Serviços Personalizados
Journal
Artigo
Indicadores
-
Citado por SciELO -
Acessos
Links relacionados
-
Citado por Google -
Similares em
SciELO -
Similares em Google
Compartilhar
Revista Ingenierías Universidad de Medellín
versão impressa ISSN 1692-3324versão On-line ISSN 2248-4094
Rev. ing. univ. Medellin v.5 n.9 Medellín jul./dez. 2006
Deficiencias, limitaciones, ventajas y desventajas de las metodologías de análisis sísmico no lineal
Mauricio Alexander Mora*; Jesús Daniel Villalba**; Esperanza Maldonado***
* Ingeniero Civil. Investigador grupo INME, Universidad Industrial de Santander. E-mail: mauricioalejo594@gmail.com
** Ingeniero Civil, Investigador grupo INME, Universidad Industrial de Santander. E-mail: jedavimo25@hotmail.com
*** Doctora en Ingeniería de Caminos, Canales y Puertos. Profesora Titular Escuela de Ingeniería Civil, Universidad Industrial de Santander. E-mail: emaldona@uis.edu.co
RESUMEN
El presente trabajo está dirigido a la comparación de las metodologías de análisis sísmico: dinámico cronológico no lineal, pushover tradicional, y dos procedimientos modales. La comparación se realizó a partir del estudio de un edificio de mediana altura, aporticado, de concreto reforzado, representativo de las edificaciones típicamente construidas en Bucaramanga. La estructura fue sometida a uno de los sismos definidos por el estudio de microzonificación de la ciudad, escalado a diferentes valores de aceleración pico efectiva. Los resultados obtenidos fueron comparados en términos de desplazamientos y derivas, con lo cual se pudieron detectar algunas deficiencias, limitaciones, ventajas y desventajas de las metodologías utilizadas, concluyendo que las metodologías modales son una buena aproximación para la determinación del comportamiento sísmico de estructuras de concreto reforzado.
Palabras clave: análisis sísmico inelástico, análisis dinámico cronológico no lineal, análisis estático no lineal, pushover tradicional, pushover modal.
ABSTRACT
This research presents the comparison of different non linear analysis methodologies: the non linear response history analysis, the traditional pushover methodology, and two modal pushover methodologies. A medium rise reinforced concrete building, with moment resisting space frame, representative of the typical buildings in Bucaramanga, is examined using one of the earthquakes in the microzonation study of the city, which was scaled to different values of effective peak acceleration. The comparison of the results (floor displacements and interstory drifts) permitted to find deficiencies, limitations, advantages and disadvantages of the methodologies used. It was found that Modal Methodologies are a good approach to assess the seismic performance of reinforced concrete buildings.
INTRODUCCIÓN
El modelamiento del comportamiento de las estructuras ante eventos sísmicos es complejo y la comunidad científica aún no ha definido un ú nico procedimiento para ello.
En la actualidad este fenómeno puede ser modelado de dos formas. La primera como un evento de naturaleza dinámica, para lo que se utiliza Análisis Dinámico Cronológico No Lineal (Non Linear Response History Analysis, NLRHA), el cual permite conocer la variación de cualquier respuesta de la edificación (desplazamientos de piso, derivas, fuerza cortante, etc.) en el tiempo. Asimismo, posee una base física rigurosa y es complicado de realizar. De otra parte, el efecto del sismo en las edificaciones puede modelarse como un evento estático, mediante la utilización del procedimiento conocido como Análisis Estático No Lineal o Pushover, descrito en algunos documentos como FEMA-273 o ATC-40. A pesar de tener algunas limitaciones desde el punto de vista metodológico y del alcance y exactitud de sus resultados, este procedimiento ha tenido una mayor aceptación.
El Análisis Pushover Tradicional (FEMA-273, ATC- 40) sólo tiene en cuenta el aporte del primer modo de vibración, considerado imperante por poseer, generalmente, el mayor factor de participación modal. Un aspecto importante en la aplicación de esta metodología es la construcción de la curva de capacidad de la edificación. Esta curva se obtiene empujando el edificio horizontalmente mediante una distribución de carga predefinida, la cual se incrementa paso a paso hasta alcanzar un valor máximo de desplazamiento en el último piso, o el colapso de la estructura. Los documentos guía no especifican un tipo de distribución de carga a utilizar, sino que permiten cierta libertad. Lo anterior se convierte en una de las principales deficiencias de la metodología, dado que la curva de capacidad del edificio es sensible a la distribución de carga utilizada.
