SciELO - Scientific Electronic Library Online

 
 número21Impact of avoidable mortality on mortality patterns in the Caribbean Region, 1999-2014Externalities of education under the estimation of multilevel models: an approach by type of worker índice de autoresíndice de assuntospesquisa de artigos
Home Pagelista alfabética de periódicos  

Serviços Personalizados

Journal

Artigo

Indicadores

Links relacionados

  • Em processo de indexaçãoCitado por Google
  • Não possue artigos similaresSimilares em SciELO
  • Em processo de indexaçãoSimilares em Google

Compartilhar


Revista de Economía del Caribe

versão impressa ISSN 2011-2106

rev. econ. Caribe  no.21 Barranquilla jan./jun. 2018

 

Artículos originales de investigación

La oferta de ganado vacuno para ceba en el departamento de Sucre, Colombia: un enfoque ARDL

The supply of live cattle to ceba in the department Sucre, Colombia: An ARDL approach

Erika Arrieta Coronado* 

Jessica Bracamonte Ricardo** 

Omar Castillo Núñez*** 

*Economista de la Universidad de Sucre, Sincelejo, Colombia. erikarrieta95@ hotmail.com

**Economista de la Universidad de Sucre, Sincelejo, Colombia. bracamonte06@ hotmail.com

***Economista, Profesor titular. Universidad de Córdoba, Colombia. ocastillo@ correo.unicordoba.edu.co


Resumen

Se identifican determinantes de la oferta de ganado vacuno macho de levante en el departamento de Sucre, Colombia, 20072015, bajo el enfoque del modelo autorregresivo con retardos distribuidos. La oferta responde negativamente al riesgo-clima y riesgo-precio en el largo y corto plazo; de manera positiva al precio de la leche cruda y al sacrificio regional; a diferencia de la oferta final del cebado, no existe una relación inversa con el precio a corto plazo, lo que expresaría la visión de ganancia cortoplacista predominante de los comercializadores, y a los cambios del ciclo ganadero por la generalización del sistema de producción ganadero de doble propósito.

Palabras clave: Ganado vacuno; elasticidad; riesgo-clima; riesgo-precio

Abstract

This paper identifies the determinants of supply of live cattle for fattening identified in the department of Sucre, Colombia, 20072015, under the approach of the Autoregressive Distributed Lag model. The primary supply responds negatively to risk-climate and risk-price in the long and short term; positively to the raw milk price and to the regional slaughter; unlike the final supply, there is no inverse relationship in the primary supply with the short term price which would show the ‘short-term’ vision of marketers, or structural changes in the cattle cycle by the generalization of dual purpose production system.

Keyword: Cattle; elasticity; climate risk; price risk

1. INTRODUCCIÓN

La industria de la carne bovina se divide en tres etapas de acuerdo con la fase de crecimiento del ganado: 1) la producción de la vaca con el ternero; 2) el levante y la ceba; 3) el sacrificio de ganado cebado y embalaje de la carne. En la primera, los productores ganaderos crían una vaca para producir y venden un ternero; el levante es la etapa que transcurre entre el destete y el período de ceba o el primer servicio, que debe producirse cuando el animal alcanza un peso equivalente al 55 o 60% del peso adulto; la ceba es el engorde, en la que el productor ganadero asume la alimentación de los ganados jóvenes por varios meses hasta que estén listos para llevarlos a sacrificio con un peso entre 400-450 kilogramos; la tercera etapa es el sacrificio del ganado gordo, el embalaje y la distribución de la carne.

El modelo empresarial de producción de carne vacuna predominante en el departamento de Sucre no es homogéneo: algunas unidades productivas integran dos etapas de la producción: la cría y la ceba, proveyéndose de la materia prima principal -el ternero- con la producción de la misma unidad productiva procedente de la primera etapa. Otras, compran la materia prima principal en mercados organizados, o en explotaciones de cría para hacer ceba intermedia, o completa. La principal fuente de provisión del ganado de levante de estas últimas han sido las subastas ganaderas. En una gran proporción -alrededor del 81% en promedio, según OPCA (2016)-, el ganado vendido en las subastas fueron animales machos de primera calidad de menos de 1 año hasta 1– de año, con peso medio entre 120-240 kilogramos, procedente del productor y/o del comercializador.

