Serviços Personalizados
Journal
Artigo
Indicadores
-
Citado por SciELO -
Acessos
Links relacionados
-
Citado por Google -
Similares em
SciELO -
Similares em Google
Compartilhar
Estudios Gerenciales
versão impressa ISSN 0123-5923
estud.gerenc. vol.28 no.123 Cali abr./jun. 2012
ANDRÉS MACHADO QUEVEDO, Mg.1, ALEJANDRO PÉREZ LONDOÑO Mg.2, ANDRÉS RAMÍREZ HASSAN Ph.D.*3
1Universidad Eafit, Colombia amachad4@eafit.edu.co
2Universidad Eafit, Colombia aperezl1@eafit.edu.co
3Docente, Universidad Eafit, Colombia. aramir21@eafit.edu.co
* Autor para correspondencia. Dirigir a: Universidad Eafit, Carrera 49 N° 7 Sur 50, Medellín, Colombia.
RESUMEN
El desarrollo de estrategias comerciales para realizar ventas cruzadas efectivas de servicios pensionales, puede ser uno de los retos más grandes de los fondos de pensiones. Se utilizó la base de datos de los afiliados a un fondo de pensiones obligatorias colombiano para implementar varios modelos que describen la incidencia de cuatro características propias de los afiliados sobre la probabilidad de ingresar al fondo de pensiones voluntarias en el siguiente mes. Los modelos se fundamentan en las técnicas de análisis de supervivencia.
Palabras clave. Análisis de supervivencia; venta cruzada; comportamiento del consumidor.
Clasificación JEL: M310; C590
Cross-selling in Colombian pension funds: An approach using survival analysis
ABSTRACT
The development of commercial strategies for effective cross-sell pension services may be one of the biggest challenges of pension funds. The database of the members of a Colombian mandatory pension fund was used for implementing several models that describe the impact of four characteristics of members on the probability of entering the voluntary pension fund in the following month. The models are based on survival analysis techniques.
Keywords. Survival analysis; cross-selling; consumer behavior.
Venda cruzada de fundos de pensões colombianos: uma aproximação mediante análise de sobrevivência
RESUMO
O desenvolvimento de estratégias comerciais para realizar eficazes venda cruzada de serviços de pensões pode ser um dos maiores desafios dos fundos de pensões. Foi usada a base de dados dos membros de um fundo colombiano de pensões obrigatórias para implementar vários modelos que descrevem os efeitos de quatro características próprias dos afiliados sobre a probabilidade de aderir ao fundo voluntário de pensões no próximo mês. Os modelos se baseiam em técnicas de análise de sobrevivência.
Palavras-Chave. Análise de sobrevivência; venda cruzada; comportamento do consumidor.
Introducción
La Ley 100 (Congreso de la República de Colombia, 1993) que dio origen al Sistema de Seguridad Social Integral, autorizó la creación de las Sociedades Administradoras de Fondos de Pensiones (AFP).1 Estas entidades, de acuerdo con la Asociación Colombiana de Administradoras de Fondos de Pensiones y de Cesantía ASOFONDOS (2010),2 son instituciones financieras de carácter previsional, vigiladas por la Superintendencia Financiera de Colombia, cuyo objeto exclusivo es la administración y manejo de fondos y planes de pensiones del Régimen de Ahorro Individual con Solidaridad (RAI)3 y de fondos de cesantía.
En Colombia, adicionalmente, existe el Régimen de Prima Media (RPM),4 administrado por el Instituto de Seguros Sociales (ISS).5En ambos regímenes, la ley exige una cotización correspondiente al 16% del Ingreso Base de Cotización (IBC)6 del afiliado, además ningún individuo podrá tener cotizaciones en ambos regímenes de manera simultánea.
A su vez, estos dos regímenes presentan tres diferencias claves: las condiciones para acceder a una pensión de vejez, la forma cómo se calcula la mesada pensional y los tipos de pensión definidos para cada régimen.
Dentro de los fondos que administran las AFP están los de Pensiones Obligatorias (PO) y los de Pensiones Voluntarias (PV). Los primeros reúnen los aportes que deben realizar todas las personas que trabajan, ya sea bajo la figura de empleado o independiente, con el fin de constituir un ahorro para su retiro del mercado laboral en el futuro. El aporte se hace de manera conjunta entre el empleado y el empleador (en el caso de existir este último).