Una posible solución a las limitaciones de la técnica pushover tradicional, antes mencionadas, es la aplicación de la metodología pushover modal, en la cual se considera la participación de varios modos.
El principal objetivo de esta investigación es presentar la metodología de análisis modal, como una alternativa al riguroso análisis dinámico cronológico no lineal, conservando la facilidad de aplicación de un análisis pushover tradicional y superando algunas de sus deficiencias y limitaciones. Lo anterior se logrará mediante la aplicación de cada una de las anteriores metodologías y la comparación de los resultados obtenidos en términos de desplazamientos y derivas de piso.
DESCRIPCIÓN DE LAS METODOLOGÍAS
Análisis dinámico cronológico no lineal (NLRHA, Nonlinear Response History Analysis)
La esencia de la acción sísmica es la naturaleza dinámica de la carga, lo que conlleva a la variabilidad en el tiempo de las fuerzas internas del sistema y su estado (definido en términos de desplazamientos y deformaciones). Por lo tanto, mientras un problema estático tiene una única solución independiente del tiempo, la solución de un problema dinámico requiere la descripción del sistema en todos los instantes dentro del período en estudio, lo cual conlleva a grandes esfuerzos analíticos y numéricos que pueden, a su vez, implicar el uso de una herramienta computacional.
De otra parte, el análisis debe estar basado en una apropiada representación del movimiento del terreno y en principios aceptados por la dinámica estructural. Para sistemas de múltiples grados de libertad la ecuación dinámica se puede expresar como:
En donde M, C y K son las matrices de masa, amortiguamiento y rigidez, respectivamente, es el vector de desplazamientos
, es el vector de velocidad,
es el vector de aceleraciones,
la historia de aceleraciones en el tiempo en la base del edificio, y cada elemento del vector de influencia
es igual a 1.
El vector está relacionado con el número de grados de libertad o posibilidades de movimiento de cada una de las masas concentradas. Generalmente, las masas se concentran en cada piso y se supone que no se pueden desplazar ni vertical ni rotacionalmente, permitiendo solo que se desplacen horizontalmente. Con estas suposiciones el sistema se reduce a dos posibilidades de movimiento o grados de libertad por masa: uno en el eje x y otro en el eje
.
Si el anterior sistema de ecuaciones (Ec. 1) se plantea en una dirección, se tendrá sólo un grado de libertad para cada masa, y como éstas se concentran en cada piso, el total de desplazamientos es igual a N, donde N es el número de pisos; por consiguiente, el vector tiene tantos elementos como pisos tiene la edificación. Igual sucede con las matrices M, C y K, las cuales tienen N x N elementos.
La solución de este sistema de ecuaciones es particularmente complicada porque, si bien, la matriz de masa de la edificación, M, es constante en el tiempo, las matrices de amortiguamiento y rigidez, C y K, respectivamente, cambian cuando se supera el límite de comportamiento elástico.
Sin embargo, reconstruir las matrices de rigidez y amortiguamiento cada vez que un elemento (viga, columna, muro) supera la fluencia no es el único problema. La parte derecha de la ecuación (1) representa las fuerzas externas a las que se somete la edificación, siendo la aceleración en la base del edificio en el tiempo, es decir, el acelerograma, de manera que la ecuación de movimiento es diferente para cada valor de aceleración.
En el presente estudio, el Análisis Dinámico Cronológico No Lineal (NLRHA) se lleva a cabo utilizando el software IDARC 2D versión 6 (Inelastic Damage Analysis of Reinforced Concrete Structures; State University of New York at Buffalo, Department of Civil Engineering, Julio 2004) y se asume que los resultados obtenidos mediante este tipo de análisis corresponden al punto de referencia, es decir, que estos servirán para compararlos con los obtenidos por los métodos de análisis no lineal.
Análisis estático no lineal-pushover tradicional
El Análisis estático no lineal o análisis pushover es otro tipo de metodología para determinar la respuesta no lineal de la estructura. A diferencia del análisis dinámico cronológico no lineal, en la metodología pushover se calculan los valores máximos de cualquier respuesta de la edificación, y no su historia en el tiempo.