Sobre cuáles son los factores que influyen el comportamiento de esta oferta primaria de ganado vacuno en pie para cebar en la región, se ha indagado poco. El objetivo de este artículo es identificar factores relacionados con su evolución a largo y corto plazo durante el período 2007-2015, mediante la estimación de un modelo econométrico de series de tiempo que los asocie.

Abordar este tema proporciona evidencia empírica adicional para contrastar la relación teórica entre la oferta del principal insumo para cebar y sus factores determinantes; por tanto, ayuda a comprender la dinámica del mercado de ganado vacuno regional de levante, y contribuye a evaluar los posibles impactos que podrían generar cambios de dichas variables en la oferta final de ganado para sacrificio. Con tal propósito, luego de esta introducción, el presente informe se estructura de la siguiente manera: se presentan elementos teóricos y empíricos existentes del tema en forma general; se evalúa las características del proceso estocástico generador de los datos, y en la parte final se estima un modelo econométrico autorregresivo con retardos distribuidos, ARDL, para identificar la presencia de relaciones de largo y de corto plazo entre la oferta primaria y las variables que la influyen.

2. ELEMENTOS TEÓRICOS Y EMPÍRICOS

La función de oferta total agraria se refiere a la relación analítica existente entre la oferta de un producto agrario y los factores determinantes de esta. Los factores considerados teóricamente como tales son: el precio de los factores o insumos de producción; los cambios en la rentabilidad de actividades competentes; el precio de los productos conjuntos o co-productos; el riesgo, asociado a la variación del clima y de los precios, y factores institucionales (Tomek y Robinson, 2005, pp. 68-78; Castillo, 2015, pp. 197-201).

El precio pagado al productor agrario influye la oferta del producto, pues es de esperar que -si los otros factores que afectan la oferta permanecen constantes, y si el costo marginal de producción es creciente-, entre mayor (menor) sea el precio mayor (menor) es la disposición del productor a ofrecer una cantidad mayor de producto. Los principales hallazgos empíricos de la literatura internacional en este tema de la sensibilidad de la oferta agraria al precio han sido resumidos por Mundlak (2000, p. 394; 2001, p. 48). La investigación de orden nacional sobre oferta ganadera destinada a sacrificio ha sido abordada por Kalmanovitz (1982), Lorente (1978), UEA-DNP (1980), Hertford y Nores (1982), García (1983), Jaramillo y Caicedo (1996), bajo el influjo de Jarvis (1974). Estos autores utilizan como indicador la oferta interna final o de consumo (sacrificio + exportaciones), o una medida relativa: la tasa de extracción. Como Jarvis, identifican una relación positiva de largo plazo con el precio, y una relación inversa de corto plazo, como expresión del ciclo ganadero de la ceba.

El riesgo se refiere a una situación de aleatoriedad peligrosa para el agricultor: una sequía intensa, una inundación, un ataque de plagas y/o de enfermedades a plantas y animales, la inestabilidad de los precios, cambios de políticas, etc. (OECD, 2009, pp. 15-25). El riesgo-precio y el riesgo-clima están asociados a la naturaleza biológica de la producción agraria y a su dependencia del clima, a la vez que juegan un importante papel en la determinación de la oferta en el corto plazo. La evidencia empírica en el examen del impacto del riesgo sobre la oferta agraria ha sido resumida en Moschini y Hennessy (2001 pp. 87-153), en el que destacan: primero, que la incertidumbre en la producción agraria es una de las razones para el estudio de la producción bajo riesgo; segundo, como lo predice la teoría, se espera que el productor averso al riesgo produzca menos que el productor neutral al riesgo, ceteris paribus; por ende, existe una relación inversa entre riesgo y oferta; tercero, la inclusión del riesgo en los modelos econométricos de estimación de la función de oferta sugiere que el impacto del precio se vuelve más importante, es decir, cuando se tiene en cuenta el riesgo, la oferta es más sensible al precio.

