Serviços Personalizados
Journal
Artigo
Indicadores
-
Citado por SciELO -
Acessos
Links relacionados
-
Citado por Google -
Similares em
SciELO -
Similares em Google
Compartilhar
Medicas UIS
versão impressa ISSN 0121-0319
Medicas UIS vol.26 no.2 Bicaramanga maio/ago. 2013
Conocimientos, actitudes y prácticas sobre
el virus de la hepatitis B en estudiantes de
medicina, Medellín, Colombia, 2012
Jaiberth Antonio Cardona-Arias*
Eliana Higuita-Hernández**
*Microbiólogo y Bioanalista. MSc Epidemiología. Docente Asistente. Facultad de Medicina. Universidad Cooperativa de Colombia. Docente Asistente. Escuela de Microbiología. Universidad de Antioquia. Grupo de investigación Infettare. Medellín. Antioquia. Colombia.
**Estudiante V año de Medicina. Semillero de Investigación Infettare. Facultad de Medicina. Universidad Cooperativa de Colombia. Medellín. Antioquia. Colombia.
Correspondencia: Jaiberth Antonio Cardona-Arias. Calle 67 Número 53-108, bloque 5, oficina 103. Medellín. Antioquia. Colombia. Teléfono: 2198486. Fax: 2195486. Correo electrónico: jaiberthcardona@gmail.com.
Artículo recibido el 14 de mayo de 2013 y aceptado para publicación el 29 de julio de 2013
RESUMEN
Introducción: la hepatitis B es un problema de salud mundial, dada su elevada magnitud y la diversidad de factores y grupos de riesgo. Los estudiantes de medicina constituyen uno de sus principales grupos de riesgo, por su elevada frecuencia de prácticas sexuales de riesgo y baja adherencia a normas de bioseguridad. Objetivo: evaluar los conocimientos, actitudes y prácticas sobre la hepatitis B y su asociación con aspectos demográficos, socio-económicos y académicos, en estudiantes de medicina de Medellín. Materiales y métodos: estudio transversal en 235 estudiantes de una facultad de medicina de Medellín, seleccionados mediante muestreo probabilístico estratificado con asignación proporcional. Se empleó fuente de información primaria y se creó una escala con 60 puntos; la descripción se realizó con medidas de resumen, frecuencias e intervalos de confianza, mientras que la identificación de factores asociados a los conocimientos, actitudes y prácticas con U de Mann Whitney, Anova de una vía, HSD Tukey, Rho de Spearman, según el cumplimiento o no del supuesto de normalidad, y regresiones lineales, en SPSS 20. Resultados: los conocimientos, actitudes y prácticas fueron insatisfactorios en una gran proporción de los estudiantes, solo 43% reconoce la infección por virus de la hepatitis B como un riesgo para el personal de la salud, 77% conoce el esquema de vacunación y menos del 90% identificó los grupos de mayor riesgo y las vías de transmisión. Los conocimientos, actitudes y prácticas presentaron asociación estadística con la edad y el ciclo de formación; se observó que las prácticas relacionadas con el virus de la hepatitis B presentan correlación positiva con los conocimientos y actitudes de los estudiantes. Conclusión: los conocimientos, actitudes y prácticas fueron insatisfactorios y el principal grupo de riesgo son los estudiantes del ciclo básico. Esto presenta gran utilidad para el desarrollo de estrategias costo-efectivas de reducción del riesgo de infección por el virus de la hepatitis B en grupos de riesgo como estudiantes de la salud. (MÉD.UIS. 2013;26(2):9-20).
Palabras Clave: Conocimientos, Actitudes y Prácticas en Salud. Virus de la Hepatitis B. Estudiantes. Medicina. Colombia.