El análisis tiene como base dos conceptos primordiales: la capacidad y la demanda. La primera puede entenderse como una característica propia de la edificación que depende de factores como la geometría de los elementos, la cantidad de refuerzo, las propiedades de los materiales como rigidez y ductilidad, entre otras. La demanda depende de un sismo en particular, representado mediante un acelerograma o un espectro de diseño, y hace referencia a las fuerzas y deformaciones impuestas por éste. De manera que la demanda, a diferencia de la capacidad, no es en teoría un valor constante, pues depende del conjunto de fuerzas externas o aceleraciones a las que se somete la edificación.
Para evaluar la capacidad de la edificación se debe construir la curva de capacidad, la cual se obtiene graficando los valores máximos de cortante basal y desplazamiento en el último piso. El procedimiento para construir la curva de capacidad consiste en aplicar cargas laterales monotónicas, las cuales se van incrementando hasta llevar la estructura al colapso. En la figura 1 se muestra un esquema de las fuerzas que se aplican por piso a la estructura; la sumatoria de todas las fuerzas es igual al cortante basal V.
La edificación responde a la aplicación de las cargas, desplazándose lateralmente hasta que alcanza un máximo . El par de valores
y V representa un punto en la curva de capacidad de la edificación, de manera que para determinar otros puntos se carga la estructura nuevamente con fuerzas mayores y, así, hasta generar un mecanismo de colapso en la estructura.
Figura 1. Procedimiento pushover para determinar la curva de capacidad de la edificación
La demanda varía dependiendo del sismo al que se somete la edificación y se evalúa mediante espectros de respuesta (o diseño). El concepto de espectro de respuesta aparece como un medio conveniente para resumir la respuesta máxima de sistemas lineales y no lineales de un grado de libertad (SDF) a un movimiento sísmico en particular. Igualmente, permite aplicar el conocimiento de la dinámica estructural al diseño de estructuras y al desarrollo de los requerimientos de resistencia a fuerzas sísmicas consignados en los códigos (Chopra, 2001a).
En la literatura pueden encontrarse artículos de varios expertos, relacionados con este tipo de análisis, tales como Krawinkler y Seneviratna (1998), Mwafy y Elnashai (2001), Inel et al (2003), López (2004), Sierra (2004), entre otros.
Análisis no lineal modal
En el año 2001, Anil K. Chopra y Rakesh K. Goel publicaron el trabajo titulado 'A modal pushover procedure to estimate seismic demands for buildings: Theory and preliminary evaluation', el cual es una combinación de las metodologías presentadas anteriormente (Análisis dinámico cronológico no lineal y estático no lineal). Inicialmente, se implementa un Análisis estático no lineal (pushover) para evaluar la capacidad por modo; posteriormente, todo el sistema de N grados de libertad (MDF) se reduce a N sistemas de un solo grado de libertad (SDF), que se someten a la acción sísmica, para, finalmente, combinar todos los aportes modales y encontrar una aproximación a la respuesta total.
El procedimiento también se presenta como una solución a las deficiencias encontradas en el Análisis pushover tradicional, ya que se define una sola distribución de carga horizontal y toma en cuenta el aporte de todos los modos de vibración a la respuesta total de la estructura.
Inicialmente, para aplicar este método, es necesario desarrollar un procedimiento de Análisis modal desacoplado de la historia de respuesta (UMRHA), que es una buena aproximación al Análisis dinámico cronológico no lineal (NLRHA) o Análisis dinámico, para sistemas de múltiples grados de libertad (MDOF).
Análisis modal desacoplado de la historia de respuesta (UMRHA, Uncoupled Modal Response History Analysis)
La respuesta inelástica de un edificio de N-pisos con simetría en planta en los dos ejes ortogonales y
, cuando se somete a un movimiento sísmico en la dirección de uno de sus ejes de simetría
, se puede determinar como función del tiempo mediante el análisis UMRHA (Chopra y Goel, 2001). El procedimiento a seguir parte de determinar la frecuencia natural
y los modos de vibración
bajo comportamiento lineal; para el i-ésimo modo se elabora la curva de capacidad utilizando una sola forma de distribución de carga
, que depende de la matriz de masa y de la forma modal. La curva obtenida es idealizada como una relación bilineal y luego convertida a la relación
, utilizando las siguientes ecuaciones:
Siendo el cortante en el punto de fluencia;
la masa modal efectiva;
es el desplazamiento de fluencia del sistema de un grado de libertad equivalente del MDF para el modo
;
el desplazamiento de fluencia en el último piso;
es la fuerza resistente;
el factor de participación modal.
