Serviços Personalizados
Journal
Artigo
Indicadores
-
Citado por SciELO -
Acessos
Links relacionados
-
Citado por Google -
Similares em
SciELO -
Similares em Google
Compartilhar
Ingeniería y Desarrollo
versão impressa ISSN 0122-3461
Ing. Desarro. vol.32 no.2 Barranquilla jul./dez. 2014
Parámetros hidrológicos y tensores en la dinámica fluvial: estudio en cuencas del caribe colombiano
Hydrologic parameters and tensors in the river dynamics: study in colombian caribbean basin
Alvaro A. López Ramos*
alvaro.lopezr@upb.edu.co
Ingeniero Civil y magíster en Recursos Hídricos. Docente Facultad de Ingeniería Civil, Universidad Pontificia Bolivariana, Seccional Montería. (Colombia).
Luisa E. Martínez Acosta**
ingluisamartinez@gmail.com
**Ingeniera Civil y magíster en Ingeniería Civil con énfasis en Ambiental. Docente Facultad de Ingeniería Civil, Universidad Pontificia Bolivariana, Seccional Montería. (Colombia).
Jhon J. Feria Díaz***
Jhon.feria@gmail.com
***Ingeniero Sanitario y magíster en Ciencias Ambientales. Docente Facultad de Ingeniería Sanitaria y Ambiental. Coordinador del Grupo de Investigaciones de Calidad de Aguas y Modelación Hídrica y Ambiental (CAMHA), Universidad Pontificia Bolivariana, Seccional Montería. (Colombia).
Universidad Pontificia Bolivariana, Seccional Montería (Colombia)
Correspondencia: Jhon Jairo Feria Díaz. Universidad Pontificia Bolivariana, Seccional Montería. Carrera 7w n° 26a -13, barrio Las Viñas, Montería (Córdoba). Cel.: 3008102150.
Resumen
En este artículo se muestran los resultados del análisis hidrológico de las cuencas hidrográficas de los ríos Sinú, Aracataca y Fundación. Se evaluaron las características y la variabilidad de los aportes fluviales (caudales y transporte de sedimentos) y las tendencias históricas para identificar patrones de escala regional en la dinámica fluvial.
Se tomaron registros de caudales y transporte de sedimentos del Instituto de Estudios Hidrológicos Ambientales (IDEAM) para realizar un análisis estadístico de las series de tiempo de transporte de sedimentos y caudales. Se identificó una alta dependencia del transporte de sedimento en función del caudal de las corrientes de las cuencas estudiadas, mientras que las curvas de doble masa permitieron identificar la influencia de los factores externos en dicho transporte. La dinámica fluvial de las cuencas de Aracataca y Fundación mostró eventos máximos con períodos de retorno de 2 y 10 años, mientras que la dinámica fluvial del río Sinú se mantuvo regular, debido a la influencia del embalse de URRá. Las cuencas estuvieron sometidas a condiciones climatológicas semejantes, de allí el o comportamiento registrado.
Palabras clave: erosión, hidrología, transporte de sedimentos.
Abstract
This article shows the results of the hydrologic analysis of watersheds of rivers Sinú, Aracataca, and Foundation. The characteristics and variability of river inputs (flow and sediment transport) and historical trends to identify regional patterns in fluvial dynamics were evaluated. Records of flow and sediment transport were taken of the Institute Hydrologic and Studies Environmental (IDEAM), to perform a statistical analysis of the time series of sediment transport and flow. Sediment transport and stream flow, were show highly dependent, while the dual-mass curves helped to identify the influence of external factors on sediment transport. The dynamic of the basins Fundación and Aracataca, showed maximum events with return periods of 2 and 10 years, while the Sinú River fluvial dynamics was maintained regular due to the influence URRá dam. The basins were subject to weather conditions equal, which explains the behavior recorded.
Keywords: erosion, hydrology, sediment transport.
1. INTRODUCCIÓN
Los estudios de variabilidad estacional en escala de producción y transporte de sedimentos en una cuenca hidrográfica permiten inferir con gran certeza el comportamiento de su dinámica fluvial. Esta variabilidad puede ser explicada por diferentes factores naturales: hidroclimatológicos, topográficos, geológicos, entre otros. Pero de forma complementaria, la intervención an-trópica de los recursos naturales genera una serie de tensores (por ejemplo: cambios en los usos del suelo, construcción de embalses, distritos de riego, actividades agropecuarias, deforestación, etc.) que afectan directamente la producción de sedimentos y, consecuentemente, alteran la dinámica fluvial y la planificación del recurso hídrico [1].