Por su parte, los Fondos de Pensiones Voluntarias, contienen los aportes que puede realizar cualquier persona con el fin primario de alcanzar una mejor mesada pensional en el momento de retiro o como alternativa de inversión. Dichos fondos de pensión de jubilación e invalidez, son patrimonios autónomos conformados por el conjunto de bienes resultantes de los aportes realizados por los partícipes (afiliados) y entidades patrocinadoras (empleadores), se constituyen conforme a lo establecido en el artículo 168 y subsiguientes del Estatuto Orgánico del Sistema Financiero.
Para diciembre de 2010, de acuerdo con cifras de ASOFONDOS (2010), en Colombia habían 9.270.422 afiliados a los Fondos de Pensiones Obligatorias y tan solo 372.717 afiliados a los Fondos de Pensiones Voluntarias (ver Tabla 1). El anterior resultado, que se ha mantenido desde el 2006 en proporciones similares, permite inferir que las AFP tienen un enorme potencial de venta para Pensiones Voluntarias, ya que cuentan con una bases de afiliados a Pensiones Obligatorias que en determinado momento se pueden convertir en clientes de los dos fondos (venta cruzada).

La venta cruzada, como lo define Harding (2002), es la ampliación de servicios con sus clientes actuales en diferentes áreas para satisfacer sus necesidades en una forma más integral. Por ejemplo, es posible darse cuenta que otra área de servicio, dentro de la empresa, podría ayudar al cliente con un problema. En cualquier caso, la venta cruzada trata de centrarse en las necesidades del cliente e identificar nuevas formas en las que la empresa puede satisfacer esas necesidades.
Analizando la Tabla 1 se observa una mínima proporción de personas afiliadas a Pensiones Voluntarias respecto al número total de afiliados a Pensiones Obligatorias. Este fenómeno se puede presentar debido a la poca formación pensional de los cotizantes en Colombia y a su escasa capacidad de ahorro. Esto denota la compleja tarea de la fuerza comercial de una AFP, debido a la dificultad que representa la determinación de los públicos objetivo, de tal forma que sean más propensos a afiliarse a Pensiones Voluntarias. Esto último teniendo en cuenta una base de clientes muy grande y dispersa.
Ahora bien, la gestión comercial podría tener resultados positivos, incrementando la participación de personas que se afilien a Pensiones Voluntarias, si concentra sus esfuerzos en una masa crítica de individuos con ciertas características como bajo nivel de endeudamiento, alta propensión marginal a ahorrar, alto nivel educativo, conocimiento medio del sector financiero y sus productos, alta carga impositiva debido a sus ingresos tributarios, entre otras.
El presente trabajo busca responder la pregunta ¿Cuál es el efecto de las variables género, edad, tipo de empleo y salario, en la probabilidad que un cliente de Pensiones Obligatorias se afilie a Pensiones Voluntarias en el siguiente mes? Para responder a este interrogante, se estiman de diferentes modelos de análisis de supervivencia. Específicamente, se utilizarán modelos no paramétricos (Aalen, 1978; Kaplan & Meier, 1958; Nelson, 1969), semi-paramétricos (Cox, 1972) y paramétricos (Bhattacharyya, 1997; Gompertz, 1825; Weibull, 1951). A partir de estos modelos, se validará la robustez de los resultados y se compararán los efectos marginales de las variables mencionadas en la probabilidad de lograr una venta cruzada. Igualmente, se estimarán las tasas de transición y las funciones de riesgo asociadas a individuos específicos de particular interés.
El análisis de supervivencia, como lo explican Ansell, Harrison & Archibald (2007), es un conjunto de técnicas estadísticas usadas para determinar cuantitativamente el impacto de un conjunto de variables (como características de clientes) en el tiempo de ocurrencia de un evento (como una venta sucesiva). Del mismo modo, mencionan que esta técnica no ha sido muy utilizada para predecir el comportamiento de clientes pese a tener un enorme potencial en este sentido.
Para la elaboración de los modelos se usó el software Stata (StataCorp., 2009) y se utilizaron datos de afiliados de todo Colombia, proveniente del sistema de administración de clientes de una AFP colombiana.
Este trabajo está dividido en cinco secciones. La primera corresponde a la introducción, en la segunda se presenta el marco teórico que contiene el funcionamiento del Sistema General de Pensiones y las metodologías que se utilizarán en el trabajo, en la tercera parte se muestra el análisis de los datos utilizados para el modelo, en la cuarta se presentan los resultados obtenidos, y finalmente se exponen las conclusiones del análisis.
1 Marco teórico
El Sistema General de Pensiones colombiano está formado por dos regímenes diferentes:
- Régimen de Prima Media (RPM): este tiene las siguientes características a) es solidario de prestación definida; b) los aportes de los afiliados y sus rendimientos, constituyen un fondo común de naturaleza pública, que garantiza el pago de las prestaciones de quienes tengan la calidad de pensionados en cada vigencia, los respectivos gastos de administración y la constitución de reservas; y c) el Estado garantiza el pago de los beneficios a que se hacen acreedores los afiliados (Congreso de la República de Colombia, 1993).
