Serviços Personalizados
Journal
Artigo
Indicadores
-
Citado por SciELO -
Acessos
Links relacionados
-
Citado por Google -
Similares em
SciELO -
Similares em Google
Compartilhar
Boletín de Investigaciones Marinas y Costeras - INVEMAR
versão impressa ISSN 0122-9761
Bol. Invest. Mar. Cost. vol.50 no.2 Santa Marta jul./dez. 2021 Epub 03-Dez-2021
https://doi.org/10.25268/bimc.invemar.2021.50.2.1106
NOTA
Respuesta a corto plazo de parámetros fisicoquímicos del agua a la rehabilitación hidrológica de caños en manglares de Cispata, Caribe colombiano
1Instituto de Investigaciones Marinas y Costeras “José Benito Vives de Andréis” -Invemar. Santa Marta, Colombia. ostin.garces@invemar.org.co
2Instituto de Investigaciones Marinas y Costeras “José Benito Vives de Andréis” -Invemar. Santa Marta, Colombia. alexandra.rodriguez@invemar.org.co
3Red de Vigilancia para la Conservación y Protección de las Aguas Marinas y Costeras de Colombia -REDCAM, Santa Marta, Colombia. luisa.espinosa@invemar.org.co
4Instituto de Investigaciones Marinas y Costeras “José Benito Vives de Andréis” -Invemar. Santa Marta, Colombia. fabian.escobar@invemar.org.co
5Universidad Tecnológica de Panamá, Centro de Investigaciones Hidráulicas e Hidrotécnicas Ciudad de Panamá, Panamá. denise.borrero@utp.ac.pa
The present study evaluated the short-term response (<six months), of water physicochemical parameters to hydrological rehabilitation (HR) of clogged channels in mangrove of Cispata, Colombian Caribbean. Between September 2018 and September 2019, we measure the water physicochemical parameters before and after the HR. The index of marine and coastal water quality (ICAMPFF) in channels and swamps was calculated. Before the HR, in some stations, water quality was very poor, in other inadequate, and in other acceptable; after five months of HR in all stations, water quality became acceptable. After HR, the salinity and temperature of the water within the mangrove decreased to adequate values for the mangrove seedlings. In the short term, HR significantly improved the physicochemical conditions of the water required for the preservation of fauna and seedlings in the channels, swamps, and within the mangrove forest. Our findings are applicable in the mangrove restoration management and their adaptive handling.
KEYWORDS: mangrove rehabilitation; water quality; natural regeneration; restoration indicators.
Se evaluó la respuesta en el corto plazo (< seis meses) de parámetros fisicoquímicos del agua a la rehabilitación hidrológica (RH) de caños colmatados en manglares de Cispata, Caribe colombiano. Entre septiembre 2018 y septiembre 2019 se midieron parámetros fisicoquímicos antes y después de la RH. Se calculó el Índice de Calidad de Aguas Marinas y Costeras (ICAMPFF) en caños y ciénagas. La calidad del agua antes de la RH en algunas estaciones era pésima, en otras inadecuada y aceptable; después de cinco meses de la RH, la calidad fue aceptable en todas las estaciones. Después de la RH la salinidad y temperatura del agua dentro del manglar disminuyeron a valores adecuados para las plántulas de mangles. En el corto plazo, la RH mejoró significativamente las condiciones fisicoquímicas del agua en caños, ciénagas y dentro del manglar para la preservación de fauna y plántulas de mangles. Los resultados son aplicables en la gestión de la restauración de manglares y su manejo adaptativo.
PALABRAS CLAVE: rehabilitación de manglar; calidad del agua; regeneración natural; indicadores de restauración.
La rehabilitación hidrológica (RH) es una técnica de la restauración ecológica que busca reparar los procesos y la funcionalidad de la hidrología en ecosistemas donde su alteración ha causado la degradación (Lewis, 2005). Esta técnica se ha implementado en manglares centroamericanos y colombianos (Sánchez-Páez et al., 2004; Teutli y Herrera, 2016).
El Distrito de Manejo Integrado Cispata (DMI Cispata) es un área protegida de ~ 27 171 ha del Caribe colombiano, donde algunas áreas del manglar, como el sector Dago-Ustria (Figura 1), se han deteriorado por la colmatación de caños, interrupción de flujos hídricos y salitrales, que afectan la calidad del agua (CVS e Invemar, 2010; Invemar, 2017). En 2019, instituciones ambientales y la comunidad local rehabilitaron 3267 m de caños colmatados/taponados para restablecer la conectividad hidrológica (Invemar, 2017).

