Serviços Personalizados
Journal
Artigo
Indicadores
-
Citado por SciELO -
Acessos
Links relacionados
-
Citado por Google -
Similares em
SciELO -
Similares em Google
Compartilhar
Ingeniería e Investigación
versão impressa ISSN 0120-5609
Ing. Investig. v.31 n.3 Bogotá set./dez. 2011
Comportamiento de la interfaz concreto-epoxi-FRP utilizando la teoría de mezclas serie/paralelo
Behaviour of the interface between concrete and FRP using serial/parallel mixing theory
Maritzabel Molina1, Juan José Cruz2, Sergio Oller3, Alex H. Barbat4, Lluís Gil5
1 Ingeniera Civil, Magíster en Estructuras, Master en Métodos numéricos para cálculo y diseño de la ingeniería, Estudiante de doctorado en Análisis estructural, Universidad Politécnica de Cataluña. Profesor Asociado, Universidad Nacional de Colombia. mmolinah@unal.edu.co
2 Ingeniero Civil, Estudiante de doctorado en Ingeniería de caminos, canales y puertos, Universidad Politécnica de Cataluña. Profesor, Universidad Autónoma de Chiapas. juan.jose.cruz@upc.edu
3 Ingeniero de Caminos, canales y puertos, Doctor Ingeniero de caminos, canales y puertos. Profesor catedrático, Universidad Politécnica de Cataluña. sergio.oller@upc.edu
4 Ingeniero de Caminos, canales y puertos, Doctor Ingeniero de caminos, canales y puertos. Profesor catedrático, Universidad Politécnica de Cataluña. alex.barbat@upc.edu
5 Ingeniero de Caminos, canales y puertos, Doctor Ingeniero de caminos, canales y puertos. Profesor titular, Universidad Politécnica de Cataluña. lluis.gil@upc.edu
RESUMEN
Diversos estudios experimentales han mostrado que uno de los factores que afectan el comportamiento de estructuras de concreto externamente reforzadas con Fiberglass Reinforced Plastic (FRP, por sus siglas en inglés) es la adherencia entre el concreto y el FRP. En complemento a la experimentación, en este artículo se propone el uso de la teoría de mezclas serie/paralelo en la simulación numérica como una herramienta para estudiar el comportamiento de la interfaz concreto-epoxi-FRP. Además, se presenta un ejemplo en el que se analizan los resultados de la simulación de un ensayo de adherencia por flexión y se contrastan con los obtenidos experimentalmente.
Palabras clave: concreto, estructuras , teoría de mezclas serie/paralelo
ABSTRACT
Experimental research has shown that one of the key factors affecting the behaviour of reinforced concrete structures strengthened with externally-bonded fibre-reinforced polymer (FRP) is the bonding behaviour between concrete and FRP laminates. As a complement to experimentation, this paper proposed the use of serial/parallel mixing theory in numerical simulation, which is a tool for studying the behaviour of the concrete-FRP epoxy interface. An example is presented which analyses beam test simulation results and compares them with the experimental results.
Keywords: concrete, structures, serial/parallel mixing theory
Recibido: mayo 20 de 2010 Aceptado: octubre 13 de 2011
Introducción
Una alternativa de refuerzo de las estructuras en concreto reforzado corresponde al uso de los materiales compuestos conformados por polímeros reforzados con fibras largas (FRP), la cual se ha incrementado en la última década. Los FRP más utilizados como refuerzo son los reforzados con fibra de vidrio (GFRP) y con fibra de carbono (CFRP). Dado que el uso de los materiales compuestos en obras civiles es relativamente nuevo, aún hay aspectos de los FRP que, por su complejidad, no han sido suficientemente estudiados. Por ello es importante mejorar las herramientas existentes y buscar nuevas alternativas que permitan estudiar el comportamiento de los FRP de una forma más detallada, incluyendo como estrategia la interacción entre la experimentación y la simulación numérica con elementos finitos.
