1. Introducción
El metanol (CH3OH) es un alcohol utilizado en la fabricación de una amplia gama de derivados químicos como: metilaminas, formaldehido, ácido acético, metacrilato de metilo, entre otros; que se emplean para fabricar diversos productos como: espumas, resinas, adhesivos, recubrimientos, plásticos, textiles, pinturas, solventes, removedores de pinturas, productos de silicona, explosivos, herbicidas y pesticidas [1]. El metanol también se aprovecha como sustituto de los compuestos clorofluorocarbonado en los aerosoles, como limpiador de parabrisas para automóviles y como anticongelante de tuberías [2]. Además, en el sector de los carburantes, el metanol es un componente en la producción de un aditivo para mejorar la combustión de combustibles sin plomo y se usa en la elaboración de biocombustibles, como el biodiesel [3]. Las diferentes aplicaciones mencionadas de metanol demuestran que en las últimas décadas se incrementa su uso y que el porcentaje de eficiencia de los diferentes procesos de transformación no son del 100 %, lo que ocasiona pérdidas de metanol o sus derivados como trazas en el agua residual industrial, lo cual representa un impacto ambiental, puesto que el metanol es considerado un desecho peligroso y no debe descargarse nunca directamente en alcantarillas o aguas superficiales [4], [5]. Sin embargo, en Colombia no se exige en la normatividad [6]-[8] su medición como control en los vertimientos para ser introducidos en las aguas superficiales o subterráneas, interiores o marinas, confirmando la importancia de esta investigación preliminar al evaluar este tipo de compuestos contribuyendo a un conocimiento más definido sobre la presencia del metanol en residuos líquidos para ejercer control o establecer si su presencia en las aguas residuales genera algún tipo de contaminación con consecuencias a las poblaciones y el medio ambiente, porque de acuerdo al tercer informe bienal de Cambio Climático de Colombia, un 8 % de las emisiones de CO2 proviene de la disposición de los residuos sólidos y líquidos [9]-[11].
Debido a los diferentes usos que se le ha dado al metanol en los últimos años y de la poca información sobre su tratamiento al ser vertido a corrientes de agua superficial, lleva a pensar que muchas de las industrias no cuentan con sistemas de tratamiento de aguas para este compuesto por no ser exigido, lo que hace que el riesgo de ser vertido en los cuerpos de agua aumente; no obstante, en Colombia se hace un seguimiento a los STAR (Sistemas de Tratamiento de Aguas Residuales), pero la información reportada es general de si existe o no un tratamiento a este tipo de vertimientos [12], donde solo el 33 % (336) de 1008 municipios informan sobre la Planta de Tratamiento de Aguas Residuales (PTAR) y de estos solo el 23 % (84) tienen PTAR para mitigar la influencia de los vertimientos residuales en el ambiente, pero no hay datos que referencien la evaluación de la presencia de metanol [13].
Los problemas ambientales que el metanol puede causar por ser un compuesto toxico, fácilmente miscible en el agua, que a concentraciones elevadas llegue a afectar los ecosistemas acuáticos, sin ser ajeno este problema al suelo y al aire, causando muerte a: microorganismos, plantas, animales y seres humanos que allí habitan o que de allí se alimentan [5]:. Adicionalmente, la US Environmental Protection Agency (EPA) determinó que a concentraciones mayores a 10.000 mg/L, el metanol es tóxico para organismos acuáticos como peces, dafnias y algas. Al ingresar el metanol en ecosistemas acuáticos se afecta significativamente la vida de diferentes organismos y surgen problemas asociados con hiperactividad y convulsión, además de sofocación, secreción mucosa, afectaciones tanto branquiales como a su sistema nervioso central, aumento de la cantidad de dióxido de carbono en la sangre y reducción de la fecundidad [14]. En los seres humanos las concentraciones elevadas el metanol puede causar dolor de cabeza, mareo, nauseas, vómitos y muerte. Una exposición aguda puede causar ceguera o perdida de la visión, ya que puede dañar seriamente el nervio óptico, además una exposición crónica puede causar daños al hígado o de cirrosis [4].