- Régimen de Ahorro Individual con Solidaridad (RAI): este tiene las siguientes características: a) el pago de las pensiones dependerá de los aportes de los afiliados; b) cada afiliado tendrá una cuenta individual de ahorro y c) las AFP deberán garantizar una rentabilidad mínima (Congreso de la República de Colombia, 1993).
En ambos regímenes la ley exige una cotización correspondiente al 16% del IBC del afiliado, sea dependiente o independiente. Para el caso de los asalariados, el 25% de la cotización será aportado por el trabajador y el 75% por el empleador; por su parte, el trabajador independiente tendrá a cargo el 100% de la cotización. Es importante resaltar que en ningún caso un afiliado podrá tener cotizaciones en ambos regímenes de manera simultánea.
Por su parte, las diferencias existentes entre los dos regímenes, son básicamente tres:
a. Las condiciones necesarias para acceder a una pensión de vejez.7Entre los requisitos para adquirir una pensión de vejez en el RPM se encuentran la edad del cotizante, el número de semanas cotizadas y el promedio del IBC de los últimos diez años de cotización. En este caso existe una relación directamente proporcional entre las semanas cotizadas y el monto de la pensión; y, entre el promedio del IBC y su mesada pensional, es decir, a mayor cotización en tiempo o en dinero, se generan un impacto positivo en la prestación final. En el RAI, por su parte, sólo se tiene en cuenta el monto en dinero que un afiliado disponga en su cuenta individual, compuesto por capital pensión. Las semanas cotizadas sólo son tenidas en cuenta en el caso que una persona no alcance el saldo requerido para que su mesada pensional fuera equivalente al 110% de un salario mínimo mensual legal vigente (S.M.M.L.V.) una vez se llegue a la edad mínima de pensión, la cual está definida en 57 años para las mujeres y 62 para los hombres. Por ejemplo, si un afiliado al RAI logra tener un saldo en su cuenta individual que le permita obtener una mesada pensional que equivalga como mínimo al 110% de un S.M.M.L.V., puede acceder a su pensión sin importar su edad.
b. Los tipos de pensión definidos en la ley para cada régimen. En el RPM solo existe la Renta Vitalicia, mientras en el RAI existen tres tipos: Renta Vitalicia, Retiro Programado y Renta Vitalicia con Retiro Programado.8 Lo anterior le concede a los cotizantes la posibilidad, de acuerdo a su estado civil, número de personas a cargo, expectativas de vida, entre otras características, elegir la mejor modalidad de pensión para él.
c. La forma cómo se calcula la mesada pensional. En el régimen de prima media se tienen en cuenta tres factores: las semanas cotizadas, el Ingreso Base de Cotización y el factor de cálculo del ingreso base de liquidación. Así, el ingreso base de cotización estará constituido por el promedio aritmético de los últimos diez años de cotización y será el valor al cual se le aplique el factor de cálculo r = 65,5% 0,5%s, donde s es el valor del último IBC expresado en S.M.M.L.V. y r será el porcentaje que defina el valor del ingreso base de liquidación. Este factor podrá ser incrementado por el número de semanas adicionales a 1.300 que tenga un cotizante, brindándole por cada 50 de ellas un incremento de 1,5% a r, hasta alcanzar un máximo de 80%.
Para ilustrar este esquema pensional, si se analiza un individuo que a sus 62 años tiene un ingreso base de liquidación igual a COP$2.142.240 y que posee 1.500 semanas cotizadas, tomando como base el S.M.M.L.V. para 2011 en COP$535.600, se tiene que r = 65,5% 0,5% × (4) = 63%. A este porcentaje se suma 1,5% por cada 50 semanas adicionales a las 1.300 exigidas por la ley, y se obtiene que su factor r real será 69%, por lo que su mesada pensional estaría liquidada por valor COP$1.478.146.
