Serviços Personalizados
Journal
Artigo
Indicadores
-
Citado por SciELO -
Acessos
Links relacionados
-
Citado por Google -
Similares em
SciELO -
Similares em Google
Compartilhar
Earth Sciences Research Journal
versão impressa ISSN 1794-6190
Earth Sci. Res. J. vol.16 no.2 Bogotá jul./dez. 2012
Investigation of the geochemical signatures and conditions of formation of metacarbonate rocks occurring within the Mamfe embayment of south-eastern Nigeria
Bassey Edem Ephraim
Department of Geology, University of Calabar, P. M. B. 1115 Calabar Nigeria.
Phone: +2348035510115. E-mail: basifrem@yahoo.com
Record
Manuscript received: 16/01/2012
Accepted for publications: 06/05/2012
ABSTRACT
Hitherto unknown metacarbonate deposits constitute parts of the Cretaceous Mamfe embayment which straddles the border between south-eastern Nigeria and western Cameroon. The rock is characterised by a high concentration of LOI, CaO and MgO and depleted content of various insoluble components. Assuming all the CaO and MgO content of the rock were related to calcite and dolomite phases, these two minerals would account for around 22.5 wt% and 76.3 wt% on average, respectively. Among the trace elements investigated, only Ba, Cs, Rb, Sr, Nb, Pb, Zr, Cd, Cu, Ni, U, Y and Zn display concentrations beyond their detection limits. Chondrite normalised rare earth element patterns show that the rock under investigation show moderate to strong fractionation of light rare earth elements (LREEN) over heavy rare earth elements (HREEN) and distinct negative Eu anomaly. Multivariate statistical treatment and variation plots revealed several geochemical interrelationships, among which are the SiO2 -Al2O3 -K2O -TiO2 Fe2O3 -Ba -Nb -Rb -Zr links which is associated with the rock’s silicate fraction. The carbonate fraction comprises CaO, MgO, Sr, Pb and Cu. The overall geochemical signatures support development of the metacarbonate deposit from sedimentary carbonate materials that was deposited in a saline, shallow-marine, low-energy seawater environment. The consistency of the rock’s chemical properties can be attributed to the relative stability experienced during the parent sedimentary materials’ deposition.
Keywords: metacarbonate, geochemistry, depositional environment, Mamfe embayment.
RESUMEN
Depósitos metacarbonatadas desconocidos hasta la fecha, parecen constituir partes de la Bahía de Mamfe, de edad Cretácica, ubicada en la frontera entre el sudeste de Nigeria y Camerún occidental. La roca se caracteriza por una alta concentración de LOI, CaO y MgO, así como el contenido empobrecido de varios componentes insolubles. Suponemos que todo el contenido de CaO y MgO de la roca estaban relacionados con las fases calcita y dolomita, minerales que representan aproximadamente el 22,5% en peso y 76,3% en peso promedio, respectivamente. Entre los elementos traza investigados, sólo las concentraciones de Ba, Cs, Rb, Sr, Nb, Pb, Zr, Cd, Cu, Ni, U, Y y Zn se encuentran por encima de los límites de detección. Elementos de tierras raras normalizadops con patrones de Condrita muestran que la roca bajo investigación presenta un moderado a fuerte fraccionamiento de elementos de tierras raras ligeros (LREEN) sobre los elementos de tierras raras pesados (HREEN) y una anomalía negativa distintiva de Eu. El tratamiento estadístico multivariado y las proyecciones variacionales revelaron varias interrelaciones geoquímicos, entre ellos el SiO2 - Al2O3 - K2O - TiO2 - Fe2O3 - Ba - Nb - Rb - Zr, asociados con la fracción de silicato de la roca. La fracción carbonatada comprende CaO, MgO, Sr, Pb y Cu. Las firmas geoquímicas sugieren el desarrollo del depósito a partir de materiales sedimentarios carbonatados que se depositaron en una solución salina, de poca profundidad marina, y en un medio con agua de mar de baja energía. La consistencia de las propiedades químicas de la roca puede ser atribuida a la estabilidad relativa, experimentado durante la deposición de los materiales sedimentarias parentales.
Palabras claves: Geoquímica, ambiente de deposito, Bahía de Mamfe.
Introduction
Nigeria lies within an area of the ancient African shield, in-between the Archaean to early Proterozoic West African craton and the Congo- Gabon craton (Fig. 1). The south-eastern region is characterised by several megastructural features, notably the Calabar flank, the Mamfe embayment, the Anambra basin, the Afikpo syncline, the Abakaliki anticlinorium, the Niger Delta, the Oban massif and the Obudu plateau (Fig. 2). Megastructural features, such as the Mamfe embayment, straddle the border between south-eastern Nigeria and western Cameroon (Fig. 3). While the Cameroon sector of the basin has benefited from diverse and repetitive studies (for instance, Collignon, 1968; Dumort 1968; Eben, 1984; Eyong, 2003; Hell et al.., 2000; Kande, 2000; Kangkolo, 2002; Kangkolo and Ojo, 1995; Ndougsa-Mbarga 2004; Ndougsa-Mbarga et al.., 2004, 2007; Ndougsa-Mbarga and Ntep Gweth, 2005; Ngando et al.., 2004; Njieatih, 1997; Nouayou, 2005; Tabod, 2008; Tokam et al.., 2010), the Nigerian segment is yet to be investigated in sufficient detail. The few available works on the Nigerian segment of the Mamfe basin, to the best of my knowledge, include those of Fairhead and Okereke (1987, 1988), Fairhead (1991), Olade (1975), Petters (1987 and 2004) and Reyment (1965). The paucity of geological information on the Nigerian segment of the embayment has previously led to over-generalisation, some of which may subsequently be proven to be incorrect.
A recent survey by the Nigerian Geological Survey Agency (NGSA) revealed mappable deposits of metacarbonate rock, which had been hitherto unknown in the south-eastern Nigerian sector of the Mamfe embayment. This discovery calls for re-examination of earlier paleo-environmental interpretations of the Mamfe basin. Of particular concern is an earlier viewpoint by Petters et al.. (1987) that apart from brine seepages which are common, there is no substantial evidence of marine influence during the deposition of the Mamfe Formation’s Cretaceous fluviatile sequences. The present study which is focused on the investigation of the geochemical features of the newly-revealed metacarbonate deposits is intended to provide invaluable insight into the nature and processes which can be reasonably associated with the conditions of formation of the carbonate deposits. This work represents an effort towards revisiting issues related to paleo-environmental interpretations for the basin. The present study also constitutes an important approach towards the in-depth exploration of the hitherto sparsely-known geology of the Nigerian sector of the Mamfe embayment.
