Serviços Personalizados
Journal
Artigo
Indicadores
-
Citado por SciELO -
Acessos
Links relacionados
-
Citado por Google -
Similares em
SciELO -
Similares em Google
Compartilhar
Boletín de Investigaciones Marinas y Costeras - INVEMAR
versão impressa ISSN 0122-9761
Bol. Invest. Mar. Cost. vol.50 no.1 Santa Marta jan./jun. 2021 Epub 18-Set-2021
https://doi.org/10.25268/bimc.invemar.2021.50.1.968
Artículos de Investigación
Descripción general de algunas variables meteo-marinas de aguas superficiales adyacentes al archipiélago de Palmer, península Antártica, durante 1979-2018 con base en datos Era5
1Departamento de Geociencias, Grupo de Estudios Antárticos (GEAA). Universidad Nacional de Colombia. Bogotá, Colombia.
2Departamento de Geociencias, Grupo de Investigación en Oceanología CENIT. Universidad Nacional de Colombia. Bogotá, Colombia. nlvillegasb@unal.edu.co
3Departamento de Geociencias, Universidad Nacional de Colombia. Bogotá, Colombia. aeconchap@unal.edu.co
Aspatial and temporal description of meteo-marine parameters for 1979-2018 period of the marine region surrounding the Palmer Archipelago, located West of the Antarctic Peninsula (WAP), is presented. The used information was extracted from the ERA5 reanalysis. Air Temperature (Ta), Total Precipitation (TP) and Sea Surface Temperature (SST) showed a general increase over the last 40 years in the study region. The highest increase of Ta, TP and SST values were recorded north of Gerlache Strait, followed by Bismarck Strait. It was evidenced that Sea Ice Cover (SIC) has decreased mostly north of Palmer Archipelago. The existence of a local differentiation of meteo-marine conditions around the Palmer Archipelago was identified. The climatology of five reference points in the region showed more visible differences during the austral winter in Ta and SIC, these were appreciated during the austral summer in SST and a bimodal behavior was recorded in Pr. The rate of change during the 1979-2018 period for Ta was 0.011 ºC/year, for Pr it was 0.008 mm/year, for SST it was 0.004 ºC/year and for SIC it was -0.003 fraction/year.
KEYWORDS: Climatology; Trends; Sea ice cover; Gerlache Strait; Bismarck Strait.
Se presenta una descripción espacial y temporal de parámetros meteo-marinos del período 1979-2018 de la región marina circundante al archipiélago de Palmer, localizada al oeste de la península Antártica (OPA). La información utilizada fue extraída del reanálisis ERA5. La Temperatura del aire (Ta), Precipitación total (Pr) y Temperatura Superficial del Mar (TSM) mostraron un incremento general en los últimos 40 años en la región de estudio. Los mayores valores de incremento de Ta, Pr y TSM se registraron al norte del estrecho de Gerlache, seguido por el estrecho de Bismarck. Se evidenció que la Cobertura de Hielo Marino (CHM) ha disminuido en mayor parte al norte del archipiélago de Palmer. Se identificó la existencia de una diferenciación local de las condiciones meteo-marinas alrededor del archipiélago. La climatología de cinco puntos de referencia para la región mostró diferencias más visibles durante el invierno austral en la Ta y CHM, durante el verano austral en la TSM y un comportamiento bimodal en la Pr. La tasa de cambio durante el período 1979-2018 para la Ta fue de 0,011 ºC/año, para la Pr fue de 0,008 mm/año, para la TSM fue de 0,004 ºC/año y para la CHM fue de -0,003 fracción/año.
PALABRAS CLAVE: Climatología; Tendencias; Cobertura de hielo marino; Estrecho de Gerlache; Estrecho de Bismarck.
INTRODUCCIÓN
El continente antártico ha experimentado cambios de temperatura no homogéneos durante los últimos 30 a 50 años, con calentamiento en algunos sectores de la Antártida occidental y ningún cambio general significativo en la Antártida oriental (IPCC, 2019). La península Antártica ha presentado un calentamiento regional a una tasa que excede las observadas en el resto del mundo (Deppeler y Davidson, 2017; Meredith et al., 2017). Concretamente, al suroeste costero de la isla Anvers, que forma parte del archipiélago de Palmer localizado en el occidente de la península Antártica, en años recientes se ha registrado una reducción de la extensión y persistencia del hielo marino en la zona de Puerto Arthur (Fraser y Hoffman, 2003; Atkinson et al., 2004). Estas variaciones en los factores climáticos, generan la disminución de la abundancia del krill antártico (Euphausia superba) de gran importancia en la región (Bernard et al., 2017). Los cambios experimentados también han causado la disminución de poblaciones locales de pingüinos Adelia (Pygoscelis adeliae) (Cimino et al., 2019) y lobos finos antárticos (Arctocephalus gazella), así como la redistribución de la vegetación y afectación en organismos bentónicos (Cárdenas et al., 2018a).
Diversos autores han realizado investigaciones encaminadas a identificar el impacto de la variación del clima en los ecosistemas del archipiélago de Palmer. La punta Biscoe, por ejemplo, es referencia en estudios paleoecológicos desarrollados con las colonias de pingüinos Adelia, que pueden ser afectados por el calentamiento global (Emslie, 2001; Gorman et al., 2017; Cimino et al., 2019). Park et al. (2007) y Day et al. (2009) han evaluado la influencia del aumento de la temperatura y de las precipitaciones en el ecosistema analizando los flujos del carbono y el nitrógeno. La bahía Sur, situada en la isla Doumer del archipiélago de Palmer, ha sido base de estudios sobre flora y fauna bentónica (Cárdenas et al., 2016, 2018b; Rovelli et al., 2019), así como de oceanografía y meteorología (Cárdenas et al., 2018a; Villegas et al., 2018) constituyéndose en un diagnóstico de las condiciones actuales y sus variaciones locales. Siendo el archipiélago de Palmer una región de interés científico por la riqueza y variedad de sus ecosistemas, y teniendo en cuenta los importantes cambios en el clima en el sector oeste de la península Antártica (OPA) registrados a causa del calentamiento global (Kerr et al., 2018), así como las diferencias regionales y locales observadas al sur del archipiélago de Palmer, el presente artículo tiene como objetivo describir el comportamiento climatológico de algunos parámetros meteo-marinos de aguas circundantes al archipiélago y su tendencia durante el período 1979-2018. La descripción de variables tales como la Temperatura del aire (Ta), la Precipitación total (Pr), la Temperatura Superficial del Mar (TSM) y la Cobertura de Hielo Marino (CHM) en los últimos 40 años, permitirá tener un panorama de los posibles cambios ocurridos en estas características que servirán como base para futuros trabajos de variabilidad y cambio climático en sectores marinos que convergen en el archipiélago de Palmer. El presente trabajo, junto con los estudios adelantados bajo la Agenda Científica de Colombia en la Antártica 2014-2035, contribuye al conocimiento del OPA, enmarcándose en las prioridades de investigación de la ciencia Antártica descritas por Mahlon et al. (2014).
