Serviços Personalizados
Journal
Artigo
Indicadores
-
Citado por SciELO -
Acessos
Links relacionados
-
Citado por Google -
Similares em
SciELO -
Similares em Google
Compartilhar
Ensayos sobre POLÍTICA ECONÓMICA
versão impressa ISSN 0120-4483
Ens. polit. econ. vol.31 no.72 Bogotá jul./dez. 2013
ARTÍCULOS
Análisis del ciclo económico en una economía con rigideces nominales y un amplio sector informal*
Economic cycle analysis in an economy with nominal rigidities and a large casual sector
Mónica Gómez Ospinaa
a Profesor Asistente, Departamento de Economía, Universidad del Rosario, Bogotá, Colombia. Autor para correspondencia. Correo electrónico: monica.gomezos@gmail.com
Historia del artículo:
Recibido el 2 de noviembre de 2012
Aceptado el 30 de septiembre de 2013
RESUMEN
En este trabajo se construye un modelo de equilibrio general dinámico estocástico (DSGE por sus siglas en inglés) con sector formal y rigideces en precios, usando como marco de análisis la teoría de búsqueda y emparejamiento del mercado de trabajo. El objetivo principal es analizar el efecto de los diferentes tipos de choques económicos sobre las principales variables del mercado laboral, en una economía con presencia importante del sector informal. Igualmente, se estudia el efecto de la política monetaria, ya que la presencia de este sector afecta a la dinámica del ciclo económico, y por ende, a los mecanismos de transmisión de la política monetaria.
Palabras clave: Política monetaria, Trabajo informal, Rigideces nominales, Búsqueda y emparejamiento.
Códigos JEL: E52. E32, J64.
ABSTRACT
In this article, a dynamic stochastic general equilibrium model is constructed (with an informal sector and price rigidities, using the using the search and matching. The main aim is to analyze the effect of different types of financial shocks on the main variables of the job market, in an economy with a significant informal sector. The effect of monetary policy is also studied, since the presence of this sector affects the dynamics of the economic cycle, and thus, the transmission mechanisms of the monetary policy.
Keywords: Monetary Policy; Informal work; Nominal rigidities; Search and matching.
JEL Classification: E52, E32, J64.
1. Introducción
Uno de los problemas más recurrentes del mercado laboral en la mayoría de los países en desarrollo ha sido el alto porcentaje de trabajadores ocupados en el sector informal. Según un informe en 2011 de la Organización Internacional del Trabajo para 16 países de América Latina, hacia finales de la primera década del siglo XXI, alrededor del 50% de las personas ocupadas en los sectores diferentes al agrícola tienen un empleo informal.
Esta problemática ha sido ampliamente estudiada en los últimos años. Muchos trabajos orientados a entender el funcionamiento del mercado laboral de las economías en desarrollo han abordado la informalidad desde varios puntos de vista, dependiendo de la problemática que se plantean y de las políticas económicas cuyo efecto se está estudiando. En algunos casos, la informalidad es usada para denotar las actividades de baja productividad de los ''cuenta propia'' no profesionales, otras veces, sirve para abarcar a las empresas productivas que operan en condiciones de ilegalidad o que tienen un número pequeño de trabajadores, y en ocasiones, se refiere a los individuos que en sus actividades productivas no disfrutan de los beneficios de un sistema de seguridad social, entre otras interpretaciones.
A pesar de la controversia en la definición de la informalidad, existe un consenso generalizado en caracterizar el sector informal como un sector donde hay uso intensivo de la mano de obra y un escaso (en la mayoría de los casos, prácticamente nulo) nivel de capitalización en el proceso productivo, lo que se traduce en un nivel de productividad muy bajo de los trabajadores informales. Adicionalmente, en este sector, muchos de estos trabajadores no tienen un trabajo estable, ninguna clase de beneficios, y las tasas de remuneración son muy bajas, comparadas con los beneficios y las remuneraciones que se reciben en el sector formal.
En este sentido, la escasez de capital humano y físico, junto con unas precarias condiciones laborales, traen consigo grandes problemas socioeconómicos a las economías en desarrollo, debido a que gran parte del mercado laboral está conformado por trabajadores informales. En este sentido, un tamaño excesivo del sector informal se traduce en economías con bajos niveles de crecimiento y con altos problemas de pobreza y desigualdad. Estas consecuencias hacen que la informalidad sea uno de los principales problemas que se deben tener en cuenta cuando se implementan las políticas económicas. Por lo tanto, son necesarios los estudios que traten de entender la naturaleza de la informalidad e incluyan en su análisis de política económica el sector informal, no solo por los efectos negativos que este tiene sobre la economía, sino también por la influencia que posee sobre los mecanismos de transmisión de la política económica.
La evidencia muestra que la informalidad afecta a la dinámica del ciclo económico. Como ha sido resaltado por varios autores, en épocas de crisis, el número de trabajadores informales aumenta, y el de trabajadores formales se reduce. Al respecto, Bosch y Pretel (2006) encuentran que en Brasil, la correlación del empleo formal con el producto es 0,616%, la del empleo informal es -0,219%, y la del desempleo es -0,816%. En México, también se encuentra que el empleo informal es contracíclico, con una correlación con el producto de -0,415, mientras que la correlación del empleo formal es 0,78 y la del desempleo es de -0,87.
En este sentido, en las economías en desarrollo el sector informal ha servido como un colchón que tienen las familias pobres para suavizar sus caídas en el ingreso durante las recesiones. Sin embargo, el incremento en la oferta de trabajadores informales trae como consecuencia una caída en los ingresos familiares de los hogares más pobres. Esta dinámica afecta, sin duda, a los mecanismos de transmisión de los choques en la economía, y por lo tanto, se hace indispensable tener en cuenta el sector informal en el diseño de la política económica.
En los últimos años, se han realizado numerosos estudios sobre la caracterización de la informalidad y el efecto que ha tenido la política fiscal, en especial el efecto que ha tenido el aumento de los costos no salariales y el salario mínimo, sobre el tamaño del sector informal. Sin embargo, son casi nulos los trabajos que, a partir de un modelo de equilibrio general dinámico estocástico (DSGE, en inglés Dynamic stochastic general equilibrium) con rigideces nominales analicen la dinámica del mercado de trabajo a través del ciclo económico y política monetaria (PM) en presencia de un amplio sector informal. La construcción de dicho instrumento de análisis es de vital importancia para el adecuado manejo de la política económica en economías en vías de desarrollo.