En el régimen de cuenta individual, la mesada pensional vitalicia estará definida por el monto total de recursos que el afiliado reunió durante su vida laboral, su proyección de vida en años, su estado civil, la edad de su cónyuge y la de sus hijos cuando aplique. Esto significa que no requiere de una edad mínima para acceder a una pensión ni tampoco de un número mínimo de semanas cotizadas. El monto total de los recursos es transferido a una compañía de seguros que otorga un seguro de renta vitalicia al afiliado, con amparo para su núcleo familiar, es decir, cónyuge e hijos menores de 25 años que, por motivos de estudio, estén al margen de la fuerza laboral. A modo de ejemplo, si se analiza un individuo que tiene 52 años de edad, una esposa de 50 años, un hijo menor de edad y el saldo en su cuenta individual es de COP$129.000.000; se obtiene que puede acceder a una mesada pensional de COP$630.000 mensuales si decide pensionarse anticipadamente cuando cumpla 55 años o una mesada de COP$1.370.000 mensuales si espera hasta sus 62 años.9
2 Metodología
El análisis de supervivencia se define como el conjunto de técnicas estadísticas no paramétricas, semi-paramétricas y paramétricas utilizadas para determinar cuantitativamente el impacto de un conjunto potencial de variables influyentes en un lapso de tiempo de que ocurra un evento (Ansell & Phillips, 1989; Ansell & Ansell, 1987; Collett, 2003; Mavri & Ioannou, 2008; Prentice, Williams & Peterson, 1981; Salazar, Harrison & Ansell, 2004). También se define como el estudio del tiempo, total o parcial, que requiere una variable para pasar de un estado a otro.
Este tipo de análisis puede ser utilizado para estudiar el tiempo transcurrido en un estado conocido como tiempo de transición; el tiempo de falla, es decir, cuánto tarda en presentarse una falla; tablas de vida para análisis demográficos o poblacionales; y finalmente, análisis de amenazas para riesgos y seguros. Estas técnicas han sido aplicadas en la medicina (Collett, 2003) y en la industria (Ansell & Phillips, 1989).
De forma análoga, estas técnicas pueden utilizarse en el análisis de venta cruzada o venta incrementada (Ansell et al., 2007). En el primer caso, se observan las características propias de cada individuo para calcular la probabilidad de que éste, siendo cliente de una compañía en uno o varios productos, decida adquirir otro de la misma firma que aún no posea; y en la venta incrementada, se busca encontrar la probabilidad de que un cliente compre más producto del mismo que ya consume.
El principio básico del análisis de supervivencia son los modelos de duración que buscan medir la longevidad de una variable. Un ejemplo clásico es pasar de la vida a la muerte. Estos modelos pretenden calcular la probabilidad que tiene un individuo de morir en un momento determinado, de acuerdo a las características propias de su estilo de vida.
Un elemento esencial al aplicar estas técnicas es la censura que pueden presentar los datos. En particular este concepto se refiere a una forma específica de datos faltantes donde la más común de éstas es la conocida como censura a derecha y se presenta en el siguiente caso: si se tiene un tiempo de censura c y el evento ocurre después de c, o el objeto fue retirado de la muestra antes que se acabe el período de observación, entonces se sabe que la ocurrencia del evento será en (c,∞) (Cameron & Trivedi, 2005).
Todo el conjunto de técnicas se desarrolla a partir de la función de supervivencia, que se define como la probabilidad de que a un individuo de la muestra no le ocurra el evento, es decir, no realice transición. Desde el punto de vista estadístico, sea una variable T cuya función de distribución acumulada es F(t) y su función de densidad es f (t) , entonces, su función de supervivencia es:
A partir de esta función, se construye la función de riesgo. La forma de esta función es:
Se interpreta como una tasa instantánea de transición de que a un individuo le ocurra el evento de interés, bajo un incremento infinitesimal del tiempo, dado que ha sobrevivido hasta el tiempo t.
Técnicas de estimación
En el presente trabajo se utilizarán métodos no paramétricos, semi-paramétricos y paramétricos con el fin de determinar la probabilidad que un cliente de Pensiones Obligatorias se afilie a Pensiones Voluntarias. Lo anterior teniendo en cuenta diferentes variables de control.
2.1 Métodos no paramétricos
Kaplan Meier
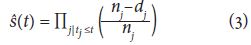
Éste método permite construir la función de supervivencia a partir de las mismas observaciones y sin necesidad de trabajar con períodos de tiempo. El estimador se define como (Kaplan & Meier, 1958):
Donde
es el número de individuos en riesgo de ocurrencia del evento en tj + dj , es el número de individuos a los que les ocurrió el evento en el momento tj y mj es el número de individuos censurados entre [tj ,tj+1).
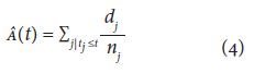
Nelson - Aalen
Sirve para estimar la función acumulada de riesgo. Como no es necesario hacer ningún supuesto sobre la distribución de la variable aleatoria, uno de los usos más comunes es probar el ajuste de los modelos paramétricos. El estimador para la función acumulada de riesgo se define así (Aalen, 1978; Nelson, 1969, 1972):
2.2 Métodos semi-paramétricos
Modelo de riesgo proporcional de Cox
En este modelo el riesgo para el i-ésimo individuo se define mediante la siguiente expresión (Cox, 1972):
Donde Zi(t) es el vector de covariables para el i-ésimo individuo en el tiempo t.