A su vez, se calcula la historia de deformación, , y la seudo-aceleración,
, para el i-ésimo modo de vibración del sistema inelástico de un grado de libertad asumiendo que la relación fuerza-deformación es la relación
. Con ello, se determina la historia de varios tipos de respuesta como derivas de piso, fuerza cortante en la base, etcétera, mediante las ecuaciones:
En donde representa la historia en el tiempo de los desplazamientos de piso y
es la variación en el tiempo de cualquier tipo de respuesta, teniendo en cuenta que
corresponde a la respuesta modal estática, es decir, el valor estático de
(respuesta) debido a las fuerzas externas
.
El procedimiento anterior se realiza para tantos modos como sean necesario para obtener una buena exactitud. Por lo general, los primeros dos o tres modos son suficientes.
Finalmente, se combinan las respuestas modales para determinar la total utilizando las siguientes ecuaciones:
A partir del resultado anterior se puede determinar el valor pico, , de la respuesta total
Análisis pushover modal (MPA, Modal Pushover Analysis)
Chopra y Goel (2001), propusieron el Análisis pushover modal (MPA) como una herramienta para determinar la respuesta inelástica pico de un edificio sometido a un sismo.
En este método se desarrollan los primeros pasos del análisis modal desacoplado (UMRHA) hasta convertir la curva de capacidad bilineal en la relación . Luego se determina la deformación pico,
, del i-ésimo modo de vibración del sistema inelástico de un grado de libertad (SDF) utilizando la relación fuerza-deformación. Luego, se calcula el desplazamiento máximo en el último piso
asociado al i-ésimo modo de vibración del sistema inelástico SDF utilizando la ecuación:
Cuando se alcance la deformación , se extrae de la base de datos pushover los valores de otras respuestas,
. Se repite lo anterior para tantos modos como sean necesarios, hasta obtener suficiente exactitud. Al igual que para la metodología UMRHA la utilización de los dos o tres primeros modos es suficiente, por lo general.
Finalmente, se determina la respuesta total utilizando la regla de combinación SRSS (raíz cuadrada de la suma de cuadrados):
APLICACIÓN DE LAS METODOLOGÍAS
Selección de la estructura
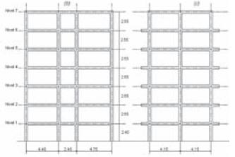
La estructura utilizada corresponde a un edificio de concreto reforzado, de 7 pisos, regular en planta y altura, representativo de las edificaciones construidas en el municipio de Bucaramanga. El sistema de resistencia sísmica está conformado por pórticos ortogonales entre sí. Cuenta con una planta de 11.6 m × 10.5 m, y una altura de 17.7 m. En la figura 2 se presenta una vista en planta de los niveles 1-6 y la elevación de los pórticos en cada dirección. Los pórticos son iguales en cada dirección: 3 luces de 4.4, 2.45 y 4.75 m en la dirección este-oeste (E-W: dirección x) y 2 luces y 2 voladizos exteriores de 4.15 y 1.1 m respectivamente en la dirección norte-sur (N-S: dirección y).
El sistema de entrepiso está conformado por placas rígidas aligeradas apoyadas en la dirección este-oeste (E-W). La planta del nivel 7 es igual a la de los demás niveles, excepto por los voladizos. Las columnas son de sección cuadrada, de 0.5×0.5 m y las vigas rectangulares de 0.35×0.45 m. La resistencia del concreto utilizado en placas, vigas y columnas es de 21 MPa, y la del acero de refuerzo tanto longitudinal como transversal es de 420 MPa (Mora y Villalba, 2005).
