Serviços Personalizados
Journal
Artigo
Indicadores
-
Citado por SciELO -
Acessos
Links relacionados
-
Citado por Google -
Similares em
SciELO -
Similares em Google
Compartilhar
Signo y Pensamiento
versão impressa ISSN 0120-4823
Signo pensam. v.28 n.54 Bogotá jan./jun. 2009
La inteligencia conectiva en la Red Informática de la Iglesia en América Latina (riial)
Connective Intelligence within the Latin America's Church Web Network (riial)
LETICIA SOBERÓN MAINERÓ*
* Leticia Soberón Mainero. Mexicana. Doctora en Ciencias Sociales, Pontificia Universidad Gregoriana, Roma, Italia; licenciada en Psicología, Pontificia Universidad de Salamanca, España; diplomada en Ciencias Religiosas, Instituto San Dámaso, Madrid, España. Es Oficial del Pontificio Consejo para las Comunicaciones Sociales, Ciudad del Vaticano, desde 1997 y allí ejerce como coordinadora general de la Red Informática de la Iglesia en América Latina desde 2006. Correo electrónico:letisober@libero.it.
Submission date: August 31, 2008 Acceptance date: September 30, 2008
Recibido: Agosto 31 de 2008 Aceptado: Septiembre 30 de 2008
This work assumes that digital networks enhance the so called connective intelligence and that therefore they could become a possible and appropriate way for the Church to better face the challenges opened by the new culture also called the information society. The goal of this work is to explore the concept of connective intelligence and make it operative in an ecclesiastical context (emphasizing its advantages vis-à-vis the pastoral service) and offer some tools for its implementation. Our methodology is inspired in the new cyberspace or network ethnography, taken from Philip Howard's work "Network ethnography and the hypermedia organization: new media, new organizations, new methods". (New Media & Society, London 2002). As suggested by Howard, we used the Social Network Analysis to obtain the graphs of our networks, a method which has been recently developed in Spanish, Portuguese, and Catalonian academic milieus.
Keywords: Connective intelligence, knowledge networks, connectivity, Catholic networks, cultural studies.
Este trabajo describe las redes informáticas como espacios facilitadores de la llamada inteligencia conectiva, y como uno de los caminos posibles y adecuados para que la Iglesia afronte mejor los desafíos de la nueva cultura, denominada también sociedad de la información. El aporte original de este trabajo consiste en estudiar y hacer operativo, por primera vez, el concepto inteligencia conectiva en contextos eclesiales (destacando sus ventajas al servicio de la pastoral) y ofrecer algunos instrumentos para su detección. La metodología utilizada se inspira en los nuevos métodos de la etnografía del ciberespacio o etnografía de redes, y utiliza algunas herramientas del análisis de redes sociales (ARS), desarrollado últimamente, muy en particular en ambientes académicos de lenguas española, portuguesa y catalana.
Palabras Clave: Inteligencia conectiva, redes de conocimiento, conectividad, redes eclesiales, estudios culturales.
Origen del artículo
Este artículo es un extracto de la tesis de doctorado La inteligencia conectiva en la red informática de la Iglesia en América Latina, en el Centro Interdisciplinar para la Comunicación Social, de la Pontificia Universidad Gregoriana de Roma, dirigida por el profesor Michele Sorice. La tesis fue defendida y aprobada Magna cum Laude, en Roma, el 28 de febrero de 2008.
Contexto y pregunta
Apartir del Concilio Vaticano II1 la Iglesia ha cobrado mayor conciencia sobre el hecho de que la evangelización es comunicación, y que ella misma, en cuanto enviada por Cristo a proclamar la Buena Nueva a toda criatura, ha nacido para comunicar. Según la lógica de la encarnación, la Iglesia ha ejercido su misión comunicativa a lo largo de su historia y a lo ancho del mundo en innumerables formas, asumiendo los modos, estilos y paradigmas de comprensión, tanto de los propios evangelizadores como de los destinatarios de su mensaje.
El mundo de hoy vive un cambio radical, precisamente, en los modos de comunicación entre los miembros de la sociedad. Como veremos más adelante, esta nueva cultura está marcada por una tecnología en veloz desarrollo, que permite la posibilidad de comunicarse simultáneamente con diversas personas, sin importar la cercanía o lejanía física en que se encuentren. Esto sucede no sólo con Internet, sino con otras muchas formas de interacción, por medio de artilugios tecnológicos compatibles entre sí: computadoras, teléfonos celulares, palmares, etc., e interconectados a través de satélites que utilizan el lenguaje digital. Esta característica es llamada "conectividad", y autores como Lévy (1994), De Kerckhove (1995), Castells (1995), Negroponte (1996), la señalan como el eje de la pujante cultura globalizada de nuestro tiempo.
Visto que la conectividad —y más concretamente la colaboración a través de los medios electrónicos— es un elemento esencial de la cultura de hoy, es importante interrogarse si la Iglesia habría de asumir ese aspecto en su labor comunicacional, y, en ese caso, de qué formas.
La cultura digital
La transformación cultural que nos ha lanzado hacia una nueva fase de la historia, impulsada por la veloz evolución en la tecnología de la comunicación, lejos de haberse detenido con la invención de Internet, ha visto una enorme aceleración en los últimos años.
Este fenómeno es llamado sociedad de la información, sociedad-red o era digital, en referencia a los dos dígitos (o y 1) del lenguaje binario en el que se basa la codificación informática. Los medios de comunicación, que antes se creaban en soportes tecnológicos diversos entre sí, convergen en el lenguaje binario, capaz de grabar, reproducir,enviar y recibir imagen, texto, datos y sonido en el mismo soporte. Esta convergencia tecnológica potencia, geométricamente, el alcance de cualquier mensaje, no sólo porque éste puede llegar más lejos, sino porque puede interactuar con muchos otros de diversos tipos, lo cual crea un nuevo espacio cultural (Castells, 1996, p. 2; De Kerckhove, 1997 p.18).
Sin caer en un determinismo tecnológico, es necesario tomar conciencia de que ha nacido un nuevo marco de experiencia social que supone y exige nuevas formas de expresión, nuevas dinámicas para la comunicación, nuevas formas de comportamiento. No sólo no se puede ignorar el nuevo medio, sino que tampoco basta entrar en él haciendo una simple transposición de lenguajes y enfoques de la época anterior.
Hoy se habla del ocaso de la comunicación de masas, pues cada individuo puede ser también emisor de contenidos, por lo cual la acumulación comunicacional llega a convertirse en una masa prácticamente ingestionable.
La sociedad en la era de la información se organiza cada vez más en torno a redes, base de la nueva morfología social. La red modifica sustancialmente los procesos de producción, experiencia, gestión, comunicación, cultura. Como señala Manuel Castells (2001), las redes son conjuntos de nodos interconectados, y son estructuras abiertas, capaces de expandirse, cuyos límites están marcados por la capacidad de los nodos de comunicarse entre sí, de compartir los mismos códigos (valores u objetivos). Una estructura social fundada en las redes es un sistema altamente dinámico, que facilita la innovación sin que ésta comprometa su equilibrio. Las redes facilitan el surgimiento de una forma de colaboración específica y nueva en la historia, llamada inteligencia conectiva, descrita por Derrik De Kerckhove (1997) y por otros autores como uno de los grandes espacios creativos de nuestro tiempo.