Geological background
The Mamfe embayment which is located roughly between latitudes 5° N and 6° N and longitudes 8°45’ E and 10° E is a coastal sedimentary basin that straddles the Federal Republic of Nigeria and the Republic of Cameroon (Fig. 3). Despite the fact that the sedimentary infill of the Aptian to Albian (Hell et al.., 2000; Ndougsa et al.., 2004) Mamfe basin is largely covered by dense forestation, the type locality on the bank of the Cross River at Mamfe town in the Republic of Cameroun reveals thickly folded and faulted series of massive arkosic sandstone and grit having intercalations of marl, arenaceous limestone and shale (Reyment, 1965). Metacarbonate deposits, which constitute the focus of the present study, are now revealed to be parts of the Nigerian sector of the Mamfe embayment (Fig. 3). Exposure of mostly the clastic infillings in the embayment show fining upward cycles, which is characteristic of fluvial channel fill, with point bar deposits and over bank siltstone/mudrock. A sedimentary deposit comprising sandstone, mudstone, shale, limestone, microconglomerates and polygenic conglomerates having about 2,000 m thickness has been reported in the lower Benue trough section (Olade, 1975). These deposits narrow towards the east until it disappear under Tertiary and Recent rocks of the Cameroon volcanic axis. Thus, the Cameroon volcanic axis, comprising deposits such as basalt, trachyte and rhyolite, uncomformably overlies the Mamfe Formation (Fitton, 1980). Metamorphism has so far not been reported in the Nigerian sector of the Mamfe embayment, but the close association of sedimentary deposits with postdated volcanic rocks appear to provide a good setting for contact metamorphism in the region.
Field and petrographic aspects
Observation of the metacarbonate deposits (generally consisting of low-lying deposits having several slightly elevated portions) showed that they are distributed within low to very low grade metamorphosed and un-metamorphosed sedimentary sequences in very close association with the basement and volcanic rocks units. Evidence of this association is provided by the close proximity of the units (Figure 3) and the ubiquitous basement and volcanic rock fragments abounding in the vicinity of the deposits. Generally, exposures of the metacarbonate have steep dips of about 26° 40° and consistent NE SW strike orientation. Joints and fractures having variable orientation are also common features of these outcrops. Millimetre scale laminations, small centimetre-sized voids/ vugs and caves of up to tens of centimetres wide and 1 to 2 metres high are also predominantly conspicuously displayed on the outcrops (Figure 4). The fine laminations ran parallel to sub-parallel to the bedding in most cases (Figure 4a and 4b) and the voids are irregular but occasionally occluded by mostly laminated buff coloured material (Figure 4c). The caves are likewise irregular in shape, usually having solution sculpted walls (Figure 4d). The metacarbonate rocks are dense and somehow uniform, having rugged surfaces that possibly indicate the relevance of earlier organic activity and/or weathering in the rocks’ evolutionary history. Hand specimen investigation showed that the rocks are characterised by a fairly homogeneous texture, uniform hardness and good resistance to abrasion. Also displayed are whitish or greyish colour, polymodal grainsized distribution pattern of mostly fine to medium grains with occasional porphyroblasts and distinct linear and planar fabric, highlighted by the laminar structures.
The microscopic features (as observed by optical microscopy) show a predominantly carbonate mineralogy and the textural framework could best be described as heteroblastic. Medium grained (~ 1.0 2.0 mm) carbonate minerals are frequently surrounded by finer (<1.0 mm) grain crystals of similar mineral. The boundaries of the medium crystals are often sutured to embayed and the grains are interlocked. Unfortunately, the main carbonate minerals could not be differentiated during optical microscope examinations because the thin sections investigated were not stained with alizarin or any other relevant chemical. Also, much of the silicate mineralogy is so fine-grained that identification by optical means is difficult to impossible, hence the need for using an X-ray diffraction (XRD) technique which is particularly suitable for discerning individual mineral components of the cryptocrystalline phases and for proper differentiation of carbonate minerals into calcite and dolomite. XRD analysis was carried out on powdered samples under the following conditions: CuKâ1 graphite monochromatic radiation (1.54059 Å) at 30 kV, 30 mA energy. Table 1 gives the results of semi-quantitative XRD studies of representative samples of the metacarbonate rocks. A cursory appraisal of the results (Table 1) indicates that the metacarbonates are predominantly dolomitic with calcite as subordinate, while quartz, talc, phlogopite and probably muscovite constitute the accessory phases.
Geochemistry
Sampling and analytical procedure
Several unweathered rock samples weighing 1 to 2 kg were collected during fieldwork and traversing of various metacarbonate rock outcrops in Nsofang and its environs in the Ikom area of south-eastern Nigeria. Systematic sampling was hampered by the rocks’ irregular exposure and the thick forestation cover. The samples so collected were cleaned to remove evident allogenic material and/or observed weathered phases in situ before being transported to the laboratory for further investigation.
Eleven representative metacarbonate rock samples were used for the geochemical analysis which was performed at the Acme Analytical Laboratories in Vancouver BC, Canada. The geochemical analysis involved measuring major, trace and rare earth element abundance as well as determining the total carbon, sulphur and loss on ignition. Prior to the geochemical analysis, about 1 kg of representative rock sample was broken to thumbnail- sized pieces with a hardened-steel hammer. These pieces were crushed and pulverised to particle size as fine as 60 mesh with the aid of a -jawcrusher-. The samples were powdered in an agate mortar to 200 mesh after coning and quartering and thoroughly homogenised. Every possible precaution was taken to minimise cross-contamination between samples, including cleaning all the crushing, grinding and homogenisation equipment with a brush, compressed-air, distilled water and acetone to remove possible remains from previously crushed samples. Sample preparation and treatment was carried out at the Thin Section Workshop of Department of Geology, University of Calabar, Calabar, Nigeria.
Loss on ignition (LOI) was determined by igniting 400 mg of each sample split at 1,000C and then measuring the weight loss. Total carbon and total sulphur concentration was determined with the aid of a LECO carbon sulphur analyser, after sample ignition at >800C. Two instrumentation techniques were used for whole rock geochemical analysis, namely inductively-coupled plasma-emission spectrophotometry (ICPES) and inductively-coupled plasma-mass spectrophotometry (ICP-MS). The lithium metaborate-tetraborate fusion digestion technique was found most appropriate for these instrumentation methods. Each sample solution was analysed in duplicate in each analytical run and reproducibility was found to be within ± 2%. The detection limit for all the major and minor element oxides was 0.01%, the only exceptions being Fe2O3 and K2O (0.04%. detection limits). The trace elements’ detection limit came within the 0.01 to 1 ppm range.
Geochemical data and interpretation
Major element oxides and relevant data
The concentrations of major element oxides and other related chemical data of the metacarbonate rocks are presented in Table 2. A cursory appraisal of the data (Table 2) revealed that LOI, CaO and MgO content frequently constituted more than 95 wt% of the rock composition and this corroborate mineralogical observations (Table 1) that the carbonate phases are the predominating phases in the rock. The high LOI values (Table 2) possibly reflect the low silica composition of the rocks (Table 1). Qadhi (2008) observed that increase of silica and other silicate constituents in marble reduces the LOI value. Apart from LOI, CaO constitute the dominant constituent, with concentrations that ranges from 29.85 to 51.67 wt% (35.79 wt% mean value). This is closely followed by MgO which has concentration varying from 3.88 to 21.25 wt% and 16.70 wt% mean value (Table 2). Assuming that all CaO and MgO content is related to calcite and dolomite phases, these two minerals would account for around 22.5 wt% and 76.3 wt % on average (Table 2). However, the true picture may be slightly different as the non correspondence of the metacarbonate rocks’ sample plots with the line depicting stoichiometric
dolomite on the Ca cf Mg biplot (Figure 5), similar to that of Johnson et al.., (2010), is an indication that dolomite may not be the dominant host mineral for CaO and MgO. It is possible that some MgO are also admixed in the calcite’s structural lattices, as observed in the Jabal Farasan marble of central-western Saudi Arabia (Qadhi, 2008). Both CaO and MgO are also possibly bound in the structure of the small and probably insignificant silicate phases, which is represented by quartz, talc, phlogopite and muscovite that constitute parts of the rock’s modal mineralogy (Table 1).
