Serviços Personalizados
Journal
Artigo
Indicadores
-
Citado por SciELO -
Acessos
Links relacionados
-
Citado por Google -
Similares em
SciELO -
Similares em Google
Compartilhar
Sociedad y Economía
versão impressa ISSN 1657-6357
Soc. Econ. no.20 Cali jan./jun. 2011
Gasto público en educación: ¿efecto Crowding-in o efecto señalización sobre los niveles educativos y perfiles salariales de los individuos? análisis para Colombia: año 20081
Public expenditure on education: Crowding-in effect or signaling effect on educational levels and wage profiles of individuals? analysis for Colombia: 2008
Gasto público em educação: ¿efeito crowding-in ou efeito sinalização sobre os níveis educativos e perfis salariais dos indivíduos? análise para Colômbia: 2008
Oscar Fabián Riomaña Trigueros
Universidad del Valle, Cali - Colombia
oscarfa_88@hotmail.com
Recibido: 08.11.10
Aprobado. 15.03.11
1 Este artículo fue mi trabajo de grado para optar por el título de economista de la Universidad del Valle, resultado de mi participación en las actividades del grupo de investigación en Economía Laboral.
Resumen:
Este trabajo analiza el impacto del gasto público en educación sobre los niveles educativos y los salarios (productividad) de los individuos en Colombia utilizando la Encuesta de Calidad de Vida para el año 2008. Se contrastan dos escenarios: 1) La teoría del capital humano postula al gasto público en educación como un mecanismo que incentiva la acumulación de capital humano (efecto crowding-in) y 2) la teoría de la señalización que lo concibe como una herramienta que provee un nivel educativo a los individuos para señalizarlos dentro del mercado laboral. Los resultados obtenidos a partir de una ecuación de Mincer y una función de producción de capital humano sugieren que los dos enfoques explican el efecto del gasto público en educación sobre el nivel educativo y los salarios de los individuos.
Palabras Claves: Capital Humano; Señalización; Gasto Público en Educación; Política Educativa; Mercado de Trabajo.
Abstract:
This paper analyzes the impact of public expenditure on the educational attainments and wages profiles (productivity) of the economic agents in Colombia by using the Quality of Life Survey for 2008. It is contrasted through two scenarios: 1) The human capital theory postulates to public expenditure on education as a mechanism that encourages the accumulation of human capital (crowding-in effect) and 2) the signaling theory that conceives it as a policy tool that provides an educational level to signal individuals in the labor market. The results obtained from a Mincer earnings equation and production function of human capital suggest that the two approaches to explain the public expenditure on education on the educational attainments and wages of individuals.
Key Words: Human Capital; Signaling; Public Expenditure on Education; Education Policy; Labor Market.
JEL Classification: I21, I22, I28, J24.
Resumo:
Este trabalho analisa o impacto do gasto público em educação sobre os níveis educativos e os salários (produtividade) dos indivíduos em Colômbia, utilizando a Enquête sobre Qualidade de Vida para o ano 2008. Contrastam-se dois cenários: 1) A teoria do capital humano que postula o gasto público em educação como um mecanismo que incentiva a acumulação de capital humano (efeito crowding-in) e 2) a teoria da sinalização que o concebe como uma ferramenta fornecedora de um nível educativo, o qual sinaliza os indivíduos dentro do mercado de trabalho. Os resultados sugerem que as duas perspectivas explicam o efeito do gasto público em educação sobre o nível educativo e os salários dos indivíduos
Palavras-chave: Capital Humano; Sinalização; Gasto público em Educação, política Educativa; Mercado de Trabalho.
1. Introducción
Desde la visión teórica del capital humano, la educación ha sido considerada como un proceso de inversión que realizan los individuos en función de los beneficios salariales que pueden percibir en el futuro (Becker, 1964). Bajo esta óptica, el gasto en educación puede ser visto como una inversión que contribuye a mejorar las capacidades productivas de los agentes económicos y con ello, su flujo de ingresos futuros (Schultz, 1961).
De esta manera, tomando como punto de partida los postulados básicos de la teoría del capital humano, la formulación de la política económica se ha dirigido a la asignación de un mayor gasto público en educación como un mecanismo que conduce a una mayor acumulación de capital humano y a una mejora de la productividad y de las remuneraciones salariales de los individuos, que no sólo garantizan un aumento de su movilidad social y nivel de bienestar dentro de la sociedad sino que también se constituye como una variable de gran trascendencia dentro del crecimiento económico en el largo plazo (Echeverry, 2005).
Como contrapartida a dicha corriente teórica, la teoría de la señalización considera la inversión en educación como una estrategia que utilizan los individuos en función de la capacidad informativa que les otorga sobre sus habilidades para señalizarse en el mercado laboral [Arrow (1973), Spence (1973), Rothschild y Stiglitz (1976)]. Esta hipótesis es sustentada desde dos vertientes teóricas: La primera de ellas, la hipótesis del filtro o de la selección considera a la educación como un medio del cual disponen los empresarios para identificar a los trabajadores potencialmente más productivos. Por otra parte, el credencialismo concibe la educación como un proceso de acumulación de certificados o credenciales de los agentes económicos en búsqueda de mayores niveles de señalización, con el objetivo de vincularse a las actividades productivas del mercado de trabajo.
A partir de estos planteamientos, el gasto público en educación no contribuiría al alcance de un mayor logro educativo de los individuos al ser sólo las habilidades innatas las que afectan la productividad. En este caso, la política educativa incentiva la generación de un mecanismo "buscador de rentas" o rent-seeking que convierte al sistema educativo en un productor de credenciales para que los individuos logren señalizar sus capacidades en el mercado de trabajo (Barceinas et. al., 2000a).
Teniendo en cuenta lo expuesto en los apartados anteriores, la formulación del problema central de investigación del presente trabajo se dirige a responder las siguientes preguntas: ¿el gasto público es un factor que incentiva la acumulación de capital humano de los individuos teniendo a su vez, efectos tanto en su productividad como en sus ingresos salariales (efecto crowding-in)? o ¿la inversión de recursos en educación es sólo un sistema de provisión de credenciales que potencializa el contenido informativo de las habilidades innatas de los agentes en el mercado de trabajo (efecto señalización)?
Por tanto, el objetivo del presente documento es analizar el impacto del gasto público en educación sobre los niveles educativos y los perfiles salariales de los agentes económicos para Colombia en el año 2008: ¿la política educativa ejercida a través del gasto en educación es coordinada por el efecto crowding-in (acumulación de capital humano) o por el efecto señalización (la educación como herramienta informativa a través de credenciales)? Para responder a esta pregunta, además de la presente introducción, se presenta en la sección 2 una revisión de la literatura relevante en el ámbito nacional e internacional sobre el tema. En la sección 3 se expone una breve descripción de los modelos teóricos que caracterizan el efecto crowding-in (teoría del capital humano) y el efecto señalización (credencialismo). La sección 4 presenta la descripción de los datos utilizados a partir de la Encuesta de Calidad de Vida para el año 2008, seguida por la estimación de los modelos y la interpretación de los resultados. Se finaliza con las conclusiones en la sección 5 y las referencias bibliográficas empleadas en la realización del trabajo.
