Serviços Personalizados
Journal
Artigo
Indicadores
-
Citado por SciELO -
Acessos
Links relacionados
-
Citado por Google -
Similares em
SciELO -
Similares em Google
Compartilhar
Revista Facultad de Ingeniería Universidad de Antioquia
versão impressa ISSN 0120-6230versão On-line ISSN 2422-2844
Rev.fac.ing.univ. Antioquia n.53 Medellín jul./set. 2010
Comunicaciones inalámbricas en ambientes hostiles: modelo de radio propagación y respuesta de elementos constitutivos de la parte terminal de la cadena de radio altas temperaturas
Wireless communications in hostile atmospheres: radio propagation model and response of constituent elements of the radio front-end at high temperatures
Jorge Avella Castiblanco, Juan Carlos Bohórquez Reyes*, Néstor Peña Traslaviña, Giovanni Bermúdez
Grupo de Electrónica y Sistemas de Telecomunicaciones, Universidad de los Andes, Facultad de Ingeniería, Departamento de Ingeniería Eléctrica y Electrónica. Carrera 1 Este N.° 19 A 40, Edificio Mario Laserna, ML-326, Bogotá, Colombia
Resumen
En este trabajo se analiza y se propone una solución para evitar la disminución del rango de alcance de los sistemas de comunicación inalámbricos en robots de exploración para ambientes con temperaturas entre 873 K y 1273 K, dado que en este rango de temperaturas se encuentran situaciones como las presentes en los incendios urbanos. El estudio realizado cuantifica la influencia de tres factores de atenuación de la onda electromagnética: En primer lugar se analiza teórica y experimentalmente la atenuación debida a la variación de los parámetros constitutivos de un medio levemente ionizado como función de la temperatura. En segundo lugar, se analiza experimentalmente el comportamiento electromagnético de uno de los principales elementos constituyentes de la parte terminal de la cadena de radio: la antena. Finalmente, se presentan las perspectivas y conclusiones del trabajo. Las validaciones experimentales se realizan en la frecuencia de 2,4 GHz y con variaciones en temperatura desde 900 K hasta 1300 K. Experimentalmente se obtiene una atenuación del orden de 10-5 dB/m para 923 K, y una permitividad relativa compleja igual a 1+j10-12. Los resultados experimentales realizados a la antena, muestran que ésta se desadapta a medida que cambian las condiciones de temperatura: experimentalmente se obtuvo una variación de 78 kHz/K, para un delta de temperatura de 85 K.
Palabras clave: Propagación de ondas electromagnéticas, altas temperaturas, atenuación, constante de propagación, parámetros constitutivos, antenas, circuitos a altas temperaturas
Abstract
In this work the effect of high temperatures is analyzed on the lowest range of communications obtained when the wireless communication system is in the presence of high temperatures (873 K - 1273 K). A solution to avoid the problem is proposed. The temperature range is 873 -1273 K since the temperatures can be in the proposed range for forest or urban fire. This work takes in to account two attenuation factors: The first is the wave attenuation due to the variation of the constitutive parameters of a low ionized propagation medium as function of temperature. These parameter variations are analyzed theoretically, and the obtained results validated experimentally. Secondly, the electromagnetic behavior of one of the most important elements in the radio front-end system: the antenna is analyzed. Finally, the future work and the conclusions are presented. The experimental work was done at 2.4 GHz and between 900 K- 1300 K. From the experimental results an attenuation in the order of 10-5 dB/m at 923 K is obtained, and a complex relative permittivity equals to 1+j10-12. From the experience with the antenna, an readapted antenna is obtained as the temperature is changed to a higher one: a shift of 78 kHz/K, for a temperature delta of 85 K was obtained.