ÁREA DE ESTUDIO
La región de interés para la descripción espacial de las variables meteo-marinas, comprende las aguas enmarcadas en las coordenadas 61-66° S y 61-70° W (Figura 1). Para la descripción temporal, se seleccionaron cinco puntos de referencia que representen geográficamente a las aguas cercanas al archipiélago de Palmer: 1) aguas en el estrecho de Bismarck (64º 54’ S y 64º W); 2) aguas en el sector suroeste en el océano del Sur (64º 54’ S y 69º W); 3) aguas en el sector noroeste en el océano del Sur (62º S y 69º W); 4) aguas en el pasaje de Drake (62º S y 62º W); y 5) aguas en el estrecho de Gerlache (64º 18’ S y 61º 48’ W). El archipiélago de Palmer es un conjunto de islas del OPA situadas entre 64°15’ S y 62° 50’ W. Al occidente del archipiélago se encuentra el océano del Sur; al oriente el estrecho de Gerlache separando al archipiélago de la costa Danco; al sur se encuentra el estrecho de Bismarck; al norte el estrecho de Bransfield, conformado por aguas del estrecho de Gerlache, del mar de Bellingshausen y del mar de Weddell (Vázquez y Tenorio, 2016). El estrecho de Gerlache mide aproximadamente 190 km de largo, 8 km de ancho y su profundidad varía entre 220 m en el sector occidental y 1300 m en el oriental (Canals et al., 1998). Entre las islas que conforman al archipiélago de Palmer están las montañosas Anvers y Brabante (Griffith, 1988; Barcena et al., 2005) situadas al oeste del estrecho de Gerlache y las islas Wiencke y Doumer al sur del estrecho de Gerlache, estando la última al norte del estrecho de Bismarck.

Figura 1 Ubicación del área de estudio y de los puntos de referencia. 1) Aguas en el estrecho de Bismarck (64° 54’ S y 64°) W. 2) Aguas en el sector suroeste en el océano del Sur (64° 54’ S y 69° W). 3) Aguas en el sector noroeste en el océano del Sur 62° S y 69° W. 4) Aguas en el pasaje de Drake 62° S y 62° W. 5) Aguas en el estrecho de Gerlache 64° 18’ S y 61° 48’ W.
El clima de la región está influenciado por las elevaciones topográficas que actúan como barrera ante la circulación troposférica de dirección occidente-oriente, resultando un tipo de clima marítimo en el occidente y más seco y frío en el oriente. King et al. (2003) describen que el OPA está influenciado por las bajas presiones del mar de Amundsen-Bellingshausen (ABSL, por sus siglas en inglés), y por un flujo noroccidental que trae masas de aire más cálidas desde las latitudes medias a través de sistemas de escala sinóptica, obteniendo un ciclo anual de Ta similar al de regiones marítimas. El archipiélago de Palmer es más frío que las islas Shetland del Sur, es la zona más húmeda del Antártico, altamente glaciada, con glaciares conectados a tierra por debajo del nivel del mar. La costa Danco presenta un clima ligeramente más frío, y es el más seco en el área de estudio, con menos de la mitad de la Pr del archipiélago de Palmer pero también es marcadamente glaciar (Griffith y Anderson, 1989). Los sistemas de presión que se mueven a lo largo de la costa OPA desde el mar de Amundsen en sentido nororiente, llevan gran cantidad de humedad disponible para la precipitación, haciendo que ésta sea la parte más húmeda de la Antártida. La Pr anual promedio más alta en toda la Antártida ha sido registrada en la bahía Dallmann, localizada entre las islas Brabante y Anvers (Dewar, 1967). La lluvia y la llovizna son comunes, excepto durante los meses más fríos del invierno, pero la nieve y aguanieve son los principales componentes de la Pr anual, la cual está relacionada con el paso de sistemas de tormentas ciclónicas desde el mar de Bellingshausen, aparentemente cada tres semanas durante todo el año (Rundle, 1971). Al cesar las tormentas, inician los fuertes vientos del oriente y oriente-nororiente, trayendo grandes cantidades de Pr. Los vientos catabáticos son violentos y también frecuentes en las bahías más grandes de la costa de Danco. Estos provocan la ruptura y dispersión de hielo marino e icebergs dentro de las bahías. Los icebergs se forman anualmente en el otoño austral, a finales de marzo o principios de abril, cuando por ser un hielo aún delgado y débilmente anclado a la orilla, es susceptible a la destrucción por tormenta o viento catabático (Krebs, 1983). La circulación en la región supone un fuerte enlace entre los estrechos y mares adyacentes. Desde el estrecho de Bismarck, dominado por el Circumpolar Deep Water (CDW) modificado (Torres et al., 2020), las aguas se introducen al estrecho de Gerlache. Seguidamente, del estrecho de Gerlache las aguas se dirigen al norte, al estrecho de Brandsfield, donde convergen con el agua proveniente del mar de Weddell (Gordon y Nowlin, 1978). En el occidente de Gerlache, la débil corriente superficial de Bellingshausen fluye al nororiente (Mandelli y Burkholder, 1966). De acuerdo con Amos et al. (1990) y Niiler e Illeman (1990), un flujo superficial de aguas cercanas a la costa de la isla Brabante se dirige hacia el norte y entra al suroccidente del estrecho de Brandsfield. Sin embargo, la circulación en esta región es compleja y probablemente tiene variaciones estacionales, así como se ha visto en el flujo superficial occidental del sector (Stein, 1982), y el flujo del mar de Weddell hacia el estrecho de Brandsfield (Capella et al., 1992; Hofmann et al., 1992). La columna de agua típica del estrecho de Gerlache consiste en una capa superior de Agua Transicional del mar de Bellingshausen (TBW), una capa en el fondo de Agua Transicional del mar de Weddell (TWW) e intrusiones intermedias tanto del occidente como del oriente del CDW. El agua TBW en el estrecho de Gerlache es más fría que en el de Brandsfield debido a la influencia de los aportes de agua dulce de los glaciares locales (García et al., 2002). El sistema de agua dulce resultante de la interacción aire-hielo marino influye en las propiedades del agua en la capa de mezcla superficial, repercutiendo en la estratificación del océano superior y los ecosistemas de la región (Meredith et al., 2010).
MATERIALES Y METODOLOGÍA
Variables meteo-marinas alrededor del archipiélago de Palmer
Los campos y series mensuales de Temperatura del aire (Ta, ºC), Temperatura Superficial del Mar (TSM, ºC), Velocidad del Viento (Vv, m/s), Dirección del Viento (Dv, grados), Precipitación Total (Pr, mm) y fracción de Cobertura de Hielo Marino (CHM, 0:1) para 1979-2018, fueron extraídos de la quinta generación de reanálisis ERA-Interim (ERA5) (Hersbach et al., 2019) del European Centre for Medium-Range Weather Forecasts (ECMWF). ERA5 es el último reanálisis climático producido por ECMWF, que proporciona datos de una gran cantidad de variables climáticas atmosféricas, terrestres y oceánicas. ERA5 incluye información sobre incertidumbres para todas las variables en resoluciones espaciales y temporales reducidas, que son accesibles libremente bajo la Licence to Use Copernicus Products (v 1.2) desde el Climate Data Store (CDS) a través del Copernicus Climate Change Service (C3S, 2017). Varios estudios han realizado intercomparaciones de los distintos conjuntos de datos de reanálisis y han llegado a la conclusión de que los datos ERA-Interim son los mejores para representar el clima antártico reciente (Turner et al., 2019). En Giusti (2021) se describe detalladamente a ERA5, dando a conocer la cobertura y calidad de su información. Las variables extraídas del ERA5 para los 5 puntos en las aguas adyacentes al archipiélago de Palmer (Figura 1) son series mensuales desde 1979 hasta el 2018 (Figura 2).

Figura 2 Series de tiempo mensuales 1979-2018 extraídas del ERA5 para cinco puntos en aguas alrededor del archipiélago de Palmer. a) Temperatura del aire (Ta, °C). b) Precipitación Total (Pr, mm). c) Temperatura Superficial del Mar (TSM, °C). d) Cobertura de Hielo Marino (CHM, 0:1).