The insoluble residues, notably, SiOW (0.82 6.21 wt%), Al2O3 (0.003 1.01 wt%) and K2O (0.01 0.49 wt%) have considerably low abundance. Ignoring sample L11, Fe2O3 is frequently less than 0.08 wt% while TiO2, MnO and Na2O concentration are negligible. Both K2O and P2O5 have 0.07 wt% mean concentration (Table 2). The relatively lower abundance of Fe, Mn and P in the samples are probably the reflection of low detrital and organic effects relative to the inorganic chemical carbonate precipitate (Tucker, 1983). The total carbon values are considerably high (11.31 12.97 wt%, av. 12.28 wt%) as expected for carbonate-bearing rocks, while the same could not be said for total sulphur concentration which are generally below the 0.02 wt% detection limit.
Trace element composition
The trace elements geochemical data of the metacarbonate rocks are presented in Table 3. As shown in Table 3, only Ba, Cs, Rb, Sr, Nb, Pb, Zr, Cd, Cu, Ni, U, Y and Zn have concentrations beyond their detection limits since many trace elementsconcentrations were below the relevant detection limits (Table 4). The rock’s trace element concentrations are not as low as expected and Sr and Ba values are highly variable (Table 3), possibly suggesting a complex distribution of the element (Georgieva, 2009). Light ion lithophile element (LILE) concentration, notably Ba (55 ppm average), Sr (145.1 ppm average) and probably Rb (2.7 ppm average) are considered moderate. Sr concentration particularly appears to be appropriate, given the fact that Sr content of recent carbonates are expected to range from 30 ppm to 200 ppm (Shearman and Shirmohammadi, 1969). Among the high-charged cations, Zr has concentration ranging from 4.1 to 35.7 ppm (11.5 ppm mean value), Nb concentration ranging from 0.1 to 1.5 ppm (0.3 ppm mean value) and U content varying from 0.3 and 3.0 ppm. Y concentration ranged from 0.6 to 5.7 ppm; Zn (5.6 ppm average.), Cu (2.0 average) and Ni (1.6 ppm average) display moderate concentration, while Cd (0.3 ppm average), Pb (0.6 ppm average) and Cs concentration (0.6 ppm average) appear low. Fig. 6 illustrates the composition of the trace elements of the metacarbonate rock normalised to the average upper continental crust of Taylor and McLennan (1981).
Rare earth element geochemistry
Table 5 gives the rare earth elements (La, Ce, Pr, Nd, Sm, Eu, Gd, Tb, Dy, Ho, Er, Tm, Yb and Lu) abundance in the rock , together with other relevant data.
The REE values shown in Table 5 are quite low (ΣREE = 1.33 6.12 ppm, excluding sample L11 having an abnormal 15.41 ppm concentration) and the concentration of most components from locations L22, L23, L42 and L43 are below detection limits (Table 5). The tabulated data (Table 5) clearly show that LREE components dominate over HREE, and that total LREE and HREE concentrations decrease from 12.53 to 1.1 ppm and from 2.88 to 0.27 ppm, respectively (Table 5). Identification of REE fractionation in the metacarbonate rocks was carried out by normalising (Haskin et al., 1968) the concentration of the rare earth elements to average chondritic meteorites, and the result for samples having concentrations beyond detection limits is presented as REE pattern (Fig. 7). A cursory appraisal of the chondrite normalised rare earth element (REEN) plot show that all samples exhibit similar REEN patterns, moderate to strong fractionation of light rare earth elements (LREE) over heavy REE (HREE) (LaN/YbN = 0.98 -9.35) and distinct negative Eu anomaly, Eu/Eu* ranging from 0.48 to 0.60. It is also obvious that La -Nd -Sm -Eu appear to define an inclined straight line and the heavy rare earth elements (HREE) exhibit uncoordinated zigzags patterns in the Gd -Dy -Ho -Er -Yb -Lu spans Figure 7
Geochemical interrelationships
The interrelationships between the major element oxides and trace elements of the metacarbonate rock have been investigated and the results presented as correlation coefficients (Tabla 6) and co-variation plots (Fig. 6 Fig. 11). Also, following the procedure adopted by Veizer et al. (1992), R mode factor analysis have also been employed to reveal any communality of chemical elements and, indeed, the most likely identity of the host minerals. The rotated factor matrix is presented in Table 7, together with eigenvalues, total variance percentage and cumulative percentage.
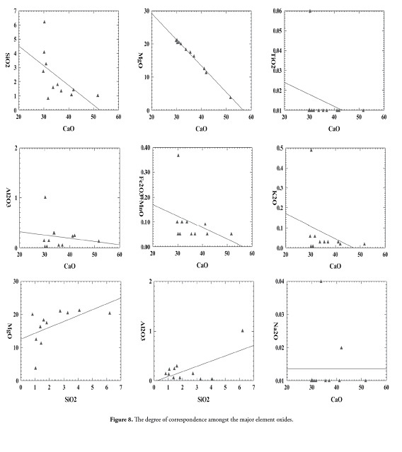
Examination of changes of the major elements oxides with respect to CaO concentration reveal that SiO2 and MgO are significantly decreased with increasing CaO content in the rock (Table 6, Figure 8). CaO composition also display an expected weak negative correlation with most of the insoluble residues, notably TiO2, Al2O3, Fe2O3, MnO, K2O and P2O5 (Table 6, Fig. 6), and both SiO2 cf MgO and SiO2 cf Al2O3 cross-plots (Fig. 8) show significant positive correlation between the involved components. The TiO2, Fe2O3 and K2O concentration appear consistent with those of SiO2 and Al2O3 (Table 5). Furthermore, there appear to be no correlation between CaO and Na2O (Table 6, Figure 8).
Examination of variations of trace element in the rock reveals Pb, Ni, Sr and Cu enrichment with increasing CaO values while Ba, Nb, Rb and Zr display weak negative correlation with CaO (Table 6, Figure 9). It is also interesting to observe that most trace elements display positive interrelationships with the major insoluble residue components of the rock (Table 6) and prominent among these are the SiO2 -Al2O3 -K2O -TiO2 Fe2O3 -Ba -Nb -Rb -Zr links (Table 6, Figure 10).
In the rotated factor matrix (Table 7), loading greater than ± 0.55 are highlighted and considered significant members of each of the 3 factor score groupings. As shown in Table 7, Factor 1 (comprising significant loadings of Si, Ti, Al, Fe, K, Ba Cs, Rb, Nb, Zr, Y and Zn) account for 38.59% of total data variance while Factor 2 (high loadings of Ca, Sr, Pb and Cu) account for 17.15% of total data variance. Factor 3 (with high loadings of Mn, Ba, U and Y) account for 12.68% of total data variance.