2. Revisión de la Literatura
2.1 Ámbito internacional
A nivel teórico, los trabajos de Ben-Porath (1967), Uzawa (1965) y Lucas (1988) fueron los pioneros en la formulación de una función de producción de capital humano que describe el proceso de formación educativa de los individuos dentro de un escenario de crecimiento económico endógeno con generaciones traslapadas. Dentro de este contexto, el capital humano es considerado como una inversión intertemporal que realizan los agentes con el objetivo de aumentar su productividad y su nivel de ingresos futuros.
Desde otra perspectiva, los primeros desarrollos teóricos iniciados a partir del modelo de señalización de Spence (1973), el modelo del filtro de Arrow (1973), el modelo de selección o criba de Rothschild y Stiglitz (1976) y el modelo de acumulación de credenciales de Riley (1976) postulan a la educación como una herramienta informativa que señaliza a los individuos a través de sus habilidades como trabajadores más aptos en el mercado laboral. Con ello, la señalización abandona el concepto de educación como un proceso de inversión consistente con la acumulación de mayores capacidades y, por tanto, de mayores ingresos salariales.
En investigaciones más recientes, Glomm y Ravikumar (2001) realizan una simulación de un modelo DSGE con acumulación de capital humano para las economías de Canadá y Estados Unidos, donde la financiación pública de la educación se incorpora como insumo dentro de la función de producción de capital humano. Los autores encuentran que el efecto sustitución de un mayor gasto público en educación asociado a la reducción del costo de oportunidad del tiempo que invierten los individuos dentro del ciclo educativo domina el efecto ingreso derivado de los salarios que estos dejan de percibir durante dicho período. Ello implica que el gasto público en educación ejerce un impacto importante en la acumulación de capital humano a través de la inversión de recursos en la mejora de la calidad educativa de las escuelas. Conclusiones similares son encontradas en los trabajos de Becker y Tomes (1986), Glomm y Ravikumar (1992), Boldrin (1993), Benabou (1996, 1999), Iyigun (1999) y Soares (2003).
Los trabajos de Barceinas et. al. (2000a) y Pons (2000) presentan algunas metodologías para confrontar las teorías del capital humano y de la señalización en el caso español. Los resultados obtenidos a partir de las estimaciones de una ecuación minceriana indican que la teoría del capital humano es el enfoque que mejor explica la determinación de los salarios, aunque no se descarta la presencia de señalización dentro del mercado laboral español. Se resalta que si la hipótesis de la señalización se cumpliera, la política educativa generaría un mecanismo rent-seeking o buscador de rentas que se encargaría de asignar puestos de trabajo eficientemente en el mercado laboral.
En otra investigación alternativa, Barceinas et. al. (2000b) analizan la incidencia del gasto público en educación como inversión en capital humano. A través del planteamiento de una ecuación de Mincer y el método elaborado de Psacharopoulos (1981) y la formulación de una función de impuestos y de consumo, se encuentra como principal resultado que el gasto público en educación actúa como inversión en capital humano al generar una corriente de beneficios futuros esperados tanto para el sector público –desde el punto de vista fiscal– como para los individuos –desde el individual y social– al dedicar recursos que contribuyan tanto al crecimiento de la productividad de la economía como a los mayores niveles educativos alcanzados por los agentes económicos.
2.2 Ámbito Nacional
Dentro del contexto nacional, Tenjo (1996) analiza el problema de autoselección bajo el supuesto de heterogeneidad de los agentes donde la elección del nivel educativo óptimo se convierte en un instrumento que señaliza sus habilidades y les permite involucrarse en las actividades laborales donde sean más productivos. Con ello, el autor estima un modelo de autoselección donde los individuos maximizan su ingreso a lo largo de su vida laboral teniendo en cuenta las ventajas comparativas representadas por su nivel de habilidad, perfil socieconómico y sus oportunidades laborales, logrando "autoclasificarse" dentro una determinada categoría ocupacional. De acuerdo con este resultado, el proceso de autoselección sugeriría un sistema educativo basado en la meritocracia, donde la política educativa pierde poder de acción como una política social que promueva una mejor distribución del ingreso y que logre vincular a los individuos –especialmente a los más pobres– al sistema escolar a través del subsidio de su educación.
El trabajo de Castellar y Uribe (2003a) presenta una propuesta para confrontar las hipótesis de la señalización (en su versión credencialista) y del capital humano para determinar cuál de los dos enfoques explica la determinación de los salarios en el mercado laboral de la ciudad de Cali para el período 1988-2000. Utilizando la Encuesta Nacional de Hogares (ENH), los autores plantean dos formulaciones de la ecuación de ingresos de Mincer (variables spline para teoría del capital humano y cambios bruscos para el credencialismo). La evidencia empírica encontrada a favor de la teoría del capital humano enfatiza la importancia de la inversión en educación, especialmente de alta calidad: si la política educativa estuviese coordinada a los postulados básicos de la teoría de la señalización, lo único relevante sería que el agente logre señalizarse bien al vincularse a una institución educativa sin importar la calidad de la misma, por lo cual es posible que un aumento de la cobertura en educación no se traduzca efectivamente en un aumento de la calidad, lográndose solamente el objetivo de señalizarse bien en el mercado laboral.
Al igual que su trabajo anterior, Castellar y Uribe (2003b) estiman un modelo de determinantes macroeconómicos para la tasa de retorno de la educación, donde el desempleo y la inflación juegan un rol central dentro del proceso de elección del nivel educativo de los individuos en la economía. Los autores concluyen que la tasa de retorno de la educación es sensible a las políticas de control del nivel de inflación y desempleo, las cuales pueden ejercer un efecto distorsivo al acentuar la concentración de la distribución del ingreso y al restringir las oportunidades educativas de los individuos que se encuentran en los sectores más pobres de la sociedad.
Por otro lado, Pardo (2006) expone un modelo de generaciones traslapadas con base en la información proporcionada por el DANE y la Unesco, en el cual resalta el papel del gasto público en educación como un factor que contribuye al proceso de acumulación de capital humano de los individuos, encontrando que un aumento del 1% en el gasto público en educación implica un incremento de 0,1 años del tiempo promedio de escolaridad.
Finalmente, como un complemento a esta investigación y siguiendo el trabajo preliminar de Azariadis y Drazen (1990), Pardo (2007) estima un modelo OLG con rendimientos sociales crecientes de la educación donde destaca las externalidades positivas que ejerce el stock de capital humano medio del entorno sobre el nivel educativo de un individuo. El autor concluye que la implementación de una política educativa enfocada hacia un mayor gasto público en educación tendría en cuenta el flujo de beneficios que podría otorgarle las externalidades positivas que generan los rendimientos sociales crecientes de la educación.
3. Gasto público en educación: ¿Efecto crowding-in o Efecto señalización?
3.1 El modelo del capital humano
3.1.1 La ecuación de ingresos de Mincer
Siguiendo la presentación de Mincer (1974), la ecuación de ingresos, que reúne la relación productividad-años de educación, en su versión ampliada por la experiencia, viene dada por:

Donde s son los años dedicados a la educación, r es la tasa de retorno a la inversión en educación (que se considera igual a la tasa de descuento), son los ingresos salariales por hora del individuo con s años de educación y es la experiencia adquirida en el mercado de trabajo.
3.1.2 La función de producción de capital humano
La acumulación de capital humano es considerada como un proceso de producción de capacidades o de generación de ingresos potenciales futuros (Weiss, 1986) que depende inicialmente de su stock de capital humano previamente acumulado y de su nivel de habilidades innatas. Una formulación preliminar propuesta por Ben-Porath (1967), Uzawa (1965) y Lucas (1988) y ampliada con el gasto público en educación en trabajos como los de Becker y Tomes (1986), Glomm y Ravikumar (1992, 2001), Boldrin (1993), Benabou (1999), Soares (2003), Pardo (2006) y Cuhna y Heckman (2007) es:

Donde es el nivel de acumulación del capital humano en t+1, es el nivel de capital humano en t, es el nivel de habilidades del individuo y es el gasto público en educación. Teniendo en cuenta las anteriores propiedades de la función de producción de capital humano2, la forma funcional típica (Cobb-Douglas) que se plantea en la literatura es [Véase Glomm y Ravikumar (1992, 2001) y Pardo (2007)]:

3.1.3 Linkage entre la ecuación de ingresos de Mincer y la función de producción de capital humano: Visualización y caracterización teórica del efecto crowding-in
Teniendo en cuenta las expresiones (1) y (4), se plantea el siguiente sistema de ecuaciones:

Donde la ecuación (2') es la misma que la expuesta en (2) sólo que presenta a la variable background familiar (como por ejemplo, la educación de los padres) como insumo relevante en la producción de capital humano, en la medida que se constituye en el canal transmisor de capacidades de las familias a los individuos [Véase Becker y Tomes (1986) y a nivel nacional, el trabajo de Vivas (2005)]. Asumiendo que , expresando la ecuación (1) en y reemplazando en (1):

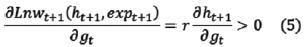
Derivando (4) respecto a se obtiene la siguiente expresión:

La expresión (5) caracteriza teóricamente el efecto crowding-in: El gasto público en educación como insumo productivo de la función de producción de capital humano genera un impacto positivo sobre el nivel de acumulación de capacidades productivas y cognitivas de los individuos. A su vez, el gasto público incidirá positivamente sobre los perfiles salariales de los individuos en la medida en que su alcance de mayores niveles de educación les otorguen mayores beneficios en términos de productividad y adquisición de conocimientos y habilidades para desarrollarse dentro de las actividades productivas que exige el mercado laboral.
3.2 El modelo de la señalización
3.2.1 Capital humano y credencialismo
De acuerdo con los planteamientos de la hipótesis de la señalización, el gasto público en educación no ejerce ningún efecto sobre el stock de capital humano de los agentes económicos, al considerar a las habilidades como el único determinante del desarrollo de las capacidades de los individuos al igual que de sus logros laborales y salariales [Spence (1973), Arrow (1973) y Rothschild y Stiglitz (1976)]. De esta manera, se tiene que:

3.2.2 Gasto público en educación y producción de credenciales: Visualización y caracterización teórica del efecto señalización
Desde la versión credencialista de la hipótesis de la señalización y tomando como punto de partida el modelo de Riley (1976), el gasto público se constituye en una variable relevante dentro del proceso de provisión de credenciales para que los individuos logren señalizarse dentro del mercado laboral:

Sea la credencial alcanzada por el j-ésimo individuo correspondiente al i-ésimo nivel educativo, con una forma funcional como la siguiente:

Teniendo en cuenta la condición en la que los salarios se igualan a la productividad marginal y que la productividad es señalizada de acuerdo con el nivel de credenciales obtenidos por un individuo, se tiene que:

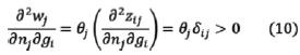
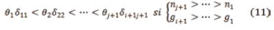
La expresión (9) refleja que el salario que percibe un individuo j por alcanzar un nivel educativo i es proporcional a la credencial acumulada zij con su stock de habilidades innatas nj y un gasto público en educación gi.
Derivando la expresión (9) con respecto a nj y gi, se llega a:

Donde

Las expresiones (10) y (11) exponen teóricamente el principal resultado del efecto señalización: el gasto público en educación logra ubicar a los individuos dentro del mercado laboral a través de la revelación del valor informativo que contiene el nivel educativo del título sobre el nivel de habilidades de los agentes económicos. Los perfiles salariales de los individuos dependerán del título que revele su productividad a través de su dotación de capacidades innatas.
4. Método
4.1. Análisis descriptivo de la muestra, variables del modelo y selección de los datos
En este trabajo se utilizó la información suministrada por la Encuesta de Calidad de Vida para el año 2008 realizada por el DANE, la cual contiene información desagregada por cabecera y resto para cada región del país. Para la estimación de los modelos se tuvo en cuenta el módulo de personas donde se realizó la discriminación de la muestra por individuos que se encontraban estudiando en ese momento y participaban en el mercado laboral.
Como primer paso, las variables empleadas para la estimación de la función de producción de capital humano fueron los años acumulados de educación, el gasto público en educación por individuo –cuya construcción se explicará en el siguiente apartado–, el nivel educativo de los padres y la educación promedio del entorno (entendida como el número de años de educación promedio de la región). En segundo lugar, se emplean los ingresos laborales por hora, los años de educación y la experiencia laboral para estimar la ecuación de ingresos de Mincer. El manejo de los datos y la estimación de los modelos se realizaron con el software STATA 10.1.
4.2 Construcción de la variable gasto público en educación por individuo
Esta variable se construyó teniendo en cuenta que "por gasto público en educación se entiende a los bienes y servicios que sirven de apoyo al estudio (libros, computadores, aulas, servicios docentes) y cuya adquisición es subsidiada parcial o totalmente por el Estado, bien sea a través de su provisión directa (escuelas públicas) o de subsidios a la demanda (becas)" (Pardo, 2006).
Por tanto, se ofrece una medida aproximada de la inversión pública en educación destinada para los individuos activos en el ciclo educativo en el año 2008, donde se utilizó información como el valor estimado diario de la comida recibida en una institución educativa oficial, el valor de la beca y del subsidio recibido en una institución oficial y el valor de la beca y el subsidio recibidos por otras entidades de carácter público (como el gobierno nacional, departamental o municipal, ICETEX, empresas públicas, etc.), las cuales permiten capturar variables proxy de financiación pública de la educación por individuo y evitar posibles sesgos de sobreestimación al realizar la respectiva discriminación de dichos rubros por su carácter oficial y no oficial (Véase Anexo B).
Posteriormente se procedió a corregir las variables construidas por frecuencia semestral, bimestral y mensual para transformarlas en un rubro anual, de cuya suma resulta una proxy al gasto público en educación por individuo para el año 2008. Nótese que la especificación en rubros anuales de dicha variable es consistente con la estructura teórica del modelo donde el impacto del gasto público sobre los años acumulados de educación de los individuos es rezagado, para lo cual es necesario utilizar una proxy de la inversión pública para el año 2007. Además, la construcción de esta variable se hace bajo el supuesto de que los individuos reciben financiación pública de su educación para los años 2007 y 2008, lo cual permite establecer y evaluar el impacto del gasto educativo del 2007 en un año adicional de educación que alcanzan los agentes económicos en el 2008.
La información consultada en las estadísticas sectoriales del MEN y del SNIES sobre el nivel de matrículas por primaria y secundaria y educación superior por departamento para el sector oficial permitió calcular las tasas de crecimiento promedio anual para el período 2002-2007 para cada ente territorial, las cuales fueron empleadas más adelante en el cálculo de la tasa de crecimiento promedio anual para cada región, siguiendo la clasificación sugerida por el Manual de Recolección y Conceptos Básicos de la ECV 2008. Tomando como punto de partida esta información y suponiendo que el gasto crece a una tasa geométrica, se estima una aproximación de dicho rubro para el año 2007, variable que será incluida en la estimación de los modelos. En la Tabla No. 1 se presentan algunas estadísticas descriptivas que muestran resultados consistentes con la metodología propuesta3.

4.3 Estadísticas descriptivas para los modelos de capital humano y de señalización
4.3.1 Caracterización estadística para el modelo de capital humano
Como variable relevante en la función de producción de capital humano y como instrumento a utilizar en la estimación de la ecuación minceriana, se espera que el gasto público esté positivamente relacionado con los niveles educativos y los ingresos laborales por hora de los individuos. La Tabla No. 2 muestra algunos datos que respaldan dicha hipótesis desde el punto de vista descriptivo: el gasto público es un insumo relevante dentro de la función de producción de capital humano y es una variable instrumental adecuada para mitigar el sesgo de endogeneidad ocasionado por la educación en la ecuación de ingresos de Mincer.

En la Tabla No. 2 puede apreciarse que el gasto público educativo parece tener un efecto "segmentado" tanto en el número de años de educación de los individuos como en sus remuneraciones salariales como variable proxy de su productividad: Para individuos cuyos niveles educativos no superan los 11 años, un aumento en el gasto en educación tiene un efecto relativamente pequeño tanto en los años de educación como en los salarios por hora de los individuos mientras que, por otra parte, se presenta una fase ascendente en la que la inversión de recursos públicos se acompaña de un incremento significativo tanto de la productividad como de la escolaridad de los individuos.
Por otra parte, nótese que a mayores años de educación y mayores ingresos laborales anuales por hora, se reduce significativamente la muestra a medida que también aumenta el gasto educativo público. Ello puede explicarse a partir del hecho de que en Colombia existen amplias barreras que dificultan el acceso de los individuos a mayores niveles educativos, como asimismo el menor número de estudiantes cuya educación superior es financiada con recursos públicos.
4.3.2 Caracterización estadística para el modelo de señalización
Es necesario resaltar que la estimación de los modelos, tanto de señalización como de capital humano, requieren de individuos que se encuentren activos dentro del ciclo educativo en el año de referencia, ya que no pueden utilizarse variables dummy construidas a partir del máximo nivel educativo alcanzado por el individuo, dado que el gasto público en educación no afectaría ni los años de educación ni los salarios de los individuos que se encuentran inactivos en las actividades académicas para dicho período. Para solucionar este problema, se construyen variables categóricas referentes al nivel educativo a partir del nivel matriculado que estén cursando los individuos para ese año, una aproximación que resulta ser consistente con la teoría y con los resultados expuestos en la Tabla No. 3.

