al roping, según el límite establecido para la disipación de energía específica en la descarga.
6. CONCLUSIONES
El balance energético alrededor de un hidrociclón que opera con fluidos newtonianos, permite conocer algunos aspectos relevantes de la operación del equipo desde la perspectiva energética. Así mismo, dicho balance implica un análisis profundo no sólo del escenario mecánico de deformación y de las condiciones de flujo al interior del hidrociclón, sino también de las condiciones bajo las cuales el fluido es descargado por el ápex, y poder asignar valores ajustados a la realidad a los diferentes términos del balance asociados con la disipación de energía mecánica. A pesar que la magnitud de la disipación en la descarga es muy pequeña, un análisis a la variación de la disipación en la zona de descarga, establece algunas condiciones críticas en lo referente a la forma de la descarga, que estudios previos han establecido está relacionada con la eficiencia de la separación [1], [4], [8].En primer lugar, aparece el efecto de la relación geométrica de diámetros de salida
sobre el tipo de descarga, al igual que lo reportado por [1]. Adicionalmente, se encuentra un valor crítico de disipación de energía mecánica en la descarga, que puede ser entendida en una analogía como la energía de activación del proceso de separación de tamaño (para el diámetro de ciclón estudiado). Este valor crítico, equivalente a 1000 watt/m3 y que corresponde a la disipación de energía específica, esto es, por unidad de volumen, separa las regiones de spray y rope de acuerdo a la relación
. Este valor crítico, también pudo establecerse está asociado al valor de partición de caudales, a
y al ángulo de la descarga, siendo este último pertinente para identificar con mayor claridad las zonas de spray cercano al roping, donde se alcanzan los mejores resultados en la clasificación. Puede concluirse también que la viscosidad en la alimentación es otra variable significativa para la valoración energética de la operación de un hidrociclón, pues afecta la forma de la descarga.

REFERENCIAS
[1] Bustamante, M. O. Efecto de la geometría de un hidrociclón sobre las condiciones normales de operación. [M.Sc.Tesis.] Concepción, Departamento de Ingeniería Metalúrgica UdeC, 1991. [ Links ]
[2] Petersen, K., Aldrich, P., and Van deventer, J. Hydrocyclone underflow monitoring using image processing methods. Minerals Engineering 9, pp. 301-315, 1996. [ Links ]
[3] Farghaly-Aly, M., Controlled Wash Water Injection to the hydrocyclone underflow [Ph.D. Thesis]. Erlangen, FAU, 2009. [ Links ]
[4] Schneider, M., and Neesse, T., Overflow-control system for a hydrocyclone battery. Int. J. Miner. Process. 74S, pp. S339-S343, 2004 [ Links ]
[5] Bergström, J., Flow field and fibre fractionation studies in hydrocyclones [Ph.D. Thesis] Stockholm, Sweden, Royal Institute of Technology, 2006. [ Links ]
[6] Svarovski, R., Hydrocyclone, Technomic Publishing, Lancaster, 1984. [ Links ]
[7] Neese, T., Schneider, M., Glolyk, V., and Tiefel, H., Measuring the operating state of hydrocyclone. Minerals Engineering 17, pp. 733-737, 2004 [ Links ]
[8] Concha, F., Barrientos, A., Montero, J., and Sampaio, R., Air core roping in hydrocyclones. Int. J. Miner. Process 44 - 45, pp. 743-749, 1996. [ Links ]
[9] Fuerstenau, M., and Kenneth, N., Principles of Minerals Processing, SME Editorial, New York, 2003. [ Links ]
[10] Dai, G., Li, J., and Chen, W., Numerical prediction of the liquid flow within a hydrocyclone. Chemical Engineering Journal 74 , pp. 217-223, 1999 [ Links ]
[11] Liu, C., Wang, L., Wang, J., and Lui, Q., Investigation of energy loss mechanisms in cyclone separators. Chemical Enginnering Technology 28, pp.1182-1190, 2005. [ Links ]
[12] Zhao, L., Jiang-Ming, H., and Sunde, Z., Pressure characteristics oh a hydrocyclone for fine particle separation. Journal of Harbin Institute of Technology. Vol 13, pp. 294 - 298, 2006. [ Links ]





