La técnica de producción ganadera predominante en la región es la del pastoreo en praderas naturales, en el cual el animal es alimentado con pasturas. Bajo estas condiciones, el riesgo-clima tiene efectos importantes sobre las pasturas y los animales: (i) la precipitación afecta la distribución y cantidad de pasto, los déficits hídricos disminuyen la oferta de alimento, lo cual retarda el crecimiento físico de los animales y les hace perder peso, y (ii) la ausencia o el exceso de la lluvia afecta la predisposición del animal al contagio o ataque de enfermedades y/o plagas, lo cual aumenta la tasa de morbilidad y mortalidad (Herrera, 1995). En ambas situaciones, la variabilidad climática puede generar impactos adversos sobre la producción y la oferta ganaderas.

La orientación productiva de la ganadería vacuna en la región es el doble propósito (Dane, 2014). Este sistema es un caso de producción múltiple o conjunta, esto es, se obtienen varios productos utilizando los mismos insumos y factores de producción o, al menos, factores e insumos comunes. La leche es un co-producto de la carne de ganado pues son creados en el mismo proceso y al mismo tiempo. La teoría económica sugiere que el precio del co-producto influencia la oferta del otro producto en sentido directo: el aumento del precio de la leche representa un estímulo para los ganaderos, que optarían por aumentar su inventario o mejorar la nutrición y la salud de las reses, lo cual se traduciría en aumento del número de terneros.

La oferta primaria de ganado de levante para cebar es afectada por el ciclo ganadero. La demanda para sacrificio del ganado cebado está influenciada por el diferencial o margen entre el precio de la carne vacuna y el precio del ganado cebado en pie. Entre mayor sea el diferencial de precio, es de esperar una mayor demanda de ganado cebado para sacrificio (Parra y Gómez, 2008, pp. 10-11). En el corto plazo, sin embargo, dada una expectativa de mayor rentabilidad futura por el incremento del precio de la carne, el productor de ganado cebado tiende a retener, especialmente hembras y machos jóvenes (Jarvis, 1974) esperando que se valoricen en el mercado. En esta fase de retención disminuye el sacrificio; al escasear el ganado cebado para sacrificio, se acentúa la demanda por ganado de levante, lo cual lo valoriza relativamente, y ello afecta a la oferta primaria vía precio. La respuesta del productor-cebador conduciría a reducir ventas de machos y hembras jóvenes, pero la de un comercializador podría conducir a aumentarlas para ganar un diferencial de precios alto entre el de la subasta y el del sitio de compra en campo.

El precio de los insumos es determinante de la oferta agraria. Teóricamente, a nivel del productor individual, la reducción del precio de un insumo implica una reducción de su costo medio, lo cual significa que, si todo lo demás permanece constante, se reduce el costo medio de producción, desplazándose la curva de costo medio hacia abajo. La curva de costo marginal se desplaza hacia adelante como expresión de que la nueva relación precio del insumo-precio del producto ha disminuido; esto es, se ha abaratado el precio relativo del insumo, lo cual incrementa la cantidad usada de este y la cantidad de producto óptima, como lo indica la teoría microeconómica clásica del productor (Hudson, 2007:43-44). Esta nueva curva de costo marginal intercepta a la nueva curva de costo medio disminuida en su nivel más bajo, que constituye la curva de oferta de largo plazo. Como la oferta de mercado es la suma de las ofertas individuales, aumenta la oferta total. Por tanto, la relación entre el precio del insumo y la oferta es inversa.

3. METODOLOGÍA

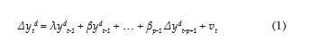
Para estimar el modelo econométrico que relaciona las variables en estudio se procedió así: Primero, se examinó las propiedades subyacentes del proceso que genera las variables de series de tiempo. Esto es, se determinó si el proceso estocástico (aleatorio) subyacente que generó la serie de tiempo de las variables en cuestión es estacionario o no en media y varianza. Para ello se aplicó la prueba de raíz unitaria de Dickey-Fuller con mínimos cuadrados generalizados destendencializados, propuesta por Elliot, Rothemberg y Stock, ERS (1996), conocida por su sigla en inglés como DF-GLS. Básicamente, esta prueba implica la estimación de la ecuación del test de Dickey-Fuller, aumentada después de sustituir los valores originales de las variables en investigación, yt, por los valores destendencializados de la regresión mínimo cuadrática generalizada, yt d:

Donde yt d es la serie examinada destendencializada. La hipótesis nula de existencia de una raíz unitaria en las primeras diferencias de la serie se rechaza si la estimación de λ en la ecuación (1) cae por debajo de los valores críticos propuestos por ERS (1996).