Por otra parte, desde la teoría de la señalización, las estadísticas descriptivas para gasto público educativo sugieren que a mayores niveles matriculados de educación del individuo, se incrementen tanto los costos de financiación de la educación (incremento del gasto público por nivel educativo) como los beneficios en términos de remuneraciones salariales. Asimismo, son consistentes con la hipótesis de que el gasto público educativo contribuye a la señalización de los individuos en el mercado laboral a través de las credenciales que ellos acumulan en el ciclo educativo.
4.4 Análisis inferencial y estimación de los modelos
4.4.1 Estimación e interpretación de resultados del modelo de la teoría del
capital humano: Caracterización empírica del efecto Crowding-in
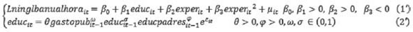
Recurriendo a las expresiones () y (), se tiene que el sistema de ecuaciones a estimar para la teoría del capital humano es:

Donde educit es el número de años de educación alcanzados por el individuo i en el tiempo t, experit es la experiencia, gastopubit es el gasto educativo público por individuo y µit,εit son las perturbaciones estocásticas de los modelos.
4.4.1.1 Estimación de la función de producción de capital humano
En la estimación del modelo se utilizó la especificación de variables dummy por máximo nivel educativo del padre o de la madre las cuales fueron construidas a partir de una variable categórica que toma valores desde 0 "ninguno", 1 "primaria", 2 "secundaria" y 3 "superior". La expresión (), se reescribe como:

Donde

Realizando una transformación logarítmica a (12), se obtiene:
Los resultados de las estimaciones que se muestran en la Tabla No. 4 además de estadísticamente significativos, tienen los coeficientes con los signos esperados. Asimismo, el coeficiente de determinación oscila entre 0.9919 y 0.9922, lo cual indica una buena capacidad explicativa de los modelos en su conjunto, pese a que este resultado puede explicarse a partir de la alta correlación existente entre los años de educación y su rezago.
Para las cuatro especificaciones del modelo, los años de educación del período pasado tienen un efecto positivo que varía entre los 0.7552 y 0.7569 puntos porcentuales sobre los años acumulados de educación de los individuos. Este resultado verifica empíricamente la condición de autoproductividad en la que un aumento del stock de capital humano actual implica un incremento de dicho stock en el período subsiguiente (Cuhna y Heckman, 2007).
Por otra parte, una variación en un punto porcentual del gasto público en educación implica una variación entre 0.0017 y 0.0022 puntos porcentuales de los años de educación acumulados de los individuos. Aunque los coeficientes son estadísticamente significativos, el efecto del gasto público sobre el capital humano acumulado es muy pequeño, resultado que es consistente con lo encontrado en la literatura (Véase Pardo, 2006) y el cual sugiere, desde la visión teórica del capital humano, un limitado impacto de la inversión pública en educación sobre el logro educativo de los individuos.

El resultado obtenido para la variable de educación promedio del entorno sugiere que a mayores concentraciones de capital humano en la región y zona de residencia, mayor es el logro educativo alcanzado por el individuo. Nótese que al incluir esta variable en la especificación de los modelos se incrementa el coeficiente asociado al gasto público: este resultado indicaría la existencia de complementariedades entre la inversión pública en educación y el stock de capital humano medio del entorno del individuo. Según Azariadis y Drazen (1990) y Pardo (2007), el destino de recursos a la educación tendría en cuenta el flujo de beneficios sociales que generan las externalidades positivas de un mejor entorno educativo, lo cual potenciaría el efecto de la política educativa sobre los años de escolaridad de los individuos. Aunque el resultado es consistente con esta hipótesis, el efecto no deja de ser claramente limitado.
El stock de capital humano familiar tiene un efecto positivo y estadísticamente significativo (a excepción del modelo 2 y las dummys de secundaria). Dado que los coeficientes asociados a cada variable dummy del máximo nivel educativo de los padres no pueden interpretarse directamente, es necesario transformarlos a través de una fórmula como la sugerida por Halvorsen y Palmquist (1980):

Por ejemplo, si el máximo nivel educativo del padre o de la madre es educación primaria, los años de escolaridad del individuo se incrementan entre un 1.03 y 1.56 por ciento: Cuando los padres tienen como máximo nivel educativo un título universitario, ello incrementa entre 2.45 y 3.03 por ciento los años de educación promedio de los hijos. Este hallazgo es consistente con los resultados encontrados en la literatura sobre movilidad intergeneracional (Becker y Tomes, 1986 y Vivas, 2005), en la cual se postula a la educación de los padres como el canal transmisor de capacidades y habilidades de la familia en búsqueda de mayores logros educativos y salariales de sus descendientes.
Los resultados para la estimación de la función de producción de capital humano por zona se presentan en la Tabla No. 5.
El análisis por zona sugiere un resultado interesante que destaca las diferencias existentes de los efectos que tiene la inversión pública en la escolaridad de los individuos: Nótese que para el área rural, sólo son significativas la variable de años de educación acumulados del periodo pasado y la constante, además del signo negativo que tiene el coeficiente asociado al logaritmo del gasto público en educación.
Teniendo en cuenta el modelo planteado por Glomm y Ravikumar (1992, 2001), el gasto público en educación incentiva la acumulación de capital humano de los individuos si el efecto sustitución debido a la reducción del costo de oportunidad del tiempo invertido dentro del ciclo educativo domina el efecto ingreso derivado de los salarios que se dejan de percibir durante dicho período. Es decir, si una mayor asignación de recursos públicos reduce el costo de oportunidad de permanecer en las actividades educativas y dicho efecto es mayor a las ganancias que podrían ser potencialmente remuneradas en el mercado de trabajo, un aumento del gasto conducirá a un incremento de la escolaridad de los agentes económicos.
Sin embargo, dicha explicación no es consistente con el resultado obtenido para las zonas rurales, pues debe tenerse en cuenta que dadas sus peores condiciones de pobreza y de baja concentración de capital humano con respecto a las zonas urbanas, se espera que el efecto ingreso domine al efecto sustitución, lo cual explicaría el signo negativo asociado al gasto público en educación en esta especificación del modelo. Es necesario destacar que problemas como la mala calidad de la educación puede constituirse como una alternativa para explicar no sólo el signo de dicho coeficiente, sino también su insignificancia estadística.
A diferencia del área rural, el modelo para las zonas urbanas del país resulta ser estadísticamente significativo en su conjunto, con los signos esperados desde la teoría del capital humano: los años de educación acumulados del periodo pasado, el "capital humano familiar", el stock de capital humano medio del entorno y el gasto educativo público incentivan los procesos de acumulación de mayores años de educación de los individuos. Nótese que aunque esta última variable es estadísticamente significativa, su efecto continúa siendo cuantitativamente pequeño.
4.4.1.2 Estimación de la ecuación de ingresos de Mincer: Mínimos Cuadrados en 2 Etapas (2SLS)
Empíricamente, la estimación de la función de producción de capital humano se constituye en una alternativa de una ecuación en forma reducida para los años de educación, ya que sus variables-insumo como el gasto público en educación, el entorno educativo, los años de educación del período pasado y el background familiar del individuo se convierten en variables instrumentales que permiten mitigar el sesgo de endogeneidad presente en la estimación de las ecuaciones mincerianas. Por tanto, la metodología de estimación más apropiada es la de Mínimos Cuadrados en Dos Etapas (2SLS).
El modelo a estimar es:

Las estimaciones del modelo que aparecen en la Tabla No. 6 sugieren un modelo estadísticamente significativo en su conjunto (a excepción de la variable de experiencia al cuadrado): Nótese que el coeficiente de determinación aumenta de 0.6148 a 0.9920 al tener en cuenta la inclusión de las variables instrumentales en la mitigación del sesgo de endogeneidad ocasionado por la educación en el modelo de ingresos. Sin embargo, como se explicaba en la sección correspondiente a la estimación de la función de producción de capital humano, ello se debe a la alta correlación existente entre los años de educación acumulados y su rezago, lo cual tiende a elevar significativamente las varianzas de los coeficientes (problema que fue solucionado al aplicar una estimación robusta a la heterocedasticidad). Además, es importante mencionar que el número de observaciones se reduce significativamente al aplicar esta metodología, lo cual se debe a que instrumentos como el gasto público en educación y el máximo nivel educativo de los padres contienen un menor número de observaciones que las variables en el modelo original (Véase las estadísticas descriptivas que justifican este resultado en la Tabla D.1).
Los test de Hansen y Wu-Hausman [Wu (1973) y Hausman (1978)] indican, respectivamente, que el modelo resulta ser relevante (no sobreidentificado) y que es válida la estimación por Mínimos Cuadrados en Dos Etapas frente a la alternativa de Mínimos Cuadrados Ordinarios.
Desde la teoría del capital humano, se espera que los coeficientes y sean positivos y significativos (efecto crowding-in). Sin embargo, teniendo en cuenta los planteamientos de la teoría de la señalización, se espera que tanto el coeficiente asociado al gasto público en educación (tasa de retorno de la inversión pública en educación) como el de los años de educación (tasa de retorno de la educación) sean insignificantes, e incluso iguales a cero.
La Figura No. 1 refleja la confrontación empírica que surge entre las teorías del capital humano y la hipótesis de la señalización dentro de la especificación del modelo.

Como puede apreciarse en la Tabla No. 6, los resultados sugieren un resultado a favor de la teoría del capital humano, en la medida que el coeficiente asociado a los años de educación del individuo es positivo y estadísticamente significativo. Desde esta perspectiva, se acepta la hipótesis del efecto crowding-in en el cual, el gasto público tiene efecto tanto en los niveles educativos como en la productividad de los individuos. Para calcular dicho efecto indirecto del gasto sobre la productividad, es necesario tener en cuenta la ecuación (5) para reescribirla como:

De esta manera, el efecto indirecto que ejerce el gasto público educativo sobre la productividad de los individuos a través de los años de educación es:

Nótese que un incremento en una unidad monetaria del gasto público en educación tendría como efecto un aumento de 3.45% en la productividad de los individuos. De esta manera, se verifica la hipótesis del crowding-in en la que un aumento de la inversión de recursos públicos en educación incrementa la productividad de los individuos. Nótese que, aunque el resultado obtenido es relevante, el efecto es relativamente pequeño.
4.4.2 Estimación e interpretación de resultados del modelo de la teoría de la señalización: Caracterización empírica del efecto señalización
La versión credencialista de la señalización sugiere que el stock de habilidades innatas de los individuos son los determinantes del logro laboral y salarial de los individuos dentro del mercado laboral. Dado que esta variable es inobservable, es necesario proponer una variable proxy a través del título o diploma que el agente económico obtiene en el sistema educativo. Dado que la muestra se conforma por individuos que se encontraban estudiando en el 2008 y participaban en el mercado de trabajo, se construye dicha proxy a través del nivel educativo matriculado, teniendo en cuenta que esa credencial es financiada a través del gasto público en educación, propuesta que es consistente con el marco teórico subyacente del modelo empírico. Los resultados para la estimación del modelo de señalización se presentan en la tabla No. 7.
Como se puede apreciar en la Tabla No. 7, el modelo resulta ser estadísticamente significativo en su conjunto, con los signos y las magnitudes esperadas desde la teoría: Obsérvese que a mayor nivel educativo de la credencial financiada con gasto público, mayor es la ventaja salarial –y en productividad– respecto a la categoría de referencia –primaria–. Si el individuo obtiene una credencial de secundaria, ello representa una diferencia del 144.27% en la tasa salarial por hora con respecto a primaria, mientras que un título de postgrado representa una brecha de 282.34% respecto a primaria, un resultado que es consistente con las estadísticas descriptivas presentadas para la muestra de estudio en la Tabla D.2.
Por tanto, los resultados encontrados para el modelo de señalización sugieren que el gasto público en educación potenciaría el contenido informativo de la credencial obtenida por el individuo, logrando ubicar a los agentes económicos dentro del mercado laboral de acuerdo con la capacidad de transmisión del nivel educativo sobre sus habilidades innatas. Ello verifica la presencia del efecto señalización para la muestra de referencia empleada en el análisis empírico del presente documento.