Lo nuevo aquí no es la conocidísima potencia de la conversación o el coloquio grupal para aclarar ideas y suscitar nuevas intuiciones; esto es antiguo como la humanidad; lo sabía la sociedad griega con su areópago, entre los aztecas los calpulli, el medioevo con su concepto de universitas, o la experiencia interdisciplinar del mundo moderno.
Lo nuevo es que, por medio de la tecnología digital, ese intercambio puede potenciarse y agilizarse; se hace hipertextual y prolongado, poliédrico y simultáneo, superando las categorías de tiempo y espacio. La antigua tertulia de plaza o de café se reconoce, transformada, en estos medios, en los que encuentra nuevos vínculos e interlocutores en los ámbitos de socialización virtual.
En esta línea se sitúa Derrik De Kerckhove (i997), subrayando la importancia que el medio red en sí tiene para la sociedad y para la persona. Más allá de sus contenidos, la red suscita una nueva forma de relación entre las personas, a base de transformar los modos como se comunican. Ya no se trata sólo de un "medio" en el sentido de un canal de transmisión; es un estado nuevo de relación social, que confirma la importancia radical del medio comunicativo sobre los procesos de comprensión que el individuo realiza.
El autor dedicó a este tema una obra, Brain-frames (1991), en la que analiza profundamente la influencia que el medio alfabético de comunicación, por ejemplo, suscitó en el ser humano, creando un marco cerebral de comprensión del mundo que afecta a toda la persona, y cómo el cambio al medio electrónico (transformación anticipada por McLuhan) conlleva una revolución que no podemos ignorar y que marca nuestras categorías, el modo como comprendemos el mundo y, de alguna manera, la estructura de nuestros propios pensamientos y cultura.
Para De Kerckhove (1991, p. 10), las tecnologías de la información enmarcan nuestro cerebro en una estructura, y cada una de ellas lo obliga a configurarse según un modelo distinto, pero igualmente eficaz, de interpretación. El cerebro humano es un ecosistema biológico en constante diálogo con la tecnología y la cultura. Las tecnologías basadas en el lenguaje, como la radio y la televisión, pueden enmarcar el cerebro tanto en el ámbito fisiológico, en el aspecto de la organización neuronal, como en el psicológico, en el de la organización cognitiva. Otras tecnologías, como los satélites o las redes telefónicas, se han convertido en prolongaciones del cerebro y del sistema nervioso central. Estas tecnologías crean estructuras que dan un marco al ecosistema cerebral.
En pocas palabras, un brainframe no es una actitud o una mentalidad, siendo en realidad esto y mucho más: estructura y filtra nuestra visión del mundo, pero no como unas gafas particulares, porque no está localizado en la superficie de la conciencia, sino en su estructura profunda.
Esto se comprende al ver hasta qué punto el brainfraime creado por la alfabetización ha influenciado el modo como organizamos nuestros pensamientos: la lectura conduce a nuestro cerebro a clasificar y combinar la información de manera idéntica a como lo hacemos con el alfabeto. Por ejemplo, para las lenguas occidentales, el pasado está a la izquierda y el futuro a la derecha, pues escribimos de izquierda a derecha. De manera similar, el marco cerebral creado por la televisión influencia nuestra elaboración de la información. La pantalla dispara fotones en el cerebro de los espectadores desde la más tierna edad, lo cual incide fuertemente en el modo como usan los ojos. Y se ha descubierto que la televisión habla a todo nuestro cuerpo y no sólo a la mente (De Kerckhove, 1991, p. II).
En resumen, la visión kerckhoviana advierte que quien ve la tecnología sólo como un instrumento que funciona o no funciona, no comprende el conjunto de la cultura. Él asegura que si no tomamos más conciencia de estos fenómenos es porque nuestra misma psicología se ocupa de ejercer una acción estabilizadora que absorbe los cambios e intenta dar un aspecto de continuidad a nuestra vida. Pero, cuando se acumulan estos cambios tecnológicos, llegan a un punto crítico, donde se verifica una repentina fractura cultural. El cerebro humano es un lugar donde los efectos de la tecnología se traducen en psicología y se transforman en cultura y economía (De Kerckhove, 1991 , p. 12).
Todo esto es importante porque no podemos seguir comunicándonos con los niños y jóvenes de hoy como si razonaran en los mismos términos en que lo hicimos nosotros a su edad. Los niños de la generación televisiva aprendieron cómo aprender de un modo completamente distinto al de la escritura; ellos usan ojeadas veloces. Ellos, al leer, se esfuerzan por comprender los caracteres con ojeadas veloces y no les funciona el método. Usan los ojos de una manera totalmente distinta a las generaciones anteriores, a causa de la televisión.
De Kerckhove asegura que con el teclado y el ratón inicia una forma de interacción con el medio, muy distinta a la que se había establecido con la televisión. La difusión del ordenador personal expresa una especie de protesta hacia la sociedad dominada por el video, e intenta restaurar el equilibrio entre el brainfraime alfabético y el brainfraime televisivo, en una especie de libro electrónico.
Lo que hace que la web sea conectiva es que permite y anima la contribución de los individuos en el seno de un médium colectivo. El resultado es que los procesos de información y de organización social que de ahí emergen son, a la vez, conectivos e individuales. El libro favorece el individualismo, aísla a las personas, unas de otras, y hace de la comunicación humana silenciosa. La radio y la tv son realmente colectivas, porque alcanzan a mucha gente al mismo tiempo, pero, como los libros, no son conectivas, porque no permiten ni invitan a una contribución individual en tiempo real.
Los ordenadores no tienen parangón como aceleradores del tratamiento individual de la información humana. Y una vez que están en red, los conectados se transforman, tanto como individuos como en su colectividad. La conectividad es uno de los recursos más potentes de la humanidad. Es una condición para el crecimiento acelerado de la producción intelectual humana. Los satélites conducen a un reforzamiento y a un cambio de escala formidable de nuestro entorno conectivo, que abre la puerta a nuevas formas de estructuras psicológicas (De Kerckhove, 1997, p. 26).
Así, pues, los saltos de gigante que está dando la evolución tecnológica no permiten que nos detengamos a respirar tranquilamente. Esas transformaciones siguen ganando terreno y marcando progresivamente las formas de comunicación, comprensión del mundo y establecimiento de relaciones interpersonales en el mundo de hoy.
La pregunta
Cuando se habla de inteligencias en conexión y se describen los diversos vínculos y modos de participación de los individuos, pueden detectarse, en términos generales, al menos dos formas de interacción en red:
• Una forma más espontánea, fluida, informal, cambiante, en continua mutación, en los innumerables chats y comunidades virtuales, más o menos efímeras, de Internet.
• Otra forma más deliberada, en torno a objetivos comunes, en las redes de conocimiento o comunidades epistémicas, que tienen objetivos comunes y algún tipo de soporte institucional.
La Iglesia ante la sociedad-red
Este panorama no deja indiferente a la Iglesia, enviada a vivir y anunciar el Evangelio en cada momento histórico. Dado que la Iglesia está configurada por personas y comunidades en continua relación de comunión, puede ser vista, al menos analógicamente, como una red de redes. No es extraño que sintonice en forma particularmente adecuada con el nuevo paradigma mediático, por lo cual puede no sólo aprovecharlo, sino, también, impulsarlo y darle sentido. La experiencia de la Red Informática de la Iglesia en América Latina (riial) es un ejemplo vivo de esta nueva condición mediática y puede ser aplicable a otros contextos.