Debido a este vacío en la literatura, en este trabajo se pretende construir un modelo DSGE con sector informal y rigideces en precios, usando como marco de análisis las teorías contemporáneas del mercado de trabajo y las rigideces nominales. Esto, con el fin de brindar un análisis más completo sobre el efecto de la PM en economías con un alto porcentaje de trabajadores informales. Adicionalmente, gracias a las rigideces nominales, se podrá hacer un mejor análisis del comportamiento del mercado laboral a través del ciclo económico.
Este trabajo se desarrolla en 6 secciones: la primera se compone de esta introducción; en la segunda sección se realiza una breve revisión de la literatura; en la tercera, se explica y se desarrolla el modelo; en la cuarta, se exponen los supuestos bajo los cuales el modelo es calibrado; en la quinta, se realizan las simulaciones; y por último, en la sexta, se exponen las conclusiones.
2. Estado del arte
Este trabajo tomará como base la teoría de búsqueda y emparejamiento (matching) y la de las rigideces nominales. La primera de ellas, con el fin de modelar la dualidad existente en el mercado de trabajo, y la segunda, con el fin analizar tanto el efecto de la PM sobre el mercado de trabajo como el comportamiento de este a través del ciclo económico.
En el ámbito internacional, existe una variedad de trabajos que utilizan los modelos DSGE y la teoría contemporánea de matching para analizar el efecto de la política laboral y de las rigideces en el mercado de trabajo (costos de contratación, de despido, salario mínimo, etc.) sobre la informalidad en la economía. Sin embargo, solo uno de estos trabajos incluye las rigideces nominales, y por lo tanto, no analiza el efecto que tiene la PM sobre el mercado de trabajo con un amplio sector informal. Como se verá más adelante, los trabajos que sí incluyen rigideces nominales y analizan el efecto de la PM sobre el mercado de trabajo no modelan la informalidad. A nuestro entender, hasta el momento, solo un trabajo reciente está intentando analizar la dinámica inflacionaria en presencia de informalidad en el mercado de trabajo, aunque como mencionaremos más adelante, su enfoque y objeto de estudio es diferente al nuestro (Castillo y Montoro, 2012).
Dentro de los trabajos que analizan la informalidad están aquellos como el de Fortin, Marceau y Savard (1997) y Agénor y Aizenman (1999) que analizan los efectos de las políticas laborales en sector formal, informal y en el salario. Fortín et al. estudian el efecto de los impuestos y las rigideces salariales en las economías en desarrollo con un amplio sector informal. Para esto, construyen un DSGE con firmas heterogéneas, basado en la idea de que el costo marginal de evasión de la regulación y de impuestos incrementa con el tamaño de la firma. Por su parte, Agénor y Aizenman analizan los efectos macroeconómicos de la política laboral en las economías pequeñas y abiertas con un amplio sector informal y fuerza de trabajo heterogénea, la cual se divide entre cualificada y no cualificada. En general, se muestra que un incremento en el salario mínimo disminuye el salario del sector informal, ya que se reduce la demanda de trabajadores cualificados en el sector formal, y se aumenta la oferta de trabajo en el sector informal.
Estudios más recientes han utilizado modelos de equilibrio general que extienden los modelos de matching de Mortensen y Pissarides (1994), para incluir las rigideces reales laborales existentes en el sector formal y las probabilidades de destrucción y creación de empleo en dicho sector.
Tal es el caso de Bosch y Pretel (2006) que analizan la recomposición del trabajo entre el sector formal e informal a partir de un modelo de equilibrio general de búsqueda y emparejamiento para tratar de capturar el hecho de que la probabilidad de encontrar empleo en el sector formal reacciona más ante ciertos choques de productividad y de política económica que la probabilidad de encontrar empleo en el sector informal. Ellos muestran que una disminución en los costos de contratación o en las tasas de impuesto sobre el ingreso laboral incrementa el tamaño del sector formal.
En la misma línea teórica, Satchi y Temple (2009) desarrollan un modelo de equilibrio general con fricciones de búsqueda en el mercado de trabajo urbano (matching). En dicho modelo, el sector informal se caracteriza por los trabajadores por cuenta propia. Satchi y Temple muestran cómo las fricciones en el sector formal y el amplio poder de negociación de los trabajadores que pactan salarios en el sector formal conducen a aumentar el tamaño del sector informal. Adicionalmente, muestran que una disminución en los impuestos reduce el desempleo y el tamaño del sector informal. Por su parte, Albrecht, Navarro y Vroman (2009) caracterizan los individuos por tener niveles de productividad baja, media y alta, donde los trabajadores de productividad baja se localizan en el sector informal, los de productividad alta en el formal y los de productividad media se pueden emplear en cualquiera de los 2 sectores. En dicho trabajo, se encuentra que los impuestos sobre la nómina reducen la duración del empleo promedio en el sector formal, lo cual genera un aumento en el tamaño del sector informal y el número de trabajadores que aceptan cualquier tipo de oferta de empleo.
Resumiendo, se puede ver que gran parte de la literatura reciente se ha orientado al uso de modelos de equilibrio general con búsqueda y emparejamiento en el sector formal para analizar los efectos de las regulaciones del mercado laboral sobre la composición de la mano de obra en economías en desarrollo, las cuales se caracterizan por tener un amplio sector informal.
En otra rama de la literatura internacional están los trabajos que incorporan las rigideces nominales a los modelos DSGE con matching, con el fin de analizar, de una mejor forma, la dinámica del mercado de trabajo a través del ciclo económico, y a su vez, analizar el efecto de la PM en presencia de un mercado dual.
Uno de los primeros trabajos en combinar las rigideces nominales con las fricciones en el mercado de trabajo fue el de Cherón y Langot (2000), donde se explican los mecanismos de propagación en el mercado de trabajo relacionados con los choques tecnológicos y en la oferta monetaria, y encuentran que éstos ayudan a entender de una mejor forma la dinámica del mercado de trabajo agregado. Más adelante, Walsh (2003, 2005), Trigari (2004 y 2006), Krause y Lubik (2007) analizan el impacto que tiene el proceso de matching en el mercado de trabajo y las rigideces en precios sobre la forma en que la economía responde ante choques reales y monetarios. Estos autores, encuentran que la respuesta del empleo y el producto a un choque en la tasa de interés tiene una forma de joroba (hump shaped), tal como muestra la evidencia empírica. Además, encuentran que las fricciones en el mercado de trabajo aumentan la respuesta del producto y reducen la de la inflación, en comparación con los modelos donde el mercado de trabajo es walrrasiano. Otros trabajos coma los de Shimer (2005), Hall (2005) y Christoffel y Linzert (2005) han incluido a los modelos DSGE con matching en el mercado de trabajo las rigideces en precios, junto con diferentes grados de rigideces reales en salarios, con el fin de entender como la dinámica del mercado de trabajo y en particular los ajustes en salarios afectan los costos marginales y a la dinámica de la inflación.