Segundo, ya que se trata de estimar relaciones de largo y corto plazo mediante un modelo econométrico dinámico, se realizó la prueba de causalidad de Granger (1969). Esta prueba parte de la idea de que el futuro no puede predecir al pasado; de este modo, si una variable x causa a otra variable y, los cambios en la primera deben preceder a los cambios en la segunda. Por consiguiente, en una regresión de la variable y sobre x, si se incluyen valores pasados de x esto mejora significativamente la predicción de y. Se dice entonces que x causa a y (a la manera de Granger). Aplica una definición similar si y causa a x. La dirección de la causalidad puede incluso ir en ambas direcciones (Gujarati y Porter, 2009).

Tercero, el establecimiento de relaciones empíricas entre la oferta y sus determinantes se hizo utilizando el modelo autorregresivo con retardos distribuidos, ARDL (por sus siglas en inglés Autoregressive Distributed Lag). Este enfoque es apropiado para investigar la existencia de relaciones de largo plazo en muestras pequeñas (menos de 80 observaciones) y entre series de tiempo de diferente orden de integración, a diferencia de las técnicas de cointegración de enfoque bivariado de Engle y Granger (1987) y multivariado de Johansen (1995), las cuales exigen que las variables sean integradas todas de orden uno. Este enfoque fue desarrollado por Pesaran y Shin (1999) y Pesaran, Shin y Smith (2001); sin embargo, es necesario que ninguna de estas sea integrada de orden dos, ya que estos datos anulan la metodología.

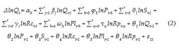
En este sentido, el modelo ARDL utilizado es:

ΔQ = variación de la oferta de ganado macho para ceba; P = el precio del ganado vivo en el mercado; S = sacrificio de vacunos en el Caribe colombiano; Rc = el riesgo-clima; Pl = el precio de la leche; Rp= riesgo-precio.

Las expresiones t - j, t - k, t - l, t - i, t - h, t - u, representan la longitud máxima del número de retardos apropiados para las variables1. βj, φk, ϑl, γi, ωh, τu son los coeficientes de corto plazo a estimar. θ1, θ2, θ3, θ4, θ5, θ6, son los coeficientes de largo plazo. ε1t es el término de error; ln = logaritmo natural.

Dado que las variables se expresan en logaritmo natural, los coeficientes a estimar son elasticidades y tasas de crecimiento.

Seleccionada la estructura del modelo, se aplicó la prueba Multiplicador de Lagrange, LM, de Breusch-Godfrey (1978) con el fin de probar la ausencia de correlación serial en los errores de la ecuación (2). Comprobado lo anterior, se realizó la prueba Límites (Bounds Test), propuesta por Pesaran, Shin & Smith (2001), basada en un estadístico estándar. Esta es una prueba de cointegración que contrasta la ausencia de una relación de largo plazo, esto es, prueba la hipótesis nula: H0: θ1 = θ2 = θ3 = θ4 = θ5 = θ6 = 0 en la ecuación (2), contra la alterna HA: no es cierto. Un rechazo de H0 implica que se tiene una relación de cointegración de largo plazo.

Si los resultados dan evidencia de una relación de largo plazo, se estima la función de cointegración de largo y corto plazo, las cuales se definen, respectivamente, así:

La ecuación (4) es estimada con las variables en diferencias, y el coeficiente δ de zt-1 indica la velocidad del ajuste hacia el equilibrio de largo plazo, que se espera sea significativo y negativo.

Para medir la repuesta de la oferta agraria a distintos factores, este enfoque ha sido utilizado por Muchapondwa (2009) en el caso de la oferta agregada de los cultivos en Zimbawe; Ogundari (2016) del maíz a los precios en Nigeria; Ozkan y Karaman (2011) del área de algodón en Turquía; Wyk y Treurnicht (2012) en la oferta de carne de oveja; Maleki et al. (2012) en la oferta de exportación de carne en Irán.