La pregunta es: ¿se da el ejercicio de la inteligencia conectiva en el contexto de la Red Informática de la Iglesia en América Latina (riial) más que en otras formas de red en el contexto católico?
La aportación original de esta tesis consiste en desarrollar y operacionalizar, por primera vez, el concepto de inteligencia conectiva; estudiarlo en contextos eclesiales, destacando sus ventajas al servicio de la pastoral y ofreciendo algunos instrumentos para su detección.
Conceptos principales
Ni Derrik De Kerckhove ni sus discípulos directos han expuesto en sus escritos las dimensiones operativas de la inteligencia conectiva. Describen las condiciones de su aparición y las ventajas de su ejercicio, pero no existen en su literatura datos más precisos sobre qué operaciones comprende, qué entienden por 'inteligencia' y cómo investigar concretamente su presencia o ausencia en una dinámica de red.
En la literatura científica sobre el trabajo en red a través de computadoras tampoco se ha encontrado ningún estudio dirigido específicamente a la inteligencia conectiva; en cambio, sí se encuentran conceptos cercanos a ella. En general, se refieren a redes sociales físicamente descentralizadas de personas que trabajan juntas para un fin, aunque no sean miembros de la misma organización. Estas redes adoptan diversos nombres según las disciplinas de los investigadores. Algunos son citados por Philip Howard (2002) en su propuesta de metodología etnográfica de redes. En ciencia política se llaman comunidades epistémicas; comunidades prácticas, en sociología; redes de conocimiento (knowledge networks), en el mundo de la empresa; o trabajo cooperativo basado en computadoras (computer supported cooperative work), en la investigación de los nuevos medios.
Una definición sintónica con la propuesta kerckhoviana de inteligencia conectiva, pero más detallada e incluso prolija, es la de "comunidades epistémicas", ofrecida por Peter Haas, en 1992. Lo cita Ricardo Cinquegrani (2002):
Una comunidad epistémica es una red de profesionales de varias disciplinas y especialidades que comparten una serie de principios normativos y creencias, las cuales les suministran un marco basado en valores para realizar su acción social como miembros de una comunidad. Comparten convicciones causales, que se derivan de su análisis de la práctica, y que les llevan a contribuir a la solución de un conjunto concreto de problemas de su competencia, y que les sirven de base para aclarar los múltiples vínculos entre acciones políticas y resultados esperados. Comparten nociones de validez, es decir, criterios intersubjetivos para sopesar el conocimiento en su área de conocimiento, y también una política común de solución, presumiendo que conllevará un mejoramiento del bienestar humano.
El estudio de las redes de conocimiento o knowledge networks se ha desarrollado mucho en Canadá. Un ejemplo es la propuesta de Heather Creech (2001), del International Institute for Sustainable Development (iisd), en su Principles for Sustainable Development Knowledge Networks (200i ). Creech describe en forma muy detallada los tres tipos de conocimiento que se comparten y generan en las redes: el conocimiento explícito, que es lo que se escribe, graba o codifica; es la información que cada uno posee y que generará nuevo conocimiento. Otra modalidad es el conocimiento tácito, que podría definirse como el estilo o modo de hacer las cosas común a la red, y surge del hacer cotidiano. Y el conocimiento implícito, referido a la cultura y los valores compartidos por los miembros de la red.
Creech (2001), además, define las redes formales de conocimiento como:
Grupos de instituciones expertas que trabajan conjuntamente sobre un tema de su común preocupación, reforzando la investigación de los demás y la capacidad de comunicación, compartiendo bases de conocimiento y desarrollando soluciones que coinciden con las necesidades definidas por los responsables (decision makers) a nivel nacional e internacional.
Finalmente, Creech describe los principios operativos de las redes de conocimiento: están orientadas a objetivos, realizan un trabajo, requieren compromiso institucional, se basan en conocimiento y pericia, y no sólo en intereses.
Hasta ahora en el campo académico no constan otras propuestas, al menos tentativas, para operacionalizar el concepto de inteligencia conectiva, y tampoco consta una investigación de este tipo en medios eclesiales. Por lo tanto, nosotros tuvimos que realizar un intento tomando pie de las investigaciones sobre redes de conocimiento, y sobre la base de estos conceptos:
• Inteligencia
• Conectividad
• Inteligencia conectiva
Inteligencia
Hablando en términos puramente psicológicos, la inteligencia podría definirse como la capacidad de asimilar, guardar, elaborar información y utilizarla para resolver problemas. La inteligencia en ciencias sociales ha dejado de ser entendida como un fenómeno monolítico, únicamente referido al razonamiento abstracto o lógico matemático, y desvinculado de la corporeidad y de la cultura. El investigador Howard Gardner, de Harvard, propuso un modelo que está siendo verificado por muchos investigadores: la inteligencia múltiple, propuesta en su libro Multiple intelligences (1993).
Según este autor, el ser humano tiene al menos ocho formas de inteligencia: la lógicomatemática, la espacial, la lingüística, la musical, la corporal, la naturalística, la interpersonal y la intrapersonal. Gardner añade que se ha abandonado la comprensión de las formas de la inteligencia humana como entidades biológicas existentes en la cabeza o en el cerebro que puedan ser medidas independientemente del contexto social de su ejercicio.
Muchos estudiosos de la inteligencia hoy se dan cuenta de que no puede ser conceptualizada ni medida válidamente con independencia del contexto particular en que viven, trabajan y juegan los individuos, pues es el ambiente el que les ofrece las oportunidades y valores para desplegar esas formas de inteligencia. Ésta es siempre resultado de una interacción entre las potencialidades biológicas y las oportunidades ofrecidas por un contexto particular.
El ruso Lev Semyonovich Vigotsky, que influenció de manera incisiva la escuela constructivista, aporta una visión, que podríamos llamar social, de la inteligencia y el aprendizaje; para Vigotsky (i978), el desarrollo del pensamiento no depende de los factores innatos, sino que es producto de las instituciones culturales y las actividades sociales, y el lenguaje es la herramienta psicológica que más influye en el desarrollo cognoscitivo. Las funciones psicológicas superiores son el producto del desarrollo cultural y no del biológico.
Vigotsky entiende el cerebro como algo que funciona conscientemente recurriendo a símbolos, que son algo eminentemente social y que, a la vez, le permiten al individuo superar el condicionamiento del medio. Implica mediación social e instrumental, y produce la modificación de nosotros mismos; el individuo es, así, capaz de reestructurar y controlar los procesos psicológicos naturales.
Otra aportación importante es la del filósofo español Xavier Zubiri (1980), pues se refirió siempre a la inteligencia humana como un fenómeno íntimamente ligado a la corporalidad, a la sensibilidad.
Pero no es intención de este estudio usar un enfoque psicológico o psicométrico de inteligencia, sino, sobre todo, describir una forma nueva de ejercicio de esta capacidad humana: una forma grupal de comprensión y creatividad, que emerge en el contexto de la cultura digital a través de los nuevos medios.
Nosotros hemos asumido la propuesta de Edward de Bono y sus Seis sombreros para pensar (1985), pues este autor propone seis formas de inteligencia, que incluyen la emoción y los valores, y las aplica al contexto grupal. Además, la teoría de De Bono fue elegida por el propio De Kerckhove como marco de referencia para desarrollar un espacio educativo acorde con la inteligencia conectiva en la Isla de Madeira.