Figura 2. (a) Vista en planta de los pisos 1-6; (b) Pórticos A, B, C; (c) Pórticos 1, 2, 3 y 4; y Refuerzo longitudinal y transversal: (d) columnas y (e) vigas. Todas las medidas en metros
Definición de la acción sísmica
Para la aplicación de las metodologías se utilizó el sismo de Coalinga, el cual garantiza que la estructura se comporte inelásticamente para el intervalo de aceleraciones que se va a trabajar. El registro fue tomado en la estación USGS 1608 Oil Fields Fire Station a las 02:39 del 22 de julio de 1983, presentó una magnitud de 5.77, profundidad de 7.4 km y aceleración pico efectiva de 0.213g. Este sismo es uno de los definido por INGEOMINAS para la realización del 'Estudio de microzonificación sísmica del área metropolitana de Bucaramanga' (Ingeominas, 2001). En la figura 3 se presenta el registro de los 16 primeros segundos del sismo, dentro de los cuales se presentó la aceleración pico efectiva.
Figura 3. Sismo Coalinga
Análisis estático no lineal- pushover tradicional
Con el fin de observar la influencia de la distribución lateral de fuerzas en la construcción de la curva de capacidad, ésta se calculó para la dirección x del edificio en estudio, tomando una distribución uniforme, una distribución ELF (equivalent lateral force) y una triangular invertida, con los valores que se muestran en la figura 4.
Figura 4. Distribución lateral de fuerzas en la construcción de la curva de capacidad. (a) Distribución uniforme; (b) Distribución ELF; (c) Distribución triangular invertida o lineal
Para la construcción de las curvas de capacidad se utilizó el software IDARC 2D; los resultados se presentan en la figura 5. Estos muestran que existe una considerable variación en función de la distribución de carga horizontal utilizada. Las distribuciones ELF y triangular invertida son muy similares, pero difieren de la distribución uniforme, incluso en la rigidez inicial.
Figura 5. Curvas de capacidad utilizando diferentes distribuciones de carga horizontal
El siguiente paso consiste en determinar la demanda sísmica. En primer lugar, es necesario definir numéricamente el movimiento sísmico, primero como acelerograma y después como espectro de demanda. A manera de cálculo tipo se utilizó el sismo Coalinga, escalado uniformemente a 0.5g (figura 3).
El punto máximo hasta el que es llevada la edificación se conoce como punto de comportamiento, y para encontrarlo se han propuesto diferentes metodologías. En esta investigación se utilizó el procedimiento A del ATC-40, que es básicamente un proceso de prueba y error: una vez se tienen en una misma gráfica (formato ADRS) el espectro de capacidad de la edificación y el espectro elástico de demanda (amortiguamiento = 5 %), se supone un punto de comportamiento cualquiera, luego se construye una representación bilineal de la capacidad, que debe tener la misma pendiente inicial que el espectro, y la misma área bajo la curva hasta el punto que se asume es el punto de comportamiento. Posteriormente, se determina el amortiguamiento desarrollado por la estructura y se construye el espectro de demanda para este valor de amortiguamiento. Si el espectro de demanda calculado intercepta al espectro de capacidad en el punto previamente definido, entonces la suposición fue correcta y ese es el punto de comportamiento. Si los puntos no coinciden, es necesario suponer un nuevo punto de comportamiento y repetir el proceso tantas veces como sea necesario hasta que los dos espectros se intercepten en ese punto. En la figura 6 se presenta el punto de comportamiento para cada distribución de carga y el espectro elástico para el sismo de Coalinga.
Una vez conocido el punto de comportamiento es posible determinar casi cualquier valor de respuesta máxima de la edificación. En la figura 7(a) puede verse el perfil de desplazamientos de piso máximos como porcentaje de la altura de la edificación (17.7 m), obtenido mediante cada una de las tres distribuciones horizontales de carga y el perfil asumido 'verdadero' mediante la aplicación del Análisis dinámico cronológico no lineal. De igual forma, en la figura 7(b) se presenta el perfil de máximas derivas de entrepiso como porcentaje de la altura de cada piso.
Figura 6. Punto de comportamiento: (a) Distribución uniforme (ßeq = 28.74); (b) Distribución ELF (ßeq = 30.51) y (c) Distribución
Figura 7. Perfiles de (a) desplazamiento de piso máximos y (b) máximas derivas de entrepiso, normalizados por la altura total de la edificación
Con el fin de observar la influencia de la intensidad del movimiento de tierra, el sismo Coalinga se escaló para que alcanzara una aceleración pico efectiva igual a 0.2g, 0.3g, 0.4g, 0.6g y 0.7g. Para cada valor se construyó el espectro de respuesta y se aplicó el mismo procedimiento descrito anteriormente. En las figuras 8 y 9 se presentan resúmenes con los porcentajes de error en los desplazamientos de piso máximos y en los valores pico de las derivas de entrepiso, obtenidos para la distribución uniforme, ELF y triangular, respectivamente. Se asume que los resultados obtenidos por el NLHRA corresponden a los más cercanos a la realidad, por lo cual, la validación y comparación de los resultados se hizo en función de ellos.