Knowledge, attitudes and practices about hepatitis B among medical students, Medellin,
Colombia, 2012
ABSTRACT
Introduction: hepatitis B is a global health problem due to its high magnitude and diversity of factors and risk groups. Medical students are one of the main risk groups because of their frequency of unsafe sex and low adherence to biosecurity standards. Objective: to assess the knowledge, attitudes and practices about hepatitis B and its association with demographic, socio-economic and academic aspects, in medical students of Medellin. Materials and Methods: cross sectional study in 235 students of a medical school in Medellin, selected using stratified probability sampling with proportional allocation. We used primary source of information and we created a scale with 60 points. The description was made with summary measures, frequencies and confidence interval; the identification of factors associated with knowledge, attitudes and practices with U Mann Whitney, one-way ANOVA, Tukey, Rho Spearman, according to the fulfillment or not of normality assumption, and linear regressions in SPSS 20. Results: the knowledge, attitudes and practices were unsatisfactory in a high proportion of students, only 43% recognize Hepatitis B virus infection as hazardous to health personnel, 77% know the vaccination schedule and less than 90% identified the groups and transmission routes of most risk. The knowledge, attitudes and practices showed statistical association with age and semester; we showed that the practices related to HBV presented positive correlation with the knowledge and attitudes. Conclusion: the knowledge, attitudes and practices were unsatisfactory and the main risk group are the students of basic cycle. This presented are useful for the development of cost-effective strategies for reducing the risk of infection by the hepatitis B virus in risk groups such as health students and the general population. (MÉD.UIS. 2013;26(2):9-20).
Keywords: Health Knowledge, attitudes and practice. Medical waste. Hospital Services. Health personnel. Colombia.
INTRODUCCIÓN
La hepatitis viral es una de las principales infecciones del hígado causada por el virus de la hepatitis, tipos A, B, C, D, E, que poseen la capacidad de producir infección aguda, de estos el B, C y D cursan con cronicidad. El Virus de la Hepatitis B (VHB) es el principal causante de hepatitis crónica, cirrosis hepática y el 80% de carcinoma hepatocelular. Se encuentra entre los cancerígenos más frecuentes después del tabaco y causa la muerte de cerca de 700 000 personas anualmente en el mundo. El 5% de la población mundial está infectada, y de esta el 25% termina sufriendo daños hepáticos graves1,2.
La OMS delimita las zonas de riesgo según la prevalencia en alta endemia si del 8 al 20% de la población es HBs Ag-positivo, moderada si la seroprevalencia en portadores es del 2 al 7% y baja para los valores restantes. En este último grupo la transmisión domiciliaria y perinatal entre niños es poco común, la mayoría de las infecciones por el VHB ocurren en adolescentes, adultos jóvenes y grupos de alto riesgo relativamente bien definidos, relacionados con la transmisión sexual, el uso compartido de objetos contaminados como en el abuso de drogas o por exposición ocupacional. En la infección por el VHB se distinguen dos patrones epidemiológicos, el primero es el de los países desarrollados, donde se presentan epidemias esporádicas con varios meses de duración o epidemias abruptas asociadas a fuente común; y el segundo es el de los países en desarrollo donde se presenta en forma endémica, particularmente Colombia está entre los países con endemia moderada3.
En este sentido, uno de los grupos de riesgo incluye los estudiantes de medicina debido a que sumado al riesgo sexual, participan en actividades clínicas que implican contacto con pacientes, exposición a riesgos biológicos y en muchas ocasiones no presentan un esquema de vacunación completo para el VHB o no desarrollan un título protector de anticuerpos. Estudios previos han reportado ausencia de título de anticuerpos protectores contra el VHB en 32% de un grupo de trabajadores de la salud y 15,5% de estudiantes del área de salud que presentaban esquemas de vacunación completos4,5.
Aunado a lo anterior, en algunos estudiantes de medicina es deficiente el cumplimiento o seguimiento de normas de bioseguridad y es baja la percepción del riesgo biológico, a pesar de la implementación de diversos programas de prevención, lo que constituye un grave obstáculo para el desarrollo de programas preventivos con un bajo impacto en el control de la transmisión del VHB, lo que aumenta la probabilidad de transmisión y se constituye en un factor de riesgo. Lo anterior podría atribuirse a la verticalidad de los programas, donde no se tienen en cuenta los Conocimientos, Actitudes y Prácticas (CAP) de los estudiantes sobre el VHB. El estudio de los CAP es de gran relevancia dado que la identificación de los conocimientos permitiría dirigir de manera aproximada, el programa de intervención para la prevención del contacto con VHB; puede impactar positivamente en las actitudes de los futuros médicos y con ello se pueden generar prácticas de protección más seguras. Los CAP resultan importantes dado que de una forma sistémica y parsimoniosa permiten evaluar el efecto de los conocimientos adquiridos en torno de la temática evaluada, la forma de aproximarse a la experiencia de las personas y su contenido vivencial6. Sumado a ello, se ha reportado que los programas de prevención más exitosos son aquellos que parten de las realidades de los actores sociales e introducen conceptos preventivos con base en los conocimientos y experiencias de los grupos implicados7.