Interpretation and Discussion
Evaluation of consistency of primary chemical signatures
A number of geochemical parameters have been proposed for testing the degree of preservation of primary chemical signatures in carbonatebearing rocks (Kaufman et al.., 1993; Narbonne et al.., 1994; Pandit et al., 2003; Veizer, 1983). In particular, the Mn/Sr ratio has been accepted as a definitive indicator for the degree of preservation and/or post-depositional alteration (Brand and Veizer, 1980; Derry et al.., 1992; Veizer et al.., 1989, 1992). The Mn/Sr ratio of the Nsofang marble varies between 0.14 and 1.62 with an average of 1.01 ppm. These values are considered to fall within acceptable limits for carbonate rocks that are well-preserved and unaffected by post-depositional alteration (Derry et al.., 1992; Kaufman et al.., 1992, 1993; Kaufman and Knoll, 1995). Moreover, Brand (1983) has suggested that trace element signatures can aid in interpretation of depositional environment conditions despite post-digenetic alteration. The chemical signatures of the marble can therefore be taken as representative of the precursor rock.
Distribution of chemical species
The reduction in SiO2 content compared to increasing CaO concentration (Figure 8) agree with the fact that the rock comprises distinct silicate and carbonate fractions, having contrasting variations. The carbonate fraction increases at the expense of the silicate fraction and vice versa. The positive relationship between SiO2 and MgO (Table 6, Fig. 8) most likely confirm earlier observations that MgO constitutes parts of the silicate fraction. The positive relationship existing between SiO2 and MgO (Table 6, Figure 8) most likely confirm earlier observations that MgO also constitute parts of the silicate fraction. The positive relationship displayed between SiO2 and Al2O3 (Fig. 8), together with the consistency observed in the variation of TiO2, Fe2O3 and K2O with those of SiO2 and Al2O3, (Table 6) and the weak negative correlation existing between CaO and the various insoluble residues (Figure 8) suggests that the non-carbonate or silicate fractions are mainly aluminosilicates. However, where Al2O3 is extremely low (as in sample L12, L13, L42 and L43), clearly the SiO2 cannot have been introduced into the original sediment in aluminosilicate phases and was probably therefore either in traces of detrital quartz or in siliceous organisms.
Among the trace elements investigated, Sr, Pb and Ni appear to be enriched in the carbonate fractions as implied by the consistency that these components display with CaO, which is an important member of the carbonate fraction. The enrichment of Sr in carbonates is often accounted for by the fact that Sr2+ readily substitutes for Ca2+ in calcium -bearing structure. However, in the Nsofang metacarbonates, both Ca and Sr display very strong positive correlation (Figure 9) which rather suggests that both components are probably bound together in the same calcium -bearing lattice structures. This is consistent with the position of Dissanayake (1981) that Sr being the main trace elements in limestone and dolomites is often presume to be located in the lattices of carbonate minerals. The observed lack of significant positive correlation between Sr and Na (Table 6; Figure 11) is an indication that Na2O is not controlled by the carbonate phases, and consequently does not form parts of the lattices of the Ca -Mg carbonates nor occur as inclusions in the carbonate phases (Fritz and Katz, 1972; Land and Hoops, 1973). The lack of strong relationship between Sr and Na, together with the absence of significant positive correlation between Na/Ca versus Mg/Ca or Sr/Ca (Figure 11), also precludes the consideration of an evaporitic hypersaline (Sass and Katz, 1982) conditions as existing during developments of the protoliths of the metacarbonate.
Other trace elements, notably Ba, Nb and Rb, tend to concentrate in the silicate fractions as inferred from the weak negative correlation they displays with CaO (Figure 9) and the positive interrelationships they exude with major insoluble residue components of the rock (Figure 10). Arising from the marked correlation exhibited between Zr and Al2O3 (Fig. 10), it thus seems reasonable to suggest that much of the rock’s Zr composition was probably not introduced as detrital zircon but also formed parts of the rock’s silicate fraction.
The strong positive interrelationships amongst the various trace elements and major insoluble residues (Fig. 10) underline the relevance of the minor aluminosilicate phase in controlling the distribution of both insoluble components and most trace elements. Accordingly, the positive correlation among Al2O3 and TiO2, Fe2O3, K2O, Ba, Nb, Rb and Zr (Fig. 10) is taken to imply that all these components are contained in different proportions of aluminosilicate phases, as appropriately reflected in the Factor 1 loadings (Table 7). The strong positive interrelationship amongst Ba, Rb and K2O (Table 6, Figure 10) underline the relevance of K-bearing minerals in the aluminosilicate phases. It has long been known that Ba and Rb are especially retained in K-bearing minerals, and common K -bearing minerals are mostly the feldspars. However, the non linear interrelationships involving Na, Pb, Sr and Al2O3 (Table 6, Figure 11) and Na2O and CaO (Figure 8) corroborate petrographic observations (Table 1) that feldspar does not constitute a significant phase in the modal mineralogy of the rock, rather quartz, talc, and phlogopite or muscovite are the main aluminosilicate phases in the rock.
The high loadings of Ca, Sr, Pb and Cu of Factor 2 ((Table 7)) most likely reflect the composition of the carbonate fraction, while the high loadings of Mn, Ba, U and Y recorded for Factor 3 could not be readily interpreted. The exclusion of MgO as a significant component in all three Factor score groupings could be explained by considering diverse sourcing of the MgO.
Conditions of formation of metacarbonate deposit
In an effort to gain insight into the pre-metamorphic conditions of the parent materials of the metacarbonate deposits, the chemical data of the rock were plotted on discrimination diagrams like Garrels & McKenzie’s Na2O/Al2O3 cf K2O/Al2O3 diagram (1971) and Leyreloup et al.’s MgO CaO Al2O3 discrimination diagram (1977). The samples dominantly plotted in the sedimentary field on the Na2O/Al2O3 cf K2O/ Al2O3 diagram (Fig. 12), thereby confirming that the rock is largely of sedimentary origin. On the MgO CaO Al2O3 discrimination diagram (following Leyreloup et al.., 1977) (Figure 13), the metacarbonate rock samples plotted outside the magmatic funnel, thereby supporting the sedimentary antecedents of the rock.bThe sedimentary origin of the precursor rocks is also clearly observed in the bedded nature of the metacarbonate rocks ((Figure 4)) and the fact that Sr and total REE abundance of the rock rarely exceed 200 ppm and 25 ppm, respectively, thereby agreeing with observations that sedimentary carbonates are usually characterised by low Sr and total REE content (Nothdurft et al.., 2004; Veizer et al.., 1992). Additionally, interrelationships observed earlier between major insoluble residue components and selected trace elements (notably the SiO2 -Al2O3 -K2O -TiO2 -Fe2O3 -Ba -Nb -Rb -Zr links) (Figure 10) points to the close association of the parent carbonate rocks with aluminosilicate phases, which is a diagnostic sedimentary feature.
Having confirmed the sedimentary nature of the protoliths, it become necessary to investigate the nature and characteristics of the depositional environment of the parent sedimentary carbonate, and for this, the trace element composition of the rock, especially the rare earth elements are involved. According to Tanaka and Kawabe (2006), unaltered marine sedimentary carbonates are expected to preserve the chemical characteristics (i.e. REE features) of the medium in which the carbonates precipitated. However, care must be taken when making such an interpretation because carbonate REE content could also be influenced by non-carbonate materials, such as fine-grained siliciclastic material in excess of 5% (Banner et al.., 1988). Fortunately, in the case of the Nsofang metacarbonate rocks, petrographic and geochemical observations have shown that noncarbonate phases are negligible, and this precludes the consideration of an additional influence on the REE chemistry of the rock by non-carbonates.