En cuanto a la información, la oferta primaria se midió como la cantidad mensual vendida de ganado vacuno macho en pie de primera calidad entre las edades menos de 1 a 1– de año en subastas comerciales en el departamento de Sucre, procedente de la unidad productiva ganadera y/o de un comercializador. El precio del producto es un promedio ponderado por las cantidades de las edades consideradas; la unidad de medida es pesos corrientes por kilogramo de ganado vivo, obtenido del Observatorio de precios y costos agrarios del noroccidente del Caribe colombiano, OPCA, de la Universidad de Córdoba, Colombia. La información de las precipitaciones pluviales proviene del Instituto de Hidrología, Meteorología y Estudios Ambientales, IDEAM (2016); a partir de ella se construyó el coeficiente de variación de las precipitaciones mensuales, como proxy al riesgoclima. El riesgo-precio se midió como la desviación típica de una media móvil de tres meses del precio por kilogramo, propuesto por Behrman (1968). El sacrificio de vacunos en el Caribe colombiano, medido en número de animales, se utilizó como una variable proxy al ciclo de la ceba en la región, y proviene de las encuestas de sacrificio de ganado vacuno del DANE (2015). El precio del co-producto es el precio de la leche cruda pagada al productor por la industria en el departamento de Sucre, obtenido del Ministerio de Agricultura y Desarrollo Rural (MADR, 2015), y expresado en pesos corrientes por litro de leche cruda. Para medir la incidencia del precio del insumo se tomó la relación precio de la úrea/precio del ganado en pie. Como una aproximación a la rentabilidad de productos competentes se utilizó el precio relativo del arroz. Ninguna de estas dos últimas variables resultó significativa. La periodicidad de las variables utilizadas es mensual durante el periodo 2007M1-2015M12. Se utilizó el software Econometric-Views, Versión 9.5, para los cálculos del modelo.

4. RESULTADOS Y ANÁLISIS

4.1. Estacionariedad y causalidad a lo Granger

La tabla 1 muestra el cálculo del estadístico de la prueba DF-GLS en la ecuación (1).

Tabla 1 Resultados de la prueba de raíz unitaria DF-GLS 

c=intercepto; tl=tendencia lineal; digitos = número de retardos Fuente: Elaboración de los autores, salida Eviews

El resultado de las variables originales en niveles permite rechazar la hipótesis nula de la existencia de raíz unitaria en las series Q, Rc y Pl, por tanto, son integradas de orden cero, I(0) . En el caso de las variables P, Rp, y S, la hipótesis nula se rechaza en primeras diferencias, lo que significa que son integradas de orden 1, I(1).

Los resultados de la prueba de causalidad a lo Granger2 indican que se rechaza al 1% de significación la hipótesis nula: las variaciones de P, Rc, Rp y S no causan las variaciones de la oferta con 2, 2,3 y 6 retardos, respectivamente; en el caso de Pl se aceptó la hipótesis nula.

4.2. Modelo de la oferta del ganado vacuno macho en pie para cebar

Estructura del modelo

La especificación del número de retardos de la variable dependiente oferta de ganado macho de primera calidad, Q, tuvo un máximo apropiado de 3 retardos, y 4 para las demás variables regresoras. La estructura seleccionada es: (1, 2, 2, 4, 4, 2); es decir: 1 retardo para Q; Pl = 2; P = 2; Rc = 4; Rp = 4 y S = 2.

Los resultados de la prueba LM sobre los errores de la estimación de la ecuación (2) con 4 retardos incluidos para la oferta mostraron un p-valor mayor al nivel de significancia del 5% (p-valor = 0,9184). Por tanto, se acepta la hipótesis nula de no correlación en los residuos.

Prueba Límites (Bounds Test)

La tabla 2 muestra los resultados de la prueba Límites. Indica que existe una fuerte evidencia para rechazar la hipótesis nula de que los coeficientes de largo plazo son cero (θ1 = θ2 = θ3 = θ4 = θ5 = θ6 = 0) pues el F calculado, igual a 10,34 con 5 grados de libertad (k=5), supera los valores críticos de los límites superiores en el nivel de significancia del 1%.