Los estudios experimentales realizados demuestran que uno de los parámetros críticos para definir la resistencia del concreto reforzado externamente con FRP es la adherencia entre el concreto y el FRP (Pendhari et al., 2007). Por lo tanto, el comportamiento de la interfaz concreto-epoxi-FRP es uno de los aspectos que ha sido más estudiado, aunque la mayoría de los estudios han sido enfocados a la parte experimental. En este artículo se revisa el estado del conocimiento de las investigaciones realizadas en el campo del comportamiento de la interfaz concreto-adhesivo-FRP. Luego se describe la teoría de mezclas serie/ paralelo (Rastellini, 2006), la cual es una nueva herramienta que permite la simulación numérica de los materiales compuesto. Posteriormente se analiza el comportamiento de la interfaz concreto-epoxi-FRP obtenido con una simulación de un ensayo de adherencia por flexión en la cual se utilizó la teoría de mezclas serie/paralelo y se contrastan los resultados numéricos con los experimentales.
Clasificación de los ensayos de adherencia en la interfaz concreto-epoxi-FRP
La eficiencia del refuerzo externo en las estructuras de concreto reforzado depende tanto de que la configuración del refuerzo esté acorde con la resistencia y la rigidez requeridas, como de la adherencia entre el FRP y el concreto (Hollaway, 2003). Debido a que la resistencia de la interfaz es dada por la adherencia entre el concreto, el epoxi y el FRP, y a que su comportamiento es el factor de control de los modos de falla por el deslizamiento del FRP en estructuras reforzadas, se han propuesto diversos ensayos para estudiar el comportamiento de la interfaz (figura 1), entre ellos:
Ensayos de adherencia por corte: de este grupo, las pruebas más utilizadas por la simplicidad de su montaje corresponden al ensayo doble cortante indicado en la figura 1(a) y al de cortante simple señalado en la figura 1 (d) (Yao et al., 2005). El comportamiento de la interfaz en estos ensayos es comparable con el observado en los extremos de los laminados de vigas reforzadas con FRP; no obstante, se omiten los efectos producidos por la flexión.
Ensayos de adherencia por flexión: son adaptaciones de los ensayos sobre adherencia de elementos de concreto reforzados con láminas de acero, en los que por medio de una fisura artificial se observa el comportamiento de la interfaz. Con este tipo de ensayos se analiza la transferencia de esfuerzos de la interfaz con el fin de estudiar la pérdida de adherencia del refuerzo inducida por las fisuras de flexión o de flexión y corte en el concreto.
Según la comparación hecha en algunas investigaciones, el comportamiento de la interfaz concreto-epoxi-FRP registrado experimentalmente depende del tipo de ensayo (Yao et al., 2005); por ejemplo, la media de esfuerzos es mayor en los ensayos por flexión que la obtenida en los ensayos por corte; asimismo, en los ensayos de doble cortante la carga máxima supera la aplicada en los ensayos de corte simple (Aiello y Leone, 2008). Por lo tanto, es necesario que se defina un ensayo estándar a los fines de determinar la resistencia a la adherencia de una forma objetiva y tener parámetros para los montajes más fiables.
Estado del conocimiento sobre la simulación numérica de la interfaz concreto-epoxi-FRP
Frente a la complejidad del comportamiento de la interfaz concreto-epoxi-FRP es evidente que, además de la experimentación, se debe utilizar la simulación numérica para evaluar el comportamiento estructural de los elementos reforzados, optimizar las guías de diseño y garantizar la eficiencia del FRP como refuerzo en las estructuras de concreto (Karbhari, 2001). En la pasada década, aunque gran parte de las simulaciones se realizaron para el análisis de vigas reforzadas, unas pocas lograron simular adecuadamente los modos de falla de la interfaz por deslizamiento, pero a un gran costo computacional por el grado de complejidad del problema (Perera et al., 2004; Yang et al., 2003). Actualmente los estudios han hecho énfasis en el análisis no lineal de la interfaz con elementos finitos, con el objetivo de simular el proceso de pérdida de adherencia entre el FRP y el concreto (Lu et al., 2005). El avance de los elementos finitos en el análisis del comportamiento de la interfaz concreto-epoxi-FRP ha sido relacionado con la simulación de la propagación de las fisuras en el concreto adyacente a la interfaz a menos que el adhesivo sea más débil; en ese sentido, se desarrollaron dos tipos de aproximación:
Modelos de fisura discreta (Yang et al., 2003; Niu et al., 2006). En esta metodología se predeterminan la dirección y la posición de las fisuras, donde por cada incremento de carga se requiere modificar la malla de elementos finitos de acuerdo con la propagación de cada una de las fisuras; asegura una buena precisión de la simulación del proceso de formación y propagación de fisuras pero tiene un elevado costo computacional por el proceso remallado.