De acuerdo con Borges (2004), el modelo de Cox es un modelo Semi-Paramétrico debido a que incluye una parte paramétrica y otra parte no paramétrica.
i. La parte paramétrica es ri (t)= eβzi(t), llamada puntaje de riesgo (risk score), y donde β es el vector de parámetros de la regresión.
ii. La parte no paramétrica es λ0(t), que es llamada función de riesgo base. Es una función arbitraria y no especificada.
Suponiendo que una transición ha ocurrido en el tiempo t*, entonces la verosimilitud de que la transición le ocurra al individuo i-ésimo y no a otro individuo es:
Donde Yj(t*) es una variable indicadora de censura que toma el valor de 1 sí el individuo no ha sido censurado, y cero (o) en caso contrario. El producto de los términos de la expresión anterior, sobre todos los individuos, es llamado la verosimilitud parcial y fue introducido por Cox (1972).
Finalmente, la maximización de log[L(β)] da una estimación de los coeficientes de las variables explicativas, sin necesidad de estimar el parámetro de ruido o función de riesgo base λ0(t).
2.3 Métodos paramétricos
En estos métodos se asume una distribución del tiempo de supervivencia. La Tabla 2 contiene las funciones de supervivencia y las funciones de riesgo cuando se asumen las diferentes distribuciones que se utilizarán en el presente trabajo. El soporte de las funciones en t está determinado en [0,∞).

3 Análisis de los datos
3.1 Muestreo y variables utilizadas
Los datos utilizados provienen de una AFP colombiana y contienen información de 400 individuos, este tamaño muestral implica un nivel de confianza del 95% y un error del 5%. La periodicidad de los datos es mensual e inicia desde la afiliación del individuo al sistema de Pensiones Obligatorias y finaliza el 31 de diciembre de 2010. Los datos consideran afiliados de todo el territorio colombiano.
Para la realización del muestreo se omitieron los individuos que sólo estuviesen afiliados a Pensiones Voluntarias, los individuos que se afiliaron primero a Pensiones Voluntarias que a Pensiones Obligatorias, los individuos que presentarán algún trámite de traslado o retiro del fondo y los individuos que a 31 de diciembre de 2010 no se encontraran activos.
Se realizó un muestreo aleatorio estratificado por individuos en cada uno de los grupos objeto del estudio. Para esto se tuvo en cuenta el número de individuos afiliados únicamente a Pensiones Obligatorias (Apo) y el número de individuos afiliados a Pensiones Voluntarias (Apo+pv).
La Tabla 3 contiene la explicación de las variables que se obtuvieron de la base de datos y que serán las utilizadas en los modelos.

3.2 Análisis descriptivo
En la muestra seleccionada se encontraron 15 personas afiliadas a Pensiones Obligatorias y Pensiones Voluntarias, lo que representa un 4% de los afiliados (ver Gráfico 1). Esta relación tan pequeña se puede explicar por dos situaciones: en primer lugar, por la alta proporción de individuos que ganan menos de cuatro salarios mínimos, lo que limita la capacidad de ahorro de los colombianos; en segundo lugar, por la falta generalizada del conocimiento sobre el beneficio que representan las Pensiones Voluntarias. Los Gráficos 1 y 2 muestran el análisis descriptivo de las demás variables que se utilizarán en el modelo.

De los resultados obtenidos, vale la pena resaltar la mediana de la edad (33,3 años) y la mediana del IBC (COP$1.377.000). Del Gráfico 2 se puede anotar que tan solo el 20% de los individuos tienen un IBC superior a COP$2.500.000 demostrando que muy pocas personas pueden construir un ahorro para el futuro. En cuanto a la edad, se presenta una concentración mayor en personas con edades entre los 20 y los 30 años. Esto obedece a una característica propia de la AFP de la cual se extrajo la muestra.

En el Gráfico 1 se observa cómo la distribución por género toma las participaciones esperadas, debido al proceso aleatorio de muestreo, donde ambos géneros tenían igual probabilidad de ser escogidos. En cuanto a la composición por tipo, la pequeña participación de los independientes es explicada por la libertad de cotización que tenían estos, los cuales hasta hace muy poco, la ley los obligó a cotizar en Pensiones Obligatorias.
