Serviços Personalizados
Journal
Artigo
Indicadores
-
Citado por SciELO -
Acessos
Links relacionados
-
Citado por Google -
Similares em
SciELO -
Similares em Google
Compartilhar
Revista Latinoamericana de Ciencias Sociales, Niñez y Juventud
versão impressa ISSN 1692-715Xversão On-line ISSN 2027-7679
Rev.latinoam.cienc.soc.niñez juv v.7 n.2 Manizales jul.dez. 2009
Segunda Sección: Estudios e Investigaciones
Determinantes del trabajo infantil y la escolaridad: el caso del Valle del Cauca en Colombia *
Determinantes do trabalho infantil e da escolaridade: o caso do Valle Del Cauca na Colômbia.
Determinants of Child Labor and School Attendance: the Case of the department of Valle del Cauca in Colombia
Sebastián Urueña Abadía1, Luis Miguel Tovar Cuevas2, Maribel Castillo Caicedo3
1 Economista de la Pontificia Universidad Javeriana Cali y estudiante de la Maestría en economía de la misma institución, actualmente escribiendo tesis de grado. Director de riesgos, valores de occidente Correo-e: suruena@javerianacali.edu.co.
2 Economista y estudiante de la Maestría en Salud Pública, Universidad del Valle, Cali, Colombia. Profesor del Departamento de Economía, Facultad de Ciencias Económicas y Administrativas, Pontificia Universidad Javeriana, Cali, Colombia y Universidad Autónoma de Occidente, Cali, Colombia. Miembro del grupo de investigación IDEAS de la Facultad de Ciencias Económicas y Administrativas, Pontificia Universidad Javeriana, Cali. Correo-e: miguel409b@yahoo.com; ltovar@javerianacali.edu.co
3 Magíster en Economía, Universidad del Valle, Cali, Colombia, y economista de la misma institución. Profesora asistente del Departamento de Economía de la Pontificia Universidad Javeriana Cali, e investigadora del grupo Mimex (Grupo de Microeconomía y Métodos Experimentales). Correo-e: mabelcas@javerianacali.edu.co
Primera versión recibida octubre 29 de 2008; versión final aceptada abril 16 de 2009 (Eds.)
Resumen:
Colombia, al igual que la mayoría de países latinoamericanos, consciente de las repercusiones sociales y económicas negativas del trabajo infantil, se ha comprometido en la lucha por la erradicación de este fenómeno. Prueba de ello es la ratificación por parte del gobierno colombiano en el año 2007, del Convenio 182 de la OIT sobre la Prohibición de las Peores Formas de Trabajo Infantil y la Acción Inmediata para su Eliminación. En el plano regional, como parte del Plan de Desarrollo del Departamento del Valle del Cauca 2008-2011, se está implementando actualmente una estrategia territorial de erradicación del trabajo infantil en sus 42 municipios. Considerando este panorama, este trabajo indaga cuáles son los determinantes del trabajo infantil y la escolaridad en el departamento del Valle a partir de los datos de la Encuesta Nacional de Calidad de Vida del año 2003. Para el análisis se emplea un modelo econométrico Probit Bivariado, que permite el estudio conjunto e interrelacionado de decisiones diferentes, en este caso la asistencia escolar y el trabajo.
Palabras Clave: trabajo infantil, asistencia escolar, determinantes del trabajo infantil, economía laboral.
Resumo:
A Colômbia, como a maioria dos países latino-americanos e consciente das repercussões sociais e econômicas negativas conseqüentes do trabalho infantil, se tem comprometida na luta para a erradicação deste fenômeno. Uma prova disso é a ratificação, da parte do governo colombiano no ano 2007, do Convênio 182 da Organização Internacional do Trabalho sobre a Proibição das Piores Formas de Trabalho Infantil e a Ação Imediata para sua Eliminação. No plano regional, como parte do Plano de Desenvolvimento do Departamento do Valle Del Cauca 2008-2011, se implementa atualmente uma estratégia territorial para a erradicação do trabalho infantil nas suas 42 municipalidades. Em conformidade com este panorama, este trabalho pesquisa sobre os determinantes do trabalho infantil e da escolaridade no Departamento do Valle Del Cauca a partir dos dados da Indagação Nacional de Qualidade de Vida do ano 2003. Para a análise, se usa um modelo econômico Probit Bivariado, que permite o estudo conjunto e inter-relacionado de decisões diferentes, neste caso a assistência escolar e o trabalho.
Palavras chave: trabalho infantil, assistência escolar, determinantes do trabalho infantil, economia laboral.
Abstract:
Colombia, like most Latin American countries and being awareof the negative social and economic impact of child labor, has been committed to fight for the eradication of this phenomenon. This is evidenced by the Colombian government's ratification in 2007 of the ILO Convention 182 concerning the Prohibition and Immediate Action against the Worst Forms of Child Labor. At the regional level, as part of the Development Plan for the Department of Valle del Cauca 2008 -2011, the government is currently carrying out a strategy to eliminate child labor in its 42 municipalities. Taking this background into account, this paper investigates the determinants of child labor and school attendance in the Department of Valle, based upon the National Survey on the Quality of Life of 2003. The analysis employs a bivariate Probit econometric model that allows a joint and interrelated study of different decisions, in this case school attendance and labor.
Key words: child labor, school attendance, determinants of the child labor, labor economy.
I. Introducción
De acuerdo con cifras del Departamento administrativo Nacional de Estadísticas Dane, entre el año 2000 y el año 2005 la tasa de trabajo infantil presentó un comportamiento decreciente, pasando de 12.8% en el 2001 a 10.4% en el 2003 y finalmente a 8.9 % en el 2005. Sin embargo, en el mismo periodo se ha presentado un aumento considerable del porcentaje de niños y niñas entre 5 y 17 años de edad que no asisten al colegio porque tienen que trabajar (se incrementó de 3.9% a 8.5%) o encargarse de los oficios del hogar (se incrementó de 1.6% a 3.3%).
Pese a los logros alcanzados en el país en el tema del trabajo infantil, este fenómeno sigue vulnerando el derecho que los niños y las niñas tienen a la educación y a la recreación, al mismo tiempo que expone la vida de las personas menores a riesgos físicos y psicológicos. Estos hechos se traducen en unos altos costos sociales que afectan el desarrollo económico del país por el fuerte impacto negativo que tienen sobre la acumulación de capital humano 1 .
Tradicionalmente la problemática del trabajo infantil ha estado asociada a problemas de los países en desarrollo, como son la pobreza, el desempleo, la informalidad y la insuficiencia del estado en la cobertura institucional, jurídica y educativa (Wagner, 2004), que se materializa en la imposibilidad de la implementación masiva y uniforme de las herramientas existentes para la protección de las personas menores.
Desde una perspectiva del curso de la vida como la propuesta por Blane (2006), en el análisis de los determinantes sociales de la salud, el contexto social en el que se da el trabajo infantil estructura las oportunidades a lo largo de toda la vida de esos niños y niñas, moldeando las ventajas y desventajas que tendrán.