Modelos de fisura distribuida (Wu y Yin, 2003; Lu et al., 2005; Ebead y Neale, 2007). El proceso de fisuración se aproxima por medio de las ecuaciones constitutivas no lineales en una malla de elementos finitos continua. Las fisuras desde un enfoque fenomenológico son simuladas como discontinuidades locales distribuidas sobre un dominio. Sin embargo, este método no es capaz de modelar individualmente las macrofisuras debido a que no localiza los procesos de fisuración.
Los investigadores que utilizan los modelos de fisuración han estudiado el deslizamiento entre el FRP y el concreto, considerando que la falla ocurre en el modo de fractura por deslizamiento o apertura en la interfaz. Es por ello que simulan el comportamiento de la interfaz mediante una ley constitutiva específica para elementos de interfaz con espesor nulo (Yang et al., 2003; Niu et al., 2006) o con dimensiones específicas (Wu y Yin, 2003: Ebead y Neale, 2007). Otra alternativa consiste en simular el deslizamiento mediante la fisuración y falla de los elementos del concreto adyacentes a la capa del adhesivo (Lu et al., 2005), aproximación que requiere un mallado fino en la zona con refuerzo, sin utilizar elementos de interfaz.
Recientemente se han aplicado modelos constitutivos de daño y de plasticidad a la simulación no lineal para el estudio del proceso de degradación de la interfaz concreto-FRP (Perera et al., 2004; Coronado y López, 2007). Esta estrategia está en desarrollo y tiene un campo de aplicación bastante amplio para el estudio del deslizamiento del refuerzo en estructuras de concreto.
A pesar de que se ha recomendado estudiar con mayor detalle el deterioro de la interfaz en las zonas cercanas a las fisuras en el concreto, en las simulaciones recientes solo se ha considerado el daño en el concreto y en pocos estudios se ha modelado el adhesivo. Además, se ha omitido que el epoxi puede tener un comportamiento no lineal en respuesta al daño del concreto o ser susceptible al daño o plasticidad.
Teoría de mezclas serie/paralelo para materiales compuestos
La teoría de mezclas, como gestor del uso de los modelos constitutivos que describen el comportamiento de los materiales simples que componen los materiales compuestos, es una herramienta que puede ser empleada en el método de elementos finitos para simular apropiadamente el comportamiento de estos materiales. No obstante, es necesario el uso de nuevas herramientas como la teoría de mezclas serie/paralelo, que permiten mejorar la simulación numérica en los ámbitos global y local de los elementos reforzados con FRP, de manera que se represente de una forma más precisa el comportamiento real de los compuestos y se obtenga información que no se pueda medir en los ensayos (Molina et al., 2010).
La teoría de mezclas de serie/paralelo (Rastellini, 2006) se fundamenta en la de mezclas clásica propuesta por Trusdell y Topin (1960). La teoría de mezclas clásica se utiliza en la mecánica del continuo de acuerdo con el principio de interacción de las sustancias que componen el material, suponiendo que en el volumen infinitesimal del compuesto participan en paralelo todos sus componentes; asimismo, se considera que cada uno de ellos contribuye al comportamiento del compuesto en la misma proporción que su participación volumétrica (Oller, 2003). Sin embargo esta teoría presenta una restricción para su uso en diversos materiales compuestos, ya que parte de la hipótesis de que los componentes que coexisten en un punto están de manera paralela y tienen el mismo campo de deformaciones (Car et al., 2000). Como una alternativa para simular los materiales compuestos Rastellini propone la teoría de mezclas serie/paralelo (Rastellini, 2006).
