1. Introducción
Los materiales de construcción son los más consumidos de los materiales de ingeniería, y la producción de concreto supera la de todos los demás materiales de construcción juntos. Se estima que la producción media anual de concreto es de aproximadamente 1 ton por ser humano en el mundo (Marie & Quiasrawi, 2012). En el concreto los agregados (arena y grava) ocupan entre el 60 - 75% de su volumen, lo que constituye el grueso del concreto. Por esta razón, el aumento de la producción y utilización del concreto en el sector de la construcción, ha sido catalogado como uno de los grandes consumidores de recursos naturales, generando una enorme presión sobre los ecosistemas circundantes (Kosmatka, Kherkhoff & Panarese, 2002; MarinkoviC, Radonjanin, Malesev e IgnjatoviC, 2010; De Brito & Saikia, 2013).
Por otra parte, la creciente acumulación de residuos y su gestión plantean un problema mundial. Por ejemplo, la generación de residuos de construcción y demolición (RC&D) ha llevado a la implementación de nuevas políticas ambientales sostenibles que fomentan el reciclaje y la reutilización de dichos residuos (Delay, Lager, Schulz & Frimmel, 2007). A nivel mundial, cada año se producen millones de toneladas de residuos provenientes de las actividades de construcción y demolición, de los cuales se considera que el 50% corresponden a residuos de concreto (Li, 2002). En Bogotá, en el año 2009 se produjeron aproximadamente 12 millones de toneladas de RC&D, el equivalente a 70 torres Colpatria (Méndez, 2011), ocasionando impactos negativos en la salud, el espacio público y el medio ambiente (Méndez, 2011; Pinzón, 2013).
La versatilidad de la industria del cemento y el concreto le confiere un enorme potencial para incorporar nuevos materiales de diferente origen como adiciones activas en cemento, así como agregados gruesos o finos en la fabricación de mortero, concreto y, bases y sub-bases de carreteras (Medina, Banfill, Sánchez de Rojas & Frías, 2013). De esta manera, con el propósito de que los centros urbanos alcancen un escenario sustentable y resiliente, la industria de la construcción debe implementar prácticas sostenibles, para minimizar los impactos ambientales en todas las fases del ciclo de vida de la estructura. Es así, como el reciclaje de los residuos de construcción y demolición de concreto, para la manufacturación de agregados, se constituye en un valioso mecanismo que permite la preservación de los recursos naturales y el ahorro de energía incorporada en los materiales empleados en la obra, contribuyendo a la construcción de estructuras amigables con el medio ambiente (Roussat, Dujet & Méhu, 2009).
La producción y uso de agregados reciclados de concreto (ARC), es una práctica común en países desarrollados. En Europa, Alemania representa el país con mayor producción de ARC, con una tasa anual cercana a 60 millones de toneladas (Mt), seguida por el Reino Unido con 49 Mt; los países bajos con 20 Mt; y en cuarto lugar Francia con 17 Mt (European Aggregates Association (2012). Dosho (2007) reportó que en Japón se registra una tasa de aproximadamente 98 % de reciclaje de RC&D de concreto, para manufacturar ARC.
El uso de ARC en la fabricación de concreto, es una práctica que se ha venido manejando desde hace varias décadas (González-Fonteboa, Martínez-Abena, Herrador & Seara-Paz, 2012; Braga, De Brito & Veiga, 2014)); y en lo que respecta al origen de los ARC empleados en las diferentes investigaciones, estos generalmente provienen de plantas de reciclado o de concretos producidos en laboratorio con ese fin (Evangelista & De Brito, 2010; Kou & Poon, 2012; Kou, Zhan & Poon, 2014; Zhan, Poon, Liu, Kou & Shi, 2014; Vázquez, Barra, Aponte, Jiménez y Valls, 2014; Hongru & Yuxi, 2015). Sin embargo, diversos autores han reportado que las propiedades mecánicas y de durabilidad de especímenes de concreto, elaborados con ARC son inferiores en comparación a especímenes elaborados con agregados naturales (Ravindrarajah & Tam, 1985; Khatib, 2005; Poon & Chan, 2007; Liu, Xiao & Sun, 2011). Específicamente, en el caso de los concretos que incorporan agregado reciclado fino (ARF), autores como Ravindrarajah, Loo & Tam (1987) y Evangelista & De Brito (2004) encontraron que los cambios más marcados están relacionados con la mayor contracción por secado y la menor durabilidad. Evangelista & De Brito (2010) mencionaron que la permeabilidad al agua, la absorción capilar y la difusión del ion cloruro en el concreto, incrementan con el aumento en la relación de reemplazo de agregado natural por ARF.