In outlining the REE pattern differences between shallow coastal waters and deep waters, Tanaka et al.., (1990) observed that data points for La, Nd, Sm, and Eu for coastal waters fall on a nearly straight line, and their REE patterns are characterised by marked discontinuity between Eu and Gd. Similar observations have been made on the REE patterns of the Nsofang metacarbonate rock (Fig. 7), and the indication is that the protoliths of the rock was deposited in a shallow, near-shore marine environment.
Besides, the observed uncoordinated zigzag patterns in the Gd -Dy -Ho -Er -Yb -Lu spans of the heavy rare earth elements (HREE) of the Nsofang metacarbonate ((Figure 7)) require further investigation, as such features can also be associated with a surface or shallow water environment (Masuda and Ikeuche, 1979; Tanaka et al.., 1990). Interpretation of a surface or shallow marine depositional environment for the parent carbonate material of the Nsofang rocks is in agreement with the reported negligible Na2O, Fe2O3, MnO (Table 3) and Sr concentration (Table 4) (Clarke, 1911; Frank 1975; Turekiah and Wedepohl, 1961).
Davou and Ashano (2009) considered low concentration of Na2O to imply a shallow, near-shore, low energy -clean water- marine environment of deposition for the parent carbonate materials of the marble deposit occurring east of the Federal Capital Territory (FCT) of Nigeria. Moreover, most sedimentary carbonates in Nigeria’s Cretaceous basins have been interpreted as product of shallow marine environment of deposition. Enu and Adegoke (1988) used microfacies and microfaunal evidence to interpret the Ewekoro limestone occurring within the eastern Dahomey basin of south-western Nigeria as products of deposition in shallow marine environment. Adekeye and Akande (2002) integrated lithological, paleontological and sedimentary data to reveal that the sedimentary sequence of the Yandev area in the Benue trough (consisting of a limestone shale sequence) were deposited in a shallow marine shelf lagoonal environment.
Among the sedimentary cycles delineated for the Mfamosong limestone of the Calabar flank, is an initial transgressive cycle that occurred and resulted in a normal shallow marine environment (Fayose, 1978). Akande et al.., (1988) concluded that shallow water epicontinental seas, flanked by fault bounded basement uplands seems to have been the primary environments of deposition of carbonate materials in Nigeria. Following Ikhane et al.., (2009) the low Al2O3 concentration measured in Nsofang rock is interpreted as being indicative of a low energy environment.
When the relevant chemical data of the Nsofang metacarbonate deposit are projected on the CaCO3 -MgCO3 -others (insoluble component) diagram ((Figure 14)) adapted from Harker (1939), Carr and Rooney (1985) and Davou and Ashano (2009), indication is that the metacarbonate rock is dolomitic. The occurrence of lamination, vug and cavernous structures as part of the structural features ((Figure 4)) of the Nsofang metacarbonates possibly reflects the relevance of biogenic activity at some point in the evolutionary history of the rock. The lamination probably represents relic organic imprints similar to the type produced on tidal flat environments by colonies of blue green algae, while the irregular shape of the caves and small cavities with their sculptured walls suggest formation through dissolution of lithified carbonate material. There is therefore every indication that the metacarbonate rocks most likely began as calcitic material before conversion to dolomitic prior to metamorphism.
Dolomitisation of sedimentary carbonate material is a widely-reported process for many Nigerian carbonates and metacarbonates (e.g. Davou and Ashano, 2009; Odigi and Amajor, 2008; Oti, 1983; Petters, 1978). The prior demonstrated existence of precursor carbonate sedimentary material most likely provided the required setting for extensive dolomitisation of the precursor rock of the Nsofang metacarbonate. However, as already known (e.g. Deelman, 2008; Purser et al.., 1994; Welch, 2001), the condition of formation of dolomite in the natural environment is frequently different from synthesis of ordered dolomite, accomplished at temperature of over 100°C and 20 atm pressure in the laboratory. The source of high MgO is of considerable importance in the conversion of the sedimentary carbonate to dolomitic rock.
According to Akcay et al.., (2003), possible MgO sources for dolomitic carbonate bearing rocks include pore-water, seawater and clay minerals. Pore-water trapped in limestone may promote dolomitisation (Kupecz and Land, 1991) because these waters are typically Ca-enriched and their molar Ca/Mg ratio increases with increasing temperature (Kupecz and Land, 1991). However, a pore-water MgO source for the Nsofang metacarbonates is not likely because pore-water is usually characterised by moderate to high salinity (10 25 wt% NaCl equiv.; Gomez-Fernandez et al.., 2000; Yao and Domicco, 1997) and Na2O and K2O concentration in carbonate tends to decrease with increasing salinity but appears to increase with depth (Clarke, 1911).
The metacarbonate rocks of Nsofang are characterised by low Na2O values and shallow depth of deposition, which is at variance with consideration of the pore-water source. Seawater, another major source of MgO for sedimentary dolomitic rocks, contains significant Mg concentration (~3.7%) (Taylor and Sibley, 1986; Tucker and Wright, 1992). Land (1985) concluded that seawater is the only widely-available fluid having sufficient magnesium to cause massive dolomitisation, and diagenetic dolomitisation of calcite-rich carbonates requires large volumes of water to supply the required Mg (Land, 1992). The low Na2O and K2O concentration in the metacarbonate, combined with the moderate Sr content, support the seawater source of MgO and, with seawater as the major source of MgO, the low Pb concentration in the rock (Table 6) can be readily explained. Wedepohl et al.., (1974) advanced the view that calcite and dolomite cannot incorporate appreciable concentrations of Pb since sea and interstitial water usually contains very little Pb.
Clay minerals represent another important major source of MgO, which is frequently regarded as a source of MgO for dolomitisation, especially for late-stage dolomite formations (Morteani et al.., 1982; Kupecz and Land, 1991; Warren, 2000). Given that Nsofang metacarbonate contains a quantity of quartz, talc, phlogopite and probably muscovite (Table 1), it is highly probable that transformation of these materials may release additional (though negligible) MgO for the carbonates.
Detailed analysis of the textural and structural features preserved in the Nsofang metacarbonate rocks reveal that the precursor sedimentary materials were affected by several widespread, laminae-parallel, diagenetic processes, most likely controlled by fine-scale layer-parallel differences in initial porosity and permeability. Xu (2011) observed that fenestral fabrics such as lamination and open space structures like vug and cavernous structures are usually formed in shallow, near-coast supratidal and upper intertidal carbonate environments (Flügel, 2004). The fenestral fabrics, formed in tidal flats, are generally attributable to diagenetic processes, associated with the degradation of microbial mats (Hofmann et al.., 1980).