Figura 1 Área de estudio. Puntos rojos (A1-A6) y negros (M1-M10): estaciones de calidad del agua en caños-ciénagas y dentro manglar. Estaciones M1, M2 y M7: en manglares conservados (referencia).
El objetivo de este estudio fue evaluar las respuestas en el corto plazo (< seis meses) de parámetros fisicoquímicos del agua en los caños rehabilitados y dentro del manglar en el sector Dago-Ustria. El manglar del sector Dago está conformado por Rhizophora mangle, Avicennia germinans y Laguncularia racemosa (Rojas-Aguirre et al., 2018). El clima es tropical lluvioso de sabana con invierno seco; los promedios multianuales (1981-2010) de precipitación oscilan entre 1000-1500 mm (mayores precipitaciones en mayo y septiembre), de temperatura entre 26-28 °C, de humedad relativa entre 80-85 % y de evapotranspiración entre 1200-1400 mm (IDEAM, 2014a, 2014b).
La dinámica hidrológica está modulada por los caudales del río Sinú (regulados desde 1999 por la Hidroeléctrica Urrá I), las épocas lluviosas y la acción del mar Caribe (Ruíz-Ochoa et al., 2008). Históricamente, el río Sinú ha formado los deltas Venados (antes de 1762), Mestizos (1762-1849), Cispata (1849-1938) y Tinajones (1938-actual) (Serrano, 2004; Ramos et al., 2015). En el DMI Cispata se presentan aguas bajas (enero-mayo) y aguas altas (junio-diciembre) con el descenso o aumento del caudal del río Sinú respecto al promedio anual (389 m3/S), con un desfase de uno o dos meses de las épocas secas y lluviosas (Ramos et al., 2015).
Considerando lo anterior, los muestreos se realizaron en septiembre 2018 (antes de la RH, época lluviosa), marzo 2019 (antes de la RH, época seca), junio 2019 (después de dos meses de la RH, época seca) y septiembre 2019 (después de cinco meses de la RH, época lluviosa). Desde agosto 2018 a julio 2019 se presentaron condiciones Niño y desde agosto a diciembre de 2019 condiciones normales (NOAA, 2020).
En abril 2019, se realizó la RH de los caños Dago (1500 m), Ustria-1 (602 m), Ustria-2 (700 m) y Ustria-3 (465 m; Figura 1), usando machetes, hachas y palas, removiendo el material vegetal y el sedimento hasta 1 m de profundidad y mínimo 1 m de ancho (Figura 2). En los caños Ustria-1 y Ustria-3 se realizaron aperturas de dos canales secundarios de 40 m de largo, 50 cm de profundidad y 1 m de ancho, para la entrada de agua a los salitrales (Figura 1).

Figura 2 Rehabilitación de los Caños Dago a) y Ustria 1 b) en el DMI Cispata. Fotos: ASOMAPESCA e Invemar.
Para evaluar la calidad del agua en caños y ciénagas se establecieron seis estaciones de muestreo (A1-A6; Figura 1). Se midieron in situ la temperatura, salinidad, pH y oxígeno disuelto (OD) del agua superficial, tres veces en cada estación, usando un multiparámetro HACH. Además, se recolectó una muestra de agua a 30 cm de profundidad, con testigo de campo, blanco viajero y réplicas, para medir los parámetros descritos en la Tabla 1. Antes de la RH en época lluviosa, no fue posible realizar las mediciones en la estación A6.
Dentro del manglar se seleccionaron diez estaciones (M1-M10; Figura 1), de las cuales M1-M2 y M7 se ubicaron en el manglar conservado como referencia. Las estaciones M3-M6, M8-M10 se ubicaron en el manglar degradado por salitrales. En cada estación se midieron en tres puntos la salinidad, temperatura y pH en el agua superficial e intersticial (profundidad: 0,5 m), usando el multiparámetro HACH y el nivel del agua utilizando una regla. Para obtener las muestras de agua intersticial se utilizó la metodología de Invemar (2018a). En la estación M7 no fue posible realizar las mediciones antes de la RH en época lluviosa.
Los resultados se compararon con los criterios nacionales de preservación de flora y fauna en aguas estuarinas (MinAmbiente, 2015) y con valores de referencia. Se calculó el Índice de Calidad de Aguas Marinas y Costeras para la Preservación de Flora y Fauna (ICAMPFF) en caños y ciénagas, con los datos de OD, pH, nitratos, ortofosfatos, SST, clorofila a y DBO5 (Invemar, 2018b), y un margen de confianza de 86 %. El ICAMPFF califica la calidad del agua en óptima, adecuada, aceptable, inadecuada y pésima (Invemar, 2018b). Se determinaron las diferencias significativas entre los cuatro muestreos realizados antes y después de la RH con la prueba de Kruskal-Wallis, en InfoStat® profesional versión 2016, con un intervalo de confianza de 95 %.