Para la descripción de su comportamiento anual, se calculó la climatología base 1979-2018. Para este mismo período, se eliminó la estacionalidad de las series y se calculó tanto la tendencia lineal multianual como las tendencias decadales (con nivel de confianza de 95%) en los períodos 1981-1990, 1991-2000 y 2001-2010. La visualización espacial de los campos de las variables extraídas del reanálisis ERA5 se realizó con la aplicación del método de interpolación kriging (Paulson y Ragkousis, 2015), utilizando el variograma Gaussiano, con un rango de 0,3 y anisotropía 0,2, obteniendo una malla de 0,1ºx0,1º. Se calculó el promedio anual multianual de los campos horizontales para revisar el estado actual de las condiciones meteo-marinas en la región de estudio y se obtuvo la diferencia entre los campos del último y primer año de la ventana de análisis a fin de identificar espacialmente los sectores donde se registraron cambios en las variables durante 40 años. Los cálculos y gráficas se realizaron en Phyton versión 3.7 (Beazley y Van Rossum, 1999).
RESULTADOS
Promedio anual multianual y climatología de variables meteo-marinas
La distribución espacial del promedio anual multianual 1979-2018 de la Ta (Figura 3a) muestra isotermas latitudinales desde el sector noroccidental del área de estudio paralelas al archipiélago de Palmer hasta 64º S. Los valores altos de Ta (1,59 ºC) se localizan en el sector marino noroeste y los bajos en el sector continental sureste sobre la península Antártica llamada Tierra de Graham (-13,18 ºC). Al suroeste, cerca del mar de Bellingshausen, la Ta es de -3,0 ºC mostrando un fuerte gradiente longitudinal en el sur de la región. Alrededor de la isla Anvers, se ubican isotermas de -5,0 ºC, y al norte de la isla Brabante se presentan Ta de -3,0 ºC, evidenciando diferencias locales entre el norte (64º 20’ S) y sur (65º S) del archipiélago. También se aprecian diferencias entre el oeste (Ta promedio -2,5 ºC) y el este (isotermas alrededor de -7,0 ºC) del archipiélago. La distribución espacial de Ta es coherente con el desplazamiento de los vientos. En la Figura 3b, se aprecia al noroeste de la región de estudio, al viento de predominancia noroeste con una intensidad mayor a 9 m/s, que transporta masas de aire cálidas conservando su dirección hasta los 64º S. Allí, sobre el archipiélago de Palmer y el este de la región, se centra un núcleo de vientos de baja intensidad impidiendo que el aire cálido occidental se mezcle con el polar, manteniendo más frío a los sectores del este. A partir de 64º S, entre 64º y 70º W, la dirección del viento se torna sur, llevando masas de aire del noroeste hacia el mar de Bellingshausen con menores velocidades.

Figura 3 Promedio anual multianual 1979-2018 de Ta (°C), Vv (m/s) y TSM (°C) alrededor del archipiélago de Palmer. 1-5: puntos de referencia para descripción temporal de variables meteo-marinas en aguas adyacentes al archipiélago de Palmer. a) Temperatura del aire (Ta,°C). Intervalo isotermas 0,5°C. b) Viento (Vv, m/s). Intervalo isotacas 0,4 m/s. c) Temperatura Superficial del Mar (TSM, °C). Intervalo isotermas 0,1°C.
En la distribución de isolíneas de TSM (Figura 3c), como era de esperarse, se observa mayor homogeneidad en la región, dada la inercia de esta variable en comparación con la Ta. Se aprecia que los valores disminuyen desde el noroeste con 1,94 ºC, hacia el sureste, donde llega a -1,58 ºC en el estrecho de Gerlache y a -1,82 ºC al sur de la costa de Danco y la bahía Dallman. En el oeste y norte de la isla Brabante la TSM registrada es -1,08 ºC, y al occidente y sur de la isla Anvers es -0,98 ºC.
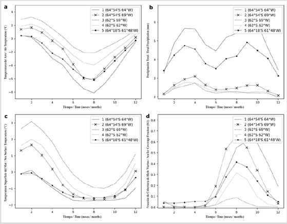
Para corroborar estas diferencias también desde el punto de vista temporal se presenta el comportamiento climatológico de Ta, Pr, TSM y CHM del período base 1979-2018 en cinco puntos de referencia seleccionados para las aguas adyacentes al archipiélago (Figura 4) y se muestra la estadística descriptiva de esta climatología (Tabla 1). La climatología de la Ta (Figura 4a) presenta un comportamiento acorde con la estacionalidad de las latitudes australes, con valores altos durante el verano (DEF) y bajos durante el invierno (JJA). Se destaca la diferencia entre los valores altos de Ta del punto 3 (sector noroeste de la región de estudio en el océano del Sur con promedio de 0,39 °C), con respecto a los valores bajos del punto 1 (estrecho de Bismarck con un promedio de -3,64 °C). Los puntos 1 y 5, ubicados respectivamente en aguas que bañan al sur y norte del archipiélago, muestran Ta similares (aproximadamente 0,5 °C) solamente en el verano austral (DEF), pero en JJA la diferencia entre los valores mínimos llega a 1,91 °C. La Pr presenta una climatología bimodal, con valores altos en la primavera y el otoño australes (Figura 4b). Se aprecia que la Pr es mayor en los puntos 1 (sur del archipiélago en el estrecho de Bismarck con promedio de 4,96 mm) y 5 (norte del archipiélago en el estrecho de Gerlache con promedio de 4,09 mm) y su estacionalidad es más pronunciada que en los puntos 2, 3 y 4 (en los sectores suroeste y noroeste del océano del Sur y el pasaje de Drake respectivamente, con promedio de 2,4 mm). Este comportamiento se debe a que 2, 3 y 4 se localizan en sectores netamente marinos, donde las condiciones océano atmosféricas que conllevan a precipitaciones son más homogéneas, presentando oscilaciones de Pr más suavizadas. Por otro lado, en 1 y 5 las condiciones se combinan con el efecto de la orografía del archipiélago, logrando mayores precipitaciones durante el año. Se aprecia que los valores de Pr en 1 y 5 son ligeramente mayores en el segundo semestre mostrando la influencia de las elevaciones del archipiélago de Palmer en la época de intensificación de los vientos.
Tabla 1 Estadística descriptiva de climatologías y resultados de la tendencia lineal multianual (Significativa para el nivel de confianza del 95%) del período 1979-2018 de Ta (°C), Pr (mm), TSM (°C) y CHM (0:1) en los cinco puntos de referencia. 1) Aguas en el estrecho de Bismarck (64º 54’ S y 64º W). 2) Aguas en el sector suroeste en el océano del Sur (64º 54’ S y 69º W). 3) Aguas en el sector noroeste en el océano del Sur 62º S y 69º W. 4) Aguas en el pasaje de Drake 62º S y 62º W. 5) Aguas en el estrecho de Gerlache( 64° 18’ S y 61° 48’ W).

Figura 4 Comportamiento climatológico del período base 1979-2018 de Ta (°C), Pr (mm), TSM (°C) y CHM (0:1) en cinco puntos de referencia en aguas alrededor del archipiélago de Palmer. a) Temperatura del aire (Ta,°C). b) Precipitación Total (Pr, mm). c) Temperatura Superficial del Mar (TSM, °C). d) Cobertura de hielo marino (CHM, fracción de área 0:1).
La TSM presenta un comportamiento monomodal, con valores altos en febrero (promedio de 1,37°C). Ocurre enfriamiento durante la primavera, conservando valores negativos (promedio del mínimo en agosto de -1,51 °C) durante los siguientes meses (Figura 4c). Este comportamiento es similar al de Ta, con oscilaciones suavizadas por la inercia en la respuesta del océano ante la dinámica atmosférica. Persiste la diferencia entre valores altos de TSM del punto 3 (sector noroeste de la región de estudio, en el océano del Sur) con promedio de 0,71 ºC y el punto 1 (estrecho de Bismarck) con promedio -1,16 ºC. Entre el norte del archipiélago de Palmer (punto 5, promedio -0,97 ºC) y el sur (punto 1), se observa una ligera diferencia acentuada a finales de primavera e inicio del verano austral. En el invierno austral, los valores de la TSM en todos los puntos son similares, exceptuando el punto 3 localizado al noroeste de la región.