En la actualidad se conocen diferentes tratamientos de las aguas residuales contaminadas con metanol, que buscan disminuir su concentración, como el carbón activado, la oxidación avanzada, ciclos biológicos, con membranas y biológico con filtros activados [5], [15]-[21]. Los porcentajes de eficiencia de remoción de metanol en sistema aerobio ha sido reportado en un 95 % usando microorganismos metilotróficos encapsulados en polímeros (bio-filtros) [22] y en sistemas anaerobios el uso de metanol; como nutriente para aumentar la eficiencia de reducción de elementos químicos orgánicos ha sido reportado en un 65 % [21], pero no han sido dados a conocer porcentajes de eficiencia referenciada a la eliminación de metanol en lodos activados por oxidación como el presentado en este artículo. Los mecanismos de remoción biológica se basan en la oxidación del metanol [22] lo cual se evidencia en un sistema de lodos activados aerobio o anaerobicamente a través de la metanogénesis [23]. El uso de estas metodologías busca reducir el impacto ambiental de la contaminación presente en aguas residuales.
Lo anterior plantea un claro panorama frente a los riesgos que representa el metanol en términos de impactos ambientales, pero pocos son los datos que se encuentran sobre el uso de sistemas convencionales como los lodos activados, a partir de desechos industriales, pues es una alternativa biotecnológica en el tratamiento de aguas contaminadas con compuestos complejos como el metanol [24]. Los lodos activados son lodos sedimentados de las aguas residuales crudas previamente agitados en la presencia de abundante oxígeno atmosférico [25]. Un sistema de lodos activados emplea una suspensión de microorganismos, como bacterias, hongos, protozoos y rotífero, los cuales se encargan de disolver compuestos carbonados, más comúnmente conocido como materia orgánica, convirtiéndola en productos más simples y adicionalmente biomasa [24]. Por lo tanto, se propuso como objetivo evaluar los parámetros fisicoquímicos en un reactor discontinuo de lodos activados a escala de laboratorio para el tratamiento de un agua de origen industrial contaminada con metanol, con el propósito de establecer si hay diferencias en los parámetros de DBO, DQO y SS durante el tratamiento del compuesto químico.
2. Materiales y métodos
2.1. Lodo activado
Este material para la experimentación fue obtenido del zanjón de oxidación de la planta de tratamiento de aguas residuales de la empresa Alpina Productos Alimenticios S.A. en su sede de Facatativá (Departamento de Cundinamarca). Se caracterizó los lodos y se estableció que era de color café claro, con olor similar al de tierra húmeda, con pH de 7, con una demanda química de oxígeno (DQO) de 3.680 mg/L y sólidos suspendidos de 5.403,3 mg/L. Se decidió trabajar con este tipo de lodo por tener una alta cantidad de nutrientes y microorganismos metilotróficos y ácidos lácticos, ya que en dicha empresa se producen alimentos que inducen en los microorganismos a la formación de metanol como compuesto organoléptico y su presencia en los lodos les permite a otros organismos su adaptación biológica.
2.2. Sistemas de tratamiento discontinuo
A escala de laboratorio se diseñaron y se construyeron en material acrílico de 0.4mm de espesor cinco sistemas o reactores de tratamiento discontinuo (entrada, proceso, salida) de lodos activados cada uno con dos compartimientos: uno para mezcla y otro para la sedimentación y se denominaron así : sistema como blanco o sistema 1 que contenía solamente agua y metanol a 11.000 ppm; sistema como control o sistema 2 que contenía solo los lodos recolectados; sistema con lodos y concentración de metanol de 5.000 ppm o sistema 3; sistema con lodos y concentración de metanol de 11.000 ppm o sistema 4; y sistema con lodos y concentración de metanol de 16.000 ppm o sistema 5. Las concentraciones de metanol de los sistemas 3, 4 y 5 representaban valores bajo, medio y alto con respecto al valor de referencia definido por la EPA [4], es decir, a concentraciones mayores de 10.000 mg/L de metanol es tóxico para organismos acuáticos y a concentraciones mayores a 80mg/100mL en la sangre es perjudicial para seres humanos.
La alimentación de los lodos se realizó por gravedad teniendo presente la relación DQO:N:P = 100:5:1 para garantizar la vida microbiana y depuración del agua con metanol, la aireación se garantizó con piedras difusoras de aire conectadas a un compresor con potencia de 200 psi y se regulo la entrada a 17 psi con un caudal de aire de 1,73x10-6 m3/s (6,23 L/h) y el tiempo de retención de los tratamientos fue de 48 horas, un volumen de 12.5 L de lodos activados y se trabajó el 80 % del mismo (Figura 1 y tablas II y tablas III).