Fundamentos de la teoría de mezclas serie/paralelo
La teoría serie/paralelo considera que los componentes se comportan paralelamente en la dirección de la fibra (condición de isodeformación) y en serie en las direcciones transversales (condición de isoesfuerzo) (Rastellini, 2006). Esta teoría parte de las siguientes hipótesis:
– En cada volumen infinitesimal del compuesto participan en conjunto todos sus componentes, es decir, la distribución de los componentes es homogénea.
– Los componentes tienen la misma deformación en la dirección paralela y el mismo esfuerzo en la dirección serial.
– La adherencia entre los componentes es perfecta.
– La contribución de los componentes en la respuesta del compuesto es proporcional a la participación volumétrica de cada material componente.
• La definición de los componentes en serie y paralela de los tensores de deformación y de esfuerzo (Rastellini et al., 2008).
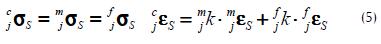
El tensor de deformación e se descompone, una parte en serie εs y otra en paralelo εP; asimismo, el tensor de esfuerzos σ se separa en sus componentes en serie σs y en paralelo σP.
La descomposición de estos tensores se hace por medio de los tensores de proyección de cuarto orden (Pp, Ps) en paralelo y en serie, respectivamente
siendo Np el tensor de proyección paralelo de segundo orden, I el tensor identidad de cuarto orden y e1 el vector unidad que indica la dirección de la fibra, es decir, la dirección paralela.
• Ecuaciones de equilibrio y de compatibilidad en las capas del compuesto
La implementación numérica de la teoría fue desarrollada para descomponer el compuesto c en determinado número de capas ncap tal que cada capa y está conformada por una matriz m y un grupo de fibras f con una misma orientación (Molina et al., 2010). Con base en las hipótesis enunciadas, en cada capa del compuesto y se plantean las siguientes ecuaciones de equilibrio y compatibilidad de deformaciones (Martínez et al., 2008):
– Comportamiento paralelo
– Comportamiento en serie
• Ecuación constitutiva de los materiales de las capas del compuesto
Una vez que se obtiene el tensor de deformación del compuesto ce, se determina el estado de esfuerzos y deformación en cada componente cumpliendo con las ecuaciones de equilibrio y compatibilidad, para luego hallar el estado de esfuerzos del compuesto. El estado de cada componente se determina mediante la ecuación constitutiva que rige su comportamiento. En el caso de usar una teoría de plasticidad, la ecuación constitutiva estará escrita como (Martínez et al., 2008):
de tal forma que es el tensor constitutivo de la matriz m o de las fibras
de la capa
• Algoritmo de la teoría serie/paralelo
En la figura 2 se muestra el algoritmo de esta teoría para una capa de un compuesto.
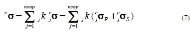
• Ecuación de equilibrio en el compuesto
Después de realizado el análisis de cada capa se calcula el tensor de esfuerzo del compuesto c σ sumando los tensores de esfuerzo de las capas del compuesto ncap de acuerdo con el porcentaje de participación volumétrica de cada capa (Molina 2009).
Análisis del comportamiento de la zona interfacial concreto-epoxi-FRP
Es escasa la literatura en la que se realizan comparaciones de los resultados experimentales de adherencia por flexión con respecto a simulaciones numéricas; además, solo se han hecho comparaciones con modelos bidimensionales. Una de las investigaciones con este enfoque es la de Perera et al., quienes analizan un ensayo de flexión con rótula (figura 1 [e]) e indican que la falla localizada se debe principalmente a los altos esfuerzos de corte transmitidos al concreto por el laminado, por lo tanto, señalan que la resistencia a cortante de la interfaz es un factor importante de comportamiento de las vigas reforzadas con FRP (Perera et al., 2004). Otra investigación corresponde a Leung et al., quienes realizaron un ensayo a flexión con montaje de viga de acero (figura 1 [f]) y muestran que el mecanismo de falla del deslizamiento conduce a la pérdida de resistencia de la interfaz, seguida de la reducción de los esfuerzos de corte; asimismo, que la pérdida inicial de resistencia es causada por la pérdida de cohesión entre los materiales, al paso que el decrecimiento de los esfuerzos se debe al efecto conjunto del deslizamiento continuo del FRP y el daño de la zona interfacial (Leung et al., 2006).