Figura 8. Error en los máximos desplazamientos de piso: (a) Distribución uniforme; (b) Distribución ELF; (c) Distribución triangular
Figura 9. Error en las derivas de entrepiso máximas: (a) Distribución uniforme; (b) Distribución ELF; (c) Distribución triangular
En el caso de los desplazamientos, puede observarse que no siempre la misma distribución horizontal de carga genera los mayores o menores porcentajes de error. Por ejemplo, para 0.5g, los porcentajes de error más grandes se obtienen para la distribución uniforme, pero para 0.3g se obtienen los menores. Con las derivas pasa lo contrario los porcentajes de error más grandes, sin importar el factor de escala, se presentan para la distribución uniforme. Las distribuciones ELF y triangular generan errores muy similares, debido a la similitud de la curva de capacidad obtenida, ver Figura 5.
Los errores, en algunos casos mayores que el 50%, se pueden relacionar con:
1. Las suposiciones inherentes a la teoría utilizada para obtener la expresión que define el cálculo del amortiguamiento equivalente .
2. La idealización del espectro de capacidad como una relación bilineal.
3. El espectro de respuesta se obtiene para un sistema de un grado de libertad (SDF), y luego se aplica a un sistema de múltiples grados de libertad (MDF).
4. La suma de errores, primero al igualar las á reas bajo el espectro de capacidad real y la representación bilineal y, luego, al igualar el punto de comportamiento supuesto con el punto de corte de los espectros de capacidad (real) y demanda.
5. El procedimiento sólo tiene en cuenta el aporte del primer modo de vibración.
6. La distribución de carga horizontal seleccionada.
Análisis estático no lineal modal
La respuesta del edificio de siete pisos se determinó por medio de los dos métodos modales inelásticos aproximados UMRHA (Análisis modal desacoplado de la historia de respuesta) y MPA (Análisis pushover modal) y, se comparó con los resultados del riguroso procedimiento NLRHA utilizando el software IDARC-2D. Para garantizar que la edificación respondiera dentro del rango inelástico, inicialmente se utilizó el acelerograma del sismo Coalinga escalado a 0.6g. En la figura 10 se presentan las propiedades dinámicas de los tres primeros modos de vibración del edificio en la dirección x y la distribución lateral de fuerzas:
Figura 10. (a) Forma y periodo de los tres primeros modos y (b) Distribución de fuerzas horizontales, en KN
Las curvas de capacidad, para cada uno de los tres primeros modos de vibración obtenidas utilizando la distribución lateral de fuerzas de la figura 10, se presentan en la figura 11.
Como se mencionó anteriormente, el análisis UMRHA permite determinar una aproximación a la historia en el tiempo de los desplazamientos de piso, o cualquier otra respuesta de la edificación. En la figura 12 se presenta la variación del desplazamiento en el primer y último piso, obtenida mediante el análisis UMRHA y mediante el NLRHA. Puede verse que el análisis UMRHA constituye una buena aproximación y, en algunos casos, puede utilizarse como alternativa, pues es más fácil de implementar que el análisis NLRHA.
Figura 11. Curvas de capacidad para los tres primeros modos de vibración (dirección x)
Figura 12. Método UMRHA vs NLRHA. (a) Historia de desplazamientos del piso 7 y (b) Historia de desplazamientos del piso 1.
figura 13(a) se muestra el perfil de desplazamientos de piso máximos, obtenidos mediante UMRHA y NLRHA. El porcentaje de error más grande ocurre en el piso 5, en donde se alcanza un 14.5% y el menor en el piso 2, con 3.27%.