4. Resultados
Al observar el Gráfico 3 se aprecia cómo la probabilidad de supervivencia, es decir, la probabilidad de no afiliarse a Pensiones Voluntarias, decrece lentamente al principio y el descenso se va haciendo más importante con el paso de los meses (ver Gráfico 3). Este comportamiento corresponde con el resultado esperado, debido a que la relación comercial se va forjando entre los afiliados y las AFP con el transcurrir del tiempo, y por consiguiente se incrementa la tasa de transición.

Es importante resaltar la baja probabilidad encontrada de tener simultáneamente afiliación a Pensiones Obligatorias y Pensiones Voluntarias. Por ejemplo, si se toma una muestra después de 200 meses, aún permanecerán únicamente en el fondo obligatorio entre un 88,6% y un 96,3% de los individuos, con una confianza del 95%.
El Gráfico 4 muestra la función de supervivencia por tipo de afiliado.10 Conceptualmente, se espera que un cotizante independiente tenga más propensión a estar afiliado en Pensiones Voluntarias, ya que este hecho le permite realizar aportes adicionales con fines pensionales sin incrementar los costos asociados a la seguridad social como son los aportes al plan obligatorio de salud (POS) correspondientes al 12,5% del IBC. Aunque intuitivamente este resultado puede ser plausible, lo que indica el Log Rank test es que no hay diferencias significativas en las funciones de supervivencia entre los tipos de afiliados. Específicamente, el estadístico de prueba es igual a 0,23, lo cual implica un p valor de 0,63 para una Chi cuadrado con un grado de libertad; en consecuencia, no se rechaza la hipótesis nula de igualdad en las curvas de supervivencia a un nivel de significancia del 5%. Muy probablemente lo que refleja este resultado es desconocimiento por parte de los afiliados independientes o restricciones presupuestarias agudas de los mismos, lo cual implica en cualquier caso la no vinculación al sistema de Pensiones Voluntarias.

A modo de ilustración, si una persona quiere cotizar con un IBC de COP$2.000.000, deberá pagar por concepto de pensión obligatoria, COP$320.000 mensuales y por concepto de POS,11 COP$250.000 con la misma periodicidad. En el caso que prefiriera cotizar por un IBC de COP$1.000.000, tendría por los mismos conceptos unos costos de COP$160.000 y COP$125.000, respectivamente. La diferencia de COP$285.000 puede aportase a Pensiones Voluntarias con fines pensionales y tendrá un mejor efecto a futuro en el saldo de su cuenta individual, sin afectar las coberturas en salud, ya que el IBC para este caso no determina ni la calidad ni la cantidad de los servicios a los cuales el afiliado puede acceder.
El Gráfico 5 muestra la Función de Riesgo, que en este caso se interpreta como la probabilidad que un determinado individuo en cierto horizonte temporal se afilie a los dos sistemas de pensiones. Por ejemplo, después de 100 meses, bajo un nivel de confianza del 95%, la probabilidad de estar afiliado a los dos sistemas se encuentra entre el 1,8% y el 6,1%.

Por su parte, el Gráfico 6 permite concluir que después de 150 meses, la tasa de transición, es decir, estar afiliado a los dos sistemas, será 10,1% para los trabajadores independientes y 5,6% para los trabajadores asalariados.

Luego de las conclusiones de los autores, presentadas a partir de la evidencia gráfica fundamentada en el enfoque no paramétrico, se procede a realizar las estimaciones semi-paramétricas y paramétricas, las cuales presentan como supuesto subyacente la hipótesis de riesgos proporcionales. Esta fue corroborada a partir de la construcción de los residuales Schoenfeld, y se concluye que no hay evidencia estadística significativa para rechazar este supuesto (ver Tabla 4).

Analizando los resultados obtenidos del modelo semi-paramétrico de Cox (ver Tabla 5), se obtiene que únicamente el IBC resulta significativo y con el signo adecuado, pero con un coeficiente muy bajo (4,45 × 10-7). De forma similar, de los coeficientes asociados a los riesgos relativos de este modelo, sólo resultó estadísticamente significativo el del IBC.

Con las estimaciones obtenidas, si se seleccionan dos individuos representativos,12 uno con un ingreso de COP$10.000.000 y otro con un ingreso de COP$11.000.000, se obtiene que la tasa de transición del individuo con mayor ingreso es 3,6 × 10-5, mayor en un 1,3 × 10-5 a la del individuo con menor ingreso.
Por último, se presentan los resultados de los modelos paramétricos para los coeficientes estimados de la función de riesgo y para los asociados a los riesgos relativos (ver Tabla 6).