Por ejemplo, un niño o niña que haya crecido en un hogar de buenos ingresos tiene mayor probabilidad de tener éxito educacionalmente, lo cual favorecerá la entrada a los sectores más privilegiados del mercado laboral, en el que un plan de pensión le proveerá seguridad financiera en la vejez. En contraste, un niño o niña en un hogar desaventajado probablemente tendrá menos calificaciones educacionales, dándose quizás el caso de que abandone la escuela a edad temprana, internándose en el mercado laboral no calificado, donde el bajo pago y el trabajo riesgoso se combinarán con la ausencia de pensión, acumulando así un número de desventajas para la vejez.
Reconociendo la importancia de garantizar un ambiente adecuado para el desarrollo de la niñez, varios países en el mundo, entre ellos Colombia, han firmado convenios en los que se comprometen en la erradicación del trabajo infantil, y han diseñado una serie de leyes y políticas para cumplir con tal fin2. En el caso de Colombia, la problemática del trabajo infantil se ha incluido en los planes de desarrollo, en los planes anuales de inversión, y en los planes institucionales, y se ha impulsado la elaboración de planes operativos locales y programas de acción, que aborden principalmente las peores formas de trabajo infantil3.
A nivel departamental, el Plan de Desarrollo del Valle del Cauca 2008-2011 tiene un programa de erradicación del trabajo infantil en todos sus municipios. Dicho programa lo que pretende es lograr la inclusión de los niños y niñas en el sistema educativo a través de estrategias que permitan la entrada y permanencia de las personas menores en la escuela, como son los aditamentos escolares y los desayunos.
En este contexto nacional y regional, el reconocimiento de los determinantes del trabajo infantil son un insumo indispensable para la comprensión de la problemática y para la orientación de acciones de política que contribuyan a su solución. Sobre dicho reconocimiento ya se han logrado avances importantes en el plano nacional con las investigaciones de Pedraza y Ribero (2005 y 2006), y Bernal y Cárdenas (2006). Sin embargo, a nivel regional, éste no es el caso. Por tal motivo, el propósito de este trabajo es establecer y evaluar cuáles son los factores determinantes del trabajo infantil y la escolaridad en el departamento del Valle del Cauca.
Para establecer los determinantes del trabajo infantil y la escolaridad, se emplean los datos de la Encuesta de Calidad de Vida (ECV) aplicada por el DANE en el año 2003, y se estima un modelo Probit Bivariado, en el que las decisiones sobre el trabajo infantil y la asistencia escolar son explicadas por un conjunto de factores que denotan características individuales, del hogar y del entorno. La elección de esta estrategia de estimación obedece a que las decisiones sobre la asistencia escolar y el trabajo infantil no son independientes, sino que se determinan simultáneamente.
En este trabajo consideramos trabajador o trabajadora infantil a toda persona menor que tenga entre 5 y 17 años de edad, y reciba un salario monetario o en especie como remuneración por la actividad que realiza. Esta clasificación la hicimos teniendo en cuenta los siguientes dos aspectos:
Primero, que de acuerdo con la Organización Internacional del Trabajo (2002, p. 32) la condición de las personas menores trabajadoras se determina de la siguiente manera: i) las personas menores de 5 años no deben trabajar;ii) quienes tienen entre 12 y 14 años no deben trabajar más de 14 horas a la semana en trabajos livianos; y iii) las personas menores entre 15 y 17 años, deben ser protegidas de las peores formas de trabajo infantil4
Segundo, que el trabajo infantil se puede definir según el tipo de trabajo y/o la medida en la cual este trabajo interfiere con las actividades escolares; así, si el infante o la infante trabaja en la finca familiar en la producción y procesamiento de productos primarios, trabaja en el negocio familiar en la producción de bienes y servicios para la venta o el consumo propio, o está sin empleo pero busca trabajo en alguna de estas actividades, se puede considerar como trabajador o trabajadora infantil. Al mismo tiempo, si trabaja en oficios domésticos en un hogar que no es el suyo, se le considera una persona económicamente activa (Bernal et al., 2006).
Este documento está organizado de la siguiente manera: esta introducción, seguida por una revisión teórica del fenómeno del trabajo infantil y su interacción con la educación; luego mostramos trabajos que han estudiado este fenómeno en diferentes regiones y con enfoques diferentes; enseguida presentamos la metodología empleada; en las dos secciones siguientes, exponemos los resultados y las conclusiones, en ese orden.
II. Aproximación a los modelos teóricos que se acercan al estudio del fenómeno del trabajo infantil
De acuerdo con los modelos clásicos de capital humano (Becker, 1976) y del ciclo de vida (Porta, 1967), los individuos seleccionan sus funciones de utilidad y cestas de consumo en función de la maximización del bienestar que les reporta el consumo de diversos bienes. Estos bienes pueden obtenerse en el mercado o a través de la producción doméstica, como es el caso de la educación y la recreación. Esta forma de acumulación de capital humano se convierte en una decisión que tiene inherente a ella la elección de diferentes cestas de consumo. De acuerdo con Porath (1967), para cada individuo, en su ciclo de vida, las decisiones dependerán de los retornos de las mismas. En el caso de un infante, éste invertirá en educación si el valor presente de los retornos es relativa y suficientemente alto como para cubrir sus costos marginales corrientes.
El interés de este documento radica en el tradeoff que representa la decisión de los padres y madres acerca de si el infante o la infante trabajará, estudiará, o combinará ambas actividades. Sobre este aspecto se han desarrollado diferentes hipótesis teóricas y modelos que intentan explicar cómo interactúan los factores mediáticos alrededor de la persona menor, en la decisión de maximización de su utilidad y de la utilidad del hogar.
Rosenzweig y Evenson (1977) plantean una función de utilidad del hogar que depende de diferentes bienes domésticos, tales como el número de hijos e hijas, la escolarización del niño o niña, el ocio por infante, el estándar de vida del hogar y la combinación de bienes de consumo que son proveídos conjuntamente por el hogar y el mercado. Al mismo tiempo, los bienes anteriormente descritos involucran una función de producción doméstica, que es homogénea y lineal en los insumos, como el tiempo de la madre y el tiempo del niño o niña como contribución importante en la producción del hogar; así mismo, se debe considerar que dicha función depende a su vez de bienes de mercado que contribuyen con la producción doméstica. De esta forma los autores crean una función de demanda de bienes tanto de mercado como de producción doméstica, que determinan la contribución económica del infante o la infante dentro de su hogar.
Por otro lado, Rosati y Rossi (2001) plantean la relación existente entre las horas trabajadas por el niño o la niña, la incorporación al estudio y la acumulación de capital humano, discutiéndose desde un juego altruista donde los padres y madres determinan el consumo de los niños y niñas para el presente y el futuro, considerando el ocio actual de la persona menor. Lo que el modelo propone es una decisión inter-temporal de los padres y madres, donde ellos y ellas evalúan el consumo presente con respecto al consumo futuro, y donde se toma en cuenta la acumulación de capital humano como fuente de consumo futuro.