Por lo anterior, y teniendo en cuenta que el Ministerio de Protección Social plantea la utilización de la investigación como una opción para que los programas de prevención cumplan sus objetivos y para mejorar las estrategias Información Educación Comunicación (IEC), se realizó una investigación cuyo objetivo fue evaluar los CAP sobre Hepatitis B en estudiantes de medicina, y su asociación con aspectos demográficos, socio-económicos y académicos. Con esta investigación se generó información que es fundamental para estructurar campañas y estrategias de educación en salud que propicien cambios de conductas nocivas y fomenten el autocuidado y la prevención.
MATERIALES Y MÉTODOS
TIPO DE ESTUDIO: DESCRIPTIVO TRANSVERSAL
Sujetos de estudio: el tamaño de la muestra correspondió a una población de referencia de 600 estudiantes, desviación estándar del puntaje CAP de 10, confianza del 95% y error de muestreo del 1% que permite obtener el máximo tamaño de muestra; en total se incluyeron 235 estudiantes. Para la selección de los estudiantes se realizó un muestreo probabilístico estratificado con asignación proporcional según el semestre y sin reemplazo. Los criterios de inclusión fueron el ser estudiante matriculado en el programa de Medicina de la Universidad Cooperativa de Colombia, sede Medellín, de ambos sexos. Como criterios de exclusión se presentaron el renunciar al estudio, exigir compensación para participar en él o estar bajo el influjo de drogas que pudiesen generar sesgo de información.
Recolección de la información: se empleó fuente de información primaria consistente en una encuesta estructurada con preguntas dicótomas y politómicas, con aplicación individual, anónima y asistida, entre julio y septiembre de 2012. Previo a la recolección de la información se firmó consentimiento informado.
Para el control de sesgos de información en los encuestadores se estandarizó el diligenciamiento de la información y se realizó un manual de trabajo de campo con protocolo de llegada, presentación, ejecución y despedida. En el encuestado se motivó su participación a través de la información del proyecto dada por los encuestadores, los investigadores y la consignada en el consentimiento informado, una carta de presentación institucional con los números de teléfono y ubicación de los investigadores, y se garantizó la confidencialidad en la información recolectada. Con el instrumento se realizó prueba piloto y se diseñó un formulario con una redacción lógica, clara, coherente, sin condicionar las respuestas de los participantes y se realizó doble digitación de la información.
Para establecer los puntajes de conocimientos (conformada por 36 preguntas) actitudes (conformada por siete preguntas) y prácticas (con 17 preguntas), las preguntas se categorizaron en cero para las respuestas erróneas y uno para las correctas, y con base en ello se realizó la sumatoria de CAP correctos; los puntajes más altos indicaron conocimientos correctos, actitudes favorables frente a la prevención de la infección y frente a los infectados, y prácticas protectoras. La escala contó con validación de apariencia y contenido, y se consideró como puntajes satisfactorios o adecuados aquellos que fuesen superiores al percentil 75.
Análisis de la información: para la descripción de la población de estudio, de algunas preguntas sobre CAP y los puntajes totales de CAP se estimaron medidas de resumen, proporciones e intervalos de confianza del 95%. Los puntajes CAP se compararon con las variables independientes así: i) con ciclo de formación y el sexo con la prueba U de Mann Whitney dado el incumplimiento del supuesto de normalidad bivariada, ii) con el estrato social a través de Anova y comparaciones múltiples con HSD de Tukey debido al cumplimiento de los supuestos de normalidad y homocedasticidad, iii) con edad y semestre a través de coeficientes de correlación de Spearman, debido el incumplimiento del supuesto de normalidad bivariada; además, se estableció la correlación entre cada uno de los puntajes CAP. Para la validación del supuesto de normalidad bivariada se emplearon las pruebas Kolmogórov Smirnov con corrección de Lilliefors y Shapiro Wilk, y el supuesto de homocedasticidad con el estadístico de Levene.
Se realizaron regresiones lineales múltiples para los puntajes CAP con el fin de explorar y describir el efecto simultáneo y recíproco de las condiciones demográficas, socioeconómicas y académicas sobre dichos puntajes. Para los modelos de regresión se evaluó el cumplimiento de los supuestos de aleatoriedad de Y con la prueba de las rachas, el de linealidad con ANOVA, la normalidad y varianza constante de los residuos, la no correlación de los residuos con la prueba de Durbin Watson, la no colinealidad o multicolinealidad con la estimación de la tolerancia de cada variable y el factor de inflación de la varianza y la significación estadística de los coeficientes de regresión.