A continuación se presenta una simulación numérica del ensayo de adherencia por flexión llevada a cabo con el programa de elementos finitos PLCDYN (Cimne, 2010), en la cual se aprovechan las ventajas que ofrece la teoría serie/paralelo para analizar el comportamiento no lineal de la zona interfacial concreto-epoxi-CFRP.
Geometría del ensayo de adherencia por flexión
La geometría y el montaje del ensayo se indican en la figura 3, donde la banda de CFRP se encuentra adherida en la cara inferior de los bloques. Solo se simuló el bloque con el laminado corto, con una malla de 10.940 hexaedros de 8 nodos. El modelo tiene 5 materiales simples y sus propiedades se muestran en la tabla 1. Cabe anotar que en los materiales de refuerzo no se considera la relación de Poisson para no sobreestimar los esfuerzos en las matrices.
De acuerdo con la teoría serie/ paralelo en el concreto reforzado y en el CFRP, las matrices de estos compuestos son el concreto y la matriz polimérica, respectivamente, mientras que el acero y las fibras de carbono constituyen el refuerzo. Además, para considerar su correspondiente anisotropía se tiene en cuenta que las barras de acero y las fibras de carbono están orientadas a cero grados de la dirección en que se aplica la carga. En la figura 4 se indican los cuatro materiales compuestos asignados al modelo y en la tabla 2 se muestra la participación volumétrica de los componentes de cada material compuesto.
Descripción de los modelos constitutivos de los materiales
Para analizar el comportamiento de la interfaz de forma integral se consideró el modelo de daño de Kachanov en el concreto, el epoxi y la matriz polimérica según el principio de que el daño en la interfaz produce la reducción de las propiedades mecánicas en los materiales que la componen (Molina, 2009). De igual forma, en el acero se usó un modelo elastoplástico y en la fibra de carbono un modelo elástico y lineal. En todos los materiales se partió de la hipótesis de que no hay daño inicial y se supuso un estado inicial de adherencia perfecta en las interfaces concreto-epoxi, epoxi-CFRP y concreto-acero.
En el ensayo y en la simulación la carga máxima obtenida fue de 17,75 kN y en los dos casos se produjo una falla dúctil. En la figura 5 se presentan las deformaciones en el compuesto de acuerdo con la ubicación de las galgas en la probeta, colocadas cada 0,05 m desde el extremo donde se adhiere el refuerzo. Se observa la similitud que existe entre la evolución de las deformaciones medidas en el ensayo y la obtenida en la simulación a lo largo del laminado. En esta figura se ve que hay incremento lineal de deformación con los niveles iniciales de carga. Luego, al ir aumentando la carga, esta linealidad se pierde secuencial-mente, como resultado del daño progresivo del concreto y del adhesivo, desde el extremo donde se adhiere el CFRP (0,05 m) hacia donde termina (0,35 m), lo cual coincide con lo encontrado por Leung et al.
Una de las ventajas del uso de la teoría serie/paralelo consiste en que, al asignar un modelo constitutivo a cada componente de los compuestos, se puede estudiar la evolución de las variables internas, tales como el daño o el endurecimiento plástico en el compuesto y en los componentes. Esto permite que desde la simulación se mejore el análisis integral del mecanismo de falla de la interfaz. En el ensayo la falla se produjo deslizándose el laminado del lado de 0,35 m y se desprendió una parte del extremo del bloque de concreto, tal como se aprecia en la figura 6(a). Como se puede ver en la figura 6(b), el daño en el concreto se produce en la zona reforzada, siendo mayor en los bordes laterales de la zona con refuerzo; el daño en la superficie de concreto se extiende hasta 0,40 m desde el extremo del bloque, es decir, 0,05 m más allá del laminado. Asimismo, en la figura 6 (c) se ve que la parte desprendida del concreto en la probeta tiene una forma similar a la sección que se deforma en el modelo numérico. Además, se evidencia que el daño producido por las altas tensiones en el concreto influye en el despegue del laminado, efecto que también ha sido observado por Casas y Pascual (2007); este tipo de falla se presenta en las zonas adyacentes a las fisuras por flexión y en las regiones de transición hacia el extremo donde se adhiere el FRP (Perera et al., 2004). En la figura 6(d) se aprecia que el epoxi tiene mayor nivel de daño en el extremo donde se desprende el concreto y se va reduciendo hacia el centro de la zona con refuerzo.