Para De Bono, el proceso inteligente incluye seis aspectos, o, dicho de otra forma, existirían seis modos básicos de ejercer la inteligencia:
a. La percepción y descripción de hechos
b. La detección de posibilidades o ventajas en la situación percibida
c. La detección de riesgos, errores u obstáculos en esa situación
d. La expresión de sentimientos y emociones ante el panorama situacional
e. La expresión de propuestas novedosas y creativas para aprovechar del mejor modo las circunstancias
f. La capacidad de organizar el trabajo de análisis y solución de los problemas
Si hubiésemos estudiado otro tipo de red con otras temáticas, por ejemplo científicas o teológicas, habríamos recurrido a otro marco teórico sobre la inteligencia que contuviera las operaciones propias de esas otras disciplinas.
Conectividad
La conectividad es fruto, justamente, de la evolución tecnológica; es un modo de vivir la comunicación a través de medios electrónicos. Según De Kerckhove (1997, p. 24): "Es una condición o estado del hombre como lo es la colectividad o la individualidad. Es una condición efímera que incluye al menos dos personas en contacto una con otra, por la conversación o la colaboración".
Está directamente relacionada con el concepto de comunicación en red. Conectividad es una forma nueva y constante de comunicación entre personas a través de medios electrónicos.
Inteligencia conectiva
Tras un proceso de análisis de autores en torno al intercambio inteligente en red, la autora de esta tesis propone la siguiente definición de inteligencia conectiva:
La inteligencia conectiva es el proceso por el cual un grupo de personas motivadas comparte contenidos, conocimientos, análisis y propuestas, comunicándose en red a través de computadoras y otros dispositivos electrónicos, con unos resultados y soluciones aplicables al entorno social de cada uno, y/o de un entorno social más amplio al que pertenece la red. Este concepto se equivale, en sus formas más estables y organizadas, con el de redes de conocimiento.
El campo de estudio: dos redes riial y un foro católico
La Red Informática de la Iglesia en América Latina (riial) es una iniciativa que nació como idea en torno a i986, de un fructuoso diálogo entre el Consejo Episcopal Latinoamericano (celam) (en la persona del entonces obispo de Pereira y secretario general del celam, Excmo. Darío Castrillón), y el Pontificio Consejo para las Comunicaciones Sociales (en la persona de Mons. Enrique Planas, que impulsó y coordinó la riial desde sus inicios hasta el 2006), mucho antes de que Internet se convirtiera en un fenómeno social.
La riial fue concebida como una herramienta para el intercambio y comunicación entre los obispos de América Latina, que ejercían un trabajo conjunto muy intenso en el contexto del celam. No hay aquí el espacio para describir el desarrollo de la riial, hoy presente en prácticamente todas las conferencias episcopales de América Latina.
La riial es un modo de uso de la informática que se propone dentro de la Iglesia para emplear las computadoras y las nuevas tecnologías, no como un fin en sí mismas, ni como meros instrumentos para el trabajo individual eficaz, sino como medios para la comunicación y la comunión entre los miembros de un espacio eclesial: conferencia episcopal, diócesis, parroquia, comunidad, etc., y como medio para la evangelización y diálogo con el mundo.
La riial anima, particularmente, la multiplicación de usuarios del correo electrónico en las comunidades más necesitadas y empobrecidas, e impulsa a las redes locales a crear servicios comunes para su comunicación interna y para la evangelización. A escala continental, se han creado también servicios comunes para todos los episcopados, como archivos documentales, agencias de noticias, un observatorio sobre Internet, cursos de formación y centros de creación de software, etc. El trasfondo es la metáfora de una mesa común en la que cada uno da lo que tiene, y recibe de los demás. Es similar a un movimiento cooperativo, en el que cada uno participa según su identidad eclesial. Las redes de la riial son, pues, muy heterogéneas en sus dimensiones y modos de trabajo, pero la mayoría de ellas comparten el estilo común, unos objetivos generales y una espiritualidad hondamente eclesial. Las redes estudiadas fueron:
a. Red i: la red del Centro Nuestra Señora de Guadalupe (http://www.riial.org/aplicativos/ index.php), institución que se dedica a la formación de técnicos y a la creación de software especial para la Iglesia; el director mantiene una constante interlocución con los técnicos en el continente. En el momento del estudio estaba formada por 9o nodos. Modo de comunicación: correo electrónico (comunicación digital asincrónica). Arco temporal de los datos: de 1999 a 2005. Total de ítems (frases codificadas): 746.
b. Red ii: la red del Ecuador (http://www.iglesiaecuador.org.ec), formada por los técnicos de las diócesis, animados desde la conferencia episcopal ecuatoriana por una coordinadora nacional. Formada por 21 nodos. Modo de comunicación: chats (comunicación digital sincrónica). Arco temporal de los datos: un año (2004-2005). Total de ítems (frases codificadas): 792.
c. Red iii: a manera de grupo de control buscamos una red que no tuviera elementos organizativos institucionales. Elegimos la Comunidad de Comunicadores del portal católico (http://www.es.catholic.net). Formada por 49 nodos en 6 foros distintos. Modo de comunicación: foro (comunicación digital asincrónica). Arco temporal de los datos: marzo de 2005-junio de 2006. Total de ítems (frases codificadas): 190.
La hipótesis
Nuestro estudio nos llevó a tomar como modelo las llamadas redes de conocimiento, cuyos miembros no sólo se comunican a través de medios electrónicos, sino que tienen objetivos comunes, una alta motivación participativa y apoyo institucional. De aquí nuestra hipótesis.
Hipótesis principal: en las redes que forman parte de la riial (redes I y II) se da la inteligencia conectiva, porque están presentes las cuatro variables independientes, y es posible detectar las seis dimensiones que configuran la variable dependiente.
Subhipótesis: la inteligencia conectiva no estará presente, o no estará en igual grado, en otras formas de trabajo en red (red I) que carecen de alguna de las cuatro variables independientes o elementos facilitadores (Figura 1).
Nótese que en las dimensiones de la variable dependiente (inteligencia conectiva) hemos añadido a las dimensiones propuestas por De Bono, una llamada "intercambio plano", que consiste simplemente en compartir saludos o mensajes de transición, que no implican en sí una forma inteligente, pero sí una forma de presencia y de ejercicio de la conectividad. Son, además, parte de la cortesía digital que marca los intercambios en el ciberespacio.
Metodología
La metodología utilizada en este estudio se inspiró directamente en la investigación de Philip Howard (2002), que llama a su método 'etnografía de redes' (network ethnography) y sintetiza los procedimientos de la etnografía virtual con los del análisis de redes sociales. El autor describe su método como "sinérgico y transdisciplinar" (Howard, 2002, p. 2), y asegura que es particularmente adecuado para el estudio de las organizaciones de hoy, que usan cada vez más las nuevas tecnologías de comunicación para desarrollar sus actividades en zonas más amplias y alejadas, a cualquier hora del día.
La etnografía es una metodología basada en diversos métodos cualitativos, y usa normalmente varios conjuntos de información con dos perspectivas: la perspectiva global (holística), que estudia los fenómenos en su complejidad, sin limitarse al análisis de las partes que los componen; y la perspectiva desde dentro, es decir, los fenómenos se estudian en su propio contexto de referencia (Sorice, 2007, p. 99). La etnografía de redes se sitúa en el campo de la investigación etnográfica, impulsada por los cultural studies, pero recurre, también, al análisis de redes sociales, que proviene de la sociología y del análisis matemático. El análisis de redes sociales está desarrollándose de manera vertiginosa en los ámbitos de lengua española, portuguesa y catalana.