En esta misma línea teórica, Christiano, et al. (2005), Gertler y Trigari (2006) y Gertler, Sala y Trigari (2008) incorporan las rigideces nominales en salarios a los modelos DSGE con matching. En Christiano et al. (2005) se incorporan rigideces nominales en precios y salarios a la calvo, y muestran que un choque en política monetaria genera una respuesta inercial en la inflación y una respuesta persistente y de hump-shaped en el producto, el consumo y la inversión. Adicionalmente, encuentran que las rigideces en los salarios nominales son muy importantes en los resultados del modelo, mientras que las rigideces en precios juegan un papel menos significativo. Por su parte, en Gertler y Trigari (2006) y Gertler, Sala y Trigari (2008) se incluyen las rigideces en salarios mediante un proceso de negociación de salarios a la Nash escalonados, y encuentran que con una calibración razonable del modelo, se puede replicar relativamente bien mejor que en el caso en que todos los salarios se negocian cada periodo) el comportamiento cíclico de los salarios y la actividad del mercado de trabajo observados en los datos de referencia.
Otros trabajos se han orientado a analizar la política monetaria óptima bajo un mercado de trabajo con fricciones de búsqueda y emparejamiento. Tal es el caso de Thomas (2008) donde, a partir de la combinación entre los modelos Neo-Keynesianos y las rigideces de búsqueda y emparejamiento en el mercado de trabajo, analiza la política monetaria óptima en este tipo de modelos. En dicho trabajo se muestra que, en presencia de rigideces en el salario nominal, y en respuesta a choques reales, el banco central debería usar una política monetaria tendiente a controlar la inflación, con el fin de reducir la volatilidad excesiva en el desempleo y la excesiva dispersión en las tasas de contratación. Por otro lado, Faia (2008) encuentra que la regla óptima de política debería responder al desempleo junto con la inflación. Otros trabajos como el de Mattesini y Rossi (2009), y Galí (2010) también han utilizado este tipo de modelos para analizar la política monetaria óptima.
Por su parte, el trabajo de Castillo y Montoro (2012), es el primer trabajo en analizar el efecto de la política monetaria, en una economía con un amplio sector informal en el mercado de trabajo, utilizando como marco de análisis las teorías contemporáneas del mercado de trabajo y las rigideces nominales. Estos encuentran que el empleo informal tiene un profundo impacto en la dinámica inflacionaria y en el mecanismo de transmisión de los choques de demanda y de productividad, dado el efecto amortiguador del sector informal. Sin embargo, estos autores no distinguen entre empresas formales e informales, tal corno se analiza en el presente artículo, sino que las empresas representativas contratan tanto trabajo formal como informal.Aunque es cierto que pueden existir algunas empresas que contratan los 2 tipos de trabajadores, en el presente artículo se considera más adecuado distinguir entre empresas formales e informales, cuya lógica de negociación de salarios y contratación de empleados son totalmente diferentes. En las empresas informales, los salarios son iguales a la productividad marginal del trabajo, mientras en las formales hay un proceso de negociación, lo cual introduce algún grado de rigidez real en los salarios del sector formal. Por otro lado, Castillo y Montoro suponen que la tasa de destrucción de empleo es exógena y no varía durante los ciclos económicos, lo cual no coincide con la evidencia empírica (Bosh y Pretel, 2006). Finalmente, Castillo y Montoro (2012) no analizan el efecto de cambios en las reglas de PM.
En resumen, se puede ver que gran parte de la literatura internacional que incorpora los modelos DSGE con matching, las rigideces en precios y/o en salarios nominales con el fin de analizar el papel de la PM no tienen en cuenta el sector informal. Este problema constituye un gran vacío en la literatura, especialmente en la que se centra en el análisis de las economías en desarrollo. Incluir este sector (informal) es fundamental, a la hora de analizar los efectos de la PM en economías con un amplio sector informal, ya que, como se mencionó anteriormente, este genera graves problemas de productividad y bienestar en la economía.
En este sentido, en este trabajo se construye un modelo DSGE con informalidad, rigideces en precios, y fricciones de búsqueda y emparejamiento en el sector formal, con el fin de analizar la dinámica del mercado de trabajo a través del ciclo económico y el efecto de la PM en una economía con un amplio sector informal. En este caso, las rigideces nominales permitirán a la PM afectar a la tasa de interés real; además, al respecto, Galí y Rabanal (2004) afirman que la existencia de rigideces nominales en precios y salarios es un elemento indispensable para explicar el comportamiento del mercado de trabajo durante los ciclos económicos. Adicionalmente, las fricciones de búsqueda y emparejamiento en el mercado de trabajo formal implicarán que a las firmas formales les toma tiempo llenar las vacantes, y a los desempleados encontrar empleo en el sector formal (Walsh, 2005).
3. Modelo
En este modelo, se considera una economía cerrada con 3 tipos de agentes económicos: los hogares, las firmas y la autoridad monetaria. Los hogares, compuestos por agentes heterogéneos con un horizonte de vida infinito maximizan su utilidad sobre el consumo agregado y las tenencias de efectivo. Las firmas se caracterizan por ser de 3 tipos: por un lado, están las firmas que producen bienes finales en un mercado competitivo en el sector informal, el cual se caracteriza por ser de baja productividad; por otro lado, están las firmas que producen bienes intermedios homogéneos en el sector formal, y por último, están las firmas de ventas al por menor (retail firms) quienes compran los bienes intermedios y producen bienes finales diferenciados en un mercado monopolístico con rigideces en precios. La autoridad monetaria fija la tasa de interés mediante una regla de PM. Las fuentes de incertidumbre en este modelo están dadas por los choques en productividad, en preferencias, y en la PM.
3.1. Los hogares
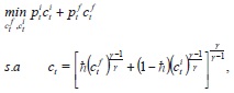
En los hogares, cada uno de los miembros está empleado en el sector de bienes intermedios, en el sector informal, o está desempleado. Siguiendo a Bosh y Pretel (2006) y a Walsh (2003, 2005), se supondrá que los empleados en el sector de bienes intermedios, lf, reciben un salario w f (a), los del sector informal, li, reciben un salario w i (a); ambos salarios dependen de la productividad de cada trabajador, en donde el índice a representa el componente idiosincrático de la productividad de un trabajador. Los desempleados, lu, tienen un ingreso de b y están esperando un empleo en el sector formal o informal. Cada período, los hogares compran bonos Bt y reciben un rentabilidad (1 + it-1) por los bonos comprados en el período anterior. Al final de cada período, estos agentes juntan sus ingresos y escogen el consumo agregado, 'C't, con el fin de maximizar la función de utilidad esperada dada por:

donde β es la tasa de descuento subjetiva, εt sigue un proceso autorregresivo de orden 1, y representa un choque en las preferencias de los hogares. 'C't = ct + cth se compone de la suma de los bienes de consumo, los adquiridos en el mercado ct y del consumo producido en el hogar cth. Este último es definido como Cth = (1 - ζt)b - ζt(il + l), donde ζt es un indicador variable, igual a 1 si el agente está empleado, y 0 en otro caso. Por su parte, la canasta de consumo adquirida en el mercado de bienes está compuesta de bienes formales, ctf, e informales, cti, de la forma:

en donde
es una constante que indica el peso de cada uno de los tipos de consumo (formal e informal) dentro del consumo total. ctf son bienes compuestos a la Dixit-Stiglitz por una cantidad de bienes diferenciados, lo que implica que:

De este modo, los hogares maximizan su función de utilidad inter temporal sujeta a la siguiente restricción presupuestal (en términos reales):

Donde, div xt son los dividendos que reciben los hogares de las firmas productoras de bienes intermedios, divyt son los dividendos que reciben los hogares de las firmas productoras de bienes finales.
Con el fin de simplificar el análisis se supone que existe un mercado financiero completo en el que los hogares están completamente asegurados con respecto a su riesgo idiosincrático. Este supuesto permite trabajar con un hogar representativo, y es ampliamente utilizado en los modelos dinámicos estocásticos de equilibrio general con presencia de desempleo (Andolfatto, 1996).
El lagrangiano del problema anterior es de la forma:

Las condiciones de primer orden de este problema implican:

Con la combinación de las ecuaciones (3) y (4) se obtiene la Ecuación de Euler.
Adicionalmente, en cada período, el consumidor tiene 2 problemas adicionales de escogencia. En primer lugar, debe elegir entre consumo formal e informal. Para este propósito, los hogares minimizan el siguiente programa intratemporal:

donde pti es el precio de un bien informal y ptf el de uno formal. Las condiciones de primer orden de este problema implican que:

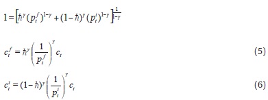
En segundo lugar, debe escoger la demanda de cada variedad j, para lo que resuelve el siguiente problema de optimización:

Donde θ mide el grado de diferenciación del producto. La solución de este problema implica que:

es el índice general de precios del sector formal.
3.2. Mercado de trabajo
El mercado de traba jo de esta economía se caracteriza por la existencia de 2 tipos de trabajo, uno formal y otro informal. Cada tipo de trabajador tiene un proceso de contratación diferente.
En el caso del sector formal, la mano de obra empleada es resultado de un proceso de emparejamiento (matching process). La firma y el trabajador entablan una relación de empleo después de pasar por un proceso de búsqueda en el mercado de trabajo, donde las firmas productoras de bienes intermedios ponen vacantes en búsqueda de trabajadores desempleados.
El flujo de emparejamientos exitosos entre trabajadores y firmas dentro de un período está dado por la función de matching m(vt,ut)

donde vt es el número de vacantes, y ut es el número de personas que buscan empleo, y se compone de la suma de trabajadores desempleados más el número de trabajadores que perdieron su empleo en el sector formal e informal.
Se supone, además, que los trabajadores del sector informal no pueden ir directamente al sector formal; estos, primero tienen que estar desempleados para poder buscar trabajo en este sector.
La probabilidad de que una vacante sea llenada es:

Del mismo modo, la probabilidad de que un trabajador desempleado encuentre empleo en el sector formal es:

Una vez el trabajador ha entablado una relación de empleo con la firma, en el siguiente período, al trabajador le llega un nivel de productividad at+1. Si esta productividad está por encima de un valor crítico, ã ft+1, el trabajador es contratado, de lo contrario quedará desempleado. Este valor crítico es endógeno y está determinado por las condiciones del mercado laboral. En la sección 3.4.2 se hace una derivación formal de la expresión exacta que determina dicho valor. La comparación entre at+1 y ã ft+1 da como resultado una tasa de separación endógena igual a:

en donde (1-ρt+1) indica la probabilidad de que un emparejamiento actual produzca en el período t+1. En este sentido, el flujo de trabajadores formales se puede representar de la siguiente forma:

En el caso del sector informal, la mano de obra empleada depende de una probabilidad exógena. Cada período, al igual que en el sector informal, los desempleados que consiguen trabajo en t empiezan a trabajar en el período t+1, siempre y cuando les llegue una productividad at+1 mayor o igual a un valor crítico ã ft+1. En este caso, el flujo de trabajadores informales se representa de la siguiente forma.

donde ξ es un parámetro exógeno que indica la probabilidad de encontrar empleo en el sector informal, uti son los desempleados que buscan trabajo en el sector informal y Ωt+1 es la tasa de destrucción de empleo informal igual a:

La cantidad de trabajadores que buscan empleo en el sector formal es igual a:

Mientras que los que buscan en el sector informal serían los que no pudieron conseguir trabajo en el formal

Como se verá más adelante, los salarios del sector formal son fijados mediante un proceso de negociación entre trabajadores contratados y firmas, mientras que en el sector informal se fijan de forma competitiva.
En esta economía hay 3 tipos de firmas. Las informales utilizan trabajo informal para producir y it bienes de consumo final. Las formales contratan trabajo formal para producir x ft bienes intermedios homogéneos. Por último, las firmas monopólicas formales compran los bienes intermedios a un precio p xt y los transforman en un bien final, y fjt, diferenciado, el cual venden a los consumidores a un precio p fjt.
3.2.1. Sector informal
Al comienzo de cada período hay lit trabajadores empleados en este sector. En cada etapa, el empleo se destruye con una probabilidad endógena, debido a que solo los trabajadores a los que les llega una productividad ant superior o igual al nivel de productividad crítico ãft continúan trabajando el resto del período. Cada uno de estos trabajadores producirá un producto igual a:

Donde ant es la productividad específica de cada trabajador, zit es la productividad asociada al sector informal y zt es la productividad total de la economía.
La producción agregada del sector informal en el período t es:

El salario promedio recibido por un trabajador informal es igual al ingreso medio:

En equilibrio, toda la producción informal es consumida, lo que implica que:

3.2.2. Sector de bienes intermedios (sector formal) Al comienzo de cada período hay lft trabajadores empleados en este sector. En cada etapa, el empleo formal se destruye con una probabilidad endógena, debido a que los trabajadores que hicieron matching el período anterior observan junto con las firmas el nivel de productividad y deciden si continuar o no con la relación laboral.
Si el emparejamiento continúa, cada trabajador producirá un producto igual a:

Donde zft es la productividad del sector formal. Este producto es vendido a las firmas formales productoras de bienes finales a un precio pxt. Cada trabajador contratado le genera entonces a la firma un beneficio igual a:

Adicionalmente, como las empresas incurren en un costo cv por poner una vacante vt, los dividendos que obtienen son:

Por último, se tiene que la producción agregada del sector formal de bienes intermedios es:

3.2.3. Firma productora de bienes finales
Las firmas de este sector producen bienes diferenciad os en un mercado en competencia monopolística. Por simplicidad, se supone que este sector no emplea trabajo, solo bienes intermedios. Cada período habrá un proporción (1 - ω) que puede cambiar sus precios de manera óptima, el resto de firmas fijaran los precios del período anterior. Las empresas que pueden optimizar sus precios son escogidas de forma aleatoria, por lo tanto ω es la probabilidad que tiene una firma de no cambiar sus precios.
La demanda total de bienes finales se representa mediante la tecnología de agregación estándar:

Cada período, las empresas que no pueden cambiar sus precios fijan los del período anterior, es decir:

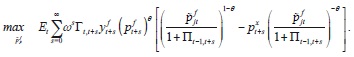
En el caso en que a la firma le llegue la oportunidad de cambiar sus precios de manera óptima, esta escoge el precio que maximiza el valor presente de las ganancias de la empresa:

donde
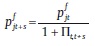
es el factor de descuento estocástico. Además, si la empresa cambia precios de manera óptima en el período t, y en la etapa t + s todavía no ha tenido la oportunidad de cambiarlos de manera óptima, entonces deberá fijar:

donde 1 + Πt - 1,t + s - 1 se lee como la inflación acumulada desde t - 1 hasta t + s -1. De este modo, el problema de la firma se puede representar como:

La solución óptima a este problema da como resultado la siguiente expresión para 

Una vez obtenido el nivel de precios que fijan las firmas en cada uno de los casos, de la ecuación (8) se tiene que el índice general de precios del sector formal puede expresarse de la forma:

En este sector, la producción agregada se puede expresar como:

3.3. Funciones valor y determinación de salarios
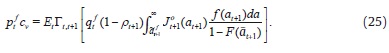
El valor descontado para la firma productora de bienes intermedi os de poner una vacante se denota como Jvt, donde

Poner una vacante en este sector tiene un costo para la firma de pft cv. Con una probabilidad qft, la vacante se llena, y con una (1 - ρt+1) se realiza el contrato, esto implica que con una probabilidad qft (1 - ρt+1) la firma tendrá un valor esperado de Jot+1 por tener un puesto ocupado. Con una probabilidad (1 - qt+1), la vacante no se llena y el puesto permanece libre y la forma tendrá un valor esperado de Jvt+1 . Adicionalmente, como existe libre entrada, las firmas pondrán vacantes hasta que su valor esperado sea 0, lo que implica que en equilibrio Jvt = Jvt+1 = 0. De este modo, la ecuación (24) se convierte en:

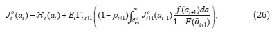
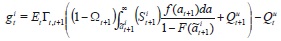
El valor de la firma por tener un puesto ocupado se puede representar de la forma:

Esto indica que en el período t, las empresas obtienen un beneficio de Ht (at) por tener un puesto ocupado. En la siguiente etapa, con una probabilidad ρt+1, este puesto de trabajo es destruido y la empresa obtendrá 0; de lo contrario, con probabilidad (1 - ρt+1), el puesto continúa ocupado y la empresa obtendrá un valor esperado de Jot+1.
Ahora, pasando a las funciones valor de los trabajadores, se tiene que para un trabajador, el valor presente descontado de estar empleado en el sector de bienes intermedios es:

que indica que cuando un trabajador es contratado en el sector formal, este recibe un salario wft(at) y tiene una desutilidad de l por estar trabajando en este sector. En el siguiente período, este continúa empleado con probabilidad (1 - ρt+1), en cuyo caso obtiene un valor esperado de Qft+1(at+1). Con probabilidad ρt+1 el trabajador pierde su empleo y se convertirá en desempleado, en cuyo caso obtiene un valor esperado de Qut+1
Por su parte, en el caso del trabajador informal, se tiene que el valor presente descontado de estar empleado en este sector es:f

En este caso, el trabajador empleado en el sector informal recibe wit(at) por su trabajo y tiene una desutilidad de il por estar trabajando en este sector. En el próximo período con probabilidad 1 - Ωt+1 permanecerá empleado en el sector informal y obtendrá un valor esperado de Qit+1(at+t), y con una probabilidad de Ωt+1 se convertirá en desempleado y obtendrá Qut+1.
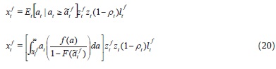
Por último, un agente desempleado obtiene un valor esperado de:

lo que significa que un trabajador desempleado obtiene una utilidad de b en el período t. En la siguiente etapa, consigue trabajo en el sector formal con una probabilidad qwt, para empezar a trabajar en el período t + 1, donde con una probabilidad (1 - ρt+1) se quedará y recibirá un valor esperado de Qft+1( at+1). Con una probablidad (1-qwt)ζ conseguirá trabajo en el sector informal para empezar a trabajar en el período t + 1, donde con una probabilidad 1-Ωt+1 se quedará y obtendrá un valor esperado de Qft+1( at+1). Finalmente, si no consigue trabajo en ninguno de los 2 sectores, seguirá desempleado y obtendrá Qut+1.
3.3.1. Negociación de salarios
En el mercado de trabajo formal, donde existen rigideces de búsqueda y emparejamiento, el salario se fija mediante un proceso d e negociación entre firmas y trabajadores. En esta sección se supone que los salarios se negocian a la Nash, donde las empresas y los trabajadores de este sector escogen el salario wft+1 que maximiza el beneficio conjunto ?t de la forma:

φ mide el poder de negociación de los trabajadores. De este modo, mediante la solución de negociación de Nash se tiene que:

3.3.2. Umbrales
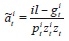
En este modelo hay 2 umbrales a partir de los cuales se contrata a los trabajadores formales y a los informales, estos son ãft y ãit,respectivamente. Cada uno de ellos es obtenido de la siguiente forma:
• En el caso del sector formal, se tiene que el excedente conjunto que obtienen tanto los trabajadores como las firmas de tener una relación laboral es igual a Sft = (at) = Jot(at) + (Qft(at) - QMt). Usando (26), (27), (29) y (30) se tiene la siguiente expresión para Sft(at):

Donde

De este modo, el ãft se define como el valor de at en el cual el excedente conjunto es 0,Sft(at) = 0, de donde se obtiene que:

• En el caso del sector informal, ãit depende de la diferencia entre el valor de estar empleado en el sector informal y el de estar desempleado, lo que implica que Sit(at) = Qit(at) - Qut, usando (28) y (29) se tiene la siguiente expresión para Sit(at)

donde

de este modo, ãit se define como el valor de at en el cual Sit(at) = 0, de donde se obtiene que

Las funciones valor de los trabajadores se pueden escribir en términos de los excedentes Sft(at) y Sit(at) de la forma:

3.4. Autoridad monetaria
La mayoría de los bancos centrales aplican una regla de PM para controlar la tasa de interés de corto plazo. En este trabajo se asume que la tasa de interés nominal se mueve de acuerdo con la siguiente regla de política:

donde yflext representa el producto que se alcanzaría si los precios fueran plenamente flexibles (producto natural). En este caso, se tiene en cuenta que los choques reales, tales como a la productividad y a las preferencias, afectan a la tasa de crecimiento del producto potencial o natural.
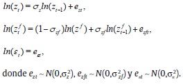
Por su parte,σπ > 1, σy > 0 y σt es un proceso estocástico serialmente no correlacionado y de media 0, σt ∼ N(0, σz2).
4. Calibración
El modelo es calibrado para la economía brasileña, ya que es uno de los países donde se tiene información más completa sobre el mercado laboral. Específicamente, existen datos sobre las tasas de destrucción y creación de empleo formal e informal. A continuación se describirán los supuestos bajo los cuales se fijaron los parámetros del modelo.
En primer lugar, se supone que la periodicidad del modelo es trimestral y que a se distribuye log-normal. Algunos de los parámetros son estándares en la literatura internacional y/o son fijados con base en estudios anteriores realizados para la economía brasileña. Con base en el trabajo de Carvalho y Valli (2011), la tasa intertemporal de descuento se iguala a β = 0,988, el grado de diferenciación de los bienes formales finales se fijó en θ = 6, lo que implica un markup del 25%. La fracción de las firmas formales que no cambian precios son ω = 0,75, esto indica que de promedio, las firmas cambian sus precios cada año. En la literatura, es estándar fijar la elasticidad de la función de matching en µ = 0,4.
se fija en 0,5. El poder de negociación de los trabajadores se fija en φ = 0,5, y zi = 1. Por simplicidad, se supone que los trabajadores desempleados obtienen un b = 0. Los parámetros que se fijan en el modelo se resumen en la tabla 1.
Habiendo fijado estos parámetros, se utilizan las ecuaciones de estado estacionario del modelo para calibrar el resto de los mismos, los cuales deben replicar los datos más relevantes del mercado laboral de la economía brasileña. Basados en el trabajo de Bosh y Maloney (2008), quienes realizan un análisis sobre el flujo de trabajadores informales y desempleados a través del ciclo económico en Brasil y México, se intenta reproducir sus principales hallazgos. Estos autores encuentran que para Brasil las tasas de creación de empleo en el sector formal e informal son 0,12 y 0,21, respectivamente, y que las tasas de destrucción de empleo en el sector formal e informal son 0,01 y 0,032, respectivamente. Adicionalmente, el porcentaje de desempleados en esta economía es de u = 0,054, de trabajadores formales de lf = 0,59 y de trabajadores informales de li = 0,356. Los parámetros calibrados con base en las ecuaciones del modelo en estado estacionario se resumen en la tabla 2.
5. Simulaciones
En este modelo se supone que hay 3 fuentes de incertidumbre, una asociada a choques de productividad (choque de oferta), otra a choques en las preferencias (choque de demanda), y otra a choques en la tasa de interés (choque en la regla de PM).
Con respecto al choque en la productividad total de la economía (zt), en la productividad del sector formal, (ztf ) y en las preferencias (εt) se supone que estas siguen un proceso autorregresivo de orden 1, de la forma:

Adicionalmente, se supone que la autoridad monetaria sigue una regla estándar de Taylor (RT), donde σi = 0,25, σp = 1,25 yσy = 0,5.
5.1. Algunas estadísticas del modelo y de los datos
Antes de pasar a analizar el comp ortamiento del modelo ante choques en la economía, se comparan algunas estadísticas del mercado laboral resultantes del modelo con las obtenidas de los datos del mercado laboral de la economía brasileña. Estos últimos valores son tomados del trabajo de Bosch y Maloney (2008), quienes calculan el error estándar (SE datos), la correlación con el producto (corry datos) del empleo formal, el informal y el desempleo, y la correlación del desempleo (corru datos) con la tasa de destrucción de empleo formal e informal y la tasa de creación de empleo formal. Comparando la columna 2 y 3 se puede ver que el modelo recoge el comportamiento de las desviaciones estándares, en donde el desempleo tiene una mayor variabilidad. Comparando las columnas 4 y 5 se puede ver que el modelo logra replicar el signo de las correlaciones y el hecho de que el empleo informal es levemente contracíclico y el desempleo fuertemente procíclico. También se logra replicar el signo de la correlación entre desempleo y las tasas de creación y destrucción de empleo. Con respecto a las tasa de destrucción de empleo formal e informal, ρt y Ωt, el modelo logra replicar el hecho de que la tasa de destrucción de empleo informal está más correlacionada con el desempleo que la formal (tabla 3).