Keywords: Electromagnetic waves propagation, high temperatures, attenuation, phase constant, constitutive parameters, antennas, circuits at high temperatures
Introducción
Las comunicaciones inalámbricas son hoy en día parte de nuestras vidas, hasta el punto en que los expertos esperan a muy corto tiempo una sociedad y economía fuertemente basadas en las comunicaciones digitales. En este tipo de sociedad, las actividades de cada individuo serán independientes de las restricciones espaciales y temporales. Las comunicaciones inalámbricas están presentes, pero nadie se preocupa por ellas [1]. Adicional al desarrollo de aplicaciones de tipo comercial, se están desarrollando sistemas tendientes al apoyo de labores de rescate en ambientes hostiles tales como, los incendios comunes, los incendios forestales, las catástrofes naturales o los atentados terroristas. En este sentido, se han reportado varios trabajos que buscan generar herramientas de apoyo para los organismos de rescate basadas en la inspección remota del área afectada [2-4]. Estos trabajos tienen en común el usar robots móviles que se comunican de manera inalámbrica con una estación remota, la cual permite su control y la recopilación de información relativa a la zona afectada. Dentro de las variables de interés para los organismos de rescate se encuentran los perfiles de temperatura, mapa topográfico de la zona, perfil de presión o de gases, etc. Sin arriesgar vidas humanas, la información recopilada puede ser analizada por los grupos de rescate, permitiéndoles tomar decisiones y acciones para la atención del desastre. En este sentido, es importante desarrollar sistemas de comunicaciones capaces de enviar y recibir señales dentro de los parámetros requeridos. En este contexto y para ser aplicado en el robot de exploración Firebot [5], se desarrolla el presente trabajo de investigación en el que se analizan los diferentes factores que pueden afectar el rango de alcance del sistema inalámbrico que opera en ambientes con altas temperaturas. Seguidamente, se presenta la aplicación y validación de un modelo electromagnético para la caracterización de los parámetros constitutivos del medio: atenuación, constante de propagación y permitividad relativa. Este modelo se valida experimentalmente para la banda ISM comprendida entre 2,4 GHz y 2,48 GHz. Luego se presentan los resultados de caracterización electromagnética para la antena ya que constituye un elemento central de la cadena de radio. Finalmente, se presentan los trabajos futuros a realizar y las conclusiones.
Metodología
Parámetros constitutivos de un medio levemente ionizado
Una onda electromagnética que se propaga en el espacio libre, presenta atenuación debida a la propagación en espacio libre. En nuestro caso, adicional a las pérdidas de espacio libre, debemos considerar la atenuación debida a la ionización del medio y la dispersión por partículas de humo. Estos efectos han sido objeto de múltiples trabajos de investigación [6-10], dentro de los cuales hemos seleccionado las referencias [6] y [7] como guías para el nuestro. Con base en dichas referencias, implementamos el modelo electromagnético que procedemos a detallar y el cual fue validado experimentalmente.
Modelo de ionización del canal
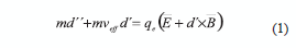
La ionización de un medio es el proceso mediante el cual se llega a la formación de iones que alteran el índice de refracción y la permitividad del medio, variaciones que afectan la atenuación de la onda. Estos medios, dentro de los cuales podemos situar los ambientes hostiles de interés para esta investigación (incendios forestales, incendios urbanos, etc.), se modelan a partir de la propagación en plasmas tenues [10]. Para el desarrollo de nuestro modelo, asumimos que la interacción entre gases de distintas especies de elementos es mínima y que los elementos que más aportan al proceso de ionización son los correspondientes a los metales alcalinos [6]. De esta manera, nuestro estudio se enfoca al proceso de combustión de materiales que estén compuestos por elementos alcalinos (tabla periódica, grupo IA), por presentar las menores energías de ionización [11]. Con el fin de tener un modelo que permitiera la caracterización de los parámetros constitutivos del medio de propagación, se hizo necesario determinar inicialmente la permitividad relativa del medio, la cual es función de la conductividad del medio y por ende de la velocidad de propagación del electrón. Esta última se determina a partir de la ecuación que describe el movimiento promedio de un electrón en un medio gaseoso ionizado bajo colisiones repetidas (1) [6].

Donde d' y d" corresponden respectivamente a la velocidad y la aceleración del electrón, veff se conoce como la frecuencia efectiva de colisiones en el gas, E y Bson los vectores de campo eléctrico y densidad de flujo magnético, m y qe corresponden respectivamente a la masa y carga del electrón, y veff es la frecuencia efectiva de colisiones en el gas. En (1), se puede omitir el término B dado que para un plasma tenue la densidad de flujo magnético y por ende la correspondiente fuerza magnética son despreciables [7]. Expresando (1) en el dominio de la frecuencia y solucionando para la velocidad del electrón, se obtiene (2).

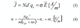
A partir de la velocidad del electrón y de la densidad de electrones en el medio (N) cuyo cálculo se presenta en [12], se calcula la densidad de corriente de conducción (3). Así reemplazando (2) en (3) se obtiene la conductividad del medio (4).