La producción de sedimentos es un indicador de la cantidad de material ero-dado mecánicamente sobre un área, en un período de tiempo y promediado para una zona específica [2]. Puede ser calculado estableciendo la relación entre la carga sólida transportada por un río en un sitio de referencia y el área de drenaje aguas arriba de este lugar [3].
Los efectos de la conversión de bosques sobre el transporte de sedimentos se reflejan con mayor eficacia en pequeñas cuencas, puesto que la proporción de áreas intervenidas con respecto al área total de drenaje es alta y existe una menor probabilidad de que los sedimentos sean almacenados dentro de la cuenca [3]. A partir de datos recolectados aproximadamente en 3700 ríos, Dedkov y Mozzherin [4] estiman que la intervención antró-pica genera en promedio un incremento en la carga de sedimentos de 3.5 veces en los grandes ríos (áreas >5000 km2) y de 8 veces en pequeños ríos (áreas < 5000 km2).
Estudios regionales han registrado que la conversión de bosques en áreas agrícolas y ganaderas genera incrementos en la producción de sedimentos [4], [5], [6], [7]. En Asia se han registrado aumentos superiores al 75 % en el transporte de sedimentos como resultado de la intensificación de actividades agrícolas y la deforestación. Estos incrementos pueden alcanzar un orden de magnitud considerable, dependiendo de las características litológicas y climáticas de las áreas intervenidas [8].
Respecto al enorme y dramático impacto que han tenido los fenómenos hidrológicos en Colombia a lo largo de los últimos años se ha estudiado de manera general el efecto de los cambios y fenómenos climatológicos sobre la respuesta hidrológica de las principales cuencas hidrográficas [9], se ha analizado la dinámica hidrológica y fluvial de los mayores ríos del país [10], {11], [12], [13], [14] y se ha evaluado el control que ejercen algunos parámetros físicos sobre la variabilidad en la descarga fluvial de agua y sedimentos del río Magdalena, el más importante de Colombia [15]. De igual forma, se han establecido relaciones cualitativas y cuantitativas entre las intervenciones antrópicas realizadas a escala de cuenca y las variaciones en los aportes fluviales, particularmente en cuencas como las de los ríos Sinú, Magdalena y Mira [16].
Sin embargo, a pesar de estos significativos avances, hasta ahora se conoce muy poco sobre la variabilidad y tendencias de la descarga fluvial de ríos en cuencas pequeñas (áreas menores a 5000 km2), los parámetros y tensores que a escala local y regional inducen esa variabilidad y su relación con la hidroclimatología y dinámica fluvial de cuencas mayores. Incluso, en algunos casos, como el río Fundación, aún no se han evaluado sus características hidrológicas ni se han determinado sus parámetros morfométricos principales (área, perímetro, ancho de la cuenca, índice de relieve, coeficiente de relieve, etc.) o documentado los principales procesos de intervención antrópica.
La ausencia de esta información impide implementar de manera efectiva planes de manejo, intervención o el ordenamiento de cuencas hidrográficas, diseñar medidas eficaces para prevenir o mitigar los efectos adversos de fenómenos hidrológicos, incluso evaluar el grado de afectación generado por intervenciones antrópicas severas.
En esta investigación se hizo un análisis hidrológico a las cuencas hidrográficas de los ríos Sinú, Aracataca y Fundación, en la región Caribe colombiana, en el que se evaluaron las características y variabilidad de sus aportes fluviales (caudales y transporte de sedimentos), tendencias históricas y dinámica estacional, de manera que permitieran identificar patrones y tendencias a escala regional y definir las relaciones entre los parámetros y factores antrópicos que controlan la dinámica fluvial de estas cuencas.