Tabla 2 Resultados de la prueba de cointegración Limites de la oferta y determinantes 

Fuente: Elaboración de los autores, salida Eviews

El modelo de largo y corto plazo de oferta de ganado para ceba

La estimación del modelo de oferta de largo y corto plazo del ganado macho para cebar comercializado en las subastas del departamento de Sucre, con las variables en niveles y en primeras diferencias respectivamente, se muestra en la tabla 3. La relación de cointegración de largo plazo muestra que la oferta primaria responde de manera negativa y significativa al riesgo-clima: un aumento o una disminución del 10% en la desviación estándar de las precipitaciones con respecto a su media mensual genera una disminución en el largo plazo de la oferta de ganado macho del 4,9% en promedio. Para el conjunto de la producción agraria en Colombia, Jaramillo y Junguito (1993) identificaron esa relación inversa.

Tabla 3 Departamento de Sucre. Determinantes de la oferta de ganado macho de levante vendido en subastas. 2007-2015. Variable dependiente Q 

Fuente: Elaboración de los autores a partir de salida del software Eviews

En el corto plazo, la tabla 3 indica que las ventas de ganado macho para cebar está influenciada en sentido positivo y de manera significativa (al 1% de significación) por las siguientes variables:

  1. Las variaciones de su precio: un aumento (o disminución) del 5% en el precio por kilo del mes anterior aumenta (o disminuye) en 9,2% la oferta del mes siguiente.

  2. los cambios en el sacrificio regional de ganado vacuno en el mes corriente y en el anterior: un aumento del 10% en el sacrificio de ganado vacuno en el mes pasado y en el de hoy produce un aumento contemporáneo de las cantidades ofertadas de ganado macho de 6,5% y 5,6%, respectivamente.

  3. Las variaciones del precio de la leche cruda (aunque con menos rigor estadístico, significativa al 5%): una variación del 1% en su precio en el mes anterior provoca que la oferta corriente de ganado de levante varíe en 0,6%.

El primer resultado3, señalado como (i), contrasta con la relación que se ha encontrado en la investigación a nivel nacional cuando se considera la oferta final de ganado cebado para sacrificio en la que, como se señaló antes, la relación de corto plazo entre la oferta y el precio es inversa.

Una primera explicación de este hecho estaría relacionada con lo siguiente:

  1. La lógica económica del comercializador es más de corto plazo y su objetivo inmediato es vender rápido para ganar la máxima diferencia entre el precio de venta en subasta y el precio de compra en la unidad productiva, especialmente en época de retención4.

  2. La intensificación del componente de leche en el sistema de producción doble propósito ha producido modificaciones en el ciclo de la ceba de manera que precios más altos de la leche, aún con bajos precios de la carne o del cebado vivo, conducen a retener la hembra para producir más leche, y vender más crías (Suárez, 2005, p. 41). (iv) En sentido inverso, los cambios en el riesgo-clima afectan en el corto plazo la oferta: variaciones del 1% en la desviación estándar de las precipitaciones con respecto a su media del mes en curso y la de tres meses atrás provoca, en promedio, una disminución de la oferta en cuestión del 0,19% y 0,13% en el mes corriente.

(v) Los productores y comercializadores son aversos al riesgoprecio: una desviación de $100 COP con respecto a la media móvil trimestral del precio por kilo dos meses atrás disminuye la oferta corriente en 0,12%.

El coeficiente del término de corrección de errores, z-1 , el cual representa la velocidad de ajuste hacia el largo plazo, tiene el signo esperado y es significativo; el resultado de este coeficiente es menor a la unidad e indica que, aproximadamente, el 80% del error de largo plazo en la oferta del ganado macho con la presencia de lluvias se corrige en el mes siguiente.

5. CONCLUSIÓN

En este informe de investigación se analizó la oferta primaria de ganado macho en pie para ceba en Sucre y sus determinantes durante el periodo 2007-2015 mediante la estimación de un modelo ARDL. Los resultados destacan la sensibilidad de productores y comercializadores a dos factores importantes de la producción ganadera: el clima, en particular en un sistema de pastoreo natural; y el precio, en un sistema de mercado. Ante la amplia variabilidad de estos factores, tienden a reducir la cantidad de producto ofrecido en el corto y largo plazo. En esta etapa de la producción de ganado no se evidenció una relación inversa de corto plazo entre la oferta y su precio, lo cual parece ser un resultado de la lógica económica de ganancia cortoplacista que subyace en el comercializador, pero también podría ser que la intensificación del componente leche, en el sistema de producción doble propósito regional, probablemente haya modificado las características estructurales del ciclo de la ceba, que es más evidente como un fenómeno nacional.