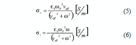
Obteniéndose así la parte real (5) e imaginaria (6) de la conductividad.

Donde wp2 es denominada frecuencia de plasma y w es la frecuencia angular de operación. El valor de la frecuencia de plasma es importante porque cualquier transmisión que se quiera establecer en un medio ionizado debe realizarse a una frecuencia superior a ésta. Con la conductividad del medio, la permitividad relativa está dada por (7).

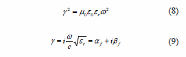
Para determinar la constante de propagación se hace uso de su dependencia de la permitividad relativa (8), la cual se puede expresar como en (9)


El procedimiento previamente descrito constituye una herramienta para la caracterización de canales de comunicación débilmente ionizados, la cual permite determinar teóricamente los parámetros constitutivos del canal de comunicaciones: constante de atenuación, constante de fase y permitividad relativa. Los resultados obtenidos con este modelo para la constante de atenuación se presentan en la figura 1. La figura 1 muestra que el efecto de atenuación de la señal disminuye a medida que se incrementa la frecuencia de transmisión y pone en evidencia que el efecto de atenuación puede llegar a ser importante en la banda VHF. Adicionalmente, se tiene una mayor atenuación cuando se alcanzan niveles elevados de temperatura (cercanos a los 1273 K). Estos efectos sólo serían considerables en el caso de incendios forestales en los cuales se pueden alcanzar temperaturas cercanas a los 2000 K, sin embargo, en el caso de los incendios urbanos, en donde la temperatura es inferior a los 1500 K, este efecto no sería significativo.
Figura 1 Resultados de simulación utilizando el modelo de ionización del canal: Constante de atenuación como función de la temperatura permitividad relativa
En la siguiente sección, se detalla el proceso de validación experimental del modelo presentado.
Validación experimental del modelo de ionización del canal
Para la validación experimental del modelo, se diseñó un experimento en el cual se recrean los niveles de temperatura que se pueden presentar en incendios forestales (simulador de incendios) y el cual permite la propagación de una onda electromagnética a través del simulador de incendios. El simulador de incendios consiste en un horno de gas propano con un controlador de temperatura encendido/apagado. El horno fue diseñado para operar en el rango de temperaturas de 300 K-1200 K, sin estructuras metálicas de soporte lateral, por lo cual se construyó utilizando una estructura cerámica sellada con cemento cerámico (Figura 2).
Figura 2 Fotografía del horno simulador de incendios
Para la onda electromagnética radiada y recibida, se construyeron y calibraron dos antenas helicoidales (Figura 3a) para operar en la Banda ISM (Industrial Scientific and Medical Band) de 2400 MHz-2483.5 MHz. Esta topología con antenas helicoidales, es seleccionada por su bajo ángulo de apertura (alta directividad [13], necesaria para lograr la propagación de la onda a lo largo del simulador de incendio; el rango de frecuencias es determinado por la aplicación en la que incorporarán los resultados de la investigación: robots de exploración operando en la banda ISM. Los resultados experimentales y de simulación electromagnética son ilustrados en la figura 4, en donde se puede apreciar una correcta concordancia entre los resultados experimentales y los resultados de simulación electromagnética. Las antenas fueron medidas en la cámara anecoica de la Universidad de los Andes, en concordancia con el estándar ANSI/ IEEE std 149-1979 y se obtuvo una frecuencia de resonancia de 2,24 GHz, pérdidas retorno de de -9,17 dB y ganancia de 10 dBi.
Figura 3 (a) Fotografías de las dos antenas helicoidales construidas. (b) Configuración del experimento. (c) Fotografía de distribución de equipos
Como generador de señal y equipo de medición se utilizó el analizador vectorial de redes HP 8753D: por medio de cables de bajas pérdidas (LabFlex 290, conectores tipo N), un puerto del equipo se conecta a la antena transmisora y el segundo puerto a la antena receptora. El horno simulador de incendios se ubica en el centro geométrico del montaje experimental, y en el lóbulo principal de radiación, dentro de la primera zona de Fresnel (figura 3b). Las dimensiones ilustradas en la figura 3b, se obtienen a partir de las dimensiones de las antenas: La máxima dimensión es el largo de la antena, igual a 0,3 m. Con esta dimensión se determina la mínima distancia que se debe guardar entre el horno y cada una de las antenas para que la onda que se propague a lo largo del simulador de incendios se pueda considerar como una onda plana. Esta separación es determinada por la región de campo lejano de la antena: 1,44 m [13]. El ancho del horno es determinado por el radio de la primera zona de Fresnel [13]: 0,35 m. Las dimensiones de la distribución de equipos se muestra en la figura 3c, y las dimensiones del horno se muestran en la figura 5.