Pasos de la investigación:
a. Codificación de los mensajes. A cada ítem de comunicación (párrafo o conjunto de párrafos con un solo contenido) se asignó un número —que en realidad es sólo nominal, no ordinal— inspirado en el modelo de inteligencia de Edward de Bono:
i. Intercambio neutro o plano: 1
ii. Emociones, valores, expresiones de fe: 2
iii. Descripción de hechos: 3
iv. Análisis de situación (ventajas y obstáculos): 4
v. Propuestas creativas: 5
vi. Organización del trabajo y/o más de un tipo de inteligencia: 6
b. Elaboración del cuadro de síntesis
c. Aplicación de las encuestas para detectar las variables independientes
d. Análisis de los datos: relación entre las variables; búsqueda de correlaciones y de componentes principales
e. Conclusiones y recomendaciones
Resultados
Con los datos que obtuvimos hicimos un cuadro de síntesis, atribuyendo a cada participante un número único. La numeración fue creciente, sin importar a qué red pertenecía cada uno de ellos. Se les asignaba, en otra casilla, la pertenencia a la red I, red II y red III. Cada uno de los correos, chats o foros donde hubo intercambios entre los participantes también fueron numerados. Dentro de esos mensajes, cada uno de los participantes o nodos se expresó en frases que fueron analizadas como ítems de comunicación. A cada uno de estos ítems se les asignó un número del 1 al 6, según el tipo de inteligencia usado. Después, sumamos las veces que cada participante realizó una aportación de cada tipo de inteligencia. Para describir el intercambio entre ellos y el perfil de las redes, obtuvimos una cantidad total de ítems por tipo de inteligencia en cada una de las redes. Nótese que no realizamos la suma y promedio de todos los tipos de inteligencia entre sí, sino, únicamente, de cada tipo de inteligencia, pues se trata de variables nominales que no pueden ser sumadas ni promediadas entre sí.
Ese cuadro de síntesis nos permitió realizar varias operaciones:
• Obtener unos grafos por medio del programa ucinet (Figura 2 [a, b y c]), en los que cada tipo de inteligencia era representado con un color en el vínculo entre los nodos.
• Obtener unos datos sobre las veces que es ejercido cada tipo de inteligencia en las tres redes.
• Estudiar si las inteligencias están correlacionadas entre sí en cada una de las redes; es decir, si las formas de inteligencia varían juntas.
• Estudiar si podíamos reducir las seis dimensiones al menos a tres, para obtener unos componentes principales de las seis variables en cada red.
• Detectar si las diferencias entre los grados de inteligencia conectiva de las redes podían ser correlacionadas con las variables independientes.
Clave de los colores:1
Intercambio plano (int. 1): castaño
Análisis de situación (int. IV): rojo
Emociones y valores (int. II):verde
Propuestas creativas (int. V): lila
Descripción de hechos (int. III): naranja
Organización de trabajo (int VI): azul
En la Figura 3 se muestra otra forma de graficar los mismos datos.
Para sintetizar los resultados, podemos decir que en las tres redes se detectó presencia de inteligencia conectiva, aunque con matices muy interesantes, que quedaron en evidencia con el tratamiento de los datos.
Una primera visualización (Figura [a, b y c]) detecta que la red II puntúa especialmente alta en la descripción de los hechos respecto a las otras dos. Hay que señalar que los grafos no expresan más que parte de la realidad (las redes aparecen como egocéntricas, cuando en realidad no lo son), porque no tenemos datos sobre los intercambios que realizan las personas entre sí; nuestros datos los obtuvimos sólo de una serie de correos provenientes del coordinador (caso de la red I) o de chats con un moderador (caso de la red II) y de foros (red III), en los que todos se dirigen al foro. Sería muy deseable complementar la investigación recogiendo datos sobre la comunicación que se establece habitualmente entre los nodos, de esta manera los grafos serían mucho más completos.
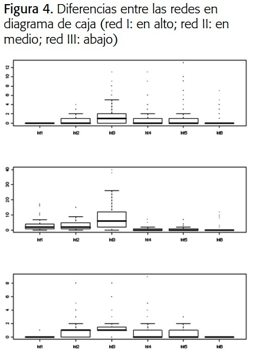
En la Figura 4 pueden apreciarse mejor algunas diferencias entre las redes, aunque, en términos generales, siguen un patrón similar: hay relativamente pocas ints. 1 y 6, y puntúan alto en descripción de hechos (int. 3).
Una vez obtenidos esos datos, estudiamos las correlaciones que había entre las inteligencias dentro de cada red. En este aspecto, las redes son muy distintas entre sí. La red i y la red iii no muestran correlación entre las distintas formas de inteligencia: cada una de ellas varía con independencia de las otras; en la red ii hay mucha mayor correlación entre las inteligencias. Por otra parte, analizamos los componentes principales de las inteligencias, intentando reducir las dimensiones de seis a tres. Ello nos permitió hilar más fino y afirmar lo que expresamos a continuación.
La red 1 está en una fase más avanzada de desarrollo que las demás: es sobria —con menos intercambios planos (int. 1) y emotivos (int. 2) — y puntúa más alto en propuestas creativas. La red II es espontánea y fervorosa -puntúa alto en int.2-además de compartir intensamente la descripción de hechos. La red III es también sobria, comparte hechos y analiza la realidad. Las tres ejercen, en diversos grados, las formas centrales de la inteligencia conectiva (descripción de hechos, análisis de situación y propuestas creativas). En cuanto a las variables independientes, las redes son similares entre sí en dos de ellas: el acceso a computadora en línea, y la motivación participativa. En cambio, la red III carece de algo que sí tienen las otras dos: objetivos comunes muy claros y apoyo institucional. Y, sin embargo, como vemos, ello no le impide puntuar como las demás en las diversas dimensiones de la inteligencia conectiva.
Conclusiones
Hemos constatado que tras haber aplicado los métodos de la etnografía de redes, obtuvimos una buena cantidad de datos sobre las tres redes estudiadas y su intercambio de mensajes inteligentes. Nuestra investigación ha dado como fruto varios elementos:
1. Unos mapas o grafos descriptivos de los flujos comunicativos inteligentes en tres redes del ámbito católico.
2. Una metodología para detectar la presencia y tipos de inteligencia conectiva en las redes.
3. Una serie de datos y un marco de referencia que ayudan a comprender de manera operativa lo que Derrik De Kerckhove ha llamado inteligencia conectiva.
4. Unas pistas para intuir la importancia de facilitar el trabajo en red en contextos eclesiales, como forma de impulsar la efectividad de nuestras oficinas y comunidades.
Ahora bien: ¿se confirma nuestra hipótesis —o quizá, mejor dicho, nuestra intuición— de que eran necesarios cuatro elementos facilitadores para que existiera inteligencia conectiva ?