Summary and Conclusions
The hitherto unknown metacarbonate deposits of the Cretaceous Mamfe embayment comprised distinct carbonate and minor silicate fractions. While the carbonate fraction include Ca, Mg, Sr, Pb and Cu, the silicate fraction are associated with Si, Ti, Al, Fe, K, Ba Cs, Rb, Nb, Zr, Y and Zn. Geochemical data, integrated with field information, have been used to infer a metasedimentary petrogenetic affiliation for the rock. Indication is that the metacarbonate deposits were formed from sedimentary carbonate materials that were deposited in a saline, shallow-marine environment, possibly in a supratidal and/or upper intertidal environments. Seawater seemingly constituted a major source of MgO. Generally, the consistency in the chemical properties of the rock most likely reflects relative stability during deposition of the initial sediments.
Future studies, possibly including isotopic and geochronological data, would shed more light on the evolutionary history of the metacarbonate deposit. However, the present study provides a basis for revisiting earlier paleo-environmental interpretations and intense exploration of the geology of the Nigerian sector of the Mamfe embayment as this could be very rewarding for the country.
Acknowledgements
I would like to acknowledge the support and unparalleled hospitality received from the Chiefs and people of Nsofang community in present day Etung Local Government Area in Cross River State of Nigeria. My heartfelt appreciation also goes to my graduate students, Charles Umagu, Columbus Edet and Festus Udumu, for the roles they played in the successful completion of this research. Furthermore, I give special thanks to all the people who were involved in sample preparation and analysis stages of the work at both the Department of Geology, University of CalaCalabar, Calabar, Nigeria and Acme Analytical Laboratories, Vancouver BC, Canada. Last, but not least, is the anonymous peer reviewer whose review greatly added to the value of the final work.
References
Adekeye O. A. and Akande S. O. (2002). Depositional environments of carbonates of the Albian Asu river Group around Yandev, Middle Benue Trough, Nigeria. J. Min. Geol. 38 (2): 91 -101. [ Links ]
Affaton P., Rahaman M. A., Trompette R., and Sougy J. (1991). The Dahomeyide Orogen: tectonothermal evolution and relationships with the Volta Basin. In: Dallmeyer R. D. and Lécorché J. P. (eds.) The West African Orogen and Circum-Atlantic Correlatives, Springer Verlag, Berlin: pp.107 -122. [ Links ]
Akande S. O., Horn E. and Reutel C. (1988). Mineralogy, fluid inclusion and genesis of the Arufu and Akwana Pb -Zn -F mineralization, Middle Benue Trough. Jour. Afri. Earth Sci. 1: 167 -180. [ Links ]
Akcay M., Ozkan H. M., Spiro B., Wilson R. and Hoskin P. W. O. (2003). Geochemistry of a high-T hydrothermal dolostone from the Emirli (Odemis, western Turkey) Sb-Au deposit. Mineralogical Magazine, August, 67(4), 671 -688 [ Links ]
Banner J. L., Hanson G. N. & Meyers W. J. (1988). Fluid -rock interaction history of regionally extensive dolomites of the Burlington Keokuk Formation (Mississippian): isotopic evidence. In: Shukla V. & Baker P. A. (eds.), Sedimentology and geochemistry of dolostones. Spec. Publ. Soc. Econ. Paleont. Miner. 43: 97 -113. [ Links ]
Brand U. (1983). Mineralogy and geochemistry of deep sea clay in the Atlantic ocean and adjacent seas and ocean. Geol. Soc. Amer. Bull. 76: 803 -832. [ Links ]
Brand V. and Veizer J. (1980). Chemical diagenesis of multicomponent carbonate system-1, trace elements. J. Geol. Petrol. 50: 1219-1250. [ Links ]
Carr D. D. and Rooney L. F. (1985). Limestone and dolomite. In: Lefond S. Y. (ed.). Industrial minerals and rocks. 5th edn., American Inst. Met. and Pet. Engr Inc, New York, pp. 833 -868 [ Links ]
Clarke F. N. (1911). The data of geochemistry. 2nd edn., Washington Government Printing Press: 782p [ Links ]
Collignon F (1968). Gravimétrie de reconnaissance de Condie K. C., Wilks M., Rosen D. M. and Zlobim V. L. (1991). Geochemistry of metasediments from the Precambrian Hapschan series, eastern Anabar Shield, Siberia. Prec. Res. 50: 37 -47. [ Links ] Davou D.D. and Ashano E.C. (2009). The chemical characteristics of the marble deposits east of Federal Capital Territory (FCT), Nigeria. Global Journal of Geol. Sciences, 7 (2): 189 -198. [ Links ] Deelman, J. C. (2008). Low-temperature formation of dolomite and magnesite: A comprehensive revision. Version 2.3, Compact Disc Publications, Eindhoven, The Netherlands [ Links ] Derry L.A., Kaufman A.J. and Jacobsen S.B. (1992). Sedimentary recycling and environmental change in the late Proterozoic: evidence from stable and radiogenic isotopes. Geochim. Cosmochim. Acta 56: 1317 -1329. [ Links ] Dissanayake C. B. (1981). The strontium geochemistry of some Precambrian carbonate rocks of Sri Lanka. J. Natn. Sci. Coun. Sri Lanka 9 (2): 255 -267. [ Links ] Dumort J. C. (1968). Notice explicative sur la feuille Douala Ouest: République Fédérale du Cameroun, BRGM, 69p. [ Links ] Eben, M. M. (1984). Report of the geological expedition in the gulf of Mamfe: Archives of the Department of Mines & Geology, Ministry of Mines & Power, Cameroon, 10p. [ Links ] Enu E. I. and Adegoke O. S. (1988). Microfacies of shallow marine carbonates (Paleocene) in the eastern Dahomey basin, southwestern Nigeria. J. Min Geol. 24 (1 & 2): 51 -56 [ Links ] Eyong J. T. (2003). Litho-biostratigraphy of the Mamfe cretaceous Basin, S.W. Province of Cameroon -West Africa. PhD thesis, university of Leeds., 265p. [ Links ] Fairhead J. D. and Okereke C. S. (1987). A regional gravity study of the West African rift system in Nigeria and Cameroon and its tectonic interpretation Tectonophysics 213: 459 -481. [ Links ] Fairhead J D and Okereke C S (1988) Depth to major contrast beneath the West African rift system in Nigeria and Cameroon based on the spectral analysis of gravity data. Jour. of African Earth Science 7(5-6): 769-777 [ Links ] Fairhead J D, Okereke C S and Nnange J M (1991). Crustal structure of the Mamfé basin, West Africa, based on gravity data. Tectonophysics 186: 351-358. [ Links ] Fayose E. A. (1978). Depositional environments of carbonates Calabar Flank, southeastern Nigeria. J. Min Geol. 15 (1): 1 -13. [ Links ] Fitton G. (1980). The Benue through and the Cameroon line: a migrating rift system in west Africa. Earth Planet. Sci. Lett., 51: 132 -138. [ Links ] Flügel, E., 2004. Microfacies of carbonate rocks-analysis, interpretation and application. Springer Press, Germany, 190-203. [ Links ] Frank W. (1975). Sediment Chemische and Palolcologische Asperkte Stablier Schewellen. Ben Sonderforschungsberoich. 