El ensayo de succión capilar o sorptividad mide directamente la interconectividad de la estructura de poros, por lo que se reconoce como un buen criterio de evaluación del ingreso de sustancias agresivas hacia el interior del concreto (Howland & Martín, 2013). Uno de los aspectos más importantes son los ambientes con cloruros, ya que la difusión de este ion hacia la parte interna del concreto, puede provocar la corrosión de las barras de refuerzo (Ann, Ahn & Ryou, 2009). Por esta razón, algunos autores son pesimistas sobre el uso de concreto que incorpora agregado reciclado en ambientes con cloruros, principalmente porque consideran que la alta porosidad de ARC provocará una alta difusión de cloruros en el concreto. Sin embargo, Otsuki, Miyazato & Yodsudjai (2003) encontraron que la penetración de cloruros en concretos de alta resistencia que incorporan ARC con absorción de agua del 4,5%; es ligeramente inferior a un concreto equivalente que incorpora agregado natural (AN).
Con base en lo anterior, se planteó la presente investigación, que se enfocó en evaluar las principales propiedades físicas, mecánicas y de durabilidad (resistencia a la penetración del ion cloruro) de concretos que incorporan agregado reciclado fino comercial en diferentes proporciones (20% y 40% ARF) en reemplazo del agregado fino natural; respecto a las propiedades de un concreto que incorpora agregado fino natural (0% ARF). Se evaluaron diferentes propiedades físicas y de durabilidad de los concretos tales como la densidad, porosidad y sorptividad; además de la permeabilidad ion cloruro. En cuanto a las propiedades mecánicas de los concretos, fueron evaluadas la resistencia a la compresión y la resistencia a la tracción indirecta.
2. Materiales y métodos
2.1. Materiales y Mezclas
El cemento empleado para las mezclas de concreto fue un cemento Portland de uso general (tipo I), cuya composición química se presenta en la Tabla 1.
El agregado grueso natural (AGN) correspondió a una grava; mientras que el agregado fino natural (AFN) correspondió a un agregado fino proveniente del municipio de Tabio, Cundinamarca. Como agregado reciclado fino comercial (ARF) se empleó agregado fino comercializado en Bogotá por una empresa encargada de su recolección y adecuación. Las propiedades físicas de los agregados (AGN, AFN y ARF) se presentan en la Tabla 2; así como sus curvas de distribución granulométrica (ver Figura 1).
TABLA 2 CARACTERÍSTICAS FÍSICAS DE LOS AGREGADOS GRUESO Y FINOS (AFN Y ARF).
| Ensayo | Norma | AFN | ARF | AGN |
|---|---|---|---|---|
| Densidad Aparente (Bulk) (g/cm3) | NTC 237 | 2,64 | 2,59 | 2,76 |
| Absorción (%) | NTC 237 | 2,1 | 7,3 | 1,5 |
| Masa Unitaria suelta (g/cm3) | NTC 92 | 1,58 | 1,40 | 1,27 |
| Masa Unitaria compacta (g/cm3) | NTC 92 | 1,70 | 1,74 | 1,47 |
| Módulo de finura | NTC 77 | 3,4 | 3,8 | - |
| Tamaño máximo nominal | NTC 77 | - | - | 3/4" (19,05 mm) |
| Tamaño máximo | NTC 77 | - | - | 1" (25,4 mm) |
| Impurezas Orgánicas | NTC 127 | #2 | #2 | - |
FUENTE: AUTORES.
AFN)

Fuente: Autores
Figura 1 Curvas de distribución granulométrica de los agregados finos empleados (ARF y AFN).