Figura 1 Descripción de los sistemas del montaje experimental para la evaluación de los factores fisicoquímicos en la remoción de metanol en agua
Una vez definidas las particularidades de cada sistema de tratamiento, se procedió a su implementación y evaluación mediante el desarrollo de tres fases que se describen a continuación.
2.3. Fase I: diseño e instalación del montaje experimental
Los cinco reactores se diseñaron con dos compartimientos, uno de mezcla y otro para la sedimentación, con las medidas mostradas en la Figura 1 y se construyeron en material acrílico de 0,04 cm de calibre. El compartimiento de mezcla contó con un volumen útil de 0,010 m3 (10 L) y el compartimiento sedimentador fue diseñado con un volumen útil de 0,0025 m3 (2,5 L), siguiendo el principio del cono de Imhoff [24], [26] con las siguientes dimensiones: ancho/largo/alto 20cm/37,5cm/30cm (figura 2).

Figura 2 Reactores discontinuos para tratar lodos activados a escala de laboratorio. (a) Medidas del biorreactor aerobio y (b) montaje experimental del reactor con lodos activados. Fecha de captura: 07/11/2013. Formato de archivo: JPG. Cámara: NIKON D90.
Para el suministro de los nutrientes (urea y ácido fosfórico) a los lodos activados en relación de 100:5:1, se realizó diariamente según la concentración de DQO de trabajo, y por gravedad se suministraron los nutrientes desde tanques de alimentación 0,030 m3 (30 L) aireados para evitar su sedimentación. A su salida se conectó una válvula y manguera plástica de 8 mm de diámetro nominal, cuya función principal era la regulación del caudal a tratar dentro de los reactores. Además, en los tanques de alimentación se adicionaron agua de acueducto y metanol industrial en las concentraciones fijadas para cada sistema de tratamiento.
Todas las partes del proceso (alimentación, tratamiento, y recolección del agua tratada) fueron ubicadas de forma escalonada en un soporte metálico de 1,55 m de altura, con lo cual se buscó hacer uso de la fuerza de gravedad y aprovechar la caída en cada uno de los puntos de tratamiento, para garantizar un flujo constante tanto del agua a tratar como del agua tratada (Figura 3).

Figura 3 Distribución escalonada de los equipos implementados a escala de laboratorio para cada sistema de tratamiento de lodos activados con el tanque de alimentación en la parte superior, seguido del reactor de lodos en la parte media y finalmente el tanque de salida en la parte inferior y la distribución del aire desde el compresor al tanque de alimentación y al reactor
2.4. Fase II: rutina operativa
Luego del montaje de los cinco sistemas de tratamientos, se llevaron a cabo los controles presentados en la Tabla I a las 0, 24 y 48 h con tomas de muestras para los análisis fisicoquímicos con sus respectivos métodos por cuadruplicado.
Cada uno de los parámetros medidos se realizó bajo el mismo protocolo establecido todos los días y los datos eran consignados en una tabla diseñada para la tabulación de los datos por sistema de tratamiento. Además, cada sistema de tratamiento fue alimentado a diario, asegurándose siempre un pH neutro a los nutrientes almacenado en los tanques de alimentación, los cuales conducían posteriormente al suministro de los mismos a cada uno de los reactores. La determinación de DQO y contenido de metanol se trabajó con las normas del Instituto Colombiano de Normas Técnicas y Certificación (ICONTEC), pues es el organismo nacional encargado de la normalización de métodos.
2.5. Fase III: cálculos fisicoquímicos
Con los resultados de los análisis fisicoquímicos de la Fase II, fue hallada la pérdida de metanol de cada sistema de tratamiento en cada repetición y se obtuvo un valor promedio para determinar si el porcentaje de remoción de metanol fue bajo o alto y, de esta manera, evaluar la eficiencia de los lodos activados en cada sistema de tratamiento.