5. Conclusiones
Como principal conclusión de este documento, se tiene que los dos enfoques teóricos expuestos explican el efecto del gasto público en educación tanto en el logro educativo como en la productividad de los individuos, aunque con un mayor predominio de la teoría de la señalización sobre la teoría del capital humano (efecto crowding-in). Sin embargo, debe aclararse que dadas las restricciones de información encontradas en el procesamiento de los datos, los resultados son válidos para la muestra de estudio en la cual se tienen en cuenta los individuos que se encuentren activos en el mercado de trabajo y estudien en el período de referencia.
Las estimaciones de la función de producción de capital humano sugieren que el gasto público en educación tiene un efecto muy pequeño sobre los años acumulados de educación de los individuos. Aunque el resultado es significativo desde el punto de vista de la teoría del capital humano, el efecto crowding-in es limitado y no promueve mayores niveles de acumulación de capital humano de los individuos dentro del ciclo educativo más que proporcionales a la inversión de recursos públicos realizada. Por otra parte, la inclusión de la variable de entorno educativo tiene un efecto complementariedades con la financiación pública de la educación, resultado que justificaría la subvención pública de la educación, aunque la estimación indica un impacto claramente limitado del gasto sobre el logro educativo de los individuos.
Un resultado interesante es que el gasto público tiene efectos diferenciados por zonas rurales y urbanas, lo cual puede ser analizado a partir del hecho de que el efecto sustitución asociado a la reducción del costo de oportunidad de permanecer en el ciclo educativo es menor que el efecto ingreso de las ganancias perdidas durante ese período para los individuos que viven en el campo (Glomm y Ravikumar, 2001). Pese a que este resultado no es significativo, factores como la mala calidad de la educación y las condiciones de pobreza de los habitantes del campo pueden explicar su menor logro educativo con respecto a las zonas urbanas.
La estimación del modelo a través de la metodología 2SLS resulta ser válida y relevante para corregir el sesgo de endogeneidad presente en la ecuación minceriana. Pese a que se presenta una reducción significativa de la muestra dadas las restricciones del estudio, los resultados sugieren que el aumento en una unidad monetaria del gasto contribuye a incrementar, vía años acumulados de educación, en un 3.45% la productividad de los individuos.
El análisis del modelo de señalización realizado para la muestra de estudio permite considerar al gasto público como una herramienta de política educativa que incentiva a los agentes económicos a revelar el contenido informativo de su nivel educativo para señalizar sus mayores capacidades dentro del mercado de trabajo. Desde esta perspectiva, el mecanismo rent-seeking que menciona Barceinas et. al. (2000a), se constituiría en una alternativa teórica consistente con el modelo de señalización en la explicación del efecto del gasto público educativo sobre la educación y la productividad de los individuos. Bajo esta óptica, la educación sería un instrumento de conectividad entre el sistema educativo y el mercado laboral que asigna a los individuos eficientemente en puestos de trabajo.
Siguiendo a Castellar y Uribe (2003a), el resultado obtenido para el modelo de la señalización indicaría que lo único relevante para la política educativa sería que el agente económico logre señalizarse bien al vincularse a una institución educativa sin importar la calidad de la misma, por lo cual es posible que un aumento de la cobertura en educación no se traduzca en un aumento de la calidad, así como en el logro educativo de los individuos.
ANEXOS




Anexo D. Una observación importante sobre el tamaño de la muestra
Dado que el presente documento tiene en cuenta la población que se encontraba estudiando en el año 2008 y estaba activa laboralmente, puede esperarse una reducción significativa del número de observaciones al estimar el modelo de ingresos por la metodología de Mínimos Cuadrados en Dos Etapas (2SLS).
Debe tenerse en cuenta, en primer lugar, que la Encuesta de Calidad de Vida para el año 2008 está diseñada para hogares nucleados, lo cual puede ocasionar una reducción del número de observaciones dado que no tiene en cuenta si los individuos son co-residentes o han migrado a otros lugares distintos del hogar de residencia. Por otra parte, nótese que la construcción de la variable de gasto público tiene en cuenta implícitamente la restricción de que los individuos se encuentran activos en el ciclo educativo y que reciben recursos provenientes de entidades oficiales.
La Tabla D.1 sustenta las observaciones realizadas sobre la posible reducción del tamaño de la muestra al estimar el modelo por 2SLS.

Es necesario resaltar que en el proceso de estimación del modelo de señalización, se tuvo en cuenta la discriminación por personas que estudiaban en el período de análisis y se estaban activas en el mercado de trabajo, lo cual sustenta la disminución de la muestra para este caso. Las estadísticas presentadas en la Tabla D.2 justifican esta observación.