48, Univ. Gottinygen, A: 31 -40. [ Links ]. Fritz P and Katz A. (1972). The sodium distribution of dolomite crystals. Chemical Geology 72: 170 -194. [ Links ] Garrels R. M. and Mackenzie F. T. (1971). Evolution of Metasedimentary Rocks. New York: Norton and Company: 394p. [ Links ] Georgieva M, Cherneva Z., Hekimova S. and Petrova A. (2009). Petrology of marbles from the Arda tectonic unit, Central Rhodope, Bulgaria. Abstracts of National conference, Geosciences 2009. [ Links ] Gomez-Fernandez F., Both R. A., Mangas J. and Arribas A. (2000). Metallogenesis of Zn -Pb carbonate hosted mineralization in the southeastern region of the Picos de Europa (central -Northern Spain) province: Geologic, fluid inclusion, and stable isotope studies. Economic Geology 95: 19 -39. [ Links ] Harker A. (1939). Metamorphism. 2nd edn., Motheum and Coy. Ltd, London, 362p [ Links ] Haskin L. A., Haskin M. A., Frey F. A. and Wilderman T. R. (1968). Relative and absolute abundances of the rare earths. In: Ahrens L. H. (ed.), Origin and Distribution of the Elements (889 -911). Pergamon, Oxford. [ Links ] Hell J. V., Ngako V., Béa V., Olinga J. B. and Eyong J. T. (2000). Rapport des travaux sur lâétude de reconnaissance géologique du bassin sédimentaire de Mamfé: IRGM-NHC (National Hydrocarbon Corporation) unpublished report, 55 p. [ Links ] Hofmann, H.J., Pearson, D.A.B. and Wilson, B.H., 1980. Stromatolites and fenestral fabric in Early Proterozoic Huronian Supergroup, Ontario. Canadian Journal of Earth Sciences 17, 1351-1357. [ Links ] Ikhane P. R., Folorunso A.F., Nton M.E and Oluwalaanu J.A. (2009). Evaluations of Turonian Limestone Formation exposed at Nigercem -Quarry, Nkalagu, Southeastern Nigeria: A geochemical approach. The Pacific Journal of Science and Technology 10 (2): 763 -771. [ Links ] Johnson C. A., Taylor C. D., Leventhal J. S., and Freitag K. (2010). Geochemistry of Metasedimentary Rocks in the Hanging Wall of the Greens Creek Massive Sulfide Deposit and of Shales Elsewhere on Admiralty Island. In: Taylor C. D and Johnson C. A.(eds.). Geology, Geochemistry, and Genesis of the Greens Creek Massive Sulfide Deposit, Admiralty Island, Southeastern Alaska. U. S. Geological Survey Professional Paper 1763, pp. 159 - 182 [ Links ] Kangkolo R. (2002). Aeromagnetic study of the Mamfe basalts of southwestern Cameroon. Journal of the Cameroon Academy of Sciences, 2(3), 173-180. [ Links ] Kangkolo R. and Ojo S. B. (1995). Integration of aeromagnetic data over the Mamfe basin of Nigeria and Cameroon: Nigerian journal of Physics 7, 53-56-. [ Links ] Kaufman A. J. and Knoll A. H. (1995). Neoproterozoic variations in the C isotopic composition of seawater: stratigraphic and biogeochemical implications. Precambrian Res., v. 73, pp. 27-49. [ Links ] Kaufman A. J., Jacobsen S.B. and Knoll A.H. (1993). The Vendian record of Sr and C isotopic variations in seawater: implications for tectonics and paleoclimate. Earth Planet. Sci. Lett., v. 120, pp. 409-430. [ Links ] Kaufman A. J., Knoll A. H. and Awramik S. M. (1992). Biostratigraphic and chemostratigraphic correlation of Neoproterozoic sedimentary succession: upper Tindiar Group, northwestern Canada, as a test case. Geology, v. 20, pp. 181-185. [ Links ] Kupecz J. A. and Land L. S. (1991). Late-stage dolomitization of the Lower Ordovician Ellenburger Group, West Texas. Journal of Sedimentary Petrology, 61, 551 574. [ Links ] Land L. S. (1985). The origin of massive dolomite. Journal of Geological Education 33, 112ÃÂ125. [ Links ] Land L. S. (1992). The dolomite problem: stable and radiogenic isotope clues. In: Clauer, N. and Chaudhary, S. (Eds.), Isotopic signatures of sedimentary records. Lecture Notes in Earth Sciences, v. 43, pp. 49-68. [ Links ] Land L. S. and Hoops G. K. (1973). Sodium in carbonate sediments and rocks: a possible index to salinity of diagenetic solutions. Journal of Sedimentary Petrology 43: 614 -617. [ Links ] Leyreloup A., Dupuy C. and Andriambololona R. (1977). Chemical composition and consequences of the evolution of the French massif, Central Precambrian Crust. Contributions to Mineralogy and Petrology, 62: 283 - 300. [ Links ] Masuda A. and lkeuchi Y. (1979). Lanthanide tetrad effect observed in marine environment. Geochem. J. 1: 19 -22. [ Links ] Morteani G., Moller P. and Schley F. (1982). The rare earth element contents and the origin of the sparry magnesite mineralisations of Tux- Lanersbach, Entachen Alm, Spiessnagel, and HochÃ
½ lzen, Austria, and the lacustrine magnesite deposits of Aiani-Kozani, Greece, and Bela Stena, Yugoslavia. Economic Geology 77: 617 631. [ Links ] Narbonne G. M., Kaufman A. J. and Knoll A.H. (1994). Integrated chemostratigraphy and biostratigraphy of the indemere Supergroup, northwestern Canada: implications for Neoproterozoic correlations and early evolution of animals. Bull. Geol. Soc. Amer. 106: 1281 1292. [ Links ] Ndougsa Mbarga T. (2004). Etude géophysique par méthode gravimétrique des structures profondes et superfi cielles de la region de Mamfé: Thèse Doctorat/ PhD, Fac., Sci., Univ. Youndé I, 255 p. [ Links ] Ndougsa Mbarga T. and Ntep Gweth P. (2005). Report on the Mamfe salt and sapphire reconnaissance expedition: Internal Report Archives Nð0058/2005 of the Ministry of Industry, Mines and Technological Development, 12 pp. [ Links ] Ndougsa Mbarga T., Manguelle-Dicoum E., Bisso D.and Njingti N. (2004). Geophysical evaluation based on gravity data of the Mamfe basin, Southwest Cameroon: SEGMITE International. A Journal of Resource, Industrial and Environmental Geology 1(1): 15 -20. [ Links ] Ndougsa Mbarga T., Manguelle-Dicoum E., Campos-Enriquez J. and Yene Atangana Q (2007). Gravity anomalies, sub-surface structure and oil and gas migration in the Mamfe, Cameroon-Nigeria, sedimentary basin. GeofÃsica Internacional 46 (2): 129 -139 [ Links ] Ngando A. M.,. Tabod C. T, Manguelledicoum E., Nouayou R., Marcel J. and Zakariaou A. (2004). Structure géologique le long de deux profi ls audio magnétotelluriques dans le basin de Mamfé. Journal of Cameroon Academy of Science 4(2): 149-162. [ Links ] Njieatih A. H. (1997). Sedimentology and petroleum potentials of the middle cretaceous