2.6. Evaluación estadística
Como modelo estadístico se aplicó un análisis de varianza (ANOVA) mixto univariado para un diseño experimental de medidas repetidas en el programa SAS versión 9.1.3 ( p = 0, 05). Este modelo se aplicó a los resultados de demanda química de oxígeno, de concentración de metanol y de sólidos solubles totales, para observar el comportamiento en general entre los sistemas de tratamiento, el tiempo y la relación tiempo-sistema. Los datos se tomaron por cuadriplicado y se realizó tres veces este procedimiento en cada sistema.
En la Tabla II se muestran las cantidades con las que fueron operados cada tanque de alimentación durante la etapa experimental para los cinco sistemas de tratamiento y en la Tabla III los seis parámetros que se tuvieron en cuenta para el diseño del reactor con lodos activados.
3. Resultados y discusión
3.1. Oxígeno disuelto, temperatura y pH
El parámetro fisicoquímico de oxígeno disuelto fue estable a través del tiempo, ya que su valor promedio siempre estuvo por encima de 3mg/ L para todos los sistemas de tratamiento (figura 4), con lo cual se garantizó que cada uno de ellos contara con la cantidad de oxígeno suficiente para que se llevaran a cabo los procesos de biodegradación del metanol (sistemas 2, 3, 4 y 5); sin ser la excepción el sistema 1, el cual contó con aireación con el fin de garantizar las mismas condiciones para todos los tanques.

Figura 4 Comportamiento del oxígeno disuelto en los cinco sistemas de tratamiento de lodos activos para biodegradación del metanol.
En cuanto a los valores de temperatura oscilaron en un rango bastante bajo durante la etapa experimental (16-17°C) en cada uno de los sistemas. El parámetro de pH no presentó mucha variación durante la etapa experimental en ninguno de los sistemas durante las repeticiones (6-7,5); este hecho garantizó a los diferentes reactores condiciones de pH neutro o de valores cercanos.
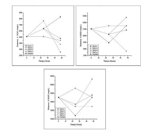
3.2. Solidos solubles totales, demanda química de oxígeno y contenido de metanol
El método empleado para la medición de metanol determinó una pérdida promedio en el sistema 1 del 11,3 %, valor que corresponde a la volatilización de este compuesto debido a que no contaba con sólidos solubles. El comportamiento de los datos arrojados por el sistema 2, que no contaba con ingreso de metanol, mostro un comportamiento estable en la cantidad de sólidos suspendidos totales en todas las repeticiones, hecho que no es ajeno a los resultados arrojados por la demanda química de oxígeno, manifestando buenas condiciones del lodo activado para ser usado como tratamiento biológico.
Los datos arrojados para el sistema 3, presentaron que el comportamiento de la demanda química de oxígeno no fue homogéneo, se observó una clara tendencia a través del tiempo a aumentar por encima del valor inicial (5.120 ppm), debido a los problemas de sedimentabilidad del lodo en el tanque sedimentador, dejando partículas del lodo en suspensión, las cuales salieron del sistema ocasionando que la cantidad de materia orgánica aumentara la demanda química de oxígeno y disminuyera la cantidad de sólidos. Los datos para la medición del metanol presentaron una clara disminución de la concentración, con un promedio de 11,7 % de pérdidas (figura 5 y figura 6).

Figura 5 Comportamiento decreciente de los promedios de sólidos solubles totales en el tiempo para los reactores que manejaban lodos activados

Figura 6 Comportamientos de los promedios de demanda química de oxígeno variable y contenido de metanol decreciente en el tiempo para los reactores que manejaban lodos activados
En el sistema 4, fue evidente que los valores arrojados por cada una de las réplicas para la demanda química de oxígeno no tienen un comportamiento estable, debido a que los valores aumentaban y disminuían. Por otra parte, la medición de metanol muestra un promedio de pérdida del 12,9 % mientras que los sólidos suspendidos disminuyeron significativamente en todas las repeticiones (Figuras 5 y (6).
El sistema 5 presento disminución en cuanto al parámetro de la demanda química de oxígeno hasta la mitad de la experimentación y aumentó en la otra mitad, mientras que la concentración de metanol en el sistema indico un promedio de pérdidas del 5,3 %. Caso similar sucedió con la cantidad de sólidos en el sistema los cuales también demostraron una clara tendencia a la baja para todas las repeticiones (figura 5 y figura 6).