En parte sí. Pero el haber encontrado inteligencia conectiva en las tres redes indica que posiblemente nuestra hipótesis pecara por exceso, al proponer cuatro variables independientes como condiciones de aparición de la ic, cuando en realidad parece bastar, simplemente, con dos de ellas: acceso a computadora on line y motivación participativa. Los objetivos comunes, si existen, pueden variar en grado de fuerza, sin que necesariamente incida de manera drástica en los resultados; lo importante parece ser participar, estar ahí. Y el apoyo institucional no parece tener realmente una incidencia importante en nuestras redes como factor que influya en la inteligencia conectiva. Así, en el esquema de la hipótesis, habría que suprimir dos de las variables independientes para expresar gráficamente lo que de hecho encontramos.
De algún modo, nuestra investigación confirma el acierto de las afirmaciones de Derrik De Kerckhove y de otros teóricos que han asegurado que el mero hecho de participar en las redes genera, al menos en algún grado, lo que llaman inteligencia conectiva. Nosotros lo hemos encontrado así en nuestras pequeñas redes.
El presente estudio es, en cierto modo, sólo el inicio o la invitación a una continuidad de la investigación en este campo. Se trata de un área apenas explorada y muy invitadora para profundizar en el conocimiento de la inteligencia en red. He aquí algunas sugerencias para futuros estudios:
• Completar este estudio recogiendo datos más recientes sobre los contenidos intercambiados entre el resto de los miembros, y haciendo un cuadro más completo sobre el conjunto de sus patrones comunicacionales.
• Otra, ampliar este estudio a redes que no formen parte de la Iglesia católica: por ejemplo, redes de ong o de entidades sin ánimo de lucro, o científicas, para estudiar la ic y verificar si las mismas variables inciden o no en su ejercicio.
• Extender el estudio a los chats y sesiones de messenger en poblaciones juveniles, para intentar categorizar y definir variables que no se refieran a la inteligencia tal como la hemos definido, sino, por ejemplo, a la inteligencia interpersonal de Gardner o a la inteligencia emocional de Coleman.
Reflexión final
En la idea original de la tesis estaba el deseo de profundizar cómo el medio red se adapta de una manera muy particular a la naturaleza de la Iglesia, no sólo como conjunto de comunidades que pueden trabajar juntas por medio de la informática, sino, sobre todo, como espacio de comunión. La inteligencia conectiva que hemos buscado y encontrado es, en cierto modo, sólo una metáfora, o, más bien, una expresión de algo más amplio y más profundo que su sola capacidad racional-relacional. El ser humano es libre, inteligente y capaz de amar, pero lo es por su semejanza con Dios uno y trino. Y no olvidemos que, como dice Juan Pablo II (1979) en sus catequesis sobre la teología del cuerpo: "El ser humano se convierte en imagen de Dios, no tanto en el momento de su soledad, cuanto en el de la comunión de las personas". Cada ser humano ha sido creado para vivir en comunión con Dios y con los demás.
Así, las comunidades eclesiales en red no viven únicamente el hecho humano, social y tecnológico —de por sí importante y básico— de compartir recursos, servicios, logros y resultados. No se trata sólo de reconocer el gran valor de la construcción colectiva de significados y, en última instancia, de la elaboración grupal de nueva cultura en tiempo real por primera vez en la historia. En la idea inicial de la tesis estaba, y aún sigue estando, la experiencia vital de que el camino de la Iglesia en el campo de las comunicaciones debe expresarse —por supuesto no únicamente—, de modo muy especial, en las redes, como espacios de comunión, de mutuo servicio, de mutua escucha y participación.
1. Cfr. Inter mirifica, n. 2, y Communio et progresso, n. 126.
1. Nota del editor: para la distinción de color de los vectores de la gráfica invitamos al lector a conocer la versión en PDF, que se puede obtener desde el sitio web de la revista www.javeriana.edu.co/signoyp.
Referencias
Babin, P. y Zukowski, A. (2000), Médias, chance pour l'Evangile, París, P. Lethielleux. [ Links ]
Barabasi, A. L. (2002), Linked: The New Science of Networks, Cambridge, Plume. [ Links ]
Barnes, S. (2001), Online Connections. Internet Interpersonal Relationships, New Jersey, Hampton Press. [ Links ]
Beaulieu, A. (2004), "Mediating Ethnography: Objectivity and the Making of Ethnographies of the Internet", en Social Epistemology, núm. 18, pp. 139-163. [ Links ]
Beramendi, A. (2003), La red informática de la Iglesia en América Latina. Presentación y análisis comunicativo de la evolución de la riial [en prensa], Roma, Universidad Pontificia Salesiana. [ Links ]
-(2005), La informatización de la Iglesia en América Latina, Delegación Arquidiocesana de Comunicación Social, Cochabamba. [ Links ]
Boni, F. (2004), Etnografia dei media, Bari, Laterza. [ Links ]
Bonito, J. A. (2004), "Shared Cognition and Participation", en Communication Research, vol. 6, núm. 31, pp. 704-730. [ Links ]
Borgatti, S. P.; Everett, M. G., Freeman, L. C. (2002), Ucinet for Windows: Software for Social Network Analysis, Harvard. [ Links ]
Brandes, U.; Kenis, P., y Raab, J. (2005), "La explicación a través de la visualización de redes" [en línea], Revista hispana para el análisis de redes sociales (redes), vol. 6, núm. 9, disponibleen: http://revista-redes.rediris.es [ Links ]
Casas, R. (2003), "Enfoque para el análisis de redes y flujos del conocimiento", en Luna, M. (ed.), Itinerarios del conocimiento: formas dinámicas y contenido, Barcelona, Anthropos. [ Links ]
Castelli Fusconi, C. y Giagnotti Tedone, F. (ed.) (2002), Infopoverty: Possible Solutions, Milano, vp. [ Links ]
Castells, M. (1996), The Rise of Network Society, Oxford, Blackwell. [ Links ]
- (2001), La galaxia Internet, Barcelona, Areté- Plaza y Janés. [ Links ]
Castorina, J. A. (1996), Piaget-Vigotsky: contribuciones para replantear el debate, México, Paidós. [ Links ]
Cinquegrani, R. (2002), "Futurist Networks: Cases of Epistemic Community?", en Futures, núm.34, disponible en: http://www.sciencedirect.com, recuperado: 10 de febrero de 2005. [ Links ]
Ciotti, F. y Roncaglia, G. (2000), Il mondo digitale, Bari, Laforza. [ Links ]
Clarck, L. (2006), Manual para el mapeo de redes como herramienta de diagnóstico, La Paz, Centro Internacional de Agricultura Tropical (ciat). [ Links ]
Cumbre Mundial sobre la Sociedad de la Información (2006), Agenda de Túnez para la sociedad de la información [en línea], disponible en: http://www.itu.int/wsis/documents/doc_multi.asp?lang=en & id=2267|0, recuperado:17 de agosto de 2007. [ Links ]