sediments of the Mamfe Embayement. Southwestern Cameroon. MSc Dissertation, University of Ibadan, Nigeria, 110 p. [ Links ] Nothdurft L.D., Webb G.E., Kamber B.S. (2004). Rare earth element geochemistry of Late Devonian reef carbonates, Canning Basin, Western Australia: confirmation of a seawater REE proxy in ancient limestones. Geochimica et Cosmochimica Acta 68: 263 -283. [ Links ] Nouayou R (2005). Contribution à lâétude géophysique du bassin sédimentaire de Mamfe par prospections audio et hélio magnétotelluriques Thèse de Doctorat dâEtat ès sciences, spécialité Géophysique Interne, Université de Yaoundé I, 184p [ Links ] Ofomata G. E. K. (1973). Aspects of geomorphology of the Nsukka Okigwe cuesta, eastcentral state of Nigeria. IFAN Bull. 35: 489 -501. [ Links ] Olade M. A., (1975). Evolution of Nigeriaâs Benue Trough (Aulacogen): A tectonic model: Geological magazine 112(6): 93 -103. [ Links ] Oti, M. N. (1983). Petrology, diagenesis and phosphate -mineralization of Cretaceous limestonein the Arochukwu/Ohafia area, Southeast Nigeria. Nig. J. Min. Geol. 20 (1 & 2): 95 -103 [ Links ] Pandit M. K., Sial A. N., Malhotra G., Shekhawat L. S. and Ferreira V. P. (2003). C-, O- isotope and whole-rock geochemistry of Proterozoic Jahazpur carbonates, NW Indian Craton. Gondwana Research 6 ( 3): 513 -522 [ Links ] Petters S. W. (1978). Dolomitization of the Ewekoro limestone. J. Min. Geol. 15 (2): 78 -83 [ Links ] Petters S.W. (2004). Southeastern Benue Trough and Ikom -Mamfe Embayment. In: Ekwueme B. N., Nyong E. E. and Petters S.W (eds). Geological Excursion guidebook to the Oban Massif, Calabar Flank and Mamfe Embayment, Southeastern Nigeria, Soleprint (Nig.) Co., Calabar. [ Links ] Petters S. W., Okereke C. S. and Nwajide C. S. (1987). Geology of the Mamfe rift, southeastern Nigeria. In: Matheis, G. and Schandelmerer, H. (eds) Current research in African earth sciences, Balkema, Rotterdam: 299 -302. [ Links ] Purser, B., Tucker, M., and Zenger, D. (1994). -Problems, Progress, and Future Research ââ¬Ë Concerning Dolomites and Dolomitization.- In: Purser. B. Tucker. M. and Zenger. D. (eds.) Dolomites: A volume in Honour of Dolomieu. International Association of Sedimentologists Special Publication, 21: pp. 3 - 20. [ Links ] Qadhi T. M. (2008). Testing Jabal Farasan marble deposit for multiple industrial applications. The Arabian Journal for Science and Engineering 33 (IC): 79 -97. [ Links ] Reymont R. A. (1965). Aspects of the geology of Nigeria. Ibadan University Press, Ibadan, Nigeria., 145pp. [ Links ] Sass E. and Katz A. (1982). The Origin of Platform Dolomites: New Evidence. American Journal of Science. 282: 1184-1213. [ Links ] Shearman D. J. and Shirmohammadi N. H. (1969). Distribution of strontium from dedolomite from the French Jura. Nature, Lond. 223: 606 -608. [ Links ] Tabod C.T. (2008). An audio-magnetotelluric investigation of the eastern margin of the Mamfe basin, Cameroon. United Nations Educational, Scientific and Cultural Organization, and International Atomic Energy Agency, The Abdus Salam International Centre for Theoretical Physics, IC/2008/099, http://Publications.Ictp.It [ Links ] Tanaka K. and Kawab, I. (2006). REE abundances in ancient seawater inferred from marine limestone and experimental REE partition coefficients between calcite and aqueous solution. Geochemical Journal 40: 425 -435. [ Links ] Tanaka M., Shimizu H. and Masuda A. (1990). Features of the heavy rareearth elements in seawater. Geochemical Journal 24: 39 -46. [ Links ] Taylor S. R. and McLennan S. M. (1981). The composition and evolution of the continental crust: rare earth elements evidence from sedimentary rocks. Phil. Trans. R. Society of London A30: 381 -399. [ Links ] Taylor T. R. and Sibley D.F. (1986). Petrographic and geochemical characteristics of dolomite types and the origin of ferroan dolomite in the Trenton Formation, Ordovician, Michigan Basin, U.S.A. Sedimentology 33:61 -86. [ Links ] Tokam A. K., Tabod C. T., Nyblade A. A., Julia J., Wiens D. A. and Pasyanos M. E. (2010). Structure of the crust beneath Cameroon, West Africa, from the joint inversion of Rayleigh wave group velocities and receiver functions, Geophys. J. Int. doi: 10.1111/j.1365- 246X.2010.04776.x: 1 -16 [ Links ] Tucker M. E. (1983). Diagenesis, geochemistry and origin of a Precambrian dolomite: the Beck Spring dolomite of eastern California. J. Sed. Petrol. 53: 1097 -1119 [ Links ] Tucker M. E. and Wright V. P. (1992). Carbonate Sedimentology. Blackwell Scientific Publications, Oxford, UK. [ Links ] Turekiah K. K. and Wedepohl K. H. (1961). Distribution of elements in some major units of the earthâs crust. Geol. Soc Am. Bull 72, 125p [ Links ] Veizer J. (1983). Chemical diagenesis of carbonates: theory and application of trace element technique. In: Arthur M.A., Anderson T.F., Kaplan I.R., Veizer J. and Land L.S. (eds.) Stable isotopes in sedimentary geology. Soc. Eco. Petrol. Mineral. Short Course Notes 10, Tulsa, pp. 3.1-3.100 [ Links ] Veizer J. Clayton R. N. and Hinton R. W. (1992). Geochemistry of Precambrian carbonates: IV. early Paleoproterozoic sea water. Geochim. Cosmochim. Acta 56: 875 -885. [ Links ] Veizer J., Hoefs J., Lowe D.R. and Thurston P.C. (1989). Geochemistry of Precambrian carbonates: II. Archean greenstone belts and Archean seawater. Geochim. Cosmochim. Acta 53: 859 -871. [ Links ] Warren J. (2000). Dolomite: occurrence, evolution and economically important associations. Earth Science Reviews 52: 1 -81. [ Links ] Wedepohl K. H., Correns C. W., Shav D. M., Turekian K. K., Zemann J. (1974). Handbook of geochemistry, Springer Verlag, Berlin [ Links ] Welch, C. L. (2001). Petrography and Geochemistry of Dolomites in the Lower Cretaceous Edwards Formation, Taylor County, Texas. M.Sc. thesis, Texas Tech University, 129p. [ Links ] Xu, B. V. (2011). Microfacies, Carbon and Oxygen Isotopes of the Late Archaean Stromatolitic Carbonate Platform of the Kaapvaal Craton, South Africa: Implications for Changes in Paleo-environment. Dissertation of the Faculty of Geosciences, Ludwig-Maximilians-University Munich.Munich [ Links ] Yao Q. J. and Domicco R. V. (1997). Dolomitization of the Cambrian carbonate platform, Southern Canadian Rocky Mountains: Dolomite from geometry, fluid inclusion geochemistry, isotopic signature, and hydrogeologic modeling studies. American Journal of Science 297: 892 -938. [ Links ]
