La CHM inicia su aumento en el otoño austral (MAM) llegando a valores cercanos a 0,6 en agosto en el punto 2 (sector suroeste de la región de estudio, en el océano del Sur) y en septiembre en el punto 1 (estrecho de Bismarck) debido a las bajas Ta y TSM. Estos puntos, ubicados en latitudes más altas, no se encuentran tan expuestos a las masas de aire cálidas que llegan desde el noroeste (Figura 3b). Con relación a los puntos 1 y 5, la Pr en meses anteriores al invierno austral aportó a la desalinización de las aguas superficiales, aumentando la velocidad de cubrimiento de hielo marino, aunque con diferencia en la extensión observada en el verano y primavera austral al norte del estrecho de Gerlache (punto 5) donde en agosto alcanza un máximo de CHM de 0,41, siendo menor que en los puntos ubicados al sur (1 y 2). Los puntos 3 y 4 presentan menor CHM, por su localización más al norte de la región de estudio, donde hay mayor influencia de los vientos relativamente más cálidos del noroeste.
Tendencias de las variables meteo-marinas en el período 1979 - 2018
Para identificar espacialmente los cambios ocurridos en la Ta, Pr y TSM durante los 40 años, se presenta en la Figura 5 la diferencia espacial entre los promedios anuales del último y primer año de observación (2018 y 1979 respectivamente). Así mismo, en la Tabla 1 y Figura 6, se presentan las tendencias de estos parámetros en los cinco puntos de referencia a 2018, y en la Tabla 2, se muestran las tendencias decadales 1981-1990, 1991-2000 y 2001-2010. Se pueden apreciar valores positivos de Ta en toda la región (Figura 5a) demostrando que en el 2018 se registró una Ta mayor que en 1979, a excepción del sureste de la región sobre el sector continental en la Tierra de Graham y al noroeste, sobre el océano del Sur, donde el punto 3 presenta una tendencia negativa a 2018 de -0,002 ºC/año (Tabla 1, Figura 6).

Figura 5 Diferencia entre el promedio anual de 2018 y el promedio anual de 1979 de Ta (°C), Pr (mm) y TSM (°C) alrededor del archipiélago de Palmer. 1-5: puntos de referencia para descripción temporal de variables meteo-marinas en aguas adyacentes al archipiélago de Palmer. a) Temperatura del aire (Ta, °C). Intervalo isotermas 0,2°C. b) Precipitación Total (Pr, mm). Intervalo isoyetas 0,1 mm. c) Temperatura Superficial del Mar (TSM,°C). Intervalo isotermas 0,1°C.

Figura 6 Series de tiempo y tendencia lineal multianual del período 1979-2018 de Ta (°C), Pr (mm), TSM (°C) y CHM (0:1) en cinco puntos de referencia en aguas alrededor del archipiélago de Palmer. a) Temperatura del aire (Ta, °C). b) Precipitación Total (Pr, mm). c) Temperatura Superficial del Mar (TSM, °C). d) Cobertura de hielo marino (CHM, fracción de área 0:1).
Con relación a las tendencias decadales (Tabla 2), el punto 3 también se destaca al registrar los menores valores entre los puntos seleccionados, siendo para 1981-1990 una tendencia de 0,13 ºC/década, para 1991-2000 de 1,07 ºC/década y para 2001-2010 de 0,42 ºC/década. Sobre el norte de la isla Anvers se presentan valores positivos alrededor de 1,3ºC. Lo mismo ocurre sobre el sur del archipiélago de Palmer en el estrecho de Bismarck, donde se localiza el punto 1, con tendencia positiva a 2018 de 0,021ºC/año (Tabla 1, Figura 6), el cual se destaca por presentar la tendencia más alta en 1991-2000 de 1,72 ºC/década (Tabla 2). En promedio, el aumento de Ta en la región desde 1979 hasta 2018 fue de 0,47 ºC (Figura 5a). La Ta en el punto 5 (norte del archipiélago de Palmer, estrecho de Gerlache) presenta el mayor valor de tendencia a 2018 con 0,024 ºC/año (Tabla 1, Figura 6), así mismo como la más alta en el período 2001-2010 con 1,15 ºC/década (Tabla 2). Cabe anotar que, en los cinco puntos de referencia, las tendencias decadales siguieron un comportamiento similar, en cuanto a que, en 1981-1990 éstas fueron positivas pero menores comparadas con las de 1991-2000 con valores de aumento elevados, los cuales volvieron a bajar en 2001-2010 (Tabla 2).
Tabla 2 Tendencia lineal decadal (Significativa para el nivel de confianza del 95%) de los períodos 1981-1990, 1991-2000 y 2001-2010 de Ta (°C), Pr (mm), TSM (°C) y CHM (0:1) en los cinco puntos de referencia. 1) Aguas en el estrecho de Bismarck 64º 54’ S y 64º W. 2) Aguas en el sector suroccidental en el océano del Sur 64º 54’ S y 69º W. 3) Aguas en el sector noroccidental en el océano del Sur 62º S y 69º W. 4) Aguas en el pasaje de Drake 62º S y 62ºW. 5) Aguas en el estrecho de Gerlache 64° 18’ S y 61° 48’ W.
El aumento de la Ta, conlleva al aumento en Pr, observado en las isoyetas (Figura 5b) y tendencias positivas de Pr en los cinco puntos (Tabla 1, Figura 6), confirmando que Pr en 2018 fue mayor con respecto a 1979. Se observan valores negativos en un sector confinado a 66º S entre 64º 30’ W y 65º W. Sobre las islas Anvers y Brabante, el norte del estrecho de Gerlache y la costa oeste de Tierra de Graham, la Pr fue mayor que en los demás sectores (Figura 5b). Los promedios climatológicos de Pr en el estrecho de Gerlache llegan a 4,01 mm y en el de Bismarck a 4,96 mm (Tabla 1). La mayor tendencia se aprecia en el estrecho de Gerlache donde el punto 5 presenta un valor de 0,013 mm/año y le sigue el de Bismarck donde el punto 1 muestra 0,010 mm/año (Tabla 1, Figura 6).
La distribución de las diferencias de TSM entre los promedios anuales de 2018 y 1979 sigue el mismo patrón encontrado en Ta y Pr (Figura 5c). Los valores positivos localizados en toda la región, evidencian el aumento de TSM en los últimos años, excepto en el noroeste y noreste. Se destaca el aumento de TSM en más de 0,5 ºC en un amplio sector, desde 62º 30’ S hasta el occidente del archipiélago con 0,86 ºC de incremento y al norte de Gerlache con 0,76 ºC. Incrementos de TSM entre 0,86 ºC y 0,96 ºC se registran al sur del estrecho de Bismarck extendiéndose hasta 66º S y 66º 30’ W. En cuanto a la tendencia de 1979-2018 (Tabla 1, Figura 6) se observa que en el norte (estrecho de Gerlache) y sur (estrecho de Bismarck) del archipiélago de Palmer es positiva, con 0,014 ºC/año. La tendencia de TSM al 2018 en los puntos 2, 3 y 4 es ligeramente negativa con -0,001 ºC/año, -0,006 ºC/año y -0,002 ºC/año, respectivamente (Tabla 1, Figura 6), percibiéndose en los últimos años un aumento de uniformidad de valores de TSM en la región, dado el aumento de valores en un sector (aguas más cercanas al archipiélago de Palmer: estrechos de Gerlache y Bismarck) y la leve disminución en el otro (aguas al suroeste y noroeste de la región de estudio sobre el océano del Sur y el pasaje de Drake).