2. MATERIALES Y MéTODOS Descripción de las cuencas
La cuenca del río Sinú se localiza en los departamentos de Córdoba, Sucre y Antioquia, en porcentaje de áreas de 93, 6 y 1 %, respectivamente, y atraviesa los municipios de Ituango, Tierralta, Valencia, Montería, Cereté, San Pelayo, Cotorra, Lorica y San Bernardo del Viento [17]. El río Aracataca se encuentra localizado en la vertiente occidental de la Sierra Nevada de Santa Marta, y atraviesa los municipios de Aracataca, El Retén y Pueblo Viejo, en el departamento de Magdalena. El río Fundación, al igual que el Aracataca, se localiza en la vertiente occidental de la Sierra Nevada de Santa Marta, en la jurisdicción de los municipios de Fundación, El Retén y San Sebastián del Bongo, en el departamento del Magdalena. En la tabla 1 se presentan las coordenadas geográficas de ubicación de las cuencas[18].

Los parámetros morfométricos de cada una de las cuencas, tales como el área, longitud del río principal y longitud de la cuenca (medida en la dirección del cauce), se relacionan en la tabla 2.
Los parámetros topográficos estudiados se muestran en la tabla 3, el cociente de relieve, calculado como la fracción entre la altura máxima (H .) y la longitud de la cuenca (Lb); y la pendiente del río, calculada como la división realizada entre la (H ) y longitud del río (Lr).
Con la información recopilada de planchas del Instituto Geográfico Agustín Codazzi (IGAC) en escala 1:100.000, de las corporaciones autónomas ambientales en jurisdicción de las cuencas estudiadas, la adquisición de la información de registros de caudal y transporte de sedimentos en el IDEAM y a partir de datos tomados del Sistema de Información Ambiental de Colombia (SIAC) fue posible obtener lo siguiente:
Caracterización fisiográfica
Los datos morfométricos y topográficos fueron calculados a partir de cartografía obtenida en el IGAC en escalas 1:25.000 y 1:100.000. Este procedimiento para la caracterización de cuencas hidrográficas ha sido utilizado con óptimos resultados en estudios similares [19], [20], [21], [22]. También se utilizó la información morfométrica, topográfica y climática obtenida en la cuenca del Magdalena [23] y en la del Sinú [24] (ver tabla 4).
Análisis de la información hidrológica: se clasificaron y organizaron los datos de caudal y transporte de sedimentos obtenidos de los registros históricos del IDEAM (información multitemporal de la estación hidrológica cercana a la desembocadura en el mar Caribe) para establecer la calidad de los datos, el manejo de la información faltante y la pertinencia de la aplicación de algunos análisis estadísticos posteriores. A cada una de las series se le aplicó pruebas de continuidad y homogeneidad [5].
Análisis de regresión simple y múltiple: se utilizó un modelo simple de regresión lineal (mostrado en la ecuación 1), en el que x es el valor anual del caudal y y el valor anual del transporte de sedimento, a y permiten que la representación sea lo mejor posible.

Dibujando los datos en una gráfica, a partir de la ecuación anterior, se cometerá un error ei en la predicción para un valor x de la variable independiente, cuyo valor es

Donde y es el valor de y estimado por la ecuación. 1. Los valores de los coeficientes a y ¡ se definen a través de ecuaciones normales. Su solución, en términos de y, a y ¡, es

Siempre que se realice un reajuste por regresión conviene determinar qué tan bien se ajusta la recta a los puntos medidos, o dicho conotras palabras, qué tanta dispersión existe entre los puntos en torno a la recta. Para ello se calcula un coeficiente de correlación p como

Donde a = desviación estándar de x; a = desviación estándar de y.
El coeficiente de correlación p varía entre -1 y +1. Cuando su valor se acerca a -1 (en el caso ¡<0) o a +1 (cuando ¡<0), se dice que hay una buena dependencia o correlación lineal entre y . Cuando tiende a 0, entonces no es aceptable la corrección. En general, un coeficiente de correlación de 0.8 o mayor es aceptable, aunque esto no debe tomarse dogmáticamente.
Para el análisis de regresión múltiple se seleccionó la metodología de regresión por etapas. Este procedimiento no elige automáticamente los parámetros con mayores coeficientes de correlación, puesto que estos pueden explicar la misma proporción de la varianza. Entonces es probable que parámetros con bajos coeficientes de correlación se incluyan en el modelo final, ya que explican una parte de la varianza que no ha sido descrita por ningún otro parámetro[25].