Desde una perspectiva similar, Ravallion et al. (2000) asumen que los padres y madres deben determinar cómo sus hijos e hijas distribuyen su tiempo de acuerdo con una función de utilidad que toma en cuenta el consumo corriente del hogar, la asistencia a la escuela del infante o la infante, y su ocio. Adicionalmente, se incluye dentro de la función un vector de características exógenas del hogar y de la geografía local.
Los modelos de Rosati et al. (2001) y Ravallión et al. (2000), al incorporar el número de horas que tiene la persona menor y su distribución entre las diferentes actividades que realiza, se ven enfrentados a problemas de endogeneidad en la medida en que las variaciones de las mismas repercuten en la distribución del stock de tiempo disponible del infante o la infante.
Considerando la posibilidad de problemas de endogeneidad, Gunnarsson, Orazem y Sánchez (2004) no toman en cuenta el tiempo como variable determinante y, por el contrario, se enfocan en el entorno del niño o la niña, y crean una función de oferta laboral de la persona menor en relación con dicho entorno. Entre las variables consideradas por los autores se encuentran la edad del niño o niña, y los años de estudio que ha completado, además de un vector con las condiciones de los padres y madres, del hogar, de la escuela y de la comunidad en donde se encuentra el infante o la infante. El modelo predice que el costo de oportunidad del niño o niña de trabajar versus estudiar, en función de la edad y el tiempo de escolarización, es creciente, y depende del mercado laboral local y de la productividad de la persona menor en la escuela, debido a la existencia de interrelaciones entre la asistencia escolar y el trabajo del infante o la infante.
Por su parte, Jacoby (1994) plantea un modelo donde los padres y madres valoran de forma perfecta una unidad de consumo de su hijo o hija, vía altruismo, y supone que una vez el niño o niña se enrola en la escuela, los padres y madres escogen el fragmento de tiempo que él o ella gastará en cada año de escuela y en el consumo del hogar, con el fin de maximizar la utilidad del niño o niña. Al mismo tiempo, el autor incorpora el acceso financiero como determinante de las decisiones familiares. En el caso del ingreso del hogar, plantea que éste tiene dos componentes: el ingreso de los padres y madres, y las ganancias del niño o niña; estas últimas se encuentran conformadas por el capital humano de la persona menor, ponderado a la decisión de los padres y madres y evaluado con la renta del capital humano.
Desde otro enfoque, Basu y Van (1998) proponen un modelo que parte de dos axiomas: el primero, "Luxury Axiom", plantea que las familias sólo enviarán a los niños y niñas al mercado laboral, si el ingreso familiar sin incorporar el trabajo de la persona menor cae muy bajo. El segundo, "Substitution Axiom", afirma que desde el punto de vista de la empresa, la labor adulta es sustituible por la labor infantil. En este modelo, la consideración de estos dos supuestos no es suficiente para lograr el equilibrio general, pero los autores afirman que sí lo es para utilizar un modelo de equilibrio multipotenciado. De esta forma se discuten las condiciones desde las cuales se cumplen los equilibrios.
Entre los diferentes modelos teóricos revisados, uno de los más interesantes por su potencial de análisis y simplicidad es el modelo de determinación de la oferta de trabajo infantil propuesto por Edmonds (2003). Este modelo considera el caso de un hogar con un padre o madre, y un niño o niña. El padre o madre toma todas las decisiones de la casa, el niño o niña divide su tiempo total (ecuación 1) en el trabajo de mercado (M), el trabajo en la producción domestica (H) y la educación (E). Una consideración importante es que el tiempo de estudio es el tiempo que pasa en clase, así como el ocio y el juego.
M + H + E = 1 (1)
El modelo plantea que: i) el bienestar del niño o niña depende del tiempo que pasa educándose, de acuerdo con la doble diferenciación de R(E), y crece con la educación, pero a una tasa decreciente; ii) cada fracción de tiempo que el niño o niña trabaja en el mercado, retribuye un ingreso (W) que es exógeno para el hogar; iii) los retornos que incorpora la persona menor al hogar dependen de las características del hogar (A) y de la facción del tiempo que el niño o niña pasa en la producción de la casa (H). De esta manera, el consumo total del hogar (c) puede ser representado de la siguiente manera:
F (H;A) : c = Y + wH + F (H; A) (2)
En la ecuación (2), Y representa el ingreso laboral, wH es el ingreso que aporta el infante o la infante, y F (H; A) representa la producción de la persona menor en el hogar, donde F (·) es dos veces diferenciable con signo positivo, lo cual disminuye el producto marginal de H. De acuerdo con el modelo, los bienes producidos en el hogar pueden sustituirse por bienes comprados en el mercado de trabajo, como se puede observar en el modelo de producción del hogar de Becker.
El padre o madre, con preferencia sobre el consumo del hogar (c) y el bienestar del infante o la infante, decide cómo asignar el tiempo del niño o niña. Las preferencias de los padres o madres son representadas por una función de utilidad que es dos veces diferenciable y decreciente en sus argumentos (consumo del hogar y bienestar de la persona menor). El problema del padre o madre se reduce a elegir la fracción de tiempo que el niño o niña dedica al estudio, a la producción casera, y al mercado de trabajo, sujeto a la restricción temporal de la persona menor. Esto puede representarse de la siguiente manera:
MaxF,H,M u(Y + F (H;A) + wM .R(E)k) s.a E + H + M = 1 (3)
La solución a este problema de maximización es la función de oferta de trabajo infantil, que dependerá de las características del infante o la infante, del hogar, de la comunidad, y de cómo éstas influyen en la oferta laboral de la persona menor.
Este modelo afirma el autor, puede ser visto como un modelo donde los padres y madres escogen qué tanto del tiempo de los niños y niñas se dedica al trabajo y qué tanto al estudio, para luego distribuirlo en tipos de trabajo (doméstico o en el mercado). La idea subyacente es que la persona menor participará en la actividad que reporte mayores retornos sin restringirla a algún sector en particular.
El autor ejemplifica estas relaciones considerando que si un niño o niña trabaja solamente en el mercado y no en la producción doméstica, es porque el salario en el trabajo de mercado es mayor que el retorno del tiempo en la producción del hogar. Similarmente, si un niño o niña sólo trabaja en la producción del hogar, es porque los retornos por esta producción exceden el salario del mercado. Si el infante o la infante trabaja en ambas actividades es porque existe igualdad entre el valor del tiempo de producción doméstica valorado con la productividad marginal de dicha producción y el salario de mercado. Si el niño o niña trabaja en ambas actividades y además asiste a la escuela, el retorno marginal de la educación para el hogar es igual al retorno marginal del trabajo adicional. Finalmente, el niño o niña asistirá a la escuela y no trabajará, cuando la utilidad marginal de estudiar exceda la utilidad marginal de trabajar en cualquiera de las categorías. Una presentación más detallada del modelo se encuentra en Edmonds (2003).
Edmonds, además, señala que debe considerarse que los atributos del medio pueden afectar las decisiones de trabajo del infante o la infante y los retornos por educación que perciben los niños y niñas versus los salarios percibidos en el mercado. En este sentido, el acceso y la calidad de la educación son factores relevantes en el retorno percibido y por tanto en la decisión de que la persona menor estudie o trabaje.