En cuanto a las tendencias decadales, en la Tabla 2 se destaca para 1991-2000 que los puntos 3 y 4 localizados en el océano del Sur presentan un aumento en las tendencias con 0,53 ºC/década y 0,56 ºC/década respectivamente. Para 2001-2010, los puntos 2, 3 y 4 muestran disminución en sus tendencias, mientras que aumentan en el punto 5 (estrecho de Gerlache) con 0,45 ºC/década y en el 1 (estrecho de Bismarck) con 0,4 ºC/década. En forma general, la distribución espacial de la diferencia entre los promedios anuales 2018 y 1979 de Ta, Pr y TSM mostrada en el presente trabajo (Figura 5), indica el incremento de estas variables en los últimos 40 años.
La CHM presenta tendencias negativas en el período 1979-2018, evidenciando una disminución mayor tanto en el estrecho de Bismarck con -0,0042 fracción/año como en el estrecho de Gerlache con -0,0057 fracción/año (Tabla 1 y Figura 6). Con relación a las tendencias decadales (Tabla 2), se destacan nuevamente el sur y norte del archipiélago de Palmer, donde se observa que los valores negativos son mayores en 2001-2010 con -0,29 fracción/década y -0,14 fracción/década respectivamente.
DISCUSIÓN
Las diferencias de Ta descritas en los sectores circundantes a la región de estudio (Figura 3a), corroboran lo afirmado por Thomas y Tetzner (2019), acerca de que la península antártica forma una barrera ante los fuertes vientos del suroeste en la tropósfera inferior, separando el clima marítimo del mar de Bellingshausen del clima continental en el lado del mar de Weddell, lo que hace de esta región una plataforma de observación única para estudiar la interacción climática entre las diferentes latitudes del hemisferio sur. Las diferencias espaciales de la Ta presentadas en este trabajo, confirman lo observado por Carrivick et al. (2019) acerca de la influencia de la topografía del sector en las condiciones meteo-marinas a nivel regional. Debido a que la península presenta una meseta con elevaciones de superficie de hielo hasta de 2000 m entre 63° y 67° S, y que más al sur, a los 74° S ésta se eleva a más de 2500 m, la península Antártica está sujeta a climas subpolares en el norte y a condiciones mucho más frías en el sur, presentando, además, oceanografía y meteorología contrastantes entre este-oeste, con grandes cantidades de nieve que llegan al oeste a causa de los vientos.
Con relación a la distribución de las isotacas, la presencia de vientos con menores valores a partir de los 64º S (Figura 3b), podría ser la manifestación recurrente de la fase positiva de la Oscilación Antártica (OAA) que ha mantenido las bajas presiones durante los últimos 40 años según Goodwin et al., (2016). Los valores positivos de OAA (oscilación no estudiada en el presente trabajo) están correlacionados con temperaturas frías sobre gran parte de la Antártida, a excepción de la península, donde prevalecen temperaturas cálidas (Goodwin et al., 2016). Por otra parte, en González et al. (2018), se identifica el predominio de cinco patrones de circulación ciclónica sobre la península y, aunque la mayoría son de movimiento zonal de bajas presiones influyentes en las características locales, hay dos de movimientos meridionales norte-sur, que influyen en el comportamiento de las variables meteo-marinas en la región. La distribución espacial multianual de la TSM (Figura 3c), presenta un patrón similar al de la Ta, mostrando diferenciación en las condiciones alrededor del archipiélago de Palmer. Aquí, en forma muy clara se observan valores más bajos al este y sur, en contraste con los del oeste y norte del archipiélago, debido a la topografía local que interviene en los flujos de vientos y características meteo-marinas observadas también en Villegas et al. (2018). El comportamiento climatológico de CHM, es acorde con lo esperado como respuesta del agua marina ante la dinámica de Ta, Pr y TSM (Figura 4d), que conlleva a que el hielo marino se forme y derrita estacionalmente (Jaeschke et al., 2017). Así mismo, el promedio de CHM de los cinco puntos seleccionados (0,14 fracción de área) es acorde con lo observado por Herr et al. (2019), quienes indicaron que a nivel regional, la tasa de encuentro de ballenas minke antárticas es más baja precisamente en las costas del OPA debido a su menor concentración de hielo marino.
Con relación a las tendencias de la Ta, en el presente trabajo se encontró una marcada variación entre la década 1981-1990 comparada con valores altos en 1991-2000, los cuales nuevamente bajaron en 2001-2010. Turner et al. (2005) encontraron que en la estación Vernadsky la tasa de aumento de Ta media anual durante 1971-2000 fue menor que durante 1961-1990 y, aunque los períodos de observación son diferentes al del presente trabajo, es clara la necesidad de estudiar a fondo la variabilidad de los parámetros meteo-marinos con relación a oscilaciones océano-atmosféricas de largo período que permitan identificar la razón de este comportamiento. Turner et al. (2019), al analizar la Ta de estaciones en la Antártica para el período 1981-2010, encontraron que éstas han experimentado una tendencia positiva en la Ta media anual a lo largo de su registro, siendo la más alta la de Vernadsky, localizada cerca del punto de referencia 1 del presente trabajo (estrecho de Bismarck) el cual, junto con el punto 5 (estrecho de Gerlache) presentaron los valores más altos de tendencia para 1979-2018.
Turner et al. (2019) afirman que la variabilidad de la OAA ejerce un gran control de las temperaturas, influyendo en la profundización de la ABSL como resultado de la persistente fase positiva de la OAA en los últimos años. La OAA no es objeto del presente estudio, pero dada su conocida influencia en la región, es imperativo continuar investigando las variables revisadas en los últimos 40 años, y entender además su posible teleconexión con El Niño Oscilación del Sur (ENOS), debido al impacto que puede causar a la dinámica del hielo marino, la física de aguas superficiales y patrones locales de viento en la región, como ha sido revisado por Kim y Ducklow (2016) y Carrasco (2018). Con relación a la diferenciación espacial en el comportamiento de la Ta en la región del OPA, Turner et al. (2005) identificaron un marcado calentamiento desde el suroeste de la península Antártica a través de la estación Vernadsky y la punta de la península hasta las islas Shetland del Sur, con una tasa de calentamiento decreciente al norte de Vernadsky. Este aspecto también se apreció en el presente estudio con las tendencias de Ta encontradas, permitiendo corroborar la diferencia local del área de estudio. Lo mismo fue observado por Stastna (2010), quien con series de Ta de estaciones a lo largo de la península Antártica calculó tendencias mostrando que, en la estación Vernadsky al sur del OPA, se alcanzó un valor alto de tendencia de 0,56 ºC/década equivalente a un aumento de 2,97 ºC durante 54 años (1950-2003), y un menor aumento en el norte del OPA, en la estación O’Higgins con 0,18 ºC/década correspondiente a 0,77 ºC durante 43 años (1961-2003). Turner et al. (2005) han observado la asociación entre la circulación atmosférica en la península Antártica y los eventos ENOS (no estudiados en el presente trabajo), anotando que éstos pueden provocar una influencia tropical sobre los cambios climáticos en la región, con eventos cálidos causantes de alta presión sobre el sistema de ABSL, llevando a condiciones frías y forzamiento de vientos del sur sobre la península Antártica, mecanismo que se sugiere ser analizado teniendo en cuenta además otros factores que controlan a la Ta y TSM de la península. Las tendencias negativas de TSM sobre las aguas del océano del Sur (puntos 2 y 3) y del pasaje de Drake (punto 4) en 1979-2018 podrían estar asociadas al efecto analizado por Ferster et al. (2018), quienes con observaciones de TSM derivadas de satélites en 1982-2016 e índices de teleconexiones globales, encontraron correlaciones espaciales significativas asociadas con la OAA.