Una implicación de política derivada de este estudio: primera, tener una política de manejo de agua que reduzca la dependencia de dicha actividad, pues las desviaciones de largo plazo del nivel de oferta se corrigen rápidamente con la presencia de este factor. Segunda, en un contexto de reducción anual del hato vacuno departamental durante el período de estudio, sería recomendable políticas de apoyo para repoblamiento bovino en la etapa de vaca-cría con el productor directo de ganado. Tercera, avanzar en mecanismos financieros que contribuyan a reducir el riesgo-precio y riesgo-clima ante productores aversos al mismo

BIBLIOGRAFÍA

Behrman , J. ( 1968 ). Supply response in underdeveloped agriculture: a case study of four mayor crop in Thailand. Norh-Holland , Ámsterdam . Citado por Moschini & Hennessi (2001) . [ Links ]

Bracamonte , J. y Arrieta , E. ( 2016 ). Determinantes de la oferta de ganado vacuno para ceba en el departamento de Sucre, 2007-2014”. Trabajo de grado para optar el título de Economista. Universidad de Sucre, Sincelejo, Colombia . [ Links ]

Breusch, T.S. (1978). Testing for autocorrelation in dynamic linear models. Australian Economic Papers , 17 , 334-355 . [ Links ]

Castillo , O.E. ( 2015 ). Economía agraria: apuntes de clase . Montería, Colombia : Fondo Editorial Universidad de Córdoba . [ Links ]

DANE ( 2015 ). Encuesta de sacrificio de ganado, varios años . [ Links ]

Eliott , G. , Rottemberg , T.J. & Stock , J.H. (1996 ). Efficient test for an autoregressive unit root . Econometrica , 64 , 813-836 . [ Links ]

Engle , R.F. & Granger , C.W. (1987 ). Cointegration and error correction: representation, estimation and testing . Econometrica , 55 ( 2 ), 251-276 [ Links ]

García , J. ( 1983 ). Las Políticas Económicas y el Sector Ganadero en Colombia 1950-1977. Reproducido en Cuadernos de Historia Económica y Empresarial , 19 , Banco de la República , Cartagena, Colombia . [ Links ]

Godfrey , L.G. ( 1978 ). Testing against general autoregressive and moving average error models when the regressors include lagged dependent variables . Econométrica , 46 , 1293-1301 . [ Links ]

Granger , C.W. ( (1969) ). Investigating causal relations by econometric models and cross-spectral methods . Econométrica , 37 , 424-438 . [ Links ]

Gujarati , D. & Porter , D. ( (2010) ). Econometría . México : Mcgraw-Hill Interamericana . [ Links ]

Hertford , R. & Nores , G. ( (1982) ): Caracterización del sector ganadero de Colombia 1953-1975” . Cali : CIAT . [ Links ]

Hudson , D. ( (2007) ). Agricultural Markets and Prices . Australia : Blackwell Publishing . [ Links ]

IDEAM ( (2015) ). Estadísticas de preciptaciones pluviales en Sincelejo , Colombia . Varios años. [ Links ]

Jaramillo , C.F. & Caicedo , E. ( (1996) ). Caracterización del ciclo ganadero . Bogotá : Fedesarrollo . [ Links ]

Jaramillo , C.F. & Junguito , R. ( (1993) ). Crisis agropecuaria y política macroeconómica . Debates de Coyuntura Económica , 29 , 46-67 . [ Links ]

Jarvis , L. ( (1974) ). Cattle as capital goods, ranchers as portafolio managers: an application to Argentine . Journal of Political Economy , 82 (3) : 489-520 , January. [ Links ]

Johansen , S. ( (1995) ). Likelihood-based inference in cointegrated vector autoregressive models . Oxford University Press , DOI:10.1093/0198774508.001.0001 [ Links ]

Kalmanovitz , S. ( (1982) ). El desarrollo de la agricultura en Colombia . Bogotá : Valencia Editores . [ Links ]