Los retornos por educación pueden ser percibidos como oportunidades de empleos calificados, por cuanto en economías de subsistencia pueden ser bajos los rendimientos educativos. Sin embargo, mejoras en las oportunidades laborales pueden incrementar los rendimientos proporcionados por la educación.
Finalmente, Edmonds advierte que el trabajo infantil se ve influenciado por la flexibilidad en la legislación y por su aceptación cultural como un elemento para el desarrollo del niño o niña.
III. Algunos estudios referentes al trabajo infantil y su relación con la educación
En los últimos años se ha generado una gran cantidad de literatura en torno al trabajo infantil que ha abordado el cómo de la medición del fenómeno y las opciones de política más acertadas para la corrección de este problema. Sin embargo, son menos los estudios que analizan la interacción entre la escolaridad y el trabajo de los infantes y las infantes.
Ravallion et al. (2000), con el propósito de estudiar la influencia del trabajo infantil sobre el desarrollo económico y la pobreza en Bangladesh, estiman cuatro modelos ProbitProbit para las siguientes condiciones: trabajo de los niños, trabajo de las niñas, estudio de los niños y estudio de las niñas. Entre las variables explicativas incluyen características del hogar como el tamaño, las edades de los integrantes y la composición de la familia; también tienen en cuenta el nivel educativo de los padres y madres. Los hallazgos de los autores indican que el trabajo infantil contribuye a crear una trampa de pobreza en la medida en que los hogares sustituyen la educación por el trabajo infantil, con el fin de aumentar los ingresos corrientes del hogar.
Por otro lado, Canagarajah et al. (1997) asumen que las decisiones sobre trabajo infantil y asistencia a la escuela se toman de manera simultánea, y estiman un modelo Probit Bivariado para analizar la relación existente entre estas dos actividades en Ghana. Entre los regresores, los autores incluyen características de los niños y niñas como la edad y el sexo, características de los padres y madres como el nivel educativo, y características del hogar como el ingreso real per cápita, el número de niños y niñas, la religión que profesan y la región en la que se encuentra ubicado el hogar. Los autores constatan que el trabajo infantil se encuentra correlacionado negativamente con la asistencia escolar, aunque los datos no muestran evidencia de que la pobreza incida directamente sobre el trabajo infantil.
Heady (2000) estudia el efecto que tiene el trabajo infantil sobre el logro educativo de los niños y niñas en Ghana a través de su rendimiento en áreas como la lectura y las matemáticas. El autor afirma que tomar la asistencia escolar como medida del logro educativo no es ideal para estimar el daño causado por el trabajo infantil, debido a que podría subestimarlo, toda vez que los niños y niñas que trabajan y asisten a la escuela disminuyen su capacidad de aprendizaje como consecuencia del agotamiento y la falta de tiempo para estudiar en casa. Además, la asistencia escolar deja por fuera aspectos importantes como la mala calidad de la educación en los países en vía de desarrollo, o el aprendizaje informal por parte del infante o la infante.
Siguiendo la misma línea, Gunnarsson et al. (2004) estudian en Latinoamérica el efecto del trabajo sobre la actividad estudiantil y el rendimiento de los niños y niñas que cursan tercer y cuarto grado en nueve países de la región. Los hallazgos del estudio indican que el trabajo infantil tiene un impacto negativo en la acumulación de capital humano, que se ve reflejado en un rendimiento más bajo en las áreas de matemáticas y lenguaje.
En un estudio realizado en la India para determinar el impacto de la pobreza sobre la escolarización y el trabajo infantil, Ray (2000a) encuentra que la pobreza estimula la participación laboral de los niños y niñas, y reduce la posibilidad de que estudien. Además encuentra que, a mayores niveles educativos de los padres y madres, es menos probable que los niños y niñas trabajen y más probable que estudien.
En otra investigación, Ray (2000b) realiza un estudio comparativo entre Perú y Paquistán para comprobar la existencia de: i) una relación positiva entre las horas que el infante o la infante dedica al trabajo y la pobreza; ii) una relación negativa entre la educación del niño o niña y la pobreza. Para esto, utiliza un método de estimación en dos etapas con el fin de corregir posibles sesgos de selección, y estima ecuaciones reducidas para la oferta de trabajo infantil y la asistencia escolar. Los resultados del trabajo verifican las hipótesis para Pakistán, pero no lo hacen para Perú.
Por otra parte, Patrinos et al. (1997) abordan el tema de escolaridad y trabajo infantil en el Perú, centrándose en el papel que juega el tamaño de la familia sobre estas actividades. Para determinar dicho papel, los autores estiman un modelo Logit multivariado en el que se incluyen regresores como el número de hijos e hijas5 y sus edades. Los resultados del estudio indican que el tamaño de la familia sí es importante para decidir si el niño o niña estudiará o trabajará y además, en los hogares con mayor número de niños y niñas de corta edad, se incrementa la probabilidad de que ellos y ellas se dediquen a actividades diferentes a las educativas. Finalmente, los autores concluyen que, aunque la relación entre educación y trabajo infantil es compleja, el trabajo tiene efectos negativos sobre la escolaridad.
Psacharopoulos (1997), siguiendo el trabajo realizado con Patrinos en el Perú, extiende el análisis a países como Bolivia y Venezuela y se centra en el papel que juegan los recursos del hogar y los ingresos aportados por el infante o la infante en la determinación de las decisiones sobre su estudio o su trabajo. Entre sus principales hallazgos encontramos que: i) el trabajo infantil contribuye significativamente a los ingresos familiares; ii) los niños y niñas que trabajan, en comparación con quienes no lo hacen, reducen en dos años la asistencia a la escuela; y iii) la repetición de años escolares en la población infantil es un denominador común en Latinoamérica.
Ray et al. (2004) estudian el impacto que el trabajo infantil tiene sobre la escolaridad en varios países. Para esto emplean los datos del programa de información y monitoreo del trabajo infantil de la OIT (Simpoc) y realizan un ejercicio econométrico bastante sofisticado que se lleva a cabo en tres etapas. En la primera, estiman un modelo Logit multinomial para determinar la decisión del hogar de colocar al infante o a la infante a estudiar, a trabajar, a estudiar y trabajar, o a no realizar ninguna de las dos actividades. En la segunda etapa se estima un modelo por mínimos cuadrados ordinarios, empleando variables instrumentales, para determinar la endogeneidad del número de horas que no se tuvieron en cuenta en la primera parte. En la última etapa, los autores estiman la relación entre los costos de la escolaridad y el trabajo infantil, a través de la metodología de Mínimos Cuadrados Simultáneos en tres etapas.
Los resultados encontrados por Ray et al. (2004) revelan que las horas de trabajo infantil afectan la asistencia escolar y el desempeño. Específicamente, encontraron que, en Camboya y Namibia, afectaba el aprendizaje de la lectura y la escritura; en Portugal, las horas de trabajo infantil incrementaban los fracasos escolares. En países como Sri Lanka y Namibia, dichos efectos negativos no son tan claros.