Con respecto a los años posteriores a 1991, Verona et al. (2019) presentan resultados de conjuntos de datos observacionales y modelados de TSM luego de la erupción del volcán Pinatubo, mostrando un patrón de calentamiento similar para la península Antártica, aunque con diferencias en la magnitud de las anomalías. La respuesta de calentamiento de TSM frente a la península Antártica comenzó en el primer año después de la erupción y se extendió hasta 1993. Cabe señalar que, aunque el calentamiento en la península Antártica después de la erupción se observó en todos los conjuntos de datos en Verona et al. (2019), el calentamiento no es exclusivo de esta región, y que la contribución de la variabilidad climática interna del área de estudio debe tener un continuo y detallado análisis con diferentes conjuntos de datos. El incremento de Ta, Pr y TSM en los últimos 40 años mostrado en el presente trabajo, fue visto también por Szumińska et al. (2018), quienes asocian la tendencia al calentamiento de la península en los últimos 50 años al cambio en los patrones de circulación atmosférica del hemisferio sur.
Estudios recientes sobre la CHM señalan cambios regionales marcados tanto en la extensión y concentración del hielo marino antártico, como en las temperaturas del mar cercanas a la superficie en todo el continente antártico. En las tendencias de CHM para los puntos de referencia seleccionados en el presente estudio se evidencian valores negativos (Tablas 1 y 2 y Figura 6d), lo que concuerda con Fogt y Wovrosh (2015), quienes afirman que el sector de los mares de Amundsen-Bellingshausen ha experimentado una disminución en la extensión y la concentración del hielo marino en las últimas décadas, mientras que ocurre lo contrario en el mar de Ross. Lo observado en el presente trabajo confirma lo visto por Moreau et al. (2015), quienes estudiando la presencia y abundancia de ciertos grupos de fitoplancton, demostraron que el estrecho de Gerlache está siendo afectado por el retroceso temprano del hielo marino y el aumento de la TSM. Según Cook et al. (2016), cerca de 90% de los glaciares del OPA se está reduciendo, así como la extensión del hielo marino y su duración media, llegando a unos 90 días (Stammerjohn et al., 2012). En Laffin et al. (2021) investigando la influencia de los vientos cálidos y secos de föhn en el derretimiento de la superficie de plataformas de hielo en la península Antártica para 1979-2018, encontraron que las tendencias y la evolución de la fusión a largo plazo inducida por föhn son atribuibles a cambios estacionales. Durante los últimos 20 años, la mayor ocurrencia de föhn se presenta en el verano, con una disminución en otoño, invierno y principios de primavera, lo que concuerda con las tendencias decadales de CHM del presente estudio, sobre todo para los puntos al sur y norte del estrecho de Gerlache.
Es claro que la Antártica presenta diferenciación regional en su respuesta al cambio y variabilidad climática, que la península Antártica se destaca por su vulnerabilidad ante estos procesos, sobretodo el OPA, donde además se aprecian diferencias locales y que, de acuerdo con el presente trabajo, sobresale el estrecho de Gerlache en el comportamiento diferencial de sus condiciones meteo-marinas. El clima y la variabilidad climática de la región de estudio es una compleja combinación de factores, desde los vientos de las montañas hasta patrones atmósfericos y oceanográficos de mayores escalas espaciales, y sus tendencias a largo plazo. Existen aún varios vacíos en la comprensión de la respuesta de los sectores marinos que conforman la península Antártica ante la variabilidad y el cambio climático, planteando interrogantes que deberán ser resueltos con la continuidad de los programas de observación e investigación nacionales e internacionales.
CONCLUSIONES
La distribución espacial del promedio anual multianual de variables meteo-marinas del período 1979-2018 indican una diferenciación local entre el norte (estrecho de Gerlache) y sur (estrecho de Bismarck) del archipiélago de Palmer y entre las aguas costeras del oriente (estrecho de Gerlache) y occidente (océano del Sur) del archipiélago. El comportamiento climatológico (1979-2018) de Ta al norte del estrecho de Gerlache y en el de Bismarck es similar durante el verano del sur, pero en invierno puede presentar diferencias, siendo la Ta menor en el estrecho de Bismarck. La Pr es mayor al norte de los estrechos de Gerlache y de Bismarck comparando con la Pr de los otros sectores en mar abierto de la región de estudio. Entre estos dos estrechos, hay una ligera diferencia en la TSM, acentuada desde el verano del sur, cuando la TSM es mayor al norte de Gerlache. Las diferencias entre los promedios anuales 2018 y 1979 muestran que la Ta, la Pr y la TSM han experimentado un incremento general en los últimos 40 años en la región de estudio. De los puntos de referencia seleccionados, se evidenció que en 1979-2018 hay una leve tendencia negativa de Ta en el océano del Sur al noroeste del área de estudio con -0,002 ºC/año, de TSM al suroeste y al noroeste del área de estudio en el océano del Sur y en el pasaje de Drake con valores de -0,001 ºC/año, -0,006 ºC/año y -0,002 ºC/año, respectivamente. La Pr presentó tendencias positivas. Los mayores valores de incremento de Ta, Pr y TSM se registraron al norte del estrecho de Gerlache, seguido por el de Bismarck. Se evidenció que la CHM presenta tendencias negativas en el período 1979-2018, mostrando una disminución de la cobertura de hielo marino mayor en el estrecho de Bismarck con -0,0042 fracción/año y en el de Gerlache con -0,0057 fracción/año. La tasa de cambio durante el período 1979-2018 observada en los cinco puntos de referencia para la Ta es de 0,011 ºC/año, para la Pr es de 0,008 mm/año, para la TSM es de 0,004 ºC/año y para CHM es de -0,003 fracción/año. Se destaca a la década 1991-2000 por presentar valores altos de tendencia de Ta para los cinco puntos de referencia con un promedio de 1,4 ºC/década. Los valores de tendencia más altos de Pr se registraron en 2001-2010 con un promedio de 0,4 mm/década. Las mayores tendencias decadales de TSM fueron observadas en 1981-1990 y 1991-2000 con 0,3 ºC/década. En las tres décadas (1981-1990, 1991-2000 y 2001-2010), la disminución de CHM fue de -0,1 fracción/década.