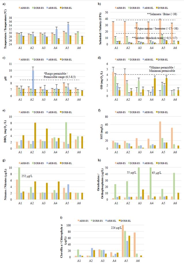
En el agua superficial de caños y ciénagas disminuyeron los valores de temperatura, salinidad y pH después de la RH (Figura 3a-c), presentando diferencias significativas entre los muestreos antes y después de la RH (Temperatura: P = 0,006; Salinidad: P = 0,004; pH, P = 0,011). El OD aumentó ligeramente después de la RH en algunas estaciones (Figura 3d), sin presentar diferencias significativas. La DBO5, nitratos y nitritos aumentaron y los SST disminuyeron después de la RH (Figura 3e-h), mostrando diferencias significativas antes y después de la RH (DBO5: P = 0,006; SST: P = 0,005; nutrientes: P = 0,001). La concentración de clorofila a no presentó diferencias significativas.

Figura 3 Resultados de los parámetros fisicoquímicos del agua en caños y ciénagas: ARH-ES (antes RH, época seca), D2RH-ES (después de dos meses RH, época seca), ARH-EL (antes RH, época lluviosa) y D5RH-EL (después de cinco meses RH, época lluviosa). **Referencia para clasificación del agua según salinidad (Knox, 2001). *Límites permisibles de la legislación colombiana para la preservación de flora y fauna en aguas estuarinas (MinAmbiente, 2015).
El ICAMPFF mostró que antes de la RH en época de lluvias, la calidad del agua fue pésima e inadecuada en las estaciones A2 y A6 respectivamente, y aceptable en las demás estaciones; y en la época seca, la calidad fue inadecuada en las estaciones A4-A6 y aceptable en las estaciones A1-A3 (Figura 4). Después de dos meses de la RH, la calidad del agua mejoró en todas las estaciones, con excepción de A1 y A4; y después de cinco meses la calidad fue aceptable en todas las estaciones (Figura 4).

Figura 4 Resultados del ICAMPFF antes y después de la RH en el sector Dago-Ustria, DMI Cispata. Clasificación de la calidad del agua según el ICAMPFF: 1) pésima, 2) inadecuada, 3) aceptable, 4) adecuada y 5) óptima.
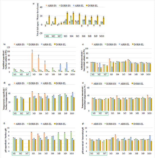
Después de la RH aumentó la inundación dentro del manglar (Figura 5a), mostrando diferencias significativas antes y después de la RH (P = 0,0001). Las mayores salinidades, temperatura y pH se registraron en las estaciones del manglar degradado, las cuales disminuyeron después de la RH (Figura 5b-d), mostrando diferencias significativas antes y después de la RH (Salinidad: P = 0,0028; temperatura: P = 0,0001; pH: P = 0,0005). Entre las estaciones de referencia y las del manglar degradado, la salinidad, temperatura y pH del agua después de la RH no fueron significativamente diferentes.

Figura 5 Resultados de los parámetros fisicoquímicos del agua dentro del manglar. Muestreos: ARH-ES (antes de la RH, época seca), D2RH- ES (después de dos meses de la RH, época seca), ARH-EL (antes de la RH, época lluviosa) y D5RH-EL (después de cinco meses de la RH, época lluviosa). Los recuadros verdes señalan las parcelas de referencia (M1, M2 y M7).
La RH mejoró las condiciones fisicoquímicas del agua en el área de estudio, resultando en condiciones aceptables para la preservación de fauna y mangles. La temporada climática puede acelerar o limitar los cambios en los parámetros fisicoquímicos del agua (Invemar, 2018a); por lo cual, el monitoreo de la calidad del agua a largo plazo es necesario.
La RH permitió el ingreso de agua dulce hacia los caños, ciénaga y dentro del manglar de Ustria en la época seca, disminuyendo la salinidad a < 10. Esta salinidad es característica de aguas salobres oligohalinas (> 0,6-10; Knox, 2001), óptima para el crecimiento de las plántulas (3-27; Krauss et al., 2008). Asimismo, la temperatura del agua superficial disminuyó. En la estación M3 se registraron 43 °C en el agua superficial antes de la RH, la cual supera 35 °C y puede afectar el crecimiento de propágulos (Febles et al., 2007), además provocar lesiones necróticas en las hojas al superar 40 °C (Krauss et al., 2008) e influir sobre otros parámetros fisicoquímicos relacionados con la nutrición (Reef et al., 2010). Después de la RH la temperatura del agua osciló entre 28-32 °C, adecuada para el crecimiento de las plántulas (Krauss et al., 2008).