Por otra parte, Beyer (1998), en un estudio sobre la relación entre los subsidios otorgados por el gobierno de Chile a la educación y al desempleo y a la deserción juvenil, encontraron que el ingreso familiar es un determinante importante de la probabilidad de que los jóvenes y las jóvenes dejen la escuela. También hallaron que la población joven egresada del colegio tiene una tasa de desempleo menor que quienes no egresan.
En el caso colombiano, los tres trabajos más recientes sobre la problemática del trabajo infantil son los de Bernal et al. (2006) y Pedraza y Ribero (2006 y 2005). Bernal et al. (2006) analizan los determinantes del trabajo infantil a partir de un modelo LogitBivariado que incorpora como regresores características del niño o niña, de los padres y madres y del hogar.
En general, los resultados muestran que los niños se dedican más al trabajo, combinado con actividades educativas o no, mientras las niñas se dedican más al estudio. Un mayor nivel educativo de los padres y madres reduce la probabilidad de que los infantes y las infantes trabajen y aumenta la probabilidad de que estudien. El trabajo infantil está relacionado positivamente con la tasa de ocupación de las personas adultas del hogar.
Por su parte, Pedraza et al. (2006) se acercan al estudio de las consecuencias más graves del trabajo infantil y juvenil en Colombia, concentrándose en el efecto negativo que puede tener este fenómeno sobre dos importantes indicadores del bienestar, como son la educación y la salud.
Primero analizan las decisiones sobre trabajo y asistencia escolar del menor o la menor, a través de un Modelo Logit Multinomial. Entre los resultados más relevantes se encuentran que para las dos cohortes (7-12 y 12-17 años), las probabilidades de que el menor o la menor trabaje y estudie, o que sólo trabaje, frente a que sólo estudie, se incrementarán relativamente ante un aumento marginal de su edad. La probabilidad de que la persona menor trabaje y estudie, frente a que sólo estudie, se incrementa relativamente si su género es masculino, si su hogar sufrió un choque económico a raíz de la crisis de 1999, o si habita en las regiones oriental, central o pacífica, en lugar de hacerlo en Bogotá.
También estiman un modelo Probit Bivariado para profundizar sobre la simultaneidad que existe en las decisiones de trabajo y estudio. Los resultados muestran que las variables de control utilizadas que estiman la relación entre trabajo y asistencia escolar presentan coeficientes inversos para estas actividades, es decir, que aquellas que estimulan el estudio desestimulan el trabajo, y viceversa.
Para estimar el estado de salud de las personas menores de Colombia, teniendo en cuenta si laboran o no, se utilizó un Modelo Probit Ordenado en el que la variable dependiente toma los cuatro valores ordenados del autoreporte de salud. Entre los resultados mas importantes se encuentra que, para el grupo de 12 a 17 años, cuando los jóvenes y las jóvenes trabajan, existe una mayor probabilidad de que reporten peor estado de salud; esto no se evidencia en el caso de los niños y niñas entre 7 y 11 años. En el grupo de 7 a 11 años, si el hogar del niño o niña sufrió algún choque a raíz de la crisis de 1999, él o ella tendrán mayor probabilidad de tener mala salud, entre otros resultados.
En una investigación anterior, Pedraza et al. (2005) estiman los determinantes de trabajo infanto-juvenil en Colombia; para esto usan como referente los desarrollos teóricos de Jacoby (1994) los cuales son afinamientos del modelo planteado por Porath (1967). La estimación econométrica la basan en un modelo de respuesta binaria, tipo Probit, en el cual la variable dependiente define si el niño o niña trabaja o no. Realizan tres estimaciones, en las cuales usan una muestra por género, otra por zona (Rural-Urbano) y una muestra global.
Entre los resultados que encontraron se destaca que la pobreza es un determinante fundamental del trabajo infantil; los ingresos tienen mayor relevancia en la explicación del trabajo infanto-juvenil, versus el género o el lugar de la vivienda del menor o la menor; existe una relación positiva entre la probabilidad de trabajar y la edad del niño o niña; y las personas menores entre12 y 17 años tienen mayor probabilidad de vincularse laboralmente, especialmente el género femenino.
Como se puede observar en la mayoría de estudios descritos, los autores y autoras prefieren utilizar métodos econométricos probabilísticos, de la familia de los modelos Logit y Probit. Estos métodos tienen la ventaja de que permiten presentar resultados coherentes y fáciles de interpretar. En el (Cuadro 1) se resumen algunos de los estudios más importantes en el estado del arte sobre los determinantes del trabajo infantil en diferentes regiones y países.
IV. Metodología y planteamiento econométrico
Siguiendo la orientación teórica de Edmonds (2003) y la recomendación metodológica de los autores y autoras que consideran que las decisiones sobre el trabajo infantil y la asistencia escolar son interdependientes (Bernal et al., 2006, Ravallion et al., 2000, Canagarajah et al., 1997, entre otros), en este trabajo realizamos una estimación econométrica de un modelo de probabilidad Probit Bivariante.
Es preciso notar que en la literatura se encuentran distintos métodos econométricos para aproximarse al estudio de los determinantes del trabajo infantil y la escolaridad. Algunos autores y autoras han supuesto que la decisiones sobre la asistencia a la escuela y al trabajo son independientes, y han estimado modelos Logit Multinomiales (Ray, 2000a, Patrinos & Psacharopoulos 1997, Ray & Lancaster, 2004). Otros y otras suponen que el proceso de toma de decisiones se hace de forma secuencial, y han estimado modelos Probit Secuenciales (Ravallion & Wondo, 2000, Canagarajah & Coulombe, 1997). En relación con la primera alternativa, en este trabajo previamente a la estimación del modeloBivariado estimamos un Logit Multinomial, pero de acuerdo con el Test de Hausman no se cumplía el supuesto de independencia de alternativas. Sobre la segunda forma de estimación existe poca evidencia a favor de que la decisión se tome en forma secuencial.
Utilizamos, como fuente de datos, la Encuesta Nacional de Calidad de Vida (ECV), aplicada por el Departamento Nacional de Estadísticas (Dane) en el año 2003. Esta encuesta cuenta con cobertura nacional y contiene información sobre la participación laboral infantil, los niveles educativos de los miembros del hogar y las características mediáticas del hogar, entre otros aspectos. Para este caso, utilizaremos el segmento regional para el Valle del Cauca, el cual lo conforman 6.325 datos y es representativo para la población.
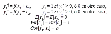
El Modelo Probit Bivariante (Biprobit)
Los modelos Biprobits pertenecen a la familia de los modelos multiecuacionales y permiten, por medio de un sistema de ecuaciones, que las perturbaciones se encuentren correlacionadas entre ecuaciones (Greene, 2003, p. 779). El modelo se encuentra definido de la siguiente forma:
Dado que el modelo admite la correlación entre los errores, permite la incorporación de la simultaneidad en las decisiones de estudio y trabajo de los infantes y las infantes. Este supuesto es de gran ayuda, por cuanto es reconocido por la literatura y por estudios anteriores que el entorno y los factores de decisión son comunes en las decisiones sobre la actividad que realizarán las personas menores.