AGRADECIMIENTOS
Al Programa Antártico Colombiano (PAC), la Universidad Nacional de Colombia y al Copernicus Climate Change Service por los datos ERA5 obtenidos bajo Licence to Use Copernicus Products (v 1.2) desde el Climate Data Store (CDS)
REFERENCIAS
Amos, A., S. Jacob and Hu, J. 1990. Racer: Hydrography of the surface water during the spring Bloom in the Gerlache Strait. Antarct. J. US., 25(5): 131-134. [ Links ]
Atkinson, A., V. Siegel, E. Pakhomov and P. Rothery. 2004. Long-term decline in krill stock and increase in salps within the Southern Ocean. Nature, 432: 100-103. [ Links ]
Barcena M., J. Sesma, E. Isla y A. Palanques. 2005. Respuesta del registro sedimentario a la ciclicidad solar en el estrecho de Gerlache (península Antártica). Geogaceta, 38: 179-182. [ Links ]
Beazley, D. and G. Van Rossum. 1999. Python: Essential Reference. New Riders Publishing. [ Links ]
Bernard, K., M. Cimino, W. Fraser, J. Kohut, M. Oliver, D. Patterson-Fraser, O. Schofield, H. Statscewich, D. Steinberg and P. Winsor. 2017. Factors that affect the nearshore aggregations of Antarctic krill in a biological hotspot. Deep-Sea Res. Part I, 126: 139-147. [ Links ]
Canals, M., F. Estrada, R. Urgeles and Gebrap 96/97 Team. 1998. Very high-resolution seismic definition of glacial and postglacial sediment bodies in the continental shelves of the northern Trinity Peninsula region, Antarctica. An. Glaciol., 27: 260-264. [ Links ]
Capella, J., L. Quetin, E. Hofmann and R. Ross. 1992. Models of the early life history ofEuphausia superba-Part II. Lagrangian calculations. Deep-SeaRes., 39(7-8): 201-220. [ Links ]
Cárdenas, C., E. M. Newcombe, E. Hajdu, M. González-Aravena, S. W. Geange and J. J. Bell. 2016. Sponge richness on algae-dominated rocky reefs in the western Antarctic Peninsula and the Magellan Strait. Pol. Res., 35: 1, 30532. [ Links ]
Cárdenas, C., M. González-Aravena and P. Santibañez. 2018a. The importance of local settings: within-year variability in seawater temperature at South Bay, Western Antarctic Peninsula. PeerJ, 6:e4289. [ Links ]
Cárdenas, C., M. González-Aravena, A. Font, JT. Hestetun, E. Hajdu, N. Trefault, M. Malmberg and E. Bongcam-Rudloff. 2018b. High similarity in the microbiota of cold-water sponges of the genusMycalefrom two different geographical areas. PeerJ, 6:e4935. [ Links ]
Carrasco, J. 2018. Señales atmosféricas y del hielo marino asociadas a ENOS en el sector norte de la península antártica. An. Inst. Patagonia, 46(1): 33-47. [ Links ]
Carrivick, B., J. Davies, W. M. James, M. McMillan and N. Glasser. 2019. A comparison of modelled ice thickness and volume across the entire Antarctic Peninsula region, Geogr. Annal.: Series A, Phys. Geogr., 101:(1) 45-67. [ Links ]
Cimino, M., D. Patterson-Frasser, S. Stammerjohn and W. Fraser. 2019. The interaction between island geomorphology and environmental parameters drives Adélie penguin breeding phenology on neighboring islands near Palmer Station, Antarctica. Ecol. Evol., 9: 9334-9349. [ Links ]
Cook, A.J., P.R. Holland, M.P. Meredith, T. Murray, A. Luckman and D.G. Vaughan. 2016. Ocean forcing of glacier retreat in the western Antarctic Peninsula.Science 353(6296): 283-286. [ Links ]
C3S, 2017. ERA5: Fifth generation of ECMWF atmospheric reanalysis of the global climate. Copernicus Climate Change Service (CCS) Climate Data Store (CDS). [Acceso mayo 2019].https://cds.climate.copernicus.eu/cdsapp#!/home. [ Links ]
Day, T.A., C.T. Ruhland, S. Strauss, J.H. Park, M. L. Krieg, M. A. Krna and D. M. Bryant, 2009. Response of plants and the dominant microarthropodCryptopygus antarcticus, to warming and contrasting precipitation regimes in Antarctic tundra. Global Change Biol., 15: 1640-1651. [ Links ]
Deppeler, S. and A. Davidson. 2017. Southern Ocean Phytoplankton in a changing climate. Front. Mar. Sci., 4: 40. [ Links ]
Dewar, G. 1967. Some aspects of topography and glacierization of Adelaide Island. Brit. Antarct. Surv. Bull.,11: 37-47. [ Links ]
Emslie, S.D. 2001. Radiocarbon dates from abandoned penguin colonies in the Antarctic Peninsula region. Antarct. Sci., 13(3): 289-295. [ Links ]
Ferster, B., Subrahmanyam, B. and A. M. Macdonald. 2018. Confirmation of ENSO-Southern Ocean Teleconnections using satellite-derived SST. Rem. Sens., 10: 331. . https://doi.org/10.3390/rs1002033. [ Links ]
Fogt, R. L. and A. J. Wovrosh. 2015. The relative influence of tropical sea surface temperatures and radiative forcing on the Amundsen Sea Low. J. Clim., 28: 8540-8555. [ Links ]
Fraser, W.R. and E. E. Hofmann. 2003 A predator’S perspective on causal links between climate change, physical forcing and ecosystem response. Mar. Ecol. Progr. Ser., 265: 1-15. [ Links ]
García, M., C. Castro, A. Ríos, M. Doval, G. Roson, D. Gomis and O. López. 2002. Water masses and distribution of physicochemical properties in the western Bransfield Strait and Gerlache Strait during austral summer 1995/96. Deep-Sea Res. II, 49: 585-602. [ Links ]
Giusti, M. 2021. What data and maps are available through C3S (Copernicus Climate Change Service)?. ECMWF. [Acceso mayo 2021].https://confluence.ecmwf.int/pages/viewpage.action?pageId=88257857. [ Links ]
González, S., F. Vasallo, C. Recio-Blitz, J. Guijarro and J. Riesco. 2018. Atmospheric patterns over the Antarctic Peninsula. J. Clim., 31: 3608-3597. [ Links ]
Goodwin, B., E. Mosley-Thompson, A. Wilson, S. Porter and M. Sierra-Hernández. 2016. Accumulation variability in the Antarctic Peninsula: the role of large-scale atmospheric oscillations and their interactions. J. Clim., 29: 2596-2579. [ Links ]
Gordon, A. and W. Nowlin, Jr. 1978. The basin waters of the Bransfield Strait. J. Phys. Oceanogr., 8: 258-264. [ Links ]
Gorman, K., S. Talbot, S. Sonsthagen, G. Sage, M. Gravely, W. Fraser and T. Williams. 2007. Population genetic structure and gene Flow of Adélie penguins(Pygoscelis adeliae) breeding throughout the western Antarctic Peninsula. Antarc. Sci., 29(6): 499-510. [ Links ]
Griffith, T. 1988. A geological and geophysical investigation of sedimentation and recent glacial history in the Gerlache Strait region, Graham Land, Antarctica. Thesis Master of Arts. Rice Univ., Texas. 449 p. [ Links ]
Griffith, T. and J. Anderson. 1989. Climatic control of sedimentation in bays and fjords of the northern Antarctic Peninsula. Mar. Geol., 85(2-4): 181-204. [ Links ]
Herr, H., N. Kelly, B. Dorschel, M. Huntemann, K. Kock, L. Lehnert, U. Siebert, S. Viquerat, R. Williams and M. Scheidat. 2019. Aerial surveys for Antarctic minke whales (Balaenoptera bonaerensis) reveal sea ice dependent distribution patterns. Ecol. Evol., 9: 5664-5682. [ Links ]