Nuevamente se obtiene para los tres modelos tratados (Exponencial, Weibull & Gompertz), que el IBC resulta significativo y con el signo esperado, aunque de forma similar a lo obtenido en el modelo de Cox, los coeficientes estimados son muy bajos (4,46 × 10-7, 4,47 × 10-7 y 4,48 × 10-7) para los modelos citados, respectivamente.
Cabe resaltar que, dado el objetivo de verificar el grado de bondad de ajuste de los modelos, se realizó una prueba de razón de verosimilitud para cada uno de ellos y el valor de la Chi cuadrado al 5% de significancia y 4 grados de libertad es 9,45. Los valores de los estadísticos de razón de verosimilitud para los modelos Exponencial, Weibull & Gompertz son 27,72, 27,74 y 27,75, respectivamente; lo cual implica que los modelos son globalmente significativos.
Al utilizar las estimaciones encontradas con los modelos paramétricos en el mismo individuo, analizado en la estimación semiparamétrica, se encuentra que la tasa de transición, en promedio para los tres modelos, del individuo de mayor ingreso es 1,27 × 10-2 y la del individuo de menor ingreso es 8,2 × 10-3. Este resultado evidencia un mayor diferencial en las tasas de transición con respecto al IBC en los modelos paramétricos.
5 Conclusiones
Este trabajo constituye un estudio sobre la incidencia que tienen la edad, el género, el tipo de cotizante y el ingreso base de cotización en la probabilidad de afiliarse a Pensiones Voluntarias dado que se está afiliado a Pensiones Obligatorias.
Para estudiar la cuestión mencionada, se utilizaron diferentes técnicas de análisis de supervivencia, incluyendo modelos no paramétricos, semi-paramétricos y paramétricos.
En los modelos planteados se encontró que la variable IBC siempre resulta significativa en la probabilidad de afiliarse a Pensiones Voluntarias en el siguiente mes, dado que ya se está afiliado a Pensiones Obligatorias. Además, las estimaciones obtenidas para esta variable en los diferentes modelos arrojaron el signo esperado, ya que a mayor ingreso, mayor será la probabilidad de ingresar a los dos fondos de forma simultánea. Por su parte, el género, la edad y el tipo de cotizante, no resultaron significativos en ninguno de los modelos planteados.
Es importante resaltar la baja tasa de transición hallada y el impacto marginal que tienen las variables en la probabilidad de afiliarse a Pensiones Obligatorias y Voluntarias simultáneamente. Esto se puede explicar por la poca cultura del ahorro que existe en Colombia y el limitado conocimiento que existe sobre los beneficios que brinda la afiliación a un Fondo de Pensiones Voluntarias.
Este estudio permite concluir que para los trabajadores independientes es muy importante la pensión voluntaria como mecanismo de protección futura ante la necesidad de retirarse por invalidez o vejez, sin embargo, es importante destacar que la teoría pensional, enmarcada en una estructura como la planteada en la Ley 100 (Congreso de la República de Colombia, 1993), infiere que el primer mecanismo de ahorro previsional para tal fin es la pensión obligatoria, dada la estructura del esquema y el escaso conocimiento financiero de los cotizantes.
Sería interesante encontrar en trabajos futuros, un ejercicio similar con bases de datos de múltiples AFP que permitan identificar si existen diferencias sustanciales entre los afiliados por efectos de estrategias comerciales heterogéneas o la selección de públicos objetivos distintos. También se podría analizar el impacto de otras variables en la probabilidad de realizar una venta cruzada como el nivel de endeudamiento, la propensión marginal a ahorrar y el nivel educativo.
Notas al pie de página
1. Artículo 90, Ley 100 de 1993: Entidades Administradoras.
2. Asociación Colombiana de Administradoras de Fondos de Pensiones y de Cesantía.
3. Título III, Ley 100 de 1993: Régimen de Ahorro Individual con Solidaridad.
4. Título II, Ley 100 de 1993: Régimen Solidario de Prima Media con Prestación.
5. Artículo 52, Ley 100 de 1993: Entidades administradoras.
6. De acuerdo con la Ley 100 de 1993, es la porción del salario del trabajador, dependiente o independiente, que se toma como base para aplicar el porcentaje de aporte respectivo al momento de realizar la cotización al Sistema General de Seguridad Social. La forma como se calcula dicha porción se establece en el artículo 18 de esta Ley. La determinación del IBC proviene de un acuerdo entre empleador y empleado, y corresponde a la porción del ingreso que será constitutiva de salario.