Análisis del efecto de eventos máximos en las tendencias históricas: Se realizó la normalización de los valores mensuales de caudal y transporte de sedimentos teniendo como referencia el promedio interanual, por lo que el dato normalizado representa la distancia del valor original con respecto al promedio, en términos de desviaciones estándar.
Análisis de doble-masa. Series anuales acumuladas de caudal y transporte de sedimento: Se utilizó con el fin de verificar la homogeneidad de los datos en una estación pluviométrica, para establecer si hubo alguna anormalidad en la misma durante algún período. En esta investigación no se utilizaron datos pluviométricos sino series de caudales versus transportes de sedimentos para comprobar si hubo anormalidad en las cuencas analizadas por efecto de la intervención antrópica. A partir de datos anuales acumulados de caudal y transporte de sedimentos se construyó una curva de doble masa [26]. Asumiendo que la relación entre el transporte anual de sedimentos y el caudal anual es una aproximación lineal, no deben presentarse cambios en la pendiente de la curva de doble - masa, a menos que estos sean inducidos por actividades antrópicas [27].
La información hidrológica fue organizada teniendo en cuenta el número de cuencas hidrográficas y el número de series hidrológicas por cuenca; de este último se tienen 21 series, pero se seleccionaron y analizaron 6 de ellas, tal como se muestra en la tabla 5.
En la tabla 6 se indica el número de series de caudal medio, caudal mínimo, caudal máximo, transporte y concentración de sedimentos utilizadas en este estudio.
Finalmente, se organizó la base de datos de la información hidrológica para cada una de las cuencas estudiadas y se realizaron los cálculos estadísticos básicos para cada uno de los parámetros propuestos (Q, Qmax, Qmin y Qs), estimándose promedio, desviación estándar y valores máximos y mínimos, registrados en las tablas 7 y 8.
3. RESULTADOS Y DISCUSIÓN
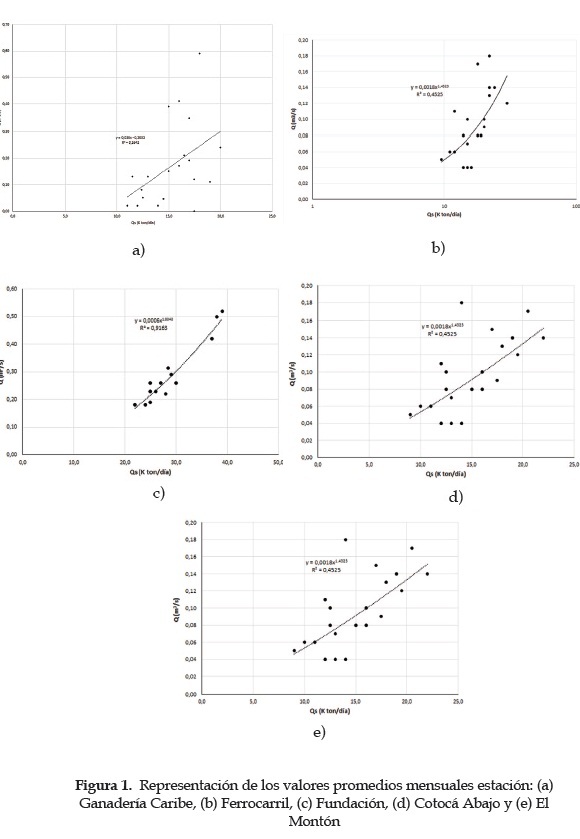
Para cada una de las estaciones de las cuencas estudiadas se obtuvieron los coeficientes de determinación indicados en la tabla 9, donde los valores obtenidos por debajo del 90 % de dependencia entre las variables permiten inferir un desequilibrio en la dinámica fluvial de la cuenca (ver figura 1). Para los valores superiores al 90 %, el modelo explica una dependencia del transporte de sedimentos con relación al caudal y puede predecirse para las cuencas, dependiendo del caudal del río.
En la figura 1 se muestra el comportamiento del caudal con relación al transporte de sedimentos de las estaciones estudiadas.
