INTRODUCCIÓN
La anemia por deficiencia de hierro es uno de los principales problemas de salud pública en el Perú. La prevalencia en niñas y niños de 6 a 35 meses de edad está por encima del 40 % a nivel nacional y del 60 % en varios departamentos 1. Los efectos de la anemia no tratadas a temprana edad, afectan el desempeño escolar 2, la productividad en la vida adulta y largo plazo la economía de las personas afectadas 3,4.
Para tener una vida saludable y activa, las personas necesitan tener alimentos en cantidad, calidad y variedad adecuada, a fin de obtener la energía y los nutrientes requeridos, sobre todo durante los 3 primeros años de vida 5. La importancia del hierro en el organismo se debe a su papel en la producción de energía 6,7. Las consecuencias que provoca la anemia en las personas, y fundamentalmente en niños menores de 5 años, son deficiencias en el desarrollo cognitivo de los niños, en especial en sus habilidades psicomotrices, cognitivas y de socialización 8,9,10,11,12,13. La dieta inadecuada y bajo en contenido de hierro durante el embarazo es un alto factor de riesgo de anemia materno-infantil 10; además, existe una fuerte relación entre el estado de hierro y la depresión, la estrés y el funcionamiento cognitivo de las madres durante el período posparto 7. Sin embargo, la anemia en los niños no solo depende del consumo de alimentos bajo en hierro 11, sino también de otros factores que es necesario tener en cuenta para no sobreestimar o subestimar los resultados. El Modelo Causal de la Desnutrición 12 reconoce como causas inmediatas al déficit de ingesta y al exceso de enfermedades, como causas subyacentes a la falta de disponibilidad o acceso a los alimentos en los hogares, a prácticas de cuidado infantil inadecuadas, y como causas estructurales la condición socioeconómica del hogar, y las características de la región o comunidad examinados 16,17,18.
En consecuencia, el objetivo de este estudio es caracterizar y medir el efecto del consumo de alimentos sobre la concentración de hemoglobina y el riesgo de anemia en niños menores de 3 años en el Perú.
MATERIALES Y MÉTODOS
En Perú, para la medición de hemoglobina en niños menores de cinco años en la Encuesta Demográfica y de Salud Familiar (ENDES) 15 se utilizó el hemoglobinómetro HemoCue® modelo Hb 201+, con la finalidad de desarrollar políticas de salud pública para la prevención y manejo de la anemia. La investigación se desarrolló bajo un enfoque cuantitativo de corte transversal 16; se propone que el nivel de hemoglobina (Hi) depende del consumo de alimentos, de las características del niño y de la madre y de las características socioeconómicas del hogar (X ). Es decir:
Donde X’ i β. fi es la parte observable del modelo y u i es el término de perturbación estocástica, y se estima aplicando el método de mínimos cuadrados ordinarios. Por otro lado, si el niño o niña tiene anemia, se asigna con A=1, y en caso contrario A=0; el riesgo de prevalencia de anemia (A) se modela como una probabilidad de que una niña o niño adquiera anemia; formalmente se tiene:
Donde Φ (X i ´β ) es una función no lineal y sigue una distribución acumulada normal estándar con media creo y varianza igual a uno y se estima utilizando la técnica de máxima verosimilitud. La información proviene de dos fuentes: la primera es la Encuesta Nacional de Hogares sobre condiciones de vida y pobreza (ENAHO) y la segunda fuente es la Encuesta Demográfica y de Salud Familiar (ENDES). Luego se logró fusionar ambas bases de datos tomando como criterios comunes aquellos hogares con niños con al menos menores de 3 años, región natural, provincia y condición de pobreza. La muestra es del tipo probabilístico aleatorio; el tamaño de la muestra final del año 2018 resultó de 9947 observaciones con y sin anemia (figura 1).
RESULTADOS
Los niños sin anemia en promedio consumen mayor cantidad de verduras, pescados y carnes, frutas, tubérculos y menestras con respecto a los niños con anemia (tabla 1). Las diferencias en todos los casos son estadísticamente significativos a un nivel de significancia de 1 % (tabla 1). Los patrones de consumo de alimentos están asociado directamente a la prevalencia de anemia infantil, principalmente en niños en edad escolar 17; estos hábitos de consumo en la edad escolar se replican en otros países de Europa y América Latina y del Caribe 18, donde se consume alimentos consistentes en galletas, chocolates, snacks salados, zumo comercial y gaseosas durante la semana. El patrón de consumo de alimentos bajos en hierro, que se asocia con la anemia infantil a su vez depende de variables socioeconómicas, como la educación materna, la propiedad de la vivienda, la constitución adecuada del hogar y crianza de animales domésticos 19.
Tabla 1 Consumo promedio de alimentos en kg de los hogares con y sin anemia infantil