Figura 4 Resultados experimentales de la caracterización electromagnética de las antenas helicoidales. (a) Resultados experimentales del coeficiente de reflexión de cada una de las antenas. (b) Resultados experimentales y de simulación electromagnética para el patrón de radiación de las antenas
Figura 4 Topología y dimensiones del horno simulador de incendios
Resultados
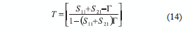
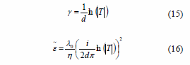
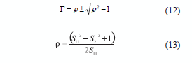
Experimentalmente se validó el modelo en la banda ISM (banda de frecuencia que pueden utilizar los robots de exploración) y con temperaturas comprendidas entre 873 K y 1273 K (rango de temperaturas que se pueden alcanzar en incendios urbanos). Los resultados se presentan en la figura 6. Para obtener esta figura, los datos de medición generados por el VNA se almacenaron en un computador. La comunicación entre los dos equipos se realizó utilizando el estándar GPIB para comunicar equipos en corto rango. Los datos son procesados empleando LabView®, para estimar con base a los parámetros medidos de transmisión y reflexión, los parámetros constitutivos del medio: constante de atenuación, constante de fase y permitividad del medio. El procedimiento usado para determinar los parámetros constitutivos del medio a partir de la medición de los parámetros de transmisión y reflexión se detalla a continuación. El coeficiente de reflexión (τ), y el coeficiente de transmisión (T) en la interface entre el espacio libre y el espacio a altas temperaturas, están relacionados con los coeficientes medidos de reflexión (S11) y transmisión (S21) según (12) y (14) respectivamente [14].


Reemplazando (12) y (14) en (15) y (16) se obtiene la constante de propagación (15) y la permitividad del medio (16).

Donde d es la separación entre antenas y el parámetro n está dado por (17) [14].

Figura 6 Resultados experimentales de la caracterización del medio
Si bien los resultados experimentales presentan una buena concordancia con los resultados obtenidos del modelo, consideramos que las discrepancias pueden ser debidas a que en el modelo se incluyen parámetros como el número total de moléculas que interactúan en el incendio, el número total de partículas ionizadas y las velocidades de flujo de aire dentro del horno, las cuales son difíciles de cuantificar y fueron estimados de acuerdo a trabajos reportados en la literatura [15], lo cual puede generar las diferencias encontradas. Otro factor de error puede estar dado por que el modelo desarrollado predice las pérdidas debidas a las partículas ionizadas existentes en el medio, y no tiene en cuenta pérdidas adicionales como por ejemplo las pérdidas de espacio libre, reflexiones, refracciones y difracciones debidas al medio, las cuales se pueden cuantificar al restar las pérdidas medidas para una temperatura dada, de las correspondientes con el horno en estado apagado.
Dado que las distancias a las cuales se operan los robots de exploración no son mayores a 700 m en línea de vista, los resultados obtenidos no nos permiten afirmar que la atenuación debida al medio sea un factor significativo en la reducción del rango de alcance del sistema de comunicaciones. Por este motivo, se decide explorar la influencia de la temperatura en elementos claves de la cadena de radio, y se inicia este estudio por el elemento de interfaz: la antena. A continuación presentamos la caracterización experimental realizada con una antena tradicional y que comparte las mismas características topológicas que las usadas en estos tipos de sistemas: la antena parche.
Caracterización de la respuesta eléctrica de la antena
Los sistemas de comunicación inalámbricos comerciales, tradicionalmente tienen una antena F incorporada o grabada sobre el PCB del circuito [16]. Estas antenas por tanto, son compatibles en su proceso de fabricación con los procesos tradicionales de fabricación de circuitos impresos. Básicamente su topología es un material de soporte o sustrato con un motivo metálico grabado en una de las caras del sustrato de soporte. Esta topología es la misma de las bien conocidas antenas parche [17]. En las condiciones de estudio, las antenas parche presentan ventajas para el montaje experimental, dadas por su simetría geométrica y sus dimensiones para el rango de interés (banda ISM), y que facilitan la realización experimental y sus resultados son representativos de las diferentes antenas que se pueden implementar utilizando la misma topología: sustrato de soporte y grabado metálico.