En la figura 7 se muestra la evolución del daño en el concreto y en el epoxi a lo largo del sector adyacente a uno de los bordes laterales del laminado. En lo referente al daño en el concreto, en la figura 7(a) se observa que hay una distribución de daño uniforme, teniendo un valor máximo de 67%; además, para la carga posterior a la máxima hay un daño del 20% a 0,02 m del extremo del laminado, como indicador de la pérdida de capacidad de la zona reforzada. En lo que respecta al daño en el epoxi señalado en la figura 7(b), el máximo daño ocurre hacia el extremo del bloque donde se adhiere el refuerzo. Este daño se debe a que hay una concentración de esfuerzos donde la deflexión del FRP en la junta de separación de los bloques introduce en el adhesivo un efecto de arrancamiento aparte de la tracción. Esto muestra la importancia de simular el adhesivo considerando que su comportamiento no es elástico ni lineal, ya que es susceptible al daño a pesar de tener mayor resistencia que el concreto, contrario a lo supuesto en algunas investigaciones (Leung et al., 2006; Yang et al., 2003; Lu et al., 2005).
Esfuerzos normales y tangenciales en la interfaz
Debido a que la falla se produce en la zona reforzada, en este sector se analiza el comportamiento de los esfuerzos axiales y tangenciales del concreto, del epoxi y del CFRP a lo largo de la zona adyacente a uno de los extremos laterales del laminado.
En la figura 8 se señalan los esfuerzos axiales y tangenciales en el concreto. En cuanto a los esfuerzos axiales, en la figura 8(a) se aprecia como señal del deslizamiento, para los incrementos de carga, que el mayor esfuerzo se va produciendo en diferentes puntos a lo largo de la zona reforzada hacia el extremo donde termina el CFRP. Finalmente, para la carga posterior a la máxima, ocurre el máximo esfuerzo de 2,69 MPa a 0,03 m del refuerzo. En lo referente a los esfuerzos tangenciales indicados en la figura 8(b), se ve que para los diferentes niveles de carga hasta 15,92 kN los mayores esfuerzos ocurren en el extremo donde se adhiere el CFRP, alcanzando un máximo esfuerzo de 1,72 MPa; para niveles de carga superiores el umbral de los esfuerzos cambia de posición, presentándose en diferentes puntos a lo largo de la zona interfacial.
En la figura 9 se ven los esfuerzos axiales y tangenciales en el epoxi, en la interfaz con el laminado donde se produce un mayor índice de daño; en la figura 9(a) los mayores esfuerzos axiales ocurren a 0,02 m de donde se adhiere el CFRP, hasta una carga de 15,92 kN. Luego, en la medida en que se incrementa la carga, los mayores esfuerzos ocurren en 0,01 m. La distribución de los esfuerzos tangenciales en el epoxi es aproximadamente parabólica, tal y como puede verse en la figura 9(b). Inicialmente hasta una carga de 14,06 kN los mayores esfuerzos se presentan a 0,02 m del extremo inicial del bloque; después, a medida que se incrementa la carga, el sector con mayores esfuerzos va cambiando hacia el extremo de la zona reforzada.
De acuerdo con los esfuerzos axiales y tangenciales en el CFRP mostrados en la figura 10, el laminado se mantiene en el rango elástico. Los esfuerzos axiales señalados en la figura 10(a) tienen tendencia casi lineal hasta una fuerza de 14,06 kN. Con niveles de carga superiores la distribución de esfuerzos es semiparabólica y el mayor esfuerzo ocurre a 0,01 m del extremo del bloque con un máximo de 493,0 Mpa. Los mayores esfuerzos tangenciales están alrededor de 10,3 Mpa, como se aprecia en la figura 10(b).