Los datos se almacenaron en una base de datos en Statistical Package for the Social Sciences for Windows, software SPSS versión 20,0 ® y Epidat. En todos los análisis se tomó una significación estadística de 0,05.
Aspectos éticos: en todas las etapas del proyecto se tuvieron presentes los principios de la declaración de Helsinki y la resolución 8430 de Colombia según la cual el estudio corresponde a una investigación sin riesgo. Prevaleció el respeto a la dignidad de los sujetos y la protección de sus derechos y de su privacidad.
RESULTADOS
El grupo de estudiantes estuvo conformado por mujeres en un 67%, 68% de estrato social medio, 76% del ciclo de formación básico, con una edad promedio de 20 años y rango entre 16-36 y solo el 84% presentó esquema de vacunación completo para VHB (Ver Tabla 1). En la Tabla 2 se presenta la frecuencia de algunos CAP relacionados con la hepatitis B, solo el 42,5% reconoce la hepatitis B como una enfermedad infectocontagiosa de riesgo para el personal de salud, 80% identifica la ictericia como uno de sus principales síntomas, 88% su etiología viral, como principales fuentes de transmisión se refirieron la sangre (90%) y el semen (65%), los principales grupos de riesgo incluyen trabajadores sexuales y multitransfundidos, solo el 77% conoce el número de dosis que hacen parte del esquema completo de vacunación contra el VHB; entre las actitudes lo más preocupante fue el porcentaje de personas que perciben riesgos erróneos frente a la infección por VHB y en las prácticas fue elevada la prevalencia de factores de riesgo sexuales.
El ciclo de formación presentó asociación estadística con el puntaje de conocimientos y prácticas, mientras que el estrato social con las actitudes y las prácticas. Además, se observó una correlación positiva de las prácticas con los conocimientos y las actitudes, aunque con esta última fue muy baja (Ver Tabla 3).
Con base en las comparaciones múltiples, las actitudes presentaron diferencias estadísticamente significativas entre los estratos bajo-alto (IC 95%=0,2 a 1,0; Valor p=0,039), mientras que en las prácticas las diferencias se observaron entre los estratos bajo-medio (IC 95%= -2,67 a -0,36; Valor p=0,006) y bajo-alto (IC 95%= -3,32 a -0,40; Valor p=0,008).
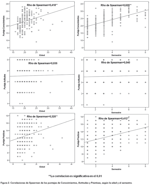
Los puntajes de conocimientos y prácticas fueron más elevados en el estrato social alto (Ver Figura 1) y presentaron una elevada correlación con la edad y el semestre (Ver Figura 2). En la Figura3 se observa que los CAP presentaron puntajes similares entre hombres y mujeres, mientras que los puntajes de conocimientos y prácticas fueron mejores en los estudiantes del ciclo profesional. Según los modelos de regresión, el semestre fue el principal factor asociado a los resultados de CAP, los puntajes presentaron una asociación estadística entre sí y las variables incluidas en los modelos explicaron el 39% de la variabilidad de los conocimientos, 7,5% de las actitudes y 22% de las prácticas (Ver Tabla 4).
DISCUSIÓN
En el actual estudio las tres escalas de CAP presentaron unos puntajes promedio muy bajos entre los estudiantes y se halló asociación estadística con la edad y el ciclo de formación. Además, se observó que las prácticas relacionadas con el VHB presentan correlación positiva con los conocimientos y actitudes de los estudiantes.
La investigación actual en VHB ha logrado notables avances en la explicación de su historia natural, la implementación de programas de vacunación y la prevención de su transmisión en bancos de sangre. No obstante, esta infección continúa siendo un grave problema clínico-epidemiológico y de salud pública en el ámbito mundial, dado que presenta cerca de 350 millones de portadores, el espectro de sus formas clínicas es complejo y la información sobre esta infección en América Latina es limitada. Con el virus de la hepatitis C se explican el 2,7% de muertes en el mundo, 57% de los casos de cirrosis hepática y el 78% de los casos de cáncer primario de hígado, y el VHB agudiza la infección del virus de la hepatitis D8,9. Los datos expuestos, evidencian la necesidad de un enfoque integral para su control y prevención9 en el que se insertan las iniciativas de investigación sobre los CAP como medio inicial para fundamentar los programas de prevención y control con base en las principales áreas problemáticas identificadas en este tipo de estudios.