Citas de pie de página
2 Para una exposición más detallada de las diversas formas funcionales planteadas en la literatura véase Anexo A
3 En el Anexo C, se ofrece una ilustración de la metodología de construcción de la variable de gasto público en educación por individuo así como el diseño y la especificación del conjunto de variables que lo componen.
4 Para un mayor detalle sobre el análisis del tamaño de la muestra en la estimación del modelo, véase Anexo D.
Referencias Bibliográficas
ARROW, Kenneth (1973). "Higher Education as a Filter", en: Journal of Public Economics, No 2, pp. 193-216. [ Links ]
AZARIADIS, Costas; DRAZEN, Allan (1990). "Threshold externalities in economic development", en: Quarterly Journal of Economics, Vol. 105, No. 2, May, pp. 501-526. [ Links ]
BARCEINAS, Fernando; OLIVER, Josep; RAYMOND José L.; ROIG, José (2000). "Rendimiento público de la educación y restricción presupuestaria" en: Papeles de Economía Española, No. 86, pp. 236-248. [ Links ]
________ (2001). "Hipótesis de señalización frente a capital humano. Evidencia para el caso español", en: Revista de Economía Aplicada, Vol. 9 No. 26, pp. 125-147. [ Links ]
BECKER, Gary (1964). Human Capital: A Theorical and Empirical Analysis, With Special Reference to Education. New York, National Bureau of Economics Research. [ Links ]
_________; TOMES, Nigel. (1986). "Human Capital and the Rise and Fall of Families" en: Journal of Labor Economics, Vol. 4, No. 3, Part 2: The Family and the Distribution of Economic, julio de 1986, pp. S1-S39. [ Links ]
BENABOU, Roland (1996). "Heterogeneity, stratification, and growth: macroeconomic implications of community structure and school finance" en: American Economic Review, No 86, pp. 584-609. [ Links ]
_________ (1999). "Tax and Education Policy in a Heterogeneous Agent Economy: What Levels of Redistribution Maximize Growth and Efficiency?",en: Documento de trabajo NBER, No. 7132, pp. 1-60. Cambridge, National Bureau of Economic Research. [ Links ]
BEN-PORATH, Yoram (1967). "The Production of Human Capital and the Life Cycle of Earnings" en: Journal of Political Economy, No. 75, (agosto), pp. 352-365. [ Links ]
BOLDRIN, Michele. (1993). "Public education and capital accumulation", en: Discussion Paper No. 1017, pp.1-32. Evanston, Northwestern University. [ Links ]
CASTELLAR, Carlos; URIBE, José I. (2003a). "Capital Humano y Señalización: Evidencia para el Área Metropolitana de Cali 1988-2000", en: Documento de Trabajo, No 65, CIDSE, pp. 1-29. Cali, Universidad del Valle. [ Links ]
_________; _________ (2003b). "La Tasa de Retorno de la Educación: Teoría y Evidencia Micro y Macroeconómicas en el Área Metropolitana de Cali 1988-2000", en: Documentos de Trabajo, No 66, CIDSE, pp. 1-31. Cali, Universidad del Valle. [ Links ]
CUNHA, Flavio; HECKMAN, James (2007). "The Technology of Skill Formation", en: Discussion Paper Series, No. 2550, pp. 1-40. Bonn, IZA, Institute for the Study of Labor. [ Links ]
DANE (2008). Departamento Nacional de Estadística, Dirección de Metodología y Producción Estadística DIMPE, Manual de Recolección y Conceptos Básicos Encuesta Nacional de Calidad de Vida ECV 2008. Bogotá, DANE. [ Links ]
ECHEVERRY, Raquel. (2005). El Gasto Público en Educación Como Medida del Aporte del Capital Humano al Crecimiento Económico de Colombia 1950-1999, Trabajo de grado presentado para optar por el título de economista. Cali, Universidad del Valle. [ Links ]
GLOMM, Gerhard; RAVIKUMAR, B. (1992). "Public versus private investment in human capital: endogenous growth and income inequality", en: Journal of Political Economy, No 100, pp. 818-834. [ Links ]
_________; _________ (2001). "Human Capital Accumulation and Endogenous Public Expenditures", en The Canadian Journal of Economics/Revue canadienne d'Economique, Vol. 34, No. 3, (August.), pp. 807-826. [ Links ]
HALVORSEN, Robert; PALMQUIST, Raymond (1980). "The Interpretation of Dummy Variables in Semilogarithmic Equations", en: The American Economic Review, Vol. 70, No. 3, pp. 474-475. [ Links ]
HAUSMAN, Jerry (1978). "Specification Tests in Econometrics", en: Econometrica, Vol. 46, No. 6, pp. 1251-1271. [ Links ]
IYIGUN, Murat (1999). "Public Education and Intergenerational Economic Mobility", en: International Economic Review, Vol. 40, No. 3 (Aug.), pp. 697-710. [ Links ]
LUCAS, Robert (1988). "On the mechanics of economic development", en: Journal of Monetary Economics, No 22, pp. 3-42. [ Links ]
MEN, Ministerio de Educación Nacional. Estadísticas Sectoriales. En: http://menweb.mineducacion.gov.co/info_sector/estadisticas (Recuperado en: 09 de octubre de 2010) [ Links ]
MINCER, Jacob. (1974). Schooling, Experience and Earnings, National Bureau of Economic Research NBER. New York, Columbia University Press. [ Links ]
PARDO, Oliver (2006). "Acumulación de capital humano y gasto público en educación: un modelo de generaciones traslapadas para Colombia", en: Ensayos sobre Política Económica, No. 52 (Dic.), pp. 12-47. [ Links ]
_________ (2007.) "Rendimientos sociales crecientes en la acumulación de capital humano y financiación pública de la educación", en: Archivos de Economía, No. 327, pp. 1-42. Bogotá, DNP. [ Links ]
PONS, Empar (2000). "Contraste de la Hipótesis de Señalización. Una Panorámica", Documento de Trabajo No 5, pp. 1-28. Valencia,Universitat de Valencia, Departamento de Análisis Económico. [ Links ]
PSACHAROPOULOS, George (1981). "Returns to education: an updated international comparison", en: Comparative Education, Vol. 17, pp. 321-341. [ Links ]
RILEY, John (1976). "Information, Screening and Human Capital", en: The American Economic Review, Vol. 66, No. 2, (May), pp. 254-260. [ Links ]
ROTHSCHILD, Michael; STIGLIZT, Joseph (1976): "Equilibrium in Competitive Insurance Market: an Essay on the Economics of Imperfect Information", en: Quarterly Journal of Economics, No. 60, pp. 629-649. [ Links ]
SCHULTZ, Theodore (1961). "Investment in Human Capital," The American Economic Review, Vol. 51, No. 1 (March.), pp. 1-17. [ Links ]
SNIES, Sistema de Información de la Educación Superior, Ministerio de Educación Nacional. En: http://200.41.9.227:7777/men/consultas/ContenedorRepConsultas.jsp (Recuperado en: 27 de octubre de 2010) [ Links ]
SOARES, Jorge (2003). "Self-interest and public funding of education", en: Journal of Public Economics, No. 87, pp. 703-727. [ Links ]
SPENCE, Michael (1973). "Job Market Signalling", en: Quarterly Journal of Economics, No. 87, pp. 355- 374. [ Links ]
TENJO, Jaime. (1996). "Heterogeneidad, autoselección y retornos a la educación", en: Ensayos sobre Política Económica, No. 29 (Junio), pp. 35-57. [ Links ]
UZAWA, Hirofumi (1965). "Optimum technical change in an aggregative model of economic growth". International Economic Review, No. 6, pp. 18-31. [ Links ]
VIVAS, Harvy. (2005). Magnitud y distribución de los Spillovers de Capital Humano: un modelo aplicado para las áreas metropolitanas de Colombia, Publicación de la Tesis Doctoral, Departamento de Economía. Barcelona, Universidad Autónoma de Barcelona. [ Links ]
WEISS, Yoram (1986). "The Determination of Life Cycle Earnings: A Survey", en: ASHENFELTER, O. y Layard, R. (Comps) (1986), Handbook of labor economics. Elsevier, Versión Española Manual de Economía del Trabajo. Madrid, Ministerio de Trabajo y Seguridad Social. Tomo I, pp. 303-638. [ Links ]
WU, De-Min (1973). "Alternative Tests of Independence Between Stochastic Regressors and Disturbances", en: Econometrica, Vol. 41, No. 4, pp. 733-750. [ Links ]