Lorente , L. ( (1978) ). Producción de ganado de carne en Colombia . Bogotá : Banco Ganadero . [ Links ]

Maleki , B. , Avestisyan Z. , & Paseban , F . ( (2012) ). Factors affecting Iran’s animal products export: A co-integration analysis . Journal of Agricultural Science and Technology . 14 (1) , 195-1203 . [ Links ]

Moschini , G. & Hennessy , D. ( (2001) ). Uncertainty, risk aversion, and risk management for agricultural producers. B. Gardner y G. Rausser (ed.) : Handbook of Agricultural Economics. Volume 1A: Agricultural production . Chapter 2: 87-153 . Elsevier Science , North Holland . [ Links ]

Muchapondwa , E. ( (2009) ). Supply response of Zimbabwean agriculture: 19701999 . African Journal of Agricultural and Resource Economics , 3 (1) , 28-42 , March. [ Links ]

OECD ( (2009) ): Managing risk in agriculture: A holistic approach . OECD Publishing . [ Links ]

Ogundari , K. ( (2016) ). Maize Supply Response to Price and Nonprice Determinants in Nigeria: Bounds testing approach . International Transactions in Operational Research: 1-15. DOI: 10.1111/itor.12284 . [ Links ]

Ozkan , B. & Karaman , S. ( (2011) ). Acreage response for cotton regions in Turkey: An application of the bounds testing approach to cointegration. A Mediterranean Journal of Economics , Agriculture and Environment, New Medit , 10 (2) , 43-50 , June. [ Links ]

OPCA ( (2015) ). Base de datos de precios y cantidades de ganados en Córdoba y Sucre . Disponible en Quantitative Micro Software ( 2015 ). Econometric Views, Versión 9.5, User’s Guide , USA . [ Links ]

Parra , T. & Gómez , M. ( (2008) ). Libre comercio y la cadena de carne de res: ¿una amenaza real? Tesis de Maestría en Economía . Universidad Javeriana , Bogotá . [ Links ]

Pesaran M.H. & Shin , Y . ( (1999) ). An Autoregressive Distributed Lag Modelling Approach to Cointegration Analysis. S. Strom (ed.) Econometrics and Economic Theory in the 20th Century: The Ragnar Frisch Centennial Symposium, Cambridge: Cambridge UP . [ Links ]

Pesaran , M.H , Shin , Y. & Smith , R.P. ( (2001) ). Bounds Testing Approaches to the Analysis of Level Relationships . Journal of Applied Econometrics , 16 , 289-326. DOI: 10.1002/jae.616 [ Links ]

Suárez , R. ( (2015) ): Incidencia de la Academia y de los Centros de Investigación en las Políticas Ganaderas: la academia y el sector rural (pp.17-67) . Bogotá: Universidad Nacional de Colombia. [ Links ]

Tomek , W. &. Robinson , K. ( (2003) ). Agricultural product prices . USA : Cornell University Press . [ Links ]

UEA-DNP ( (1980) ): La economía ganadera en Colombia . Revista de Planeación y Desarrollo , 12 (3) , 91-141 . [ Links ]

Wyk , D. & Treurnicht , N. ( (2012) ): A quantitative analysis of supply response in the Namibian Mutton industry . South African Journal of Industrial Engineering , 23 (1) . [ Links ]

1El número de retardos máximos se define utilizando el criterio de información Akaike, AIC.

2Por razones de espacio no se incluyen los resultados, pero están disponibles para los editores y lectores.

3Con menos contundencia estadística, Arrieta y Bracamonte (2016) hallaron esa misma relación directa entre la oferta de ganado hembra de levante con el precio y el sacrificio.

4Contribuye a explicar este hecho también que durante 2007-2015 se encontró una correlación inversa entre la variación del inventario ganadero anual y la de la oferta de ganado macho y hembra de levante vendida en subasta, aunque no es estadísticamente significativa la correlación. La correlación entre inventario y ventas debe esperarse directa.

Recibido: 01 de Septiembre de 2016; Aprobado: 30 de Noviembre de 2016

Creative Commons License Este es un artículo publicado en acceso abierto bajo una licencia Creative Commons