En lo que respecta a la interfaz, el comportamiento del concreto y del epoxi corresponde a la acción conjunta de los esfuerzos axiales y tangenciales, mientras que en el comportamiento del FRP predominan los esfuerzos axiales. Al analizar el comportamiento del concreto, del adhesivo y del FRP se concluye que en la simulación tridimensional la contribución de los esfuerzos axiales y tangenciales es diferente a lo indicado en los estudios hechos de acuerdo con el estado plano de esfuerzos, lo que coincide con lo observado por Chen y Pan en un modelo tridimensional de corte simple.
Conclusiones
La teoría serie/paralelo es una herramienta numérica versátil para analizar el comportamiento de los materiales compuestos y de sus componentes. Por una parte, permite que cada componente del compuesto se analice mediante la ecuación constitutiva que sea más conveniente para predecir su comportamiento (elasticidad, plasticidad, daño, etcétera), y por otra, calcula el comportamiento del material compuesto al combinar el comportamiento de sus diversos componentes. Por tanto, esta herramienta numérica lleva a un mejor análisis de las estructuras con materiales compuestos.
En este trabajo, por medio de la teoría serie/paralelo, se estudia el comportamiento de la interfaz concreto-epoxi-CFRP en un ensayo de adherencia por flexión y se comparan los resultados con los obtenidos experimentalmente. Mediante el modelo tridimensional se obtiene una excelente aproximación del comportamiento experimental de la interfaz, con lo cual se valida el uso de la teoría serie/paralelo y se muestra la importancia de utilizar modelos tridimensionales, ya que permiten analizar el mecanismo de falla integralmente.
En el modelo numérico del ensayo de adherencia se revela la necesidad de simular el adhesivo considerando su comportamiento no lineal por ser susceptible al daño e interactuar con las fallas del concreto. Además, la simulación del epoxi evidencia el efecto localizado en el extremo donde se adhiere el FRP, producido por la acción conjunta del arrancamiento y la tracción en el laminado, que afectan tanto el concreto como el adhesivo.
Agradecimientos
Este trabajo ha sido apoyado por el Ministerio de Ciencia e Innovación de España por medio de los proyectos "Recomp", Ref. BIA2005-06952, "Decomar", Ref. MAT2003-08700-C03-02 y "Delcom", Ref. MAT2008-02232/MAT; por el Ministerio de Fomento de España mediante el proyecto "Reparación y refuerzo de estructuras de concreto armado con materiales compuestos"; por el Alban, "Programa de becas de alto nivel de la Unión Europea para América Latina", beca N° E06D101053CO; por la Secretaría de Educación Pública de México, Subsecretaría de Educación Superior, "Programa para el mejoramiento del profesorado Promep", beca folio UACHIS-160; por el Centro Internacional para los Métodos Numéricos en Ingeniería (Cimne) y por el Departamento de Resistencia de Materiales de la Universidad Politécnica de Catalunya y su laboratorio CER-Litem, España.