Concilio Ecuménico Vaticano II (1990), Constitución pastoral Gaudium et spes, Madrid, bac. [ Links ]
- (1990), Decreto Inter mirifica, Madrid, bac. [ Links ]
Creech, H. (2001), "Principles for Sustainable Development Knowledge Networks", en International Institute for Sustainable Development (iisd), disponible en: http://www.iisd.org, recuperado: 12 de febrero de 2005. [ Links ]
Damasio, A. (1999), El error de Descartes, Barcelona, Crítica. [ Links ]
D'Antoni, M. (2004), "Inteligencias en diferentes enfoques teóricos. Reflexiones para el contexto educativo", en Actualidades Investigativas en Educación [revista en línea], disponible en: http://revista.iimec.ucr.ac.cr/articulos/1-2004/inteligencias.php, recuperado: 7 de noviembre de 2007. [ Links ]
Daryl Slack, J. y Macgregor, W. J. (2006), "Cultural Studies and Communication Technology", en Lievrouw, L. y Livingstone, S. (ed.), The Handbook of New Media, London, Sage. [ Links ]
De Bono, E. (2006), Seis sombreros para pensar, 4.ª ed., Buenos Aires, Granica. [ Links ]
De Kerckhove, D. (1991), Brainframes: Technology, Mind and Business, Toronto, Bosch & Keuning [ Links ]
- (1993), Brainframes: Mente, tecnologia, mercato, Bologna, Barkerville. [ Links ]
- (1995), The Skin of Culture, s. l., Somerville Press. [ Links ]
- (1997), Connected Intelligence, s. l., Somerville. [ Links ]
-(2001), L'architettura dell'intelligenza, Roma, Universale di Architettura, Testo e Immagine. [ Links ]
- (2005), Connected Intelligence Learning Environments [en línea], disponible en http://www.madeira-edu.pt/projectos/citd/citd_2002/index.htm, recuperado: 2 de febrero de 2005. [ Links ]
Ferri, P. (2004), Fine dei mass media. Le nuove tecnologie della comunicazione e le trasformazioni dell'industria culturale, Milano, Guerini Studio. [ Links ]
Ferrada Cubillos, M. (2006), "Etnografía, un enfoque para la investigación de weblogs en biblioteconomía y documentación", en Biblos, vol. 7, núm. 23, pp. 1-9. [ Links ]
García Ferrando, M. (2001), Socioestadística. Introducción a la estadística en sociología, Madrid, Alianza. [ Links ]
Gardner, H. (1993), Multiple Intelligences. New Horizons in Theory & Practice, 6.a ed., Basic Books, Harvard. [ Links ]
- (2005), Creating the Future: Intelligence in Seven Steps [en línea], disponible en http://www.newhorizons.org, recuperado: 21 de marzo de 2005. [ Links ]
Granovetter, M. (1983), "The Strength of Weak Ties: a Network Theory Revisited", en Sociologycal Theory I, pp. 201-233. [ Links ]
Gronowski, D. (2003), L'impatto dei Media sulla Chiesa secondo Marshall McLuhan, Roma, Università della Santa Croce. [ Links ]
Haas, P. (1990), Saving the Mediterranean: the Politics of International Environmental Cooperation, Nueva York, Columbia University Press. [ Links ]
Hanneman, R. A. (2007), "Introducción a los métodos de análisis de redes sociales" [en línea], en Redes, disponible en http://revistaredes.rediris.es/webredes/textos/Introduc.pdf , recuperado: 16 de junio de 2007. [ Links ]
Hine, C., (2000) Virtual Ethnography, Londres, Sage. [ Links ]
Howard, P. (2002), "Network Ethnography and the Hypermedia Organization: New Media, New Organizations, New methods", en New Media & Society, núm. 4, pp. 550-574 . [ Links ]
I fondamenti del comunicare (1994), Milano, Centro di Studi Filosofici di Gallarate. [ Links ]
Iglesia e informática. Congreso Continental Monterrey (México), Madrid, 2004. [ Links ]
Isaksen, S. (1997), "Innovative Problem Solving in Groups. New methods and Research Opportunities", en Creative Problem Solving Group, Buffalo. [ Links ]
Isaksen, S.; Lauer, K., y Ekvall, G. (1998), Perceptions of the Best and Worst Climates for Creativity: Preliminary Validation Evidence for The Situational Outlook Questionnaire", Creative Problem Solving Group. [ Links ]
- (1999), "Situational Outlook Questionnaire: a Measure of the Climate for Creativity and Change", Psychological Reports, núm. 85. [ Links ]
International Telecommunication Union (itu) (2006), Measuring Digital Opportunity [en línea], disponible en: http://www.itu.int/wsis/index.html, recuperado: 15 de agostode 2007. [ Links ]
Jankowski, N. (2006), "Creating Community with Media: History, Theories and Scientific Investigations", en Lievrouw, L. y Livingstone, S. (ed.), The Handbook of New Media: Updated Student Edition, Londres, Sage, pp. 54-74. [ Links ]
Juan Pablo II (1980), Enseñanzas al pueblo de Dios, tomo IV, Madrid, Tipografía Políglota Vaticana y bac. [ Links ]
- (1990), Redemptoris Missio, Ciudad del Vaticano, Tipografía Políglota Vaticana. [ Links ]
- (2002), Mensaje para la Jornada Mundial de las Comunicaciones Sociales, Ciudad del Vaticano, Tipografía Políglota Vaticana. [ Links ]
-(2005), El rápido desarrollo, Ciudad del Vaticano, Tipografía Políglota Vaticana. [ Links ]
Kauchakje, S.; Penna, M. C.; Frey, K., y Duarte, F. (2006), "Redes sociotécnicas y participación ciudadana: propuestas conceptuales y analíticas para el uso de las tics" [en línea], Revista Hispana para el Análisis de Redes Sociales (redes), vol. 3, núm. 11, disponible en: http://revista-redes.rediris.es, recuperado: 6 de mayo de 2007. [ Links ]
Krebs, V. (2008), "Social Networks Analysis. A Brief Introduction" [en línea], disponible en: http://www.orgnet.com/sna.html, recuperado: 14 de mayo de 2008. [ Links ]
Larose, R. y Eastin, M. (2004), "A social Cognitive Theory of Internet Uses and Gratifications: Toward a New Model of Media Attendance", en Journal of Broadcasting & Electronic Media, vol. 3, núm. 48, pp. 358-377. [ Links ]
Laumann, E. O.; Marsden, P. V., y Prensky, D. (1983), " The Boundary Specification Problem in Network Analysis", en Burt, R. S. y Minor, M. J. (ed.), Applied Network Analysis, Beverly Hills, Sage, pp. 19-34. [ Links ]
Lévy, P. (1990), Les technologies de l'intelligence, París, La Découverte [ Links ]
- (1992), Le tecnologie dell'intelligenza, Bologna, Synergon. [ Links ]
- (1994), L'intelligence collective. Pour une antropologie du cyberspace, París, La Découverte. [ Links ]
-(1996), L'intelligenza collettiva. Per una antropologia del cyberspazio, Milano, Feltrinelli. [ Links ]
- (1995), Qu'est-ce que le virtuel?, París, La Découverte. [ Links ]
Lievrouw, L. y Livingstone, S. (ed.) (2006), The Handbook of New Media: Updated Student Edition, Londres, Sage. [ Links ]
Lozares, C.; Molina, J. L., y García Macías, A. (2001), "Sesión hispana sobre análisis de redes sociales, Budapest 28 abril 2001" [en línea], Redes. Revista Hispana para el Análisis de Redes Sociales, vol. 1, núm. 1, disponible en: http://revista-redes.rediris.es/pdf-vol1/ARS-Buda.pdf, recuperado: 6 de mayo de 2007. [ Links ]