La Figura 1 permite observar que la ARN y la ARF muestran curvas de distribución similares entre sí, incluso cercanas a aquella especificada por la norma ASTM C-33, lo que permite denotar que el ARN y el ARF presentan distribuciones granulométricas adecuadas para ser empleados en la fabricación de concretos.
Se realizaron tres mezclas de concreto en el laboratorio. Por tanto, un concreto hecho con 100% de AFN y relación a/c de 0,50 fue utilizado como concreto de referencia (CARF0); mientras los concretos que incorporaron ARF fueron realizados reemplazando el AFN por 20% y 40% en masa de ARF (CARF20 y CARF 40, respectivamente). Las proporciones de mezcla de los diferentes concretos son presentadas en la Tabla 3. En aras a mantener el valor del asentamiento en el rango de 65 - 100 mm, se empleó 1,2% en peso de cemento de un superplastificante (SP) EUCON MR 250, en todas las mezclas.
TABLA 3 PROPORCIONES DE LAS MEZCLAS DE CONCRETO.
| Material (kg/m3) | CARF0 | CARF20 | CARF40 |
|---|---|---|---|
| Cemento | 410 | 410 | 410 |
| Agua | 205 | 205 | 205 |
| AGN | 678 | 647 | 655 |
| AFN | 1017 | 777 | 589 |
| ARF | 0 | 194 | 393 |
| SP | 4,92 | 4,92 | 4,92 |
FUENTE: AUTORES.
En lo que respecta al procedimiento de mezcla, los materiales fueron incorporados a la mezcladora en el siguiente orden: agregado grueso, agregado fino (natural y reciclado), cemento, y el agua con el SP fue añadida después de una mezcla breve de los materiales secos.
El asentamiento de los concretos en estado fresco fue medido haciendo uso del cono de Abrams. Los valores de consistencia de los concretos CARF20 y CARF40 fueron similares al del concreto de referencia CARF0 (asentamiento: 80 ± 25 mm).
2.2 Propiedades físicas, mecánicas y de durabilidad de los concretos
La densidad y porosidad total de los concretos fueron evaluadas a edades de curado bajo agua de 28 y 90 días, con base en la norma ASTM C642. Se realizó el ensayo de succión capilar o sorptividad conforme al procedimiento descrito en la Normativa Suiza EMPA-SIA 162/1, en aras a caracterizar la estructura de poro y como un indicador de la durabilidad de los concretos. Los ensayos de densidad, absorción de agua y succión capilar, fueron realizados sobre especímenes cilíndricos de 100 mm de diámetro x 50 mm de longitud.
El comportamiento mecánico de los concretos fue evaluado a edades de curado de 28 y 90 días, a partir de propiedades como la resistencia a la compresión y la resistencia a la tracción indirecta, sobre especímenes cilíndricos de 100 mm de diámetro x 200 mm de longitud, con base en las normas ASTM C39 y ASTM C496, respectivamente. En cada caso, el valor indicado representa el promedio de tres especímenes de prueba.
La permeabilidad de los concretos al ion cloruro, fue realizada teniendo en cuenta la metodología descrita en la norma ASTM C1202, que consiste en forzar el ingreso de los cloruros dentro de un espécimen de concreto por medio de un potencial eléctrico. Para el ensayo, se emplearon especímenes cilíndricos de 100 mm de diámetro x 50 mm de longitud, provenientes de cilindros de concreto de 100 mm de diámetro x 200 mm de longitud. La resistencia del concreto a la penetración del ion cloruro es representada por la carga pasada total en coulombs durante un periodo de prueba de 6 h. En este estudio, el ensayo de permeabilidad al ion cloruro se llevó a cabo a edades de curado de 28 y 90 días.
3. Resultados y discusiones
3.1. Densidad, Porosidad y Sorptividad
Se encontró a los 28 días de curado que los concretos con incorporación de ARF (CARF20 y CARF40, respectivamente) presentan valores de densidad ~ 3 - 4% menor (2,42 g/cm3 y 2,40 g/cm3, respectivamente) comparados con el concreto de referencia (2,49 g/cm3) (ver Figura 2); mientras, a edades de 90 días curado, se observa que los concretos con incorporación de ARF (CARF20 y CARF40, respectivamente) presentan valores de densidad ~ 1% menor (2,48 g/cm3 y 2,49 g/cm3, respectivamente) comparados con el concreto de referencia (2,51 g/cm3). Este comportamiento es análogo al mencionado por autores como Akbarnezhad, Ong, Zhang, Tam & Foo (2011), Xuan, Zhan & Poon (2016). La porosidad como era de esperar, presentó un comportamiento inverso a la densidad.