Referencias
Aiello, M.A., Leone, M., Interface analysis between FRP EBR system and concrete., Composites Part B: Engineering, 2008, 39, (4) pp.618-626. [ Links ]
Car, E., Oller, S., Oñate, E., Tratamiento Numérico de Materiales Compuestos., Monografía No.57, Centro Internacional de Métodos Numéricos en la Ingeniería (CIMNE), Barcelona, España, 2000. [ Links ]
Casas, J.R., Pascual, J., Debonding of FRP in bending: Simplified model and experimental validation., Construction and Building Materials, 2007,21, (10) pp.1940-1949. [ Links ]
Chen, J.F., Pan, W., Three dimensional stress distribution in FRP-to-concrete bond test specimens., Construction and Building Materials, 2006, 20, (1-2) pp.46-58. [ Links ]
CIMNE, PLCDYN Manual: Código termomecánico nolineal de elementos finitos dirigido a estudiantes de Ph.D., Universidad Politécnica de Cataluña, Barcelona, España, 1991-2011. [ Links ]
Coronado C.A., López, M.M., Damage approach for the prediction of debonding failure on concrete elements strengthened with FRP., Journal of Composites for Construction ASCE, 2007, 11, (4) pp.391-400. [ Links ]
Ebead, U.A., Neale, K.W., Mechanics of fibre-reinforced polymer -concrete interfaces., Canadian Journal of Civil Engineering, 2007,34, (3) pp.367-377. [ Links ]
Hollaway, L.C., The evolution of and the way forward for advanced polymer composites in the civil infrastructure., Construction and Building Materials, 2003, 17, (6-7) pp.365- 378. [ Links ]
Karbhari, V.M., Materials considerations in FRP rehabilitation of concrete structures., Journal of Materials in Civil Engineering ASCE, 2001, 13, (2) pp.90-97. [ Links ]
Leung, C.K.Y., Klenke, M., Tung, W.K., Luk, H.C.Y., Determination of nonlinear softening behavior at FRP composite/ concrete interface., Journal of Engineering Mechanics ASCE, 2006, 132, (5) pp.498-508. [ Links ]
Lu, X.Z., Ye, L.P., Teng, J.G., Jiang, J.J., Meso-scale finite element model for FRP sheets/plates bonded to concrete., Engineering Structures, 2005, 27, (4) pp.564-575. [ Links ]
Martínez, X., Oller, S., Rastellini, F., Barbat, A., A numerical procedure simulating RC structures reinforced with FRP using the serial/parallel mixing theory., Computers and Structures, 2008,86, (15-16) pp.1604-1618. [ Links ]
Molina, M., Estudio numérico de la adherencia de los materiales compuestos como refuerzo en estructuras de concreto armado., Master en Métodos Numéricos para Cálculo y Diseño en Ingeniería, Universidad Politécnica de Cataluña, Barcelona, España, 2009. [ Links ]
Molina, M., Oller, S., Barbat, A.H., Martínez, X., Análisis numérico de estructuras de hormigón reforzadas con FRP por medio de la teoría de mezclas serie/paralelo., Revista Internacional de Métodos Numéricos para Cálculo y Diseño en Ingeniería, 2010, 26, (2) pp.135-155. [ Links ]
Niu, H., Karbhari, V. M., Wu, Z., Diagonal macro-crack induced debonding mechanisms in FRP rehabilitated concrete., Composites Part B: Engineering, 2006, 35, (7-8) pp.627-641. [ Links ]
Oller, S., Simulación Numérica del Comportamiento Mecánico de los Materiales Compuestos., Centro Internacional de Métodos Numéricos en la Ingeniería-CIMNE, Barcelona, España, 2003. [ Links ]
Pendhari, S.S., Kant, T., Desai, M.Y., Application of polymer composites in civil construction: A general review., Composite Structures, 2007, 84, (2) pp.114-124. [ Links ]
Perera, R., Recuero, A., De Diego, A., López, C., Adherence analysis of fiber reinforced polymer strengthened RC beams., Computers and Structures, 2004, 82, (23-26) pp.1865- 1873. [ Links ]
Rastellini, F., Oller, S., Salomon, O., Oñate, E., Composite materials non-linear modelling for long fibre-reinforced laminates: Continuum basis, computational aspects and validations., International Journal of Computers & Structures, 2008, 86, (9) pp.879-896. [ Links ]
Rastellini, F., Modelación numérica de la no-linealidad constitutiva de laminados compuestos., tesis presentada a la Universidad Politécnica de Cataluña, para optar al grado de Doctor of Philosophy, Barcelona, España, 2006. [ Links ]
Wu, Z., Yin, J., Fracturing behaviors of FRP-strengthened concrete structures., Engineering Fracture Mechanics, 2003, 70, (10) p.1339-1355. [ Links ]
Yang, Z.J., Chen, J.F., Proverbs, D., Finite element modelling of concrete cover separation failure in FRP plated RC beams., Construction and Building Materials, 2003, 17, (1) pp.3-13. [ Links ]
Yao, J., Teng, J.G., Chen, J. F., Experimental study on FRP-to-concrete bonded joints, Composites Part B: Engineering., 2005, 36, (2) pp.99-113. [ Links ]










texto em 