Figura 13. Método UMRHA vs NLRHA. (a) Perfil de desplazamientos máximos (Sismo Coalinga escalado a 0.6g) y (b) Error en los desplazamientos de piso para diferentes factores de escala
Con el fin de observar el cambio de los porcentajes de error en la medida en que se varía la magnitud del sismo, el mismo procedimiento se llevó a cabo para el sismo Coalinga escalado a 0.1g, 0.2g, 0.3g, 0.4g, 0.5g y 0.7g. Los resultados se presentan para cada piso en la figura 13(b). Como era de esperarse, los errores más pequeños se presentan para los menores factores de escala (0.1g y 0.2g) pues la estructura aún no ha incursionado en el rango inelástico. Para factores de escala intermedios (0.3g, 0.4g y 0.5g) se presentan los porcentajes de error más grandes debido a que corresponden a la zona de menor correlación entre la curva de capacidad real y la idealizada, que es la que en realidad se utiliza. El error tiende a disminuir cuando la estructura ha incursionado en gran medida en la fluencia (0.6g y 0.7g).
Finalmente, los máximos desplazamientos de piso y máximas derivas de entrepiso del edificio aplicando el sismo Coalinga escalado a 0.6g en la dirección x, se evaluaron mediante el Análisis pushover modal (MPA) tomando como base las curvas de capacidad por modo de la figura 11. En las figuras 14 y 15 se presenta el perfil de desplazamientos y derivas máximas para cada piso, teniendo en cuenta uno, dos y tres modos, y el perfil calculado mediante NLRHA. También se presenta el error teniendo en cuenta el primer modo, los dos primeros modos y, finalmente, los tres primeros modos de vibración del edificio. El análisis de las gráficas nos permite concluir que el primer modo de vibración no es suficiente cuando se quiere implementar un análisis modal.
Figura 14. Método MPA vs. NLRHA. (a) Perfil de desplazamientos máximos; (b) % de error considerando uno, dos y tres modos.
Figura 15. Método MPA vs. NLRHA. (a) Perfil de derivas máximas; (b) % de error considerando uno, dos y tres modos
El análisis MPA se implementó adicionalmente para el sismo Coalinga escalado a 0.1g, 0.2g, 0.3g, 0.4g, 0.5g y 0.7g. Nuevamente se tuvo en cuenta el aporte de los tres primeros modos de vibración y se determinaron los valores pico de desplazamientos de piso y derivas de entrepiso. Los errores relativos al análisis NLRHA se presentan en la figura 16, encontrándose conclusiones similares a las halladas para el método UMRHA.
Figura 16. Análisis Pushover Modal (MPA). Error como función del factor de escala del sismo; (a) Desplazamientos y (b) Derivas de entrepiso
CONCLUSIONES
El Análisis dinámico no lineal (NLRHA) es la metodología de análisis sísmico más completa que existe en la actualidad, pues permite conocer la variación en el tiempo de cualquier respuesta de la edificación. Sin embargo, existen metodologías alternativas más utilizadas, debido principalmente a que son más sencillas de implementar, aunque menos exactas. Para determinar el grado de exactitud de éstas, los desplazamientos de piso y derivas de entrepiso de un edificio de concreto reforzado, aporticado, de siete pisos, regular en planta y altura, sometido al sismo Coalinga, fueron comparados contra aquellos obtenidos mediante el Análisis dinámico no lineal, encontrándose que los mayores porcentajes de error se presentaron para el procedimiento pushover tradicional.
Se encontró que la construcción de la curva de capacidad, necesaria para implementar un análisis pushover, es muy sensible a la distribución horizontal de carga, lo que en teoría no debería suceder, ya que la capacidad de la edificación es ú nica. Para las distribuciones ELF (equivalent lateral force) y triangular las curvas son prácticamente iguales, pero existe gran diferencia, incluso en la rigidez antes de la fluencia, con la curva obtenida mediante la distribución uniforme.
También se puede concluir que la distribución de carga que genera los errores más grandes es la distribución uniforme. Los errores disminuyen utilizando las otras dos distribuciones, sin embargo, siguen siendo mayores que aquellos obtenidos mediante los procedimientos UMRHA y MPA. Las explicaciones son básicamente dos; primero, el procedimiento pushover tradicional sólo tiene en cuenta el primer modo de vibración, y segundo, la incertidumbre en torno a la selección de la distribución horizontal de carga con la que se construye la curva de capacidad. Puede verse que este factor tiene gran influencia en los resultados obtenidos, y no existe un criterio unificado para seleccionar solamente una.