Configuración del experimento
Para esta prueba se empleó nuevamente el analizador vectorial de redes, y se midió los parámetros de dispersión de la antena (S11). La antena se coloca dentro de una caja cerámica y se ubica sobre el orificio de ventilación del horno, figura 7. Las pruebas se realizaron con temperaturas en el rango de 353 K a 423 K. En la figura 8, se presentan los resultados experimentales obtenidos. En estos resultados se evidencia la desadaptación que sufre la antena a medida que la condición en temperatura va cambiando. Esta desadaptación puede ser debida a dos causas: una variación de la constante dieléctrica del material de soporte o la variación de la conductividad de la capa metálica de la antena. Estas variaciones se evidencian en la clara disminución del factor de calidad de la antena: al aumentar las pérdidas, se tiene una variación de la frecuencia central y el ancho de banda se aumenta [18].
Figura 7 Configuración del experimento para la caracterización electromagnética de la antena
Figura 8 Resultados experimentales de la caracterización electromagnética de la antena
Trabajo futuro
En incendios con gran variedad de aditivos será necesario estudiar en detalle el proceso termoquímico para determinar de manera adecuada la densidad de electrones en el medio (N) y la frecuencia efectiva de colisiones en el gas (Veff), para de esta manera mejorar la precisión del modelo y generalizarlo para diferentes materiales en combustión.
Continuar el análisis de los diferentes elementos constitutivos de la cadena de radio con el fin de cuantificar la influencia de cada elemento en la disminución del rango de alcance del sistema de comunicaciones.
Desarrollar un modelo que permita analizar la topología externa de protección del robot. Para este análisis se debe desarrollar un modelo numérico que determine la transferencia de calor desde el exterior del robot hacia el interior del mismo, con el fin de determinar los tiempos máximos de exposición a altas temperaturas.
Conclusiones
Para la distancia de interés requerida para el sistema de comunicación inalámbrica del robot (700 m en línea de vista), el modelo de ionización del canal predice que las altas temperaturas no son responsables de una fuerte disminución del rango de alcance. Esta disminución de alcance, se evidencia más fuertemente por la desadaptación que sufre la antena al ser expuesta a altas temperaturas. Queda abierto el interrogante sobre el comportamiento de los demás elementos claves de la cadena de radio, como los amplificadores de bajo ruido (LNA), los amplificadores de potencia y los filtros.
Dado que se identifica la antena como elemento crítico, se propone utilizar el blindaje térmico como espacio en el que se debe integrar una antena en cavidad [19]. Este tipo de antena, además de tener un alto factor de calidad y buena ganancia, permitiría utilizar el espacio destinado a la protección térmica como elemento radiante, y esta topología de antena permite compensar la desadaptación que se presentaría al ser expuesta a altas temperaturas, si se incorporan elementos de sintonización fina controlados electrónicamente [20].
Agradecimientos
Los autores agradecen el apoyo financiero otorgado por el Centro de Investigaciones de la Facultad de Ingeniería de la Universidad de los Andes (CIFI), de la Universidad Distrital Fransisco José de Caldas y de Colciencias en el marco del programa Jóvenes Innovadores.