La prevalencia del VHB en Colombia ha aumentado, principalmente en el grupo etario comprendido entre 15 y 40 años. Para su prevención, las acciones se han articulado al control del VHB, el virus de la hepatitis C y el virus de la inmunodeficiencia humana; haciendo énfasis en educación sexual, reglamentación para protección de los trabajadores del sector salud, promoción del uso del preservativo, ampliación de la vacunación y fortalecimiento de la vigilancia en los bancos de sangre9.
En el actual estudio, el 84% de los estudiantes presentaron esquema de vacunación completo, lo que coincide con otros estudios donde se han reportado frecuencias del 86,7% en estudiantes de enfermería10 y del 84,4% en la Facultad de Odontología de la Universidad de Antioquia5. Sin embargo difiere de otros, como el estudio de Moscatelli quien reportó 16,8% personas bien inmunizadas, 31,1% incompletamente inmunizados y 52,1% no inmunizados11 y el estudio de Díaz quien observó que solo el 35,4% presentaban un esquema de vacunación contra hepatitis B completo12.
Los bajos porcentajes de vacunación evidencian que los estudiantes de las áreas de la salud presentan un elevado riesgo de adquirir hepatitis B, no solo por la exposición ocupacional y el estar en el grupo etario de mayor riesgo, sino también por no presentar una correcta inmunización. Entre los factores que explican la baja inmunización se han reportado barreras económicas y desconocimiento de la enfermedad y la eficacia de la vacuna, por lo que resulta relevante incluir este ítem en las escalas de conocimientos y prácticas11. Cabe aclarar que la correcta inmunización se define como la presentación de tres dosis de vacuna, aunque estudios previos han hallado una protección derivada de la vacunación contra VHB, similar al emplear tres esquemas diferentes: convencional (tres dosis), acortado de tres dosis (0, 1 y 2 meses) y acortado de dos dosis (0 y 1 mes), lo que sugiere la posibilidad de usar un esquema de dos dosis, con lo que se tendría menos costo con igual beneficio13.
Los conocimientos de los estudiantes de medicina sobre el VHB, en general fueron deficientes, menos de la mitad identificó el VHB como de elevado riesgo para el personal de salud, hubo bajo conocimiento sobre la etiología de la hepatitis y las fuentes de transmisión, y las personas de riesgo aludidas fueron trabajadores sexuales, multitransfundidos, drogadictos y promiscuos; estos conocimientos presentaron asociación estadística con la edad y el semestre. Estas falencias coinciden con otras investigaciones donde se han reportado conocimientos inadecuados sobre las vías de trasmisión, prevención y tratamiento14. En el estudio de Moscatelli, solo el 41% tenía conocimientos suficientes sobre el mecanismo de transmisión de la infección y el 26% consideraba importante la administración de la vacuna a grupos de riesgo11.
En los estudiantes de la Facultad de Odontología de la Universidad de Antioquia se encontró que los conocimientos sobre VHB y bioseguridad son escasos dado que solo el 56,1% reconocen como principal vía de transmisión la parenteral; sobre la enfermedad infectocontagiosa que representa mayor riesgo para el personal de la salud, el 66,3% refirió la hepatitis B, el 17,6% el síndrome de inmunodeficiencia adquirida y el 17% la tuberculosis, mientras que los principales grupos de riesgo para la transmisión de enfermedades infecciosas incluyeron trabajador sexual (43,7%) y profesionales de urgencias hospitalarias (49%)5.
En un estudio similar realizado entre especialistas, se observó que el grado de conocimientos sobre el VHB fue correcto solo en el 61% de los participantes, las principales deficiencias se reportaron en las vías de transmisión, funciones del hígado y tipos de hepatitis15. Por su parte, en 256 alumnos de enfermería se reconocieron como principales vías de transmisión la parenteral y sexual, y cerca de la mitad no reconoce el riesgo ocupacional al VHB10. En Norte América se han referido elevados porcentajes de desconocimiento sobre hepatitis e infección por VHB, particularmente sobre la trasmisión, sus consecuencias como cáncer o muerte, y la importancia de la vacunación; dichos conocimientos presentaron asociación estadística con el grado escolar16-8.