Fuente: Autores.
Figura 2 Evolución de la densidad y porosidad total respecto al tiempo de curado de los concretos.
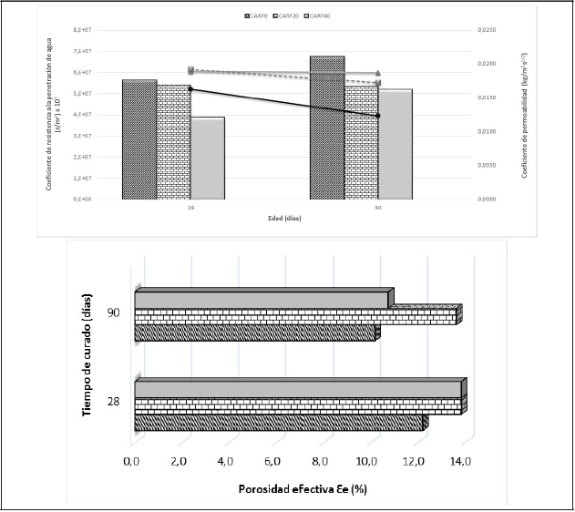
En la Figura 3 a y b, se presentan los resultados del ensayo de sorptividad, donde se puede observar el coeficiente de resistencia a la penetración de agua m (representado en el gráfico de columnas), el coeficiente de permeabilidad de agua k (representado en el gráfico de líneas) y la porosidad efectiva (representada en el gráfico de barras), respectivamente.

Fuente: Autores.
Figura 3 Estudio de succión capilar de los concretos. a) Coeficientes de resistencia y de permeabilidad de agua (CARF0 (•), CARF20 (▲) y CARF40 (■)); b) Porosidad efectiva.
En términos generales, los resultados demuestran que los concretos que incorporan ARF (CARF20 y CARF40) evidenciaron mayor permeabilidad, ya que presentaron menor coeficiente de resistencia a la penetración y como consecuencia mayor coeficiente de permeabilidad en comparación a la mezcla de referencia (CARF0). Autores como Wirquin, Hahdjeva-Zahaarieva & Buyle-Bodin (2000), Levy & Helen (2004), Zega & Di Maio (2011) también han reportado que la sorptividad de concretos con incorporación de agregados reciclados, es mayor a la de los concretos con incorporación de agregado natural. Este comportamiento es atribuido a la mayor absorción del ARF respecto al AFN. Sin embargo, esta permeabilidad se ve reducida con el tiempo de curado (90 días), como consecuencia de las reacciones de hidratación del cemento. Cabe mencionar que los valores de permeabilidad de CARF20 y CARF40, no se encuentran muy alejados de aquellos valores mostrados por el CARF0; comportamiento atribuido al efecto relleno (filler effect), el cual es definido como un arreglo apropiado de partículas pequeñas en la microestructura del concreto que llena los vacíos. Este efecto contribuye a mejorar el desempeño mecánico y de durabilidad al hacer la mezcla más compacta (Bravo, De Brito, Pontes & Evangelista, 2015). En esta investigación el efecto relleno es causado por la adecuada distribución granulométrica mostrada por el ARF (ver Figura 1); la cual como se mencionó en el apartado 2.1, es adecuada para su uso en la fabricación de concretos.
3.2. Propiedades Mecánicas
Las resistencias a compresión de los concretos que contienen ARF a las diferentes edades evaluadas (28 y 90 días), fueron similares a la del concreto referencia. A los 28 días de curado los CARF20 y CARF40 alcanzaron valores de resistencias del 97% y 94% la resistencia del CARF0, respectivamente (ver Figura 4); mientras que a los 90 días de curado alcanzaron valores del 98% y 97%, respectivamente.