Los dos problemas mencionados en el párrafo anterior se pueden solucionar con los procedimientos UMRHA y MPA. En los dos procedimientos modales se ulitiza solamente una distribución horizontal de carga, proporcional a la masa y forma del modo, para construir la curva de capacidad; de esta manera se obtiene sólo una curva para cada modo y se elimina la incertidumbre sobre cuál distribución utilizar, presentada en el procedimiento pushover tradicional.
Los errores obtenidos en las dos metodologías modales (UMRHA y MPA) aumentan cuando la edificación ingresa en el rango inelástico, reflejando de esta forma la dificultad e incertidumbres existentes para tratar de predecir el comportamiento no lineal de las estructuras. Las causas de dichos errores son, en primer lugar, la falta de una teoría rigurosa, principalmente en el análisis UMRHA. Los dos procedimientos se basan en algunas suposiciones y extensiones del análisis elástico de edificaciones que no son del todo ciertas cuando el análisis es inelástico. En segundo lugar, se induce al error al idealizar la curva de capacidad como una relación bilineal. Los resultados permitieron determinar que los mayores errores se cometen en la parte de menos correlación entre las curvas de capacidad real e idealizada, esto es, cerca de la fluencia de la estructura. Cuando el límite de fluencia se sobrepasa significativamente, los errores tienden a disminuir.
Se puede observar que los porcentajes de error se reducen significativamente, especialmente en las derivas de entrepiso, cuando se tiene en cuenta el segundo modo y, en menor medida, cuando se considera el tercer modo. Sin embargo, el aporte de los demás modos es insignificante; por tal razón se puede concluir que los dos o tres primeros modos de vibración son suficientes.
De las metodologías alternativas de análisis sísmico estudiadas, la que produce los errores más pequeños es el análisis MPA, por tal razón, se concluye que es la más adecuada; no obstante, debe mencionarse que en algunas oportunidades los porcentajes de error fueron grandes. Esto permite plantear la necesidad de mejorar los procedimientos actuales de análisis y diseño sísmico.
BIBLIOGRAFIA
1. APPLIED TECHNOLOGY COUNCIL. 1996. Seismic evaluation and retrofit of concrete buildings, Vol 1. California. [ Links ]
2. CHOPRA, K. 2001a. Dynamics of structures: Theory and applications to earthquake engineering. New Jersey. University of California at Berkeley. Prentice Hall. [ Links ]
3. CHOPRA, K. & GOE, R. (2001). A modal pushover procedure to estimate seismic demands for buildings: Theory and preliminary evaluation. PEER Report, Pacific Earthquake Engineering Research Center, College of Engineering, University of California Berkeley. [ Links ]
4. FEMA. 1996. NEHRP Guidelines for the seismic rehabilitation of buildings. FEMA 273, Federal Emergency Management Agency. [ Links ]
5. INEL, M., TJHIN, T. & ASCHHEIM, M (2003). The significance of lateral load pattern in pushover analysis. Proceedings Fifth National Conference on Earthquake Engineering Istanbul, Turkey. Paper No: AE-009. [ Links ]
6. KRAWINKLER, H. & SENEVIRATNA, G. (1998). Pros and cons of a pushover analysis of seismic performance evaluation. Engineering Structures, Vol. 20 pp. 452-464. [ Links ]
7. LOPEZ, A. 2004. A review of existing pushover methods for 2-d reinforced concrete buildings. PhD Dissertation, Rose School. [ Links ]
8. MORA, M. & VILLALBA, J. 2005. Análisis sísmico inelástico y cálculo de índices de daño en una edificación de mediana altura utilizando diferentes metodologías Tesis de Grado. Universidad Industrial de Santander. [ Links ]
9. MWAFY, A. & ELNASHAI, A. (2001). Static pushover versus dynamic collapse analysis of RC buildings. Engineering Structures, Vol. 23 pp. 407–424. [ Links ]
10. SIERRA, N. 2004. Evaluación comparativa de metodologías de análisis inelástico para edificios de concreto reforzado. Tesis de Maestría, Universidad de los Andes. [ Links ]
11. SUBDIRECCIÓN DE AMENAZAS GEOAMBIENTALES, INGEOMINAS, 2001, Zonificación sismogeotécnica indicativa del área metropolitana de Bucaramanga. Bogotá. [ Links ]
Recibido: 27/07/2006
Aceptado: 27/09/2006