En la tabla 9 se observan las correlaciones presentadas para cada una de las estaciones; donde la estación Cotocá Abajo muestra un coeficiente de correlación bajo, debido a que los datos fueron tomados en época de sequía y los grandes aportes de sedimentos se presentan en épocas de lluvias. Por otra parte, en la zona de estudio, el período de lluvias inicia en abril con un fuerte proceso de infiltración, cuando la escorrentía presenta caudales bajos con poco arrastre de sedimentos.
En las estaciones Ganadería Caribe y Puente Ferrocarril, de los ríos Fundación y Aracataca, respectivamente, localizadas en la zona occidental de la Sierra Nevada de Santa Marta, la cobertura vegetal es espesa y, por lo tanto, la mayor parte de la precipitación no cae directamente sobre el suelo, evitando así la erosión; por tanto, en estas estaciones los sedimentos son bajos y su correlación con el caudal también es bajo. La erosión del suelo y la producción de sedimentos en las cuencas hidrográficas están estrechamente relacionadas con los patrones de cobertura, siendo los indicadores principales de las características del paisaje el índice de cohesión y el índice de agregación, entre otros [28].
En los datos normalizados de caudales de los ríos Aracataca y Fundación (ver figura 2a) existe un comportamiento similar entre las corrientes y se muestra poca variabilidad temporal en los promedios interanuales para las dos cuencas hidrográficas, donde los picos máximos de caudal se registraron en 1999 y 2000 para el río Aracataca, y para el río Fundación en 2000 y 2001. A partir de los datos máximos del río Fundación se observó que aportan un porcentaje bajo y poco representativo a las desviaciones con respecto al promedio interanual del 35 %, mientras que para el río Aracataca es imperceptible, con un valor del 16 %.
En la cuenca hidrográfica del río Sinú, para un período de 18 años (ver figura 2b), se encuentran dos picos máximos de caudales, correspondientes a 1981 y 1999 (eventos de alta intensidad), dando una variabilidad total de los caudales poco representativo del orden del 18,6 %.
Para las cuencas de la Sierra Nevada de Santa Marta se presentan aportes diferentes en la varianza de las series de transporte de sedimentos (figura 3a) y se tiene un patrón de fuertes picos en 1985 y 1987 para el río Aracataca, lo que indica la presencia de eventos máximos en un lapso de dos años. El efecto de los datos máximos sobre las series sugiere un comportamiento errático en el transporte de sedimentos; situación normal para pequeñas cuencas (<5000 km2), puesto que la capacidad para enmascarar el efecto de eventos de gran magnitud es baja [3]. Por lo tanto, es factible que en sistemas erráticos una alta proporción de la carga total transportada por el río sea movilizada en cortos períodos de tiempo.
El río Fundación muestra dos picos máximos, uno en 1988 y otro en 1998. Este patrón refleja el proceso de almacenamiento y removilización de los sedimentos erodados en los cursos superiores y medios de la cuenca. A escala estacional, durante periodos con caudales decrecientes o mínimos, los sedimentos se depositan en los cauces de los ríos, mientras que son resuspendidos durante periodos con caudales crecientes o máximos. Generalmente los sedimentos depositados de manera temporal son resuspendi-dos antes de que el caudal pico sea alcanzado. En escalas anuales, incluso mayores, los sedimentos se movilizan a través del sistema fluvial en una serie de pulsos (picos repentinos) y pueden transcurrir décadas antes de que estos alcancen los cursos inferiores de una cuenca.
Por el contrario, los aportes de los eventos máximos registrados en la cuenca hidrográfica del río Sinú son casi inapreciables, con un pico en 1996, que indica la regularidad de la dinámica fluvial en cuanto a las desviaciones mensuales con respecto al promedio interanual, con un valor del 83 % de las desviaciones, consideradas como datos medios.
La comparación entre los parámetros de caudales y transporte de sedimentos para datos normalizados tuvo en cuenta que la extensión (inicio - fin) y resolución temporal (años) de los datos incluidos en las gráficas comparativas fuera la misma.

Los datos máximos presentados en las series de transporte de sedimento para 1984-1988 correspondientes al río Aracataca no coinciden con eventos máximos en las series de caudales (fígura 4a), lo que señala una independencia entre los parámetros ilustrados en el período mencionado; esta incoherencia corresponde a los fuertes tensores antrópicos presentes en la Sierra Nevada de Santa Marta. Durante el período comprendido entre 1976 a 1998 la variabilidad de los caudales no se salen de los datos medios con respeccto al promedio interanual.