El pH del agua en caños y ciénagas estuvo dentro del rango permisible para la preservación de flora y fauna (Figura 3c). Dentro del manglar, el pH del agua fue similar al registrado en las estaciones de referencia, y estuvo dentro del rango típico reportado para manglares del Caribe colombiano (5,0-8,2; Garcés-Ordóñez y Vivas-Aguas, 2014), que favorecen la disponibilidad de nutrientes esenciales (Reef et al., 2010). El OD en la mayoría de las estaciones fue menor al límite permisible para la preservación de flora y fauna en aguas estuarinas (Figura 3d) y por debajo de 2 mg O2/L (condición subóxica), asociado a la DBO5 que aumentó, posiblemente por la remoción de materia orgánica durante la RH.
En conclusión, en el corto plazo, la RH en el sector Dago-Ustria, indujo cambios rápidos en las condiciones fisicoquímicas del agua en caños, ciénagas y dentro del manglar degradado, mejorando la calidad del agua para la preservación de fauna y mangles. Es necesario el monitoreo de la calidad del agua a largo plazo (> cinco años) para evidenciar cambios significativos ajustados a las variaciones ambientales temporales, así como la inclusión y seguimiento de indicadores biológicos (peces y regeneración natural) que respondan a las mejoras de las condiciones del hábitat. Este monitoreo a largo plazo contribuirá con información para el manejo adaptativo de la restauración de manglares en el DMI Cispata y de otras áreas en Colombia.
AGRADECIMIENTOS
Este trabajo hace parte de la Acción MAPCO, cofinanciada por la Unión Europea, Invemar y Fundación Natura. Gracias al Invemar y a la Universidad Jorge Tadeo Lozano por el soporte institucional, al investigador Felipe Valencia por el apoyo cartográfico y a la comunidad de San Antero por el apoyo en los trabajos de campo. Contribución científica del Invemar No. 1299.
REFERENCIAS
APHA, AWWA and WEF. 2017. Standard methods for the examination of water and wastewater. 23 rd ed. Am. Public Health Assoc., Am. Water Works Assoc., Water Environ. Fed., Washington. 1400 p. [ Links ]
CVS e Invemar. 2010. Plan integral de manejo del Distrito de Manejo Integrado (DMI) bahía de Cispata - La Balsa - Tinajones y sectores aledaños del delta estuarino del río Sinú, departamento de Córdoba. Rojas, G. X y P. Sierra-Correa (eds.). Serie de Publicaciones Especiales 18 Invemar. 141 p. [ Links ]
Febles, J. L., J. Novelo López y E. Batllori Sampedro. 2007. Efecto de factores abióticos en el desarrollo de raíces primarias, crecimiento y supervivencia de propágulos en Rhizophora mangle. Madera y bosques, 13(2): 15-27. https://dx.doi.org/10.21829/myb.2007.1321226 [ Links ]
Garay, J., G. Ramírez, J. M. Betancourt, B. Marín, B. Cadavid, L. Panizzo, L. Lesmes, J. E. Sánchez, S.H. Lozano y A. Franco. 2003. Manual de técnicas analíticas para la determinación de parámetros fisicoquímicos y contaminantes marinos: Aguas, sedimentos y organismos. Invemar, Santa Marta. 148 p. [ Links ]
Garcés-Ordóñez, O. y L.J. Vivas-Aguas. 2014. Calidad del agua en áreas priorizadas de manglar en el Caribe y Pacífico colombianos. Convenio No. 190 de 2014 MADS-Invemar, Santa Marta. 137 p. [ Links ]
IDEAM. 2014a. Clasificaciones climáticas. Inst. Hidrol., Met.. Est. Amb. http://atlas.ideam.gov.co/cclimatologicas/info/clasifclim.html [ Links ]
IDEAM. 2014b. Atlas climatológico de Colombia 1981-2010. Inst. Hidrol., Met. Est. Amb..http://atlas.ideam.gov.co/visorAtlasClimatologico.html [ Links ]
Invemar. 2017. Plan básico de restauración y monitoreo para 150 ha de manglar en el distrito de manejo integrado de Cispata, Córdoba. Inf. técn. final. Santa Marta, 43 p. [ Links ]