5.2. Efecto de un choque en la tasa de interés
En la figura 1, se muestra el efecto que tiene un choque en la tasa de interés sobre las variables seleccionadas. En ésta se puede observar que un aumento en la tasa de interés disminuye el producto de la economía y la inflación. En el sector formal, la probabilidad de llenar una vacante aumenta y la de encontrar empleo formal disminuye; esto se da porque las vacantes disminuyen y el número de personas que buscan trabajo en el sector formal aumentan en reacción a un choque contractivo de la PM (ambas variables no se muestran en la figura 1). Por su parte, la destrucción de empleo formal e informal aumenta. Adicionalmente, como resultado del cambio en la tasas de creación y destrucción de empleo, el empleo formal ((1 - ρt)ltf) disminuye ante este choque de política, mientras que el empleo informal ((1 - Ωt)lti), que sirve como colchón en las recesiones, al principio del período cae, debido al aumento en la tasa de destrucción de empleo informal, Ωt, y a medida que ésta empieza a disminuir, el empleo informal aumenta.
5.3. Efecto de un choque en la productividad de la economía y del sector formal
En este apartado se analiza el efecto que tiene un choque positivo en la productividad total de la economía y en la productividad del sector formal ; este último también se puede interpretar como un choque tecnológico que afecta de forma diferente al sector formal e informal.
En la figura 2, se muestra el efecto que tiene un aumento en productividad total de la economía (zt). En esta se puede observar que, debido a que el incremento en la productividad incentiva la creación de nuevos puestos de trabajo y, por lo tanto, el número de vacantes aumenta en relación con el número de personas que buscan empleo, la probabilidad de llenar una vacante disminuye, la tasa de creación de empleo formal aumenta y las tasas de destrucción de empleo formal e informal disminuyen. Esta situación hace que el producto y el empleo total (formal e informal) aumenten y la inflación y el desempleo disminuyan.
Por su parte, en la figura 3 se muestra el efecto de un aumento en la productividad del sector formal, zft. En esta se puede ver que, la probabilidad de llenar una vacante disminuye y la de encontrar trabajo formal aumenta. A diferencia de un aumento en la productividad total de la economía, cuando hay un incremento en zft, el empleo formal e informal se mueven en dirección contraria (el formal aumenta y el informal disminuye). En este sentido, los choques que afectan de manera esclusiva al sector formal, o se transmiten de forma diferente entre ambos sectores, pueden explicar mejor el carácter contracíclico del empleo informal, característico de las economías en desarrollo.
5.4. Efecto de un choque en preferencias
Un choque en preferencias (que desaparece rápidamente) tiende a aumentar el consumo presente y a disminuir los consumos futuros. En la figura 4 se puede observar que un aumento en las preferencias por consumo incrementa la producción y el consumo en los primeros períodos, para luego disminuirlos. Del mismo modo, el trabajo formal disminuye en las primeras etapas y luego aumenta, mientras que el empleo informal tiene el comportamiento contrario. El aumento en la tasa de destrucción de empleo informal, Ωt, hace que en los primeros períodos el trabajo informal ((1 - Ωt)lti) caiga. Sin embargo, a medida que esta empieza a disminuir, rápidamente el empleo informal aumenta.
5.5. Comparación de los resultados del modelo sin sector informal
Como se mencionó anteriormente, la presencia de un amplio sector informal afecta al comportamiento de la economía a través del ciclo económico y, por lo tanto, debe s er tenido en cuenta en el momento de analizar el efecto de la política económica en este tipo de economías. Con el fin de comparar los resultados del modelo
cuando no se tiene en cuenta el sector informal se realizan ejercicios de impulso respuesta para el caso en que
=1, es decir, cuando la participación del consumo informal en la cesta de consumo total (1 -
), es igual a 0. Adicionalmente, con el fin de mantener la tasa de desempleo de la economía en 5,4%, se fija la desutilidad del trabajo en l = 1,42. El resto de los parámetros del modelo no cambian.
5.5.1. Efecto de un choque en la productividad total de la economía
En la figura 5 se muestra el efecto de un aumento en la productividad cuando hay o no sector informal. Ante un cambio en la productividad, en una economía sin sector i nformal, el ajuste en el mercado de trabajo se hace vía la distribución de la fuerza de trabajo entre empleados y desempleados. Con informalidad, el ajuste es en parte entre empleo formal e informal. En este sentido, se puede observar que ante un aumento en la productividad, la disminución del desempleo es mayor sin la presencia del sector informal. Del mismo modo, el aumento en la producción también es mayor sin informalidad, debido no solo al mayor empleo generado, sino también a la mayor productividad de todos los trabajadores. (Con informalidad, los empleados en este sector son menos productivos).
5.5.2. Comparación del efecto de un choque de la tasa de interés con y sin sector informal
Una de las características principales de las economías en desarrollo con tamaños excesivos del sector informal es la mayor flexibilidad en precios y salarios debido a que en este sector los sueldos se fijan de forma competitiva y no hay rigideces en precios. Adicionalmente, a pesar de que el modelo desarrollado en este trabajo no tiene capital, y no se puede ver el efecto que tiene la PM sobre la inversión, se puede afirmar que las economías informales se ven menos afectadas por un aumento en la tasa de interés, debido a que la utilización del capital en el proceso productivo es mínimo y la inversión y el financiamiento de las empresas informales están basados principalmente en recursos propios. De este modo, se esperaría que la PM tenga un menor efecto de corto plazo en las economías con un amplio sector informal. (En un modelo con capital, estas diferencias deberían ser más pronunciadas).
El cambio no esperado en la tasa de interés es uno de los principales instrumentos de los bancos centrales para influir en la inflación y el producto de corto plazo. En la figura 6 se puede observar el efecto de un aumento en la tasa de interés con y sin sector informal. Como es de esperar, el efecto de la PM sobre el producto y el empleo es menor cuando hay sector informal. En economías sin informalidad, el ajuste de la economía se da vía cantidades (despido o contratación de trabajadores), mientras que en economías con altas tasas de informalidad, gran parte del ajuste se da vía precios. Esto hace que el cambio en el empleo y el producto sea menor cuando existe informalidad, mientras que el cambio en la inflación es mayor.
De este modo, se puede ver que el comportamiento de las principales variables macroeconómicas a través del ciclo económico es diferente en economías con altas tasas de informalidad laboral. Por lo tanto, se hace necesario tener en cuenta este sector en el diseño y análisis de la política económica. De no tenerse en cuenta, se podrían hacer predicciones erróneas.
6. Conclusiones
En este trabajo, se introduce el sector informal en un modelo DSGE con búsqueda y emparejamiento en el mercado de trabajo formal y rigideces en precios, con el fin de analizar la dinámica del mercado de trabajo en una e conomía con un amplio sector informal. Los resultados indican que un aumento no previsto en la tasa de interés disminuye la producción y el empleo formal, y aumenta la informalidad y el desempleo. Por su parte, la probabilidad de encontrar empleo en el sector formal disminuye, y aumenta la tasa de destrucción de empleo formal e informal.