7. Las pensiones por incapacidad total o permanente y las pensiones de sobrevivencia funcionan de la misma forma en los dos regímenes. Éstas, cubren los riesgos de una pensión anticipada por cualquiera de esos dos motivos y otorgan, al cotizante o a su cónyuge e hijos menores de 25 años que se encuentren estudiando, una prestación definida de igual cuantía conocida como Renta Vitalicia.
8. Capítulo V, Ley 100 de 1993: Modalidades de Pensión.
9. Este cálculo se realizó con base en la información de un cliente y de acuerdo a los cálculos actuariales permitidos por la ley para tal fin. Esta información no compromete a los autores y su estimación es sólo ilustrativa.
10. El tipo de afiliado, dependiente o independiente, hace referencia al trabajo del afiliado.
11. Plan Obligatorio de Salud.
12. Mujer asalariada de 35 años, con una antigüedad en Pensiones Obligatorias de 36 meses.
Referencias bibliográficas
Aalen, O. (1978). Nonparametric inference for a family of counting processes. Annals of Statistics, 6(4), 701-726. [ Links ]
Ansell, J.I., Harrison, T. & Archibald, T. (2007). Identifying cross-selling opportunities, using lifestyle segmentation and survival analysis. Marketing Intelligence & Planning, 25(4), 394-410. [ Links ]
Ansell, J.I. & Phillips, M.J. (1989). Practical Methods for Reliability Data Analysis. Journal of the Royal Statistical Society, 38(2), 205-247. [ Links ]
Ansell, R.O. & Ansell, J.I. (1987). Modeling the reliability of sulphur sodium batteries. Reliability Engineering, 17, 127-137. [ Links ]
Asociación Colombiana de Administradoras de Fondos de Pensiones y de Cesantía - ASOFONDOS. (2010). Definiciones y estadisticas. Recuperado el 3 de febrero de 2010, de http://www.asofondos.org.co [ Links ]
Bhattacharyya, A. (1997). Modeling Exponential Survival Data with Dependent Censoring. Sankhya: The Indian Journal of Statistics, 59, 242-267. [ Links ]
Borges, R. (2004). Análisis de supervivencia básico utilizando el lenguaje R. Caracas: Universidad Central de Venezuela. [ Links ]
Cameron, A.C. & Trivedi, P.K. (2005). Microeconometrics - Methods and Applications (3a ed.). Cambridge: University Press. [ Links ]
Collett, D. (2003). Modeling Survival Data in Medical Research (2nd ed.). New York, NY: Chapman and Hall. [ Links ]
Cox, D.R. (1972). Regression Models and Life-Tables. Journal of the Royal Statistical Society, 34(2), 187-220. [ Links ]
Gompertz, B. (1825). On the Nature of the Function Expressive of the Law of Human Mortality, and on a New Mode of Determining the Value of Life Contingencies. Philosophical Transactions of the Royal Society of London, 115(1825), 513-585. [ Links ]
Harding, F. (2002). Cross-Selling Success: A Rainmakers Guide to Professional Account Development. Avon, MA: Adams Media Corporation. [ Links ]
Kaplan, E.L. & Meier, P. (1958). Nonparametric Estimation from Incomplete Observations. Journal of the American Statistical Association, 53(282), 457-481. [ Links ]
Ley 100, Por la cual se crea el sistema de seguridad social integral y se dictan otras disposiciones, Congreso de la República de Colombia. (1993). Recuperado de http://www.col.ops-oms.org/juventudes/Situacion/LEGISLACION/SALUDYDEPORTE/SL10093.htm [ Links ]
Mavri, M. & Ioannou, G. (2008). Customer switching behavior in Greek banking services using survival analysis. Managerial Finance, 34(3), 186-197. [ Links ]
Nelson, W. (1969). Hazard plotting for incomplete failure data. Journal of Quality Technology, 42(1), 27-52. [ Links ]
Nelson, W. (1972). Theory and applications of hazard plotting for censored failure data. Technometrics, 42(1), 945-965. [ Links ]
Prentice, R.L., Williams, B.J. & Peterson, A.V. (1981). On regression analysis of multivariate failure data. Biometrika, 68(2), 373-379. [ Links ]
Salazar, M.T., Harrison, T. & Ansell, J. (2004). CRM in the Insurance Industry: An Attempt to Use Survival Analysis in Retention and Cross Selling. Edimburgo: Frontiers of E-Business Research. [ Links ]
StataCorp. (2009). Stata Statistical Software: Release 11. College Station, TX: StataCorp LP. [ Links ]
Weibull, W. (1951). A statistical distribution functions of wide applicability. Journal of Applied Mechanics, 3, 293-297. [ Links ]



