En el modelo, y1 y y2 son los vectores de las variables dependientes del modelo. En este caso, y1 es una dummy que toma el valor de uno si el niño o niña trabaja, mientras que y2 es una dummy que toma el valor de uno si el niño o niña estudia. x1 y x2 son matrices que contienen todas las variables explicativas de y1 y y2 respectivamente. En este caso, como se desea probar la incidencia de las variables independientes (factores), sobre ambas decisiones (Trabajo y Estudio), x1 será igual a x2 y estará conformada por un conjunto de factores que denotan características socioeconómicas del niño o niña, del hogar, y del entorno. En la (Tabla 1) se definen las variables usadas en el análisis de regresión y se presentan los signos esperados.
Debido a que el interés del presente trabajo es mostrar los efectos que tienen diferentes factores en la decisión de trabajo y estudio de los niños y niñas, el modelo Biprobit, además de presentar resultados a nivel como comúnmente lo hacen los modelos binarios, permite realizar el cálculo de los cambios marginales en las variables dependientes, exponiendo las interrelaciones entre las ecuaciones y estableciendo de esta forma los efectos marginales sobre diferentes probabilidades condicionadas combinadas. En este sentido, se encuentran las probabilidades marginales de estudiar y trabajar, sólo estudiar, sólo trabajar, y ni estudiar ni trabajar. Anexo 1
Es preciso destacar que, en general, los coeficientes estimados en este tipo de modelo no cuantifican directamente el incremento en la probabilidad, dado el aumento unitario en la correspondiente variable independiente. Por ello, se requiere del cálculo de los efectos marginales. Los signos de los coeficientes indican la dirección del cambio, y en un sentido práctico será la significancia de dichos coeficientes la que permita ratificar la importancia de un factor sobre la decisión de trabajar o estudiar. Para determinar el efecto sobre la probabilidad, aplicamos pruebas cruzadas de estimación, en donde se puede observar el efecto de cada uno de los factores sobre la probabilidad marginal de que el infante o la infante trabaje solamente; estudie solamente; realice ambas actividades; o no realice ninguna de las dos actividades. En la Tabla 2 se presentan las estadísticas descriptivas de las variables incluidas en el modelo econométrico.
V. Resultados
De acuerdo con la ECV 2003, 15,86% de los infantes y las infantes entre 5 y 17 años se encuentra ocupado en alguna actividad laboral en el Valle del Cauca, siendo 29,6% niñas y 70,4% niños. De igual forma, 74,4% de los infantes y las infantes que trabajan en el Valle del Cauca se ubican en áreas rurales, con lo que el fenómeno adquiere vital importancia en estas zonas.
En las zonas rurales, cerca de 23,7% de los niños y niñas trabaja o combina las actividades de trabajo y estudio, mientras que en las zonas urbanas la proporción disminuye a 8,07%. En este sentido, es importante evaluar hacia dónde se están enfocando las políticas de erradicación del trabajo infantil, y los resultados de las mismas.
En la (Tabla 2) presentamos los efectos marginales del modelo Probit Bivariado, que parte del supuesto de interdependencia entre las decisiones sobre trabajo infantil y asistencia escolar para el Valle del Cauca. Los efectos marginales se interpretan como los cambios en la probabilidad de que ocurra alguna de las combinaciones de eventos, que el niño o niña trabaje y estudie (trabaja=1, estudia=1), trabaje y no estudie (trabaja=1, estudia=0), no trabaje y sí estudie (trabaja=0, estudia=1) y que no haga ninguna de las dos actividades (trabaja=0, estudia=0), cuando se modifican alguno de los factores determinantes.
De acuerdo con el modelo estimado, en el Valle del Cauca la probabilidad de que los niños y niñas trabajen y estudien es de 6.6%; la probabilidad de que sólo trabajen es de 3.1%; la probabilidad de que sólo estudien es de 79.3%, y la probabilidad de que los infantes y las infantes no realicen ninguna de las dos actividades es de 11%, aproximadamente. Este último resultado representa una magnitud bastante considerable y por tanto debería ser analizado en mayor detalle en futuras investigaciones.
En general los resultados asociados a las características de las personas menores incluidas en el modelo (edad y género) son estadísticamente significativos y consistentes con los resultados de estudios a nivel nacional e internacional. Por un lado, la evidencia no indica que haya discriminación en contra de las niñas, sino que, por el contrario, los niños, en comparación con las niñas, tienen mayor probabilidad de realizar actividades laborales y menor probabilidad de asistir a la escuela. Por otro lado, la edad del niño o niña y su cuadrado indican que a medida que se incrementa la edad aumenta la probabilidad de que el infante o la infante realice actividades laborales, independientemente de que estudie o no.
Los hallazgos en relación con el género son consistentes con los resultados de Bernal y Cárdenas (2006) para Colombia, Gertler (1992) para Perú, Ray (2000b) para Pakistán y Perú, y Canagarajah et al. (1997) para Ghana.
En el caso de la etnia a la cual pertenece el infante o la infante, tampoco se encontró evidencia a favor de que exista discriminación étnica sino que, por el contrario, los niños y niñas afro o indígenas, en comparación con otras etnias, tienen mayor probabilidad de asistir exclusivamente al colegio y menor probabilidad de trabajar exclusivamente. Este resultado estaría indicando que el sistema educativo es incluyente. No obstante, no se puede descartar que esté influido también por el hecho de que aproximadamente el 78% de los infantes y las infantes de la muestra son afro o indígenas, y que el restante 22% son de otra etnia.
Respecto a las características del jefe o jefa del hogar que afectan las decisiones sobre trabajo infantil y la escolaridad de los infantes, no se encontró evidencia estadísticamente significativa de que el nivel educativo, el género y la edad del jefe o la jefa fueran factores que explicaran la ejecución de las dos actividades al mismo tiempo. De lo que sí se encontró evidencia estadísticamente significativa es de que los niños y niñas de hogares cuyos jefes o jefas tienen mejor educación y son de mayor edad, tienen mayor probabilidad de estudiar exclusivamente y menor probabilidad de trabajar.
El resultado encontrado en torno al efecto positivo que la educación del jefe o jefa del hogar produce sobre la asistencia escolar, es consistente con los hallazgos de Ravallion et al. (2000) para Bangladesh, Beyer (1998) para Chile, Ray (2000b) para Perú y Pakistán, Canagarajah et al. (1997) para Ghana y Bernal y Cárdenas (2006) para Colombia. Los resultados de estas dos últimas investigaciones coinciden además con los hallazgos de este trabajo, en que en se encuentra un efecto negativo sobre la probabilidad de que el niño o niña trabaje.
Por otra parte, los niños y niñas que viven en hogares donde el jefe es hombre, en comparación con aquellos que viven en hogares donde el jefe es mujer, tienen mayor probabilidad de trabajar solamente y menor probabilidad de estudiar; lo cual es un indicio de que las mujeres jefas de hogar valoran más los retornos futuros de la educación o se procupan más por el bienestar integral de los niños y niñas. Estos resultados son consistentes con el rol histórico que ha tenido la mujer como cuidadora de los miembros del hogar.