Esta reducción en la resistencia de los concretos con el incremento en el contenido de agregado reciclado, puede ser atribuida análogo a lo encontrado por Kou & Poon (2012), al hecho de que el mortero adherido en el agregado original causa un detrimento en las propiedades físicas y mecánicas del agregado reciclado, comparado con el agregado natural. Sin embargo, es importante resaltar que esta ligera reducción en la resistencia a la compresión, podría ser atribuida al efecto relleno (filler effect), el cual contribuyó a mejorar el desempeño mecánico al hacer la mezcla compacta. Autores como Bravo et al. (2015), mencionan que partículas pequeñas sólo mejoran el rendimiento del concreto en ciertas proporciones de incorporación del agregado reciclado (bajas), ya que posteriormente estas partículas ocupan espacio previamente ocupado por otros materiales disminuyendo la compacidad de las mezclas.
En cuanto a la resistencia a la tracción indirecta a los 28 días de curado los CARF20 y CARF40 alcanzaron valores de resistencias del 97% y 79% la resistencia del CARF0, respectivamente (ver Figura 5); mientras que a los 90 días de curado alcanzaron valores del 93% y 83%, respectivamente.
3.3. Permeabilidad al ion cloruro
Como se puede observar en la Figura 6, la resistencia a la penetración del ion cloruro fue medida en términos de carga pasada a través de las probetas de concreto en función del tiempo de curado. Los resultados obtenidos fueron comparados con los límites de permeabilidad del ion cloruro propuestos en la norma ASTM C1202; evidenciando que a 28 días de curado los CARF20 y CARF40 presentaron carga pasada en el rango de los 2000 - 4000 culombios, ubicándose en la zona de moderada permeabilidad a cloruros; mientras que el concreto de referencia (CARF0) se ubicó en el rango de baja permeabilidad (1000 - 2000 culombios). Sin embargo, este comportamiento de los concretos (CARF20, CARF40 y CARF0), mejora con el tiempo de curado, y a los 90 días el desarrollo del proceso de hidratación y las reacciones puzolánicas formando regiones impermeables e incrementando la resistencia a la penetración del ion cloruro (Mindess, Young y Darwin, 2003), contribuyeron a la disminución de la carga pasada de todos los concretos, por lo que los CARF20 y CARF40 se ubicaron en la zona de baja y moderada permeabilidad, respectivamente; y el concreto de referencia en la zona de muy baja permeabilidad.

Fuente: Autores.
Figura 6 Evolución de permeabilidad a cloruros respecto al tiempo de curado de los concretos.
En términos generales, la resistencia a la penetración del ion cloruro disminuye con el incremento en el contenido de agregado reciclado fino en el concreto, acorde a lo encontrado por autores como Kou & Poon (2012), Abdurrahmaan & Al-Fayez (2015) y Bravo et al. (2015).
4. Conclusiones
Las siguientes conclusiones pueden ser realizadas con base en los resultados de este estudio:
La consistencia de los concretos con incorporación de ARF (CARF20 y CARF40) no se ve afectada cuando el AFN se reemplaza hasta en un 40% de ARF.
Las propiedades físicas (densidad) y mecánicas (resistencia la compresión) de los concretos CARF20 y CARF40 en estado endurecido, disminuyen ligeramente con el incremento en la incorporación de ARF en reemplazo del AFN, gracias a la adecuada distribución granulométrica mostrada por el ARF que contribuyó al efecto relleno (filler effect).
El incremento del contenido de ARF en los concretos, ocasionó un incremento en la permeabilidad (menor m y mayor k); así como una reducción en la resistencia a la penetración del ion cloruro. Sin embargo, a edades de curado (90 días) en las cuales se da el desarrollo del proceso de hidratación y las reacciones puzolánicas formando regiones impermeables, se reduce la permeabilidad e incrementa la resistencia a la penetración del ion cloruro; permitiendo ubicar a los concretos CARF20 y CARF40 en la zona de baja y moderada permeabilidad.
Resulta viable el uso de este tipo de agregado reciclado fino comercial en el diseño de concretos, generando un impacto ambiental positivo al proveer un agregado alternativo para la producción de concretos de mediana resistencia.

