Invemar. 2018a. Monitoreo de las condiciones ambientales y los cambios estructurales y funcionales de las comunidades vegetales y de los recursos pesqueros durante la rehabilitación de la Ciénaga Grande de Santa Marta. Inf. Técn. Final 2017. Vol.16. Santa Marta 174 p.+ anexos. http://www.invemar.org.co/inf-cgsm [ Links ]
Invemar. 2018b. Indicador de calidad de aguas marinas y costeras para la preservación de flora y fauna. Disponible desde internet en: Disponible desde internet en: http://siam.invemar.org.co/redcam-icam (con acceso el 27/01/2018). [ Links ]
Knox, G.A. 2001. The ecology of seashore. CRC Press, Boca Raton, EE. UU. 557 p. [ Links ]
Krauss, K., C. Lovelock, K. Mckee, L. López-Hoffman, S. Ewe and W. Sousa. 2008. Environmental drivers in mangrove establishment and early development: a review. Aquat. Bot., 89: 105-127. https://doi.org/10.1016/j.aquabot.2007.12.014. [ Links ]
Lewis, R. 2005. Ecological engineering for successful management and restoration of mangrove forests. Ecol. Eng., 24(4): 403-418. https://doi.org/10.1016/j.ecoleng.2004.10.003 [ Links ]
MinAmbiente. 2015. Decreto 1076 de 26 de mayo de 2015. Decreto Único Reglamentario del Sector Ambiente y Desarrollo Sostenible. Bogotá, 653 p. https://www.suin-juriscol.gov.co/viewDocument.asp?id=30019960 [ Links ]
NOAA. 2020. Historical El Nino / La Nina episodes (1950-present). https://origin.cpc.ncep.noaa.gov/products/analysis_monitoring/ensostuff/ONI_v5.php [ Links ]
Ramos, L., C. Giraldo, J. Beltran, H. Bustos, H. Castillo, R. Acevedo, C. Ruiz, F. Valencia y J. Bolaño. 2015. Plan de seguimiento y monitoreo de la zona deltaico estuarina del río Sinú (noviembre 2000 - diciembre 2015). Invemar. Inf. Técn. Final, fase XVIII empresa URRÁ S.A. E.S.P., Santa Marta. 388 p + anexos y mapas. [ Links ]
Reef, R., I. Feller and C. Lovelock. 2010. Nutrition of mangroves. Tree Physiol., 30 (9): 1148-1160. https://doi.org/10.1093/treephys/tpq048 [ Links ]
Rojas-Aguirre, S., L. Cardona, O. Garcés-Ordóñez y J. Beltran. 2018. Monitoreo ambiental de los manglares de Cispatá, Córdoba, para el fortalecimiento del Sistema de Información para la Gestión de los manglares de Colombia-SIGMA. Informe técnico final convenio 032-2017 CVS-URRÁ S.A. E.S.P. e Invemar. Código PRY-CAM-017-17, Santa Marta. 48 p. [ Links ]
Ruíz-Ochoa, M., G. Bernal y J. Polanía. 2008. Influencia del río Sinú y el mar Caribe en el sistema lagunar de Cispata. Bol. Invest. Mar. Cost., 37(1): 29-49. https://doi.org/10.25268/bimc.invemar.2008.37.1.180 [ Links ]
Sánchez-Páez, H., G. Ulloa y H. Tavera. 2004. Manejo integral de los manglares por comunidades locales, Caribe de Colombia. Proyecto PD 60/01 Rev. 1. (F): manejo sostenible y restauración de los manglares por comunidades locales del Caribe de Colombia. MAVDT, CONIF y OIMT. Bogotá. 335 p. [ Links ]
Serrano, B. 2004. The Sinú river delta on the northwestern Caribbean coast of Colombia: Bay infilling associated with delta development. J. SA Earth Sci., 16(7): 623-631. https://doi.org/10.1016/j.jsames.2003.10.005 [ Links ]
Strickland, J.D.H. and T.R. Parsons. 1972. A practical handbook of seawater analysis. 2nd Ed. Fish. Res. Board Canada, Ottawa. 328 p. https://epic.awi.de/id/eprint/39262/1/Strickland-Parsons_1972.pdf [ Links ]
Teutli, C. y J. Herrera-Silveira. 2016. Capitulo 20: Estrategia de restauración de manglares de México: el caso Yucatán. 459-484. En: Ceccon, E. y C. Martínez (Eds.) Experiencias mexicanas en la restauración de los ecosistemas. Prim. Ed. UNAM, UAEM Conabio, Cuernavaca. 577 p. https://www.crim.unam.mx/web/sites/default/files/Experiencias%20mexicanas.pdf [ Links ]
Recibido: 15 de Agosto de 2020; Aprobado: 11 de Abril de 2021










texto em 