En general, este y otros estudios evidencian el bajo grado de conocimientos sobre VHB en población general, y de manera preocupante, en estudiantes y profesionales de las áreas de la salud, indicando la necesidad de una intervención educativa, con la cual se podría disminuir la mortalidad del cáncer hepático asociado al VHB. Aunque se debe precisar que algunos estudios han reportado que en la medida que aumenta la experiencia en la práctica clínica se aumenta el grado de conocimientos19.
Por otra parte, en las actitudes, el actual estudio encontró una elevada proporción de estudiantes que presentan actitudes de rechazo frente a los infectados; dichas actitudes presentaron asociación con el estrato social, siendo los estudiantes de los estratos más bajos quienes presentaron los mejores resultados, lo que implica que en las clases sociales bajas podrían presentarse determinantes culturales que favorecen el soporte social. En estudiantes de odontología de la Universidad de Antioquia, se presentaron hallazgos similares en la medida que se determinó que este grupo presentaba conductas sociales y profesionales inadecuadas frente a la infección por el VHB, lo que implica la necesidad de aumentar el esfuerzo en la educación y motivación de los estudiantes para que cambien su actitud frente al control de los factores de riesgo de esta infección5. Aunado a ello, es relevante explicitar que la literatura sobre el abordaje de las actitudes ha sido exigua en el caso de la infección por el VHB, lo que evidencia la necesidad de aumentar el número de investigaciones que aborden este tópico.
Con respecto a las prácticas, los principales riesgos para contraer el VHB están relacionados con el componente sexual y algunas medidas de bioseguridad durante las prácticas hospitalarias, en este sentido se encontró que el 39,1% no tiene pareja sexual estable, el 30,2% solo usa el condón en algunas relaciones sexuales, el 34,9% no cumple todas las medidas de bioseguridad en la clínica y el 7,2% ha tenido algún accidente con objetos cortopunzantes en la clínica; dichos hallazgos
presentaron diferencias estadísticas según el ciclo de formación, la edad y el estrato social. En contraste, un estudio realizado en Perú, observó que en 198 estudiantes de medicina el 46,7% han tenido al menos una exposición a sangre o líquidos corporales durante sus prácticas académicas, el 29,4% de alto riesgo y ninguno de los accidentes fue estudiado adecuadamente12. Esto indica que la proporción de accidentes encontrados es menor a la registrada en la literatura de diferentes países, como España y Reino Unido, incluyendo estudiantes de otras carreras20,21. Herrera y Gómez informaron que el 31,4% de los estudiantes e internos en Pereira, Colombia tienen al menos un accidente durante seis meses de actividad académica, lo que es similar al estudio de Díaz y Cadena, realizado en Bucaramanga. Sin embargo, existen estudios que indican que esta incidencia puede ser mucho mayor, como el realizado entre médicos internos de Lima, Perú, entre quienes se informa que durante su año de práctica hasta un 95% tienen al menos un accidente biológico12,22-4.
En el estudio de Díaz, en estudiantes de medicina de una universidad colombiana, encontró que el 31,6% habían sufrido al menos un accidente biológico durante un semestre académico25 y según el estudio de Yuste, solo el 4,7% adoptaba medidas suficientes para prevenir la infección por VHB de origen ocupacional10.
En otros estudiantes de áreas de la salud de Medellín, se ha reportado que el 98% no han recibido transfusiones sanguíneas, 11% se habían administrado sustancias por vía parenteral, 68,1% llevan una vida sexual activa, 61,3% tienen una pareja sexual estable, 6,4% tienen varias parejas sexuales, y 41% a veces utiliza el condón, 28,9% siempre y 19,1% nunca lo utilizaz5. Los hallazgos de este y otros estudios muestran que el comportamiento de los estudiantes de las áreas de la salud posibilita su exposición a infección por VHB, afianzando la idea que este grupo es de alto riesgo.
Por otra parte, es importante aclarar que el modelo de investigación CAP permite abordar la información que una persona posee y que es necesaria para llevar a cabo una actividad, la predisposición a actuar y el cúmulo de comportamientos y acciones explícitas que las personas ejecutan en circunstancias específicas6. El análisis CAP es una herramienta útil tanto en la fase de diagnóstico como en la fase de planificación de proyectos, permite analizar comportamientos que se deberían saber, actitudes que se deberían pensar y prácticas que se deberían realizar; entender por qué la gente actúa de una forma concreta, evaluar la factibilidad del cambio de un comportamiento y mejorar el impacto de las acciones en salud6.