- (2005), "Bases sociometodológicas para al análisis de redes sociales", Empiria, Revistade metodología de ciencias sociales, núm. 10, pp. 9-35. [ Links ]
Luna, M. (coord.) (2003), Itinerarios del conocimiento: formas dinámicas y contenido. Un enfoque de redes, México, Antrhopos, unam. [ Links ]
Lutters, W. (ed.) (2000), "Mapping Knowledge Networks in Organizations: Creating a Knowledge Mapping" [en línea], en Proceedings of the Americas Conference on Information Systems (amcis), disponible en: http://www.ischool.washington.edu/mcdonald/papers/Lutters.amcis00.pdf, recuperado: 20 de diciembre de 2004. [ Links ]
Mayans Planells, J. (2005), "Nuevas tecnologías, viejas etnografías. Objeto y método de la antropología del ciberespacio" [en línea], en Revista Quaderns de l´ICA, disponible en: http://www.cibersociedad.net/archivo/articulo.php?art=23, recuperado: 20 de marzo de 2005. [ Links ]
McQuail, D. (2000), McQuail's Mass Communication Theory, Londres, Sage. [ Links ]
Meynet, R. (2004), Norme tipografiche per la composizione dei testi con il computer, Roma, Pontificia Università Gregoriana, Roma. [ Links ]
Morrison, I. (2002), "Internet, una forma di evangelizzazione", en Aroldi, P. y Schifo, B. (ed.), Internet e l'esperienza religiosa in rete, Milano, VP Università, pp. 159-165. [ Links ]
Negroponte, N. (1995), Being Digital, Nueva York, Vintage Books. [ Links ]
O'Reilly, T. (2007), What is Web 2 [en línea], disponible en:http://www.oreillynet.com/pub/a/oreilly/tim/news/2005/09/30/what-is-web-20.html, recuperado: 6 de mayo de 2007. [ Links ]
Orengo, V.; Ripoll, P.; Gonsálvez, I., y Solanes, A. (1998), "Análisis de la interacción grupal a partir de una adaptación de la técnica symlog en función del canal de comunicación y del tipo de tarea", en Revista de Psicología Social, vol. 2, núm. 13, pp. 241-250. [ Links ]
Petróczi, A.; Nepusz, T., y Bazsó, F. (2007), "Measuring Tie-Strength in Virtual Social Networks" [en línea], en Connections, vol. 2, núm. 27, disponible en: http://www.insna.org/ConnectionsWeb/Volume272/Petroczi.pdf, pp. 39-52 [ Links ]
Planas Coma, E. (1985), Justificación del proyecto de informatización de la Iglesia en América Latina, ariial-pccs 88-93. [ Links ]
Plucker, J. A. (ed.) (2007), "Human Intelligence: Historical Influences, Current Controversies, Teaching Resources", disponible en:http://www.indiana.edu/~intell/map.shtml, recuperado: 30 de octubre de 2007. [ Links ]
Pontificia Comisión para los Medios de Comunicación Social (1971), Communio et progressio, Ciudad del Vaticano. [ Links ]
Pontificio Consejo para las Comunicaciones Sociales (1992), Aetatis novae, Ciudad del Vaticano, Libreria Editrice Vaticana. [ Links ]
- (2002), Iglesia e Internet, Ciudad del Vaticano, Libreria Editrice Vaticana. [ Links ]
- (2002), Ética en Internet, Ciudad del Vaticano, Libreria Editrice Vaticana. [ Links ]
Raad, A. M. (2005), "Comunidad emocional, comunidad virtual. Estudio de las relaciones mediadas por Internet" [en línea], Revista Mad, núm. 10, disponible en http://www.revistamad.uchile.cl/paper06.pdf, recuperado: 20 de marzo de 2005. [ Links ]
Ratzinger, J. (2004), La comunione nella Chiesa, Milano, San Paolo. [ Links ]
Rheingold, H. (1993), Comunità virtuali, Milano, Sperling & Kupfer Editori. [ Links ]
Rice, R. R. (1990), "Computer Mediated Communications System Network Data: Theoretical Concerns and Empirical Examples", en International Journal of Man-Machine Studies, núm. 32, pp. 215-245. [ Links ]
Rivoltella, P. C. (2004), "Internet, educazione e famiglia" (conferencia, Padova, 8 de mayo de 2004), disponible en: http://www.webcattolici.it/webcattolici/s2magazine/main.jsp, recuperado:10 de marzo de 2004. [ Links ]
Rubio de Castarlenas, A. (2004), Veintidós historias clínicas de realismo existencial, 4.ª ed., Barcelona, Edimurtra. [ Links ]
Ruiz, L. (2000), "Respuesta a Bernard Vergnes", Cultura y medios de comunicación, III Congreso Internacional, Salamanca, Universidad Pontificia de Salamanca. [ Links ]
Sánchez González, C. A. (2007), "Creación de conocimiento en las organizaciones, y tecnologías de la información como herramienta para alcanzarlo", Observatorio sobre la cibersociedad, disponible en: http://www.cibersociedad.net/archivo/articulo/php?art=211, recuperado: 15 de abril de 2007. [ Links ]
Seijas, C. L. (2001), Los sistemas informativos en la era digit@l, Madrid, Universitas. [ Links ]
Servicio de Observación sobre Internet (2006), [Casi] todos on line. Retazos de una sociedad en red, Madrid, Voz de Papel. [ Links ]
Sorice, M. (2007), "Teorie e metodi della ricerca sull'audience", en De Blasio, E.; Gili, G.; Hibberd, M., y Sorice, M., La ricerca sull'audience, Milano, Hoepli. [ Links ]
Soukup, C. (2002), "Building a Theory of Multimedia CMC", en New Media & Society, núm. 4, pp. 407-425. [ Links ]
Tarapanoff, K. (2004), "Inteligência social e inteligência competitiva", Biblioteconomia e Ciencias de la Informação [revista eletronica], disponible en: http://www.encontros-bibli.ufsc.br/, recuperado: 9 de abril de 2007. [ Links ]
Taylor, C. (2002), The Moment of Complexity: Emerging Network Culture, Chicago, University of Chicago Press. [ Links ]
Téllez Infantes, A. (2002), "Nuevas etnografías y ciberespacio: reformulaciones metodológicas" [en línea], en Primer Congreso on line del Observatorio para la Cibersociedad, disponible en: http://cibersociedad.rediris.es/congreso/comms/g10tellez.htm, recuperado: 6 de noviembre de 2007. [ Links ]
Tosoni, S. (2004), Identità virtuali: comunicazione mediate da computer e processi di costruzione dell'identità personale, Milano, Franco Angeli. [ Links ]
Turkle, S. (1995), Life on the Screen: Identity in the Age of Internet, Nueva York, Simon & Schuster. [ Links ]
Vigotsky, L. S. (1978), Mind in Society [La mente en sociedad], Cambridge, Mass., Harvard University Press. [ Links ]
Villota Hurtado, O. (2006), "Redes del conocimiento y la creatividad", en Daza, G., Cultura mediática. Internet y televisión, crítica y creatividad, Bogotá, cedal. [ Links ]
Wellman, B. (1999), "Virtual Communities as Communities: Net Surfers don't Ride Alone", en Smith, M. (ed.), Communities in Cyberspace, Londres, pp. 167-195. [ Links ]
Ysern de Arce, J. L. (1993), La comunicación social en Santo Domingo. Proceso de reflexión y comentario, Bogotá, Centro de Publicaciones celam. [ Links ]
Zubiri, X. (1980), Inteligencia sentiente. Inteligencia y realidad, Madrid, Alianza Editorial. [ Links ]
—(1994), Los problemas fundamentales de la metafísica occidental, Madrid, Alianza Editorial. [ Links ]



