Referencias
1. S. Ohmori, Y. Yamao, N. Nakajima. "The future generation of mobile communications based on broad band access technologies". IEEE communications magazine. Vol. 38. 2000. pp. 2397-2402. [ Links ]
2. J. Casper, R. Roberson. "Human-robot interactions during the robot-assited urban search and rescue response at the world trade center." IEEE Transactions on systems, man, and cybernetics-part B: cybernetics. Vol. 33. 2003. pp. 367-385. [ Links ]
3. R. R. Murphy, J. J. Martinez. "Lessons learned from the NSF REU site grant: multiple autonomous mobile robots for search and rescue applications." Proc. IEEE frontiers education. Vol 3.1997. pp. 1378-1382. [ Links ]
4. R. Jarvis. "An autonomous heavy duty outdoor robotic tracked vehicle". Proc. IEEE SMC '99 conference. Vol 2. 1999. pp. 129-133. [ Links ]
5. G. Bermúdez, L. Rojas, H. Ariza, M. Ceballos. "Aplicación del método de campos de potenciales artificiales para un robot móvil autónomo". Revista Tecnura.Vol. 14. 2004. pp. 86-96. [ Links ]
6. K. Mphale, M. Heron. "Absortion and transmission power coefficients for millimeter waves in a weakly ionized vegetation fire". International Journal of Infrared and millimeter waves. Vol. 28. 2007. pp. 865-879. [ Links ]
7. K. Mphale, M. Heron. "Effect of wildfire induced thermal bubble on radio communication". Progress in electromagnetic research. Vol. 68. 2007. pp. 197-228. [ Links ]
8. H. Belcher, T. M.Sugden. "Studies on the Ionization Produced by Metallic Salts in Flames, I. The Determination of the Collision Frequency of electrons in Coal-Gas/Air Flames". Royal Society of London. Mathematical and Physical Sciences. Vol. 201. 1950. pp. 480-488. [ Links ]
9. H. Belcher, T. M. Sugden. "Studies on the Ionization Produced by Metallic Salts in Flames, II. The Determination of the Collision Frequency of electrons in Coal-Gas/Air Flames". Royal Society of London. Mathematical and Physical Sciences. Vol. 202. 1950. pp. 17-39. [ Links ]
10. E. A. Soliman, A. Helaly, A. Megahed. "Propagation of Electromagnetic Waves in Planar Bounded Plasma Region". Progress in Electromagnetic Research. Vol. 67. 2007. pp. 25-37. [ Links ]
11. N. N. Greenwood. Chemistry of the elements, 2a ed. Oxford press. New York (USA). 1997. pp. 20-31. [ Links ]
12. M. Heron, K. Mphale. Radio wave attenuation in bushfires, tropical cyclones and other severe atmospheric conditions. Final Report on EMA Project 60/2001. James Cook University. Australia. 2004. [ Links ]
13. C. A. Balanis. Antenna Theory: analysis and design. 2a ed. Ed. John Wiley & Sons. New York. 1997. pp. 505-512. [ Links ]
14. D. K.Ghodgaonkar, V. V. Varadan, V. K. Varadan. "Free Space measurement of complex permittivity and complex permeability of magnetic materials at microwave frequencies". IEEE Transactions on instrumentation and measurement.Vol. 39. 2002. pp. 394-398. [ Links ]
15. K. M. Mphale, D. Letsholathebe, L. Heron, "Effective complex permittivity of a weakly ionized vegetation litter fire at microwave frequencies". Journal of Applied Physics. Vol. 40. 2007. pp. 6651-6656. [ Links ]
16. P. Donelli, M. Lizzi, L. Viani, F. Martinelli, M. Ioriatti, L. Benedetti, M. Rocca."On the integration of smart antennas in Wireless Sensor Networks," Antennas and Propagation Society International Symposium. Julio 2008. San Diego (CA). pp.1-4. [ Links ]
17. D. M. Pozar, "A Microstrip Antenna Aperture Coupled to a Microstrip Line". Electronics Letters. Vol. 21. 1985. pp. 49-50. [ Links ]
18. V. Aaron, J. C. Bohórquez, N. Peña, A. Fernández, D. Ospina, A. Rodríguez. "Caracterización e implementación de filtros integrados al substrato". Andescon. Cusco (Perú). 2008. pp. 1-6. [ Links ]
19. E. Flórez, J. C. Bohórquez, N. Peña. "Novedosa integración de antena planar a un filtro en tecnología SIW". COLCOM 2008. Popayán (Colombia). 2008. pp 1-6. [ Links ]
20. J. C. Bohórquez, B. Potelon, C. Person, E. Rius, C. Quéndo, G. Tanné. "Frequency Reconfigurable Planar SIW Cavity". IEEE-MTT. San Francisco (California). 2006. pp. 947-950. [ Links ]
(Recibido el 19 de febrero de 2009. Aceptado el 23 de septiembre de 2009)
*Autor de correspondencia: teléfono: + 57 + 1 + 339 49 49 ext. 2895, 2831, fax: + 57 + 1 + 332 43 16, correo electrónico: jubohorq@ uniandes.edu.co; gest@uniandes.edu.co (J C. Bohórquez)





