En la figura 4b se observa para el transporte de sedimento eventos máximos en el período comprendido entre 1986 y 1989, y para los caudales se hace notorio un pico moderadamente alto dentro de los datos medios en el mismo intervalo de tiempo, lo que indica una relación análoga. En las series restantes se puede discernir un comportamiento uniforme que mantiene la dependencia entre el caudal y el transporte de sedimento. Sin embargo, para 1998 se registró nuevamente un evento máximo, que no fue correspondido por la serie de caudal, lo cual indica una parcial independencia entre los parámetros mencionados.
Para la cuenca del río Sinú (figura 4c), la comparación de caudales y transporte de sedimentos arroja que en el período comprendido entre 1984 y 1995 no hay presencia de eventos máximos, solamente hasta el final de la serie para 1995 -1997 se observa una variación importante en el transporte de sedimentos, aunque mal correspondida por la serie de caudales para estos años. Los caudales graficados muestran fluctuaciones normales de eventos medios durante todos los años de registro.
En el río Aracataca, el promedio de transporte totales de sedimentos a finales de la década de 1970 y principios de la década de 1980 fue de 33,00 x 103 t/día y en la segunda parte de la década de 1980 llegó a 53,89 x 103 t/ día (figura 5a), con un incremento del 63 %; el cambio que se observa en la pendiente a partir de 1985 sugiere que las variaciones en el uso del suelo y el incremento del caudal han tenido un impacto similar sobre el régimen de transporte de sedimentos ocasionado por los procesos de deforestación, cambio en el uso del suelo, distritos de riego, práctica de cultivos permanentes y extensivos, como el café y los cultivos ilícitos en la Sierra Nevada de Santa Marta.
El transporte de sedimentos en el río Fundación ha sido monitoreado por más de 15 años (1982 - 1998). Durante este período, esta cuenca no experimentó cambios significativos en la pendiente de la curva de doble - masa (figura 5b). Los efectos de la conversión de usos del suelo sobre la erosión superficial no siempre son discernibles por medio de la producción de sedimentos, puesto que los sitios donde se producen los sedimentos son menores en extensión que los sitios de almacenamiento temporal en pendientes o cauces [3], [27]. La discrepancia entre los pequeños cambios en la pendiente de la curva de doble-masa y el aumento significativo de la actividad antrópica en la cuenca del río Fundación resalta parcialmente la importancia de la capacidad de atenuación de la cuenca en el proceso de transporte de sedimentos [21], [29]. Por lo tanto, los grandes cambios en los usos del suelo de una cuenca podrían no ser registrados por medio de tasas de transporte de sedimento.

A pesar de que el 51.75 % de la cuenca hidrográfica del río Sinú es utilizada para la ganadería y solo un 2.43 % para la agricultura comercial tecnificada, y que además en algunas épocas del año las áreas que presentan cobertura de vegetación de ciénagas y vegetación de zonas bajas son utilizadas como áreas de pastoreo, incrementando el número de hectáreas dedicadas a la ganadería extensiva, no se observó cambios notables en la pendiente de la curva de doble - masa en el período comprendido entre 1984 y 1994 (figura 5c). Sin embargo, el cambio en la pendiente de la curva de doble-masa registrado desde 1995 sugiere que las variaciones son causadas por la puesta en marcha de la construcción del embalse de la hidroeléctrica URRá I, localizada en el departamento de Córdoba, al noroccidente de Colombia, a 110 kilómetros desde Montería. Esta situación ha generado una permanente transformación en el uso del suelo, que ha afectado notoriamente el régimen de transporte de sedimentos desde el inicio de operación del embalse.
Las comparaciones de caudales y transporte de sedimentos normalizados del río Sinú muestran que en 1996 y 1998 se presentaron los principales eventos máximos registrados en toda la serie de carga de sedimentos del río Sinú. El transporte de sedimentos de los principales movimientos de tierras en la construcción del embalse de URRá I fue innegable en estos dos años.