Hersbach, H., B. Bell, P. Berrisford, G. Biavati, A. Horányi, J. Muñoz Sabater, J. Nicolas, C. Peubey, R. Radu, I. Rozum, D. Schepers, A. Simmons, C. Soci, D. Dee and J.N. Thépaut. 2019. ERA5 monthly averaged data on single levels from 1979 to present. Copernicus Climate Change Service (C3S) Climate Data Store (CDS). [Accessed on 14-Sep-2019]. 10.24381/cds.f17050d7. [ Links ]
Hofmann, E., C. Lascara and J. Klinck. 1992. Palmer LTER: Upper-ocean circulation in the LTER region from historical sources. Antarc. J., 239-241. [ Links ]
IPCC. 2019. IPCC Special report on the ocean and cryosphere in a changing climate In: Pörtner, H.-O,, D.C. Roberts, V. Masson-Delmotte, P. Zhai, M. Tignor, E. Poloczanska, K. Mintenbeck, A. Alegría, M. Nicolai, A. Okem, J. Petzold, B. Rama and N.M. Weyer (Eds.) IPCC, Geneva. 755 p. [ Links ]
Jaeschke, A., M. Wengler, J. Hefter, T. Ronge, W. Geibert, G. Mollenhauer, R. Gersonde and F. Lamy. 2017. A biomarker perspective on dust, productivity, and sea surface temperature in the Pacific sector of the Southern Ocean. Geoch. Cosmoch. Acta, 204: 120-139. [ Links ]
Kerr, R., Mata, M., Mendes C. and E. Secchi. 2018. Northern Antarctic Peninsula: a marine climate hotspot of rapid changes on ecosystems and oceandynamics Deep-Sea Res. Part II 149: 4-9.https://doi.org/10.1016/j.dsr2.2018.05.006. [ Links ]
Kim, H. and H. Ducklow. 2016. A decadal (2002-2014) analysis for dynamics of heterotrophic bacteria in an Antarctic coastal ecosystem: variability and physical and biogeochemical forcings. Front. Mar. Sci., 3: 214. [ Links ]
King, J.C., J. Turner, G.J. Marshall, W.M. Connolley and T.A. Lachlan-Cope. 2003. Antarctic Peninsula climate variability and its causes as revealed by analysis of instrumental records. Antarct. Res. Ser. 79: 17-30. [ Links ]
Krebs, W. 1983. Ecology of neritic marine diatoms, Arthur Harbor, Antarctica. Micropaleontology, 29: 267-297. [ Links ]
Laffin, M., C. Zender, S. Singh, J. Van Wessem, C. Smeets and C. Reijmer. 2021. Climatology and evolution of the Antarctic Peninsula föhn wind- induced melt regime from 1979-2018. JGR Atmosph., 126(4).https://doi.org/10.1029/2020JD033682. [ Links ]
Mahlon, C., M. C. Kennicutt II and S. L. Chown . 2014. Six priorities for Antarctic science. Nature, 512: 23-25. [ Links ]
Mandelli, E. and P. Burkholder. 1966. Primary productivity in the Gerlache and Bransfield Straits of Antarctica. J. Mar. Res., 24: 15-27. [ Links ]
Meredith, M.P., M.I. Wallace, S.E. Stammerjohn, I.A. Renfrew, A. Clarke, H.J. Venables, D.R. Shoosmith, T. Souster and M.J. Leng. 2010. Changes in the freshwater composition of the upper ocean west of the Antarctic Peninsula during the first decade of the 21st century. Prog. Oceanogr., 87: 127-143.https://doi.org/10.1016/j. pocean.2010.09.019. [ Links ]
Meredith, M., S. Stammerjohn, H. Venables, H. Ducklow, D. Martinson, R. Iannuzzi, M. Leng, J.M. van Wessem, C. Reijmer and N. Barrand. 2017. Changing distributions of sea ice melt and meteoric water west of the Antarctic Peninsula. Deep-Sea Res., 139: 40-57. [ Links ]
Moreau, S., B. Mostajir, S. Bélanger, I.R. Schloss, M. Vancoppenolle, S. Demers and G.A. Ferreyra. 2015. Climate change enhances primary production inthe western Antarctic Peninsula. Glob. Change Biol., 21(6): 2191-2205. [ Links ]
Niller, P. and J. Illeman.1990. Racer: lagrangian J. Drifter observations of surface circulation in the Gerlache and Bransfield strait. Antartic J.,134-137. [ Links ]
Park, J.H., T. A. Day, S. Strauss and C. T. Ruhland. 2007. Biogeochemical pools and fluxes of carbon and nitrogen in a maritime tundra near penguincolonies along the Antarctic Peninsula. Pol. Biol., 30: 199-207. [ Links ]
Paulson, C. and G. Ragkousis. 2015. pyKriging: a Python kriging toolkit (Version v0.1.0-alpha). [online] Zenodo. Available at:http://doi.org/10.5281/zenodo.21389 [Acceso mayo 2019]. [ Links ]
Rovelli, L., K. M. Attard, C. A. Cárdenas and R. N. Glud. 2019. Benthic primary production and respiration of shallow rocky habitats: a case study from South Bay (Doumer Island, Western Antarctic Peninsula). Pol. Biol., 42(8): 1459-1474. [ Links ]
Rundle, A. 1971. Glacialogy and meteorology of Anvers Island: subglacial surface of marr ice Piedmont. Antarc. J. US, 6: 202-206. [ Links ]
Stammerjohn, S., R. Massom, D. Rind and D. Martinson. 2012. Regions of rapid sea ice change: An inter-hemispheric seasonal comparison. Geophys. Res. Lett., 39: 6. [ Links ]
Stastna, V. 2010. Spatio-temporal changes in surface air temperature in the region of the northern Antarctic Peninsula and south Shetland islands during 1950-2003. Pol. Sci., 4: 18-33. [ Links ]
Stein, M. 1982. Distribution of water masses in the South Shetland Islands during FIBEX. Nat. Inst. Pol. Res., 16-23. [ Links ]
Szumińska, D., S. Czapiewski, M. Szopińska and Z. Polkowska. 2018. Analysis of air mass back trajectories with present and historical volcanic activityand anthropogenic compounds to infer pollution sources in the South Shetland Islands (Antarctica). Bull. Geogr. Phys. Geogr. Ser., 15: 111-137. [ Links ]
Thomas, T. and D. Tetzner. 2019. The climate of the Antarctic Peninsula during the twentieth century: evidence from ice cores. Antarctica, a key to globalchange: 403-608. In: Kanao, M. (Ed.). . https://doi.org/10.5772/intechopen.75265. eBook (PDF) ISBN: 978-1-83962-109-3. [ Links ]
Torres, R., A. Caicedo and J. Iriarte. 2020. Hydrographic conditions during two austral summer situations (2015 and 2017) in the Gerlache and Bismarck straits, northern Antarctic Peninsula. Deep Sea Res. Part I: Oceanogr. Res. Pap.,161.https://doi.org/10.1016/j.dsr.2020.103278. [ Links ]
Turner, J., S. R. Colwell, G. J. Marshall, T. A. Lachlan-Cope, A. M. Carleton, P. D. Jones, V. Lagun, P. A. Reid and S. Iagovkina. 2005. Antarctic climate change during the last 50 years. Internat. J. Climatol., 25: 279-294. [ Links ]
Turner, J, G.J. Marshall, K. Clem, S. Colwell, T. Phillips and H. Lu. 2019. Antarctic temperature variability and change from station data. Int. J. Climatol., 40: 2986- 3007.https://doi.org/10.1002/joc.6378. [ Links ]
Vásquez L. y J. Tenorio. 2016. Oceanografía física y observación de las condiciones ambientales del estrecho de Bransfield y alrededores de la isla Elefante.Bol. Inst. Mar Perú, 31(2): 153-160. [ Links ]
Verona, L. I. Wainer and S. Stevenson. 2019. Volcanically triggered ocean warming near the Antarctic Peninsula. Scient. Rep., 9: 9462.https://doi.org/10.1038/s41598-019-45190-3. [ Links ]
Villegas, N., I. Málikov and C. Cárdenas. 2018. An initial approximation to the meteo-marine conditions of South Bay (Doumer island) and comparison of the meteorological behaviour between Doumer and Anvers islands, Antarctica (austral summer 2016-2017). Anal. Inst. Patagonia, 46: 23-32. [ Links ]
Recibido: 30 de Septiembre de 2019; Aprobado: 02 de Junio de 2021










texto em 