En relación con la población de estudio, cabe aclarar que los médicos presentan un rol determinante en la disminución de la infección por el VHB, dado que pueden ser personas clave para superar algunas barreras culturales de los programas de intervención y los conocimientos erróneos que muchas veces están asociados con baja tamización y aumento de la morbilidad y la mortalidad26.
Este proyecto es coherente con las estrategias de control de la hepatitis B y D en Colombia, y contribuye a los siguientes objetivos: educar en salud a la comunidad, con respecto a todas las formas de hepatitis viral, fomentando la responsabilidad de todos en la prevención y preservación tanto de la salud individual como comunitaria; y concienciar a los grupos poblacionales y laborales con mayor riesgo de enfermar, transmitir y morir a causa de las hepatitis B.
CONCLUSIONES
Se encontró que gran parte de los estudiantes no poseen adecuados conocimientos en relación al VHB, evidenciándose un incremento de los mismos correlacionado significativamente con el aumento de la edad, los semestres más avanzados y estrato social alto. Dado el elevado grado de CAP inadecuados reportado en esta y otras investigaciones, entre las principales conclusiones y recomendaciones se destacan: la necesidad de capacitación, como parte del currículo académico de todas las facultades de salud, para apropiar conocimientos sobre bioseguridad y hepatitis B, para asumir una actitud positiva frente a los riesgos de infección en su vida personal, controlar los actos inseguros y desarrollar una actitud de responsabilidad individual y grupal. La necesidad de una intervención pedagógica para mitigar la alta frecuencia de mitos y creencias erróneas asociados a la infección por VHB. El control efectivo de la infección por el VHB derivará en beneficios para el control de infecciones de transmisión sexual, y en general la salud sexual y reproductiva. Con base en los CAP presentados se pueden desarrollar intervenciones y estrategias costo-efectivas para reducir riesgos de infección por VHB en grupos de alto riesgo, y desarrollar investigaciones posteriores que permitan analizar las causas de los bajos puntajes CAP.
AGRADECIMIENTOS
A los participantes y al Comité Nacional de Desarrollo de la Investigación de la Universidad Cooperativa de Colombia, sede Medellín por la financiación.
CONFLITO DE INTERES
Los autores no declaran conflicto de intereses para la publicación de este manuscrito.
REFERENCIAS BIBLIOGRÁFICAS
1. Murray P, Rosenthal K, Pfaller M. Microbiología médica. 5ª ed. España: Elsevier; 2006. [ Links ]
2. Asociación Española de Pediatría [sede Web]. España: Asociación Española de Pediatría; 2012 [acceso 28 de mayo 2011]. Hepatitis B. [179 páginas] Disponible en: http://www.aeped.es/sites/default/files/documentos/enfermedades_prevenibles_vacunaciones.pdf. [ Links ]
3. Departamento Administrativo Distrital de Salud [sede Web]. Colombia: Instituto Nacional de Salud de Colombia; 2000 [Acceso 20 de junio 2011]. Protocolo de vigilancia de Hepatitis B. Disponible en: http://www.dadiscartagena.gov.co/web/images/docs/saludpublica/HepatitisB-f.pdf. [ Links ]
4. Zamani F, Fallahian F, Hashemi F, Shamsaei Z, Alavian S. Immune response to hepatitis B vaccine in health-care workers. Saudi J Kidney DisTranspl. 2011;22(1):179-84. [ Links ]
5. Hincapié A, Domínguez M, Garcés C. Conocimientos y presencia de hepatitis B en los estudiantes de pregrado de la Facultad de Odontología de la Universidad de Antioquia en el año 2003. Rev Fac Odontol Univ Antioq. 2004;15(2):28-38. [ Links ]
6. Cabrera G. Teorías y modelos en Salud Pública. Medellín: Universidad de Antioquia; 2007. [ Links ]
7. Abad J, Madrigal A, Mestre F. El SIDA como enfermedad social: análisis de su presencia e investigación. Cuad. trab. soc. 2005;18:33-55. [ Links ]