Por otra parte, desde la puesta en marcha de la hidroeléctrica de URRá I en 2000 se ha observado una clara disminución en la producción de sedimentos en la cuenca del río Sinú. El material que anteriormente se depositaba en el río y viajaba aguas abajo se queda atrapado en el embalse; la tasa de crecimiento del delta ha disminuido notablemente. El área del delta había tenido un crecimiento promedio desde 1945 hasta 2000 de 0.4662 km2/ año. Luego de la puesta en marcha de URRá I el crecimiento del delta ha sido de 0.09 km2/año [7]. Esta fuerte intervención antrópica ha dado lugar a que en toda la cuenca se presenten tendencias negativas en el transporte de sedimentos con respecto a los registros históricos antes de la puesta en funcionamiento de la hidroeléctrica URRá I.
CONCLUSIONES
Las cuencas de la Sierra Nevada de Santa Marta presentan un comportamiento diferente a partir de las varianzas en las series de transporte de sedimentos, con un período de retorno entre sus dos eventos máximos de dos y diez años para los ríos Aracataca y Fundación, respectivamente. La cuenca del río Sinú presenta un pico máximo en todas las series de transporte de sedimentos y a nivel regional; no existen picos repentinos en las series, sino una regularidad de la dinámica fluvial en cuanto a las desviaciones mensuales con respecto al promedio interanual.
Las tres cuencas estudiadas presentan a escala regional aportes de caudales de eventos máximos entre 1999 a 2001, lo cual permite inferir que estuvieron sometidas a condiciones climatológicas semejantes.
No se aprecian cambios en las pendientes de las curvas de doble - masa para los ríos Fundación y Sinú a partir de los usos del suelo en los departamentos de Córdoba y Magdalena (ganadería extensiva y semiintensiva), lo cual indica que la ganadería no genera aportes significativos en la producción de sedimentos para los drenajes principales de las cuencas, debido a su capacidad de retención de sedimentos.
Las variaciones de pendientes en la curva de doble - masa en el río Aracataca son atribuibles a la bonanza de los cultivos ilícitos y del café a mediados de la década de los ochenta y el cambio en el río Sinú se presenta a partir de la construcción de URRA 1.
Agradecimientos
Se agradece al Centro Integrado para el Desarrollo de la Investigación (CIDI) por su patrocinio, y a los estudiantes Alvaro de Jesús Galvis Aragón y Fidel Junior Martínez Ruiz, quienes con sus aportes contribuyeron a la ejecución del proyecto.
REFERENCIAS
[1] J. D. Forero Sandoval, "Cuencas del Caribe, un asunto por encauzar", Revista Universitas Científica, vol. 14, n° 2, pp. 16-19, 2011. [ Links ]
[2] G. Petts and Foster, Rivers and landscapes. London: Hodder & Stoughton, 1985. [ Links ]
[3] S. Trimble, "The fallacy of stream equilibrium in contemporary denudation studies", American Journal of Science, n° 277, pp. 876-887, 1977. [ Links ]
[4] A. Dedkov and V. Moszherin, "Erosion and sediment yield in mountain regions of the world", in Erosion, Debris Flows and Environment in Mountain Regions. Gran Bretaña, IAHS Publication, 1992, pp. 29-36. [ Links ]
[5] Ven te Chow, Hidrología aplicada. Bogotá, D. C.: McGrawHill, 1994. [ Links ]
[6] I. A. Camilloni and V. R. Barros, "Extreme discharge events in the Paraná River and their climate forcing", Journal of Hidrology, n° 278, pp. 94-106, 2003. [ Links ]
[7] J. L. Cogollo Cumplido y M. A. Mendoza Puche, "Análisis comparativo de las caracteristicas hidráulicas morfométricas y ambientales del delta del rió Sinú con base a la construccion del proyecto hidroeléctrico Urrá I", Montería, 2008. [ Links ]
[8] D. F. D. Walling, "Recent trends in the suspended sediment loads of the world's rivers", Global and Planetary Change, n° 39, pp. 111-126, 2003. [ Links ]