Adicionalmente, un choque en la productividad total de la economía, que afecta por igual al sector formal e informal, genera un aumento en el trabajo formal e informal, mientras que un choque tecnológico que afecta solo al sector formal (o afecta más al formal que al informal) genera un aumento en el trabajo formal y una disminución en el informal. Este último choque es el que mejor representa los hechos estilizados que sugieren que en el ciclo económico el empleo informal se mueve en dirección contraria al formal. En ambos casos, un aumento en la productividad incrementa la probabilidad de encontrar empleo en el sector formal y disminuye la tasa de destrucción de empleo formal e informal.
El comportamiento de las principales variables macroeconómicas a través del ciclo económico es diferente en economías con altas tasas de informalidad. Las probabilidades de llenar una vacante, de creación y destrucción de empleo se ven afectadas cuando hay una gran proporción de trabajadores informales en busca de un empleo en el sector formal, esto afecta a la dinámica del empleo y el producto ante choques en la economía. Adicionalmente, los precios y salarios son más flexibles en economías con altas tasas de informalidad debido a que este sector se comporta de forma competitiva. La mayor flexibilidad nominal afecta a los mecanismos de transmisión de la PM, haciendo que esta tenga un menor efecto sobre las variables reales en este tipo de economías. Por lo tanto, es de gran importancia tener en cuenta este sector en el diseño y evaluación de la política económica.
Con este modelo se pudo replicar gran parte de los hechos estilizados del mercado laboral de los países en desarrollo, en especial del mercado laboral brasileño. Sin embargo, una de las limitaciones del modelo es que no logra replicar el hecho estilizado de que los salarios formales son menos flexibles que los informales ya que solo se tuvieron en cuenta las rigideces en precios. De este modo, incluir rigideces en salarios es una extensión que se está considerando hacer; esto mejoraría el comportamiento de los salarios y, además, permitiría un mejor ajuste del modelo, ya que como han demostrado algunos trabajos, las rigideces en salarios son mejores para modelar las rigideces nominales. Otra extensión importante del modelo sería introducirle capital y sector externo. Finalmente, el modelo podría ser utilizado para analizar la PM óptima en la línea de Thomas (2008), Mattesini y Rossi (2009) y Galí (2010).
Agradecimientos
Agradezco a Fernando Jaramillo Mejía, mi asesor de tesis, por sus valiosos aportes.
* Este trabajo se realizó con el fin de optar por el título de Magíster en Economía de la Universidad del Rosario.
Bibliografía
Albrecht, J., Navarro, L. y Vroman, S. (2009). The effects of labor market policies in an economic with an informal sector. The Economic Journal, 119, 105-1129. [ Links ]
Agénor, P. y Aizeman, J. (1999). Macroeconomic adjustment with segmented labor markets. Journal of Development Economics, 58, 277-296. [ Links ]
Blanchard, O. y Gali, J. (2010). Labor Markets and Monetary Policy: A New Keynesian Model with Unemployment. American Economic Journal: Macroeconomics, American Economic Association, 2, 1-30. [ Links ]
Bosch, M. y Maloney, W. (2008). Cyclical movements in unemployment and informality in developing countries. Policy Research Working Paper Series, 4648. The World Bank. [ Links ]
Bosch, M. y Pretel, J. (2006). Job creation and job destruction in the presence of informal labour markets. CEP Discussions Paper, 76. Center for Economic Performance. [ Links ]
Carvalho, F. y Valli, M. (2011). Fiscal policy in Brazil through the lens of an estimated DSGE model. Working Pares Series, 240. Banco Central do Brasil. [ Links ]
Castillo, P. y Montoro, C. (2012). Dinámica inflacionaria en presencia de informalidad en mercados laborales. Economía Chilena, 15, 28. [ Links ]
Cheron, A. y Langot, F. (2000). The Phillips and Beveridge curves revisited. Economics Letters, 69, 371-376. [ Links ]
Christoffel, K. y Linzert, T. (2005) The Role of real wage rigidity and labor market frictions for unemployment and inflation dynamics. Working Papers Series, 556. European Central Bank. [ Links ]
Christiano, L., Eichenbaum, M. y Evans, C. (2005). Nominal Rigidities and the Dynamic Effects of a Shock to Monetary Policy. Journal of Political Economy, University of Chicago Press, 113, 1-45. [ Links ]
Faia, E. (2008). Optimal monetary policy rules with labor market frictions. Journal of Economic Dynamics & Control, 32, 1600-1621. [ Links ]
Fortin, B., Marceau, N. y Savard L. (1997). Taxation, wage controls and the informal sector. Journal of Public Economics, 66, 293-312. [ Links ]
Gali, J. (2010). Monetary policy and unemployment. NBER Working Pares Series, 15871, 83. National Bureau of Economy Research. [ Links ]
Galí, J. y Rabanal, P. (2004). Technology shocks and aggregate fluctuations: how well does the Real Business Cycle Model fit postwar U.S. data? IMF Working Paper, 234, 67. International Monetary Fund. [ Links ]
Gertler, M. y Trigari, A. (2006). Unemployment Dynamics with staggered Nash wage bargaining. NBER working papers, 12498, 52. [ Links ]
Gertler, M. Sala, L. y Trigari, A. (2008). An estimated Monetary DSGE Model with unemployment and staggered nominal wage bargaining. Journal of Money, Credit and Banking, 40, 1713-1764. [ Links ]
Hall, R. (2005). Employment f luctuations with equilibrium wages stickiness. American Economic Review, 95, 50-64. [ Links ]
Krause, M. y Lubik, T. (2007). The (ir)relevance of real wage rigidity in the New Keynesian model with search frictions. Journal of Monetary Economics, 54, 706-727. [ Links ]
Mattessini, F. y Rossi, L. (2009). Optimal monetary policy in economies with dual labor market. Journal of Economic Dynamics & Control, 33, 1469-1489. [ Links ]
Mortensen, D. y Pissarides, C. (1994). Job creation and job destruction in the theory of Unemployment. Review of Economic Studies, 61. 367. [ Links ]
Organización Internacional del Trabajo (2011). Panorama laboral 2011: América Latina y el Caribe. Oficina regional de la OIT para América Latina y el Caribe. [ Links ]
Satchi, M. y Temple, J. (2009). Labor markets and productivity in developing countries. Review of Economics Dynamics, 12, 183-204. [ Links ]
Shimer, R. (2005). The cyclical behavior of equilibrium unemployment and vacancies. American Economic Review, 95, 25-49. [ Links ]
Thomas, C. (2008). Search and matching frictions and optimal monetary policy. Journal of Monetary Economics, 55, 936-956. [ Links ]
Trigari, A. (2004). Equilibrium unemployment, job flows and inflation dynamics. Working Paper Series, 304. European Central Bank. [ Links ]
Trigrary, A. (2006). The role of search frictions and bargaining in inflation dynamics. Working Papers, 304. IGIER (Innocenzo Gasparini Institute for Economic Research), Bocconi University. [ Links ]
Trigrary, A. (2009). Equilibrium unemployment, job flows, and inflation dynamics. Journal of Money, Credit and Banking, 41, 1-33. [ Links ]
Walsh, C. (2002). Monetary Theory and Policy. Londres: The MIT Press, p. 633. [ Links ]
Walsh, C. (2003). Labor market and monetary shocks. En: Altug, S. Shadja, J. Nolan, C. Elements of Macroeconomic Analysis. Cambridge: Cambridge University Press, p. 451-486. [ Links ]
Walsh, C. (2005). Labor market search, sticky prices, and interest rates policy. Review of Economics Dynamics, 8, 829-849. [ Links ]