8. Vildózola H, Salinas J. Historia natural de la infección crónica por el virus hepatitis B. Rev. Gastroenterol. Perú. 2009;29(2):147-57. [ Links ]
9. Organización Panamericana de la Salud. Reunión regional sobre hepatitis virales. Bogotá, Colombia:OMS; Marzo 1 y 2 del 2012. [Acceso 20 de junio 2012]. Disponible en: http://www.paho.org/hq/index.php?option=com_docman&task=doc_. [ Links ]
10. Yuste H, Valcárcel Y, Gil A. Estado vacunal y conocimiento sobre la vacuna de la Hepatitis B en alumnos de Enfermería. NURE Inv. 2006;22:2-17. [ Links ]
11. Moscatelli R, Mazzulla A, Facchini C, Martínez L, Gutiérrez S, Montano A. Índice de cobertura de la vacuna antihepatitis B en una población de riesgo. Arch Pediatr Urug. 2006;77(1):18-23. [ Links ]
12. Díaz L, Cadena L. Riesgo de infección por hepatitis B entre estudiantes de medicina peruanos luego de exposición a sangre y líquidos corporales. Rev. Gastroenterol. Perú. 2003;23(2):107-10. [ Links ]
13. Marocho L, Vildózola H, Valencia E, Romero G, Huamán A, Solano L, et al. Efecto protector de una vacuna recombinante contra la hepatitis B siguiendo tres esquemas de inmunización. Lima - Perú 2004. An. Fac. med. 2006;67(1):5-10. [ Links ]
14. Osorio L, Patiño T, Tagle M, Huayanay L. Percepciones, conocimientos y actitudes sobre enfermedad hepática en adultos sanos que acuden a instituciones de salud de estrato A, B y C. Rev. Gastroenterol. Perú. 2010;30(2):126-32. [ Links ]
15. Sevillano-Suárez E, Espinosa-Desantillana I, Vargas-García H. Nivel de conocimiento sobre el manejo estomatológico de pacientes infectados con el virus de hepatitis en las clínicas del ISSSTEP. Puebla 2006. Rev ADM. 2008;65(4):206-11. [ Links ]
16. Taylor VM, Jackson JC, Pineda M, Pham P, Fischer M, Yasui Y. Hepatitis B knowledge among Vietnamese immigrants: implications for prevention of hepatocellular carcinoma. J Cancer Educ. 2000;15(1):51-5. [ Links ]
17. Taylor VM, Jackson JC, Chan N, Kuniyuki A, Yasui Y. Hepatitis B knowledge and practices among Cambodian American women in Seattle, Washington. J Community Health. 2002;27(3):151-63. [ Links ]
18. Thompson MJ, Taylor VM, Jackson JC, Yasui Y, Kuniyuki A, Tu SP, et al. Hepatitis B knowledge and practices among Chinese American women in Seattle, Washington. J Cancer Educ. 2002;17(4):222-6. [ Links ]
19. Cortijo J, Gómez M, Samalvides F. Cambios en conocimientos, actitudes y aptitudes sobre bioseguridad en estudiantes de los últimos años de Medicina. Rev Med Hered. 2010;21(1):27-31. [ Links ]
20. Rodríguez A, Novalbos JP, Costa MJ, Zafra JA. Accidentalidad e incidencia de accidentes biológicos de riesgo en estudiantes de enfermería. Med Clin (Barc). 2000;115(7):251-3. [ Links ]
21. Tilzey AJ, Banatvala JE. Protection from HIV on electives: questionnaire survey of UK medical schools. BMJ. 2002;325(7371):1010-1. [ Links ]
22. Herrera AC, Gómez R. Accidentes por riesgo biológico en los estudiantes de medicina y médicos internos de la Universidad Tecnológica de Pereira. Rev Med Risaralda. 2003;9(1):1-10. [ Links ]
23. Díaz L, Cadena L. Incidencia y circunstancias de los accidentes biológicos entre los estudiantes de medicina. MedUNAB. 2001;4:173-8. [ Links ]
24. Ramos SB, Castillo C, Reyes N, Villalba VA, Erquinigo N, Villanueva L. Accidentes laborales con exposición a fluidos corporales en internos de Medicina de Lima Metropolitana. CIMEL. 2001;6:26-30. [ Links ]
25. Díaz LA, Cadena LP. Los accidentes biológicos entre estudiantes de medicina: el caso de la UNAB. MedUNAB. 2001;4(12):161-6. [ Links ]
26. Hwang JP, Roundtree AK, Engebretson JC, Suarez-Almazor ME. Medical care of hepatitis B among Asian American populations: perspectives from three provider groups. J Gen Intern Med. 2010;25(3):220-7. [ Links ]
27. Martínez ME. Estrategias de control de las hepatitis B y Delta en Colombia. Acta Med Colomb. 1990;15(6):348-9. [ Links ]



