[9] G. Poveda y O. Mesa, "La corriente de chorro superficial del Oeste ("del Chocó") y otras dos corrientes de chorro en Colombia: climatología y variabilidad durante las fases del ENSO", Revista Académica Colombiana de Ciencia, vol. XXIII, n° 89, pp. 517-528, 1999. [ Links ]
[10] IDEAM, Cuantificación de la tasa de deforestación para Colombia. Periodos 1900-2000, 2000-2005. Bogotá, D.C.: Ministerio de Ambiente, Fundación Gordon y Betty Moore, Fundación Natura, 2010. [ Links ]
[11] Corporación Autónoma Regional del Magdalena (CORPAMAG), "Plan de Manejo Integral de la Cuenca Hidrográfica del río Aracataca". Santa Marta: Corpamag, 1999. [ Links ]
[12] T. Dunne, "Sediment yield and land use in tropical catchments", Journal of Hydrology, n° 42, pp. 281-300, 1979. [ Links ]
[13] J. Giraldo y D. Quevedo, "Adaptación del método de multiescalamiento para la estimación de caudales máximos en Colombia", tesis Universidad Nacional de Colombia, Medellín, 2001. [ Links ]
[14] K. Farnsworth and J. D. Milliman, "Effects of climatic and anthropogenic change on small mountainous rivers: the Salinas river example", Global and Planetary Change, n° 39, pp. 53-64, 2003. [ Links ]
[15] Restrepo J.D. Los sedimentos del río Magdalena: Reflejo de una crisis ambiental. Medellín: Fondo Editorial Universidad EAFIT, 2005. [ Links ]
[16] B. Serrano, "The Sinú river delta on the northwestern Caribbean coast of Colombia: bay infilling associated with delta development", Journal of South American Earth Sciences, n° 16, pp. 639-647, 2004. [ Links ]
[17] Corporación Autónoma Regional de los Valles del Sinú y San Jorge (CVS), "Plan de Acción Institucional 2012-2015". Montería: Eco Prints Diseño Grafico y Audiovisual Ltda., 2012. [ Links ]
[18] Corporación Autónoma Regional de los Valles del Sinú y San Jorge (CVS), "Diagnóstico ambiental de la cuenca hidrográfica del río Sinú: Caracterización físico-biótica". Montería: CVS, 2004. [ Links ]
[19] J. Jansen and R. Painter, "Predicting sediment yield from climate and topography", Journal of Hydrology, n° 21, pp. 371-380, 1974. [ Links ]
[20] P. Pinet and M. Souriau, "Continental erosion and large-scale relief", Tectonics, n° 7, pp. 563-582, 1988. [ Links ]
[21] R. Meade and S. Trimble, "Changes in sediments loads in rivers of the Atlantic Drainage of the United States since 1900, in: Effects of man on the interface of the hydrological cycle with the physical environment", IAHS Publication, n° 113, pp. 541-548, 1974. [ Links ]
[22] J. D. Restrepo and B. Kjerve, "Water Discharge and Sediment Load from the Western Slopes of the Colombian Andes with Focus on Río San Juan", Journal of Geology, n° 108, pp. 17-33, 2000. [ Links ]
[23] J. Restrepo and J. Restrepo, "Efectos Naturales y antrópicos en la producción de sedimentos de la cuenca del río Magdalena", Revista de la Academia Colombiana de Ciencias Exactas, Físicas y Naturales, vol. XXIX, n° 111, pp. 239254, 2005. [ Links ]
[24] J. Restrepo and S. López, "Morphodynamics of the Pacific and Caribbean deltas of Colombia", Journal of South American Earth Sciences, n° 25, pp. 1-21, 2008. [ Links ]
[25] B. Bowerman and R. O'Conell, Forecasting and time series: an applied approach. Belmont: Duxbury Press, 1987. [ Links ]
[26] D. Walling and B. Webb, "Erosion and sediment yield: a global overview", in Erosion and Sediment Yield: Global and Regional Perspectives, IAHS Publication, 1996, pp. 3-19. [ Links ]
[27] D. Walling, "Linking land use, erosion and sediment yields in river basins", Hydrobiología, n° 410, pp. 223-240, 1999. [ Links ]
[28] Z. Shi, L. Ai, X. Huang, G. Wu and W. Liao, "Partial least-squares regression for linking land-cover patterns to soil erosion and sediment yield in watersheds", Journal of Hydrology, vol. 498, pp. 165-176, 2013. [ Links ]
[29] D. Walling, "The sediment delivery problem", Journal of Hidrology, n° 65, pp. 209-237, 1983. [ Links ]