Entre las características del hogar, la ubicación de éste en zonas urbanas o rurales es un factor altamente significativo que afecta la decisión de enviar a los niños y niñas a la escuela o a trabajar. Las personas menores que están en las zonas urbanas, en comparación con las que están en las rurales, tienen menor probabilidad de realizar actividades laborales y mayor probabilidad de estudiar únicamente. Este hecho se refleja en una disminución de aproximadamente 8% en la probabilidad de estudiar y trabajar; y 3.3% en la probabilidad de trabajar únicamente.
En relación con la cantidad de niños y niñas que hay en el hogar, en edades entre los 5 y los 17 años, se encontró evidencia estadísticamente significativa a favor de que los hogares con mayor número de infantes: i) incrementan la probabilidad de enviar a los niños y niñas a trabajar, independientemente de si combinan esta actividad con el estudio o no, y ii) reducen la probabilidad de que los niños y niñas estudien exclusivamente. Estos resultados eran a penas de esperar, toda vez que un mayor numero de infantes representa mayores presiones financieras para el hogar.
Respecto a la variable Educación promedio del jefe o jefa del hogar y su cónyuge, que se introduce como una proxy del nivel educativo de los padres y madres, los resultados indican, nuevamente, que la educación tiene un efecto positivo sobre la probabilidad de que los niños y niñas estudien exclusivamente, y un efecto negativo sobre la probabilidad de que trabajen.
El número de padres y madres que conforma el hogar no es un aspecto que influya de manera estadísticamente significativa sobre la decisión de la actividad que realizará el infante o la infante; por lo tanto, la composición familiar, vista desde esta perspectiva, no afecta en mayor medida dicha decisión.
Por otro lado, y contrario a lo que se esperaba, la probabilidad de que las personas menores sólo estudien aumenta en 9.5% cuando se incrementa la proporción de niños varones, mientras que la probabilidad de que sólo trabaje disminuye en 2.3%. Esto puede deberse a que los recursos liberados por los varones por medio de su trabajo, pueden ser empleados en actividades de educación de las demás personas menores del hogar. Sobre este aspecto sería importante que futuras investigaciones tuvieran en cuenta el efecto de ser el niño o la niña mayor.
El coeficiente asociado a la tasa de ocupación de las personas adultas del hogar es estadísticamente significativo y sus signos contrarios a los esperados. Esto indicaría que, independientemente del hecho de que el niño o niña asista al colegio o no, una tasa de ocupación en el hogar más alta incrementa la probabilidad de que los niños y niñas trabajen y disminuye la probabilidad de que sólo estudien. Este resultado puede deberse a que las personas menores trabajan en el hogar.
Los hallazgos, a nivel regional, en relación con la tasa de ocupación de las personas adultas del hogar, son consistentes con los resultados encontrados en el plano nacional en el estudio de Bernal et al. (2006), quienes además ofrecen una discusión más profunda sobre la hipótesis que explica este resultado.
VI. Conclusiones
Entre los principales factores que explican el trabajo infantil y la escolaridad en el departamento del Valle del Cauca están algunas características de los infantes y las infantes, como la edad, el género y la etnia; características de los jefes y jefas de hogar como su educación, el género y la edad; factores regionales exógenos como la zona (urbana - rural); y características del hogar y su composición como la tasa de ocupación de las personas adultas, el número de niños y niñas en edades entre los 5 y los 17 años, y el número de niños varones.
De acuerdo con el conjunto de características señalado, en el Valle del Cauca los infantes y las infantes que tienen más riesgo de realizar actividades laborales y no asistir a la escuela son: i) los niños varones o de mayor edad; ii) que viven en hogares donde el jefe o jefa tiene poca educación o es hombre; iii) los niños y niñas que viven en zonas rurales; y iv) los niños y niñas que viven en hogares con mayor número de infantes o con mayor tasa de ocupación de las personas adultas.
Por otro lado, los factores que influyen positivamente en la probabilidad de que los infantes y las infantes solo asistan a la escuela son ser niña, vivir en un hogar ubicado en zona urbana donde el jefe sea mujer o más educado, donde haya mayor número de niños varones en el hogar.
Los rendimientos decrecientes que genera la edad sobre la probabilidad de que los niños y niñas asistan al colegio pueden deberse a factores culturales, sociales, o legales, que dificultan el acceso y la permanencia de los infantes y las infantes en la escuela. Por ejemplo, la legislación colombiana no permite que un infante o una infante de 13 años se admita en primaria. Reconociendo estos hechos, sería pertinente que en futuras investigaciones se ahondara sobre el impacto que tiene en el bienestar de los infantes y las infantes este aspecto.
En general, se acepta que el trabajo infantil tiene efectos negativos sobre la formación del capital humano y que dichos efectos se agudizan cuando los niños y niñas sólo trabajan. En vista de esto, las políticas gubernamentales para reducir el trabajo infantil deberían enfocarse de manera distinta en los casos en que los infantes y las infantes trabajan solamente y en los que trabajan y estudian, pues en el último caso las consecuencias para el bienestar de la población infantil son menos fuertes.
Este trabajo regional provee más evidencia empírica a favor de los hallazgos de trabajos nacionales e internacionales que muestran que: i) los niños varones tienen mayor probabilidad de trabajar y no asistir a la escuela; y ii) la educación del jefe o jefa del hogar es un aspecto que afecta positivamente la probabilidad de que los niños y niñas asistan a la escuela, cuando ésta es alta.
Los resultados encontrados en esta investigación a nivel regional, en general, son consistentes con los hallazgos de otras investigaciones nacionales e internacionales, entre éstas algunas de países latinoamericanos. Este aspecto puede ser clave para el diseño e implementación de políticas públicas articuladas entre los distintos niveles territoriales que permitan obtener mejores resultados en la reducción del trabajo infantil y en los costos sociales asociados a este fenómeno. Por ejemplo, considerando que el género del jefe o jefa cabeza de familia influye en las decisiones de trabajo o estudio de los niños y niñas, se debe hacer un seguimiento especial a los programas con madres cabeza de familia, ya que podría incrementarse su potencial e impacto social.
Notas:
* Este artículo hace parte del proyecto de investigación denominado "La emigración internacional y su efecto en el capital humano de los hogares colombianos, medido en términos de educación, en el año 2005", financiado por la Oficina de Promoción de la Investigación de la Pontificia Universidad Javeriana Cali. La investigación inició en Julio de 2007 y finalizó en octubre de 2008. El código de registro institucional de la investigación es RII-201. Los autores y la autora agradecen los comentarios y sugerencias de dos evaluadores anónimos.
1 Es importante reconocer que no todas las formas de trabajo infantil generan inasistencia escolar o daños sobre la salud que impliquen un costo en términos de la acumulación de capital humano.