***p<0.01, **p<0.05, *p<0.1 (denotan significancia al nivel de 1 %, 5 %, y 10 %, respectivamente).
Fuente: elaboración propia con base en datos de ENAHO y ENDES - 2018.
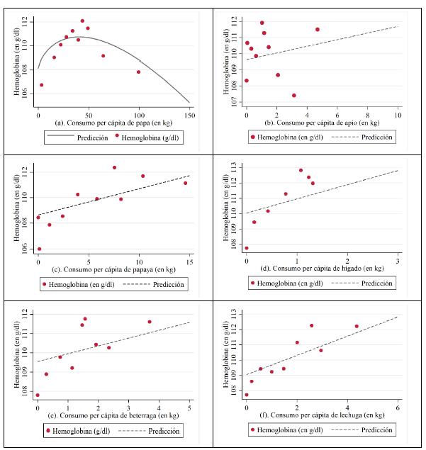
Los resultados del efecto de consumo de alimentos sobre el nivel de hemoglobina y el riesgo de anemia se muestran en la tabla 2. El modelo 1, después de controlar el modelo por variables relacionadas con el nivel socioeconómico del hogar, las características de la madre y características de la región y comunidad, se encontró que el consumo de carne de hígado, lechuga y beterraga tiene efectos positivos sobre la hemoglobina. En el modelo 2 se evidencia dos efectos del consumo de papa sobre la concentración de hemoglobina: por un lado, en aquellos hogares que consumen por debajo de 50 kilogramos en promedio existe una relación positiva_entre el consumo de papa y concentración de hemoglobina, mientras, los hogares que consumen papa por encima de 50 kilogramos se evidencia una relación negativa (figura 1, panel a). En el modelo 3 se encontró que el consumo de la carne de hígado incide significativamente en la reducción de riesgo de anemia; mientras que en el modelo 4 se encontró que el consumo el apio y la papaya contribuyen a la reducción del riesgo de anemia. Asimismo, el consumo de papa tiene un efecto no lineal sobre el riesgo de anemia. Es decir, por debajo de 50 kilogramos un mayor consumo de papa contribuye a la reducción del riesgo de anemia; mientras que por encima de este valor el efecto se revierte (figura 1, panel b).
Tabla 2 Efecto de consumo de alimentos sobre la hemoglobina y riesgo de anemia

D: variable dicotómica, CO: variable categórica ordenada.
Fuente: elaboración propia con base en datos de ENAHO y ENDES - 2018.

Fuente: elaboración propia con base en datos de ENAHO y ENDES - 2018.
Figura 1 Efecto del consumo de alimentos sobre la hemoglobina
En relación con características socioeconómicas del hogar, la educación de la madre y el estrato socioeconómico del hogar influyen positivamente sobre el nivel de hemoglobina (modelo 1 y 2) y la reducción del riesgo de anemia (modelo 3 y 4). El efecto de factores socioeconómicos como el índice de activos y la educación de los padres sobre la anemia es similar al encontrado para la India 20,21 y Corea 22. La educación de la madre sin duda contribuye significativamente a la reducción de la anemia infantil; similar resultado fue hallado para Togo 23.
En relación con las características de la madre y de los niños, los intervalos de nacimientos, el orden de nacimiento y la edad de madre influyen significativamente sobre el nivel de hemoglobina (modelo 1 y 2), por consiguiente, sobre la reducción del riesgo de anemia (modelo 3 y 4). El efecto es significativo al 1 % en todos los modelos. Estos resultados son consistentes con los hallazgos para el Perú 24,25.
DISCUSIÓN
La anemia en niños puede ser combatida mediante la ingesta de frutas, verduras, carnes rojas, y en el caso de la papa, el consumo debe ser en cantidades moderadas. Un estudio realizado en Brasil 15 confirma que los niños que no consumían alimentos con hierro (carne + frijoles + verduras de hoja verde oscuro) tenían una probabilidad de 1.67 veces de ser anémicos con respecto a los que consumían alimentos con hierro.
La alimentación con escasa concentración de hierro puede generar anemia infantil, y a su vez puede ocasionar riesgos en su desarrollo cognitivo personal; estos resultados se contrastan con otros estudios que relacionan la prevalencia de la anemia con el desarrollo cognitivo, en especial en sus habilidades psicomotrices y de socialización 8,10,11,13.
Aquellos hogares con presencia de niños con anemia presentaron bajos niveles de consumo de verduras, frutas, tubérculos, menestras, pescados y carnes rojas, por ende, la concentración de hemoglobina es baja, y esto ocasiona mayores riesgos de anemia; estos se resultados son confirmados por otros estudios 14,17,30.
Asimismo, el consumo de carnes y productos de origen animal con relación a los alimentos de origen vegetal, el promedio de absorción de hierro es de 25 % 26. La cantidad de hierro que se consume durante la infancia es más importante para determinar la absorción de hierro que la cantidad real de hierro en la dieta 26.
El Perú es uno de los principales países productores y consumidores de papa; en los resultados encontrados se confirma que la papa representa uno de los alimentos importantes de la canasta familiar 32; sin embargo, un consumo excesivo de la papa disminuye la concentración de hemoglobina en los niños. Otros estudios corroboran que el consumo de la papa constituye un alimento importante en la dieta humana y es considerado el segundo alimento básico en los países desarrollados y en desarrollo 11,27,31, por lo que sería necesario la fortificación de la papa con hierro. En países de ingresos bajos y medios-bajos, los niños que consumen alimentos enriquecidos con papa y otros tubérculos tienen tasas de anemia significativamente más bajas 13.
CONCLUSIONES
Existe una relación directa entre el mayor consumo de alimentos ricos en hierro (hígado de res, lechuga y beterraga) y la concentración de hemoglobina en los niños. Asimismo, cuanto mayor es el consumo de apio y papaya, existe un menor riesgo de contraer anemia.
El consumo de papa guarda una relación directa con la concentración de hemoglobina en aquellos hogares cuyo consumo se encuentra por debajo de 50 kilogramos, y por encima de este valor la relación es inversa.
Adicionalmente, se encontró que el nivel de hemoglobina y el riesgo de anemia dependen significativamente del nivel socioeconómico del hogar, las características de la madre y del niño y las características de la vivienda y el hogar.


