Por consiguiente, la pérdida promedio de metanol obtenida para la experimentación en los sistemas de tratamiento 3, 4 y 5 por lodos activos, fue del 10,3 % dejando un contenido de metanol remanente de 89,7 %. El resultado anterior demostró que el tratamiento de lodos activos para la biodegradación de metanol en aguas residuales industriales es posible puesto que se han realizado otros estudios al tratar aguas residuales con un contenido de metanol menor del 10 % y en 24 h se logra disminuir el contenido de metanol [30]. Además, el control del metanol es importante pues estudios demuestran diversas intoxicaciones por este componente [31].
3.3. Análisis estadístico
Se analizaron solo tres parámetros (DQO, SST y concentración de metanol) a través del modelo estadístico y en todos los análisis de varianza el p-valor fue menor que 0,05, rechazándose todas las hipótesis nulas propuestas en la investigación y permite definir que: a) Para el parámetro DQO: las curvas de decrecimiento de DQO para los cinco sistemas no son paralelas, que si hay decrecimiento de DQO a lo largo de los tres tiempos promedio de medición de los cutriplicados y que hay diferencia entre los cinco sistemas; b) Para el parámetro SST: las curvas de decrecimiento de SST para los cinco sistemas no son paralelas, que si hay decrecimiento de SST a lo largo de los tres tiempos de medición promedio de medición de los cutriplicados y que hay diferencia entre los cinco sistemas para el parámetro concentración de metanol (CM): las curvas de decrecimiento de la CM para los cinco sistemas no son paralelas, que si hay decrecimiento de la CM a lo largo de los tres tiempos de medición promedio de medición de los cutriplicados y que hay diferencia entre los cinco sistemas.
4. Conclusiones
Al analizar el comportamiento del metanol en el sistema 1 se evidencio pérdidas significativas de metanol (11,2 %), lo que confirmo su propiedad de volatilización [5]. Por su parte el sistema 2 mantuvo un comportamiento estable en cuanto a la cantidad de sólidos suspendidos, lo cual significo que las pérdidas del mismo fueron pocas con respecto a los otros sistemas, demostrando que el lodo cumplía con los requisitos óptimos de alimentación, pH y oxigenación para tener un buen funcionamiento como tratamiento biológico de aguas residuales.
En la etapa operativa de los sistemas de tratamiento 3, 4 y 5 presentaron variaciones en diferentes análisis, entre ellos la demanda química de oxígeno, la cual no tuvo un comportamiento esperado debido al bajo índice de sedimentabilidad del lodo, ya que no fue posible observar una separación en dos fases (agua clarificada y lodo sedimentado), sino que por el contrario se evidenciaron partículas de lodo que al no sedimentar cedieron a la hidráulica del sistema y salieron del medio junto con el agua tratada, lo cual ocasiono que la cantidad de sólidos suspendidos totales disminuyera en cada uno de los sistemas, y hubiera un aumento en la demanda química de oxígeno.
Debido a la poca información existente sobre el comportamiento de los lodos activados como sistema biológico frente a un sustrato contaminante como el metanol, los resultados de esta investigación son significativos, al ser de manera parcial los primeros en pretender conocer la degradación de este compuesto, teniendo en cuenta algunos parámetros fisicoquímicos y abre el camino para estudiar como el metanol influye en la cinética de reacción de la biomasa presente en los lodos para lograr procesos de remoción más eficiente, evaluar el efecto de diferentes tiempos de estabilización de los Lodos, la evaluación de otros sistemas como los anaeróbicos y en posteriores trabajos se pretende determinar su viabilidad técnica y económica, después de establecer su eficiencia química y biológica en la remoción de metanol a partir de aguas residuales industriales.
Con los datos obtenidos se podrán generar nuevas propuestas de biorreactores acoplados a este tipo de compuestos químicos para mejorar el nivel de eficiencia en la remoción de metanol y con los datos que se obtengan de la segunda fase del trabajo donde se busca establecer el comportamiento biológico y cinético de los lodos activos, ya que el objetivo de este primer trabajo era establecer si el metanol podía ser oxidado y por lo tanto existiera la posibilidad de ser tratado por medio de este tipo de tecnología biotecnológica ampliamente trabajada para el tratamiento de vertimientos industriales.
