2 Declaración universal de los derechos del niño, 1959; Constitución política de Colombia, 1991.
3 OIT. Colombia Contra el trabajo Infantil. En línea (Disponible en): http://www.oitcolombia.org/ipec/12junio/contra.html . Consultado en 03-04-09.
4 Por ejemplo: tráfico infantil, trabajos forzosos, conflicto armado, trabajadores y trabajadoras sexuales, pornografía, actividades ilícitas, etc.
5 Esta variable actúa como una proxy del bienestar del infante o la infante, ya que representa la necesidad de recursos externos que tiene la familia.
Lista de referencias
Basu, K. & Van, P. H. (1998). The Economics of Child Labor. The American Economic Review, 88(3), pp. 412-427. [ Links ]
Basu, K. (1999). Child labour: Cause, consequence and cure with remarks on international labour standards. Journal of Economic Literature 37(3), pp. 1083-1119. [ Links ]
Becker, G. (1976). The economic approach of human behavior. Chicago, IL: The University of Chicago Press. [ Links ]
Bernal, R. & Cárdenas, M. (2006). Trabajo Infantil en Colombia [En red]. Recuperado el 13 de septiembre de 2007, de: http://www.fedesarrollo.org.co/includes/scripts/open.asp?ruta=/images/dynamic/articles/521/Cardenas.pdf. [ Links ]
Beyer, Harald. (1998). ¿Desempleo juvenil o un problema de deserción escolar?. Serie Documentos de Trabajo N° 277, Centro de Estudios Públicos. [ Links ]
Blane, D. (2006). The Life Course, The Social Gradient and Health. en: Social Determinants of Health, Eds. Marmot y Wilkinson, Oxford university Press Inc. New York, pp. 54-77. [ Links ]
Canagarajah, S. & Coulombe, H. (1997). Child Labor and Schooling in Ghana. Policy Research Working Paper 1844. Washington, D. C.: The World Bank. [ Links ]
Edmonds, E. V. (2003). Child Labpur in South Asia. OECD Social, Employment and Migration Working Papers. París: OECD. [ Links ]
Gertler, P. & Glewwe, P. (1992). The willingness to pay for education for daughters in contrast to sons: Evidence from rural Peru The World Bank Economic Review. 6(1), pp. 171 - 188. [ Links ]
Greene, W. (2003). Econometric Análisis. New York: Prentice Hall. [ Links ]
Gunnarsson, V., Meter, O. & Sánchez, M. (2004). Child labour and school achievement in Latin America. World Bank Economic Review, 20(1), pp. 31-54. [ Links ]
Heady, Ch. (2000). What is the effect of child labour on learning achievement? Evidence from Ghana. Documentos de trabajo Innocenti, N° 79. Florencia, Centro de Investigaciones Innocenti del Fondo de las Naciones Unidas para la Infancia (Unicef). [ Links ]
Jacoby, H. (1994). Borrowing Constraints and Progress through School: Evidence from Peru. The Review of Economics and Statistics. 76(1), pp. 151-160. [ Links ]
Organización Internacional del Trabajo (2002). Every child counts: New global estimates on child labour. ILO Publications Bureau. Ginebra. [En red]. Recuperado el 13 de septiembre de 2007, de: http://www.ilo.org/ipecinfo/product/viewProduct.do?productId=742 [ Links ]
Patrinos, H. & Psacharopoulos, G. (1995). Educational Performance and Child Labor in Paraguay. International Journal Educational Development. 15(1), p. 47-60. [ Links ]
Patrinos, H. & Psacharopoulos, G. (1997). Family size, schooling and child labor in Peru - An empirical analysis. Journal of Population Economics. 10(4), pp. 387-406. [ Links ]
Pedraza, A. & Ribero, R. (2005). El trabajo infantil y juvenil en Colombia y algunas de sus consecuencias clave. Coyuntura Social, 33, pp. 81-101. [ Links ]
Pedraza, A. & Ribero, R. (2006). El trabajo infantil y juvenil en Colombia y algunas de sus consecuencias clave. Revista Latinoamericana de Ciencias Sociales, Niñez y Juventud. 4(1), pp. 1-28. [ Links ]
Porath, B. (1967). The Production of Human Capital and the Life Cycle of Earnings. The Journal of Political Economy. 75(4), pp. 352-365. [ Links ]
Psacharopoulos, G. (1997). Child labor versus educational attainment: Some evidence from Latin America. Journal of Population Economics. 10, pp. 377-386. [ Links ]
Ravallion, M. & Wodon, Q. (2000). Does Child Labor Displace Schooling? Evidence on Behavioral Responses to an Enrollment Subsidy. The EconomicJournal. 110(462): Conference Papers. (En red). Recuperado el 15 de octubre de 2008, de: http://www-wds.worldbank.org/external/default/WDSContentServer/WDSP/IB/1999/09/14/000094946_99060201584595/Rendered/PDF/multi_page.pdf [ Links ]
Ray, R. (2000a). Poverty, household size and child welfare in India. Economic and Political Weekly (Bombay). 35(39), pp. 3511-3520. [ Links ]
Ray, R. (2000b). Analysis of child labour in Peru and Pakistan: a comparative study Journal of Population Economics. 13(1), pp. 3-19. [ Links ]
Ray, R. & Lancaster, G. (2004). The impact of children's work on schooling: Multi-country evidence based on Simpoc data. ILO/Ipec Working Paper. Ginebra. [En red]. Recuperado el 15 de octubre de 2008, de: http://www.ilo.org/ipecinfo/product/viewProduct.do?productId=173. [ Links ]
Rosati, F. C. & Rossi, M. (2001). Children's working hours, school enrolment and human capital accumulation: Evidence from Pakistan and Nicaragua. Proyecto de investigación conjunto de la OIT, Unicef y el Banco Mundial, titulado «Understanding Children's Work». Florencia: Centro de Investigaciones Innocenti de Unicef. Octubre. [ Links ]
Rosenzweig, M. & Evenson, R. (1977). Fertility, schooling and economic contribution of children in rural India: an econometric analysis. Econométrica 45(5), pp. 1065-1079. [ Links ]
Wagner, A. (2004). Integración y Desarrollo Social en la Comunidad Andina. Presentación del Embajador Allan Wagner Tizón, Secretario General de la Comunidad Andina, en el Seminario "El trabajo y el empleo en los tratados de libre comercio". Lima, 28 de abril de 2004. [ Links ]
- Referencia
Sebastián Urueña Abadía, Luis Miguel Tovar Cuevas y Maribel Castillo Caicedo"Determinantes del trabajo infantil y la escolaridad: el caso del Valle del Cauca en Colombia", Revista Latinoamericana de Ciencias Sociales, Niñez y Juventud, Manizales, Doctorado en Ciencias Sociales, Niñez y Juventud del Centro de Estudios Avanzados en Niñez y Juventud de la Universidad de Manizales y el Cinde, vol. 7, núm. 2, (julio-diciembre), 2009, pp. 707-733.
Se autoriza la reproducción del artículo, para fines no comerciales, citando la fuente y los créditos de los autores.
















