1. Introducción
La ciudad de Cali, Colombia, constituye el principal epicentro regional del Suroccidente colombiano, con una gran dinámica de crecimiento poblacional en las últimas décadas y procesos de conurbación en marcha, que le otorgan el estatus de ciudad región y distrito de gran influencia en toda la macrorregión funcional; esta macrorregión comprende la mayoría de los municipios del departamento del Valle y del Norte del Cauca.
Su estructura espacial está conformada por un corredor longitudinal que atraviesa la ciudad de sur a norte y que concentra un importante número de oportunidades culturales, deportivas, educativas y laborales (figura 1). Este corredor opera como un eje de transporte y conexión entre el centro histórico y los extremos sur y norte; aunque se observa un desajuste espacial en la provisión de bienes y servicios en las zonas oriental y occidental de la ciudad, en las cuales prevalecen altas densidades poblacionales, conglomerados étnicos segregados y una desfavorable localización que afecta de manera negativa la accesibilidad a los equipamientos básicos y a las centralidades de empleo.
Los cambios experimentados en las últimas dos décadas en su configuración espacial llevaron a una mayor descentralización y al fortalecimiento de subcentros emergentes de empleo y de servicios en diferentes zonas de la ciudad. Estas transformaciones, aún en curso y con mayor intensidad en algunas zonas, se pueden apreciar en el estrecho vínculo entre los precios de la tierra y la accesibilidad diferencial de la población a estos emplazamientos. Para afrontar tales cambios, la administración pública ha venido impulsando diversas iniciativas, entre las que se destacan los servicios de transporte masivo, introducidos con el propósito de mejorar la integración del sistema urbano y aprovechar mejor el acceso de la población a las ocupaciones y a los equipamientos de salud y educación que ofrece la ciudad.
El Plan Integral de Movilidad Urbana (PIMU), desde su primera formulación, intentó articular su modelo de planificación al Plan de Ordenamiento Territorial (POT) de la ciudad, con el propósito de mejorar las condiciones de accesibilidad y promover el uso de modos alternativos de transporte y una movilidad sostenible con visión de largo plazo. A pesar de estos esfuerzos, sin embargo, la ciudad todavía presenta serias dificultades en la accesibilidad y en la consolidación del sistema de transporte masivo como una alternativa que logre mitigar las iniquidades espaciales, apreciadas en las zonas oriental y occidental.
Precisamente, la accesibilidad a las oportunidades de empleo es una de las ideas nucleares del modelo canónico de localización residencial y aparece como uno de los determinantes esenciales de la estructura urbana, tal y como se puede constatar en el amplio acervo de la literatura urbana (Alonso, 1964; Brueckner, 1987; Muth, 1969; Duranton y Puga, 2015).
Los estudios empíricos que siguen esta tradición teórica muestran que la accesibilidad -medida de diferentes maneras según el enfoque metodológico adoptado- desem-peña un papel decisivo a la hora de explicar la variación de los precios del suelo y de las viviendas en el interior de las áreas urbanas. La mayoría de los trabajos empíricos se apoya en la especificación y estimación de ecuaciones de precios hedónicos (Rosen, 1974), que suponen, en principio, coeficientes constantes en las ecuaciones de precios del suelo y de la vivienda dentro de las ciudades, lo cual implica que los factores asociados a la variación de estos precios inciden de manera idéntica en cada una de las localizaciones.
Este artículo estima modelos de regresión espacial y se centra en un análisis exploratorio de ponderaciones geo-gráficas, que intenta aportar a la investigación empírica sobre los patrones de distribución de los precios del suelo, la segregación étnica y la accesibilidad diferenciada a los centros y subcentros de empleo de Cali. La hipótesis central es que la valoración marginal de la accesibilidad y la centralidad varían en el espacio geográfico de la ciudad, de tal manera que por la vía de los precios del suelo y de las viviendas se revela información pertinente sobre la estructura urbana y la accesibilidad de cada localización (Thériault y Des Rosiers, 2011; Bourassa, Hoesli y Peng, 2003).
El estudio explora qué sucede cuando se relaja el supuesto de estacionariedad de los modelos clásicos de regresión y de algunas especificaciones globales de regresión espacial, que suponen valoración idéntica de las comodidades que ofrecen las distintas localizaciones.
Para contrastar la hipótesis nuclear del estudio, en principio, se estiman modelos clásicos de regresión, para luego especificar y estimar un modelo de regresión local (Geographically Weighted Regression, GWR), tomando como unidad de análisis los barrios que conforman la cabecera urbana del municipio.
La variable de respuesta es el precio del suelo urbano, el cual muestra, en este caso, un patrón espacial diferenciado con valores altos sobre el eje longitudinal y valores bajos hacia las zonas periféricas. En la zona oriental de la ciudad y en las laderas de la cordillera occidental, prevalecen asentamientos alejados del centro y de los subcentros emergentes que concentran la población de mayor vulnerabilidad social y económica de la ciudad. Las diferencias promedio en los precios del metro cuadrado (m2) entre las mejores ubicaciones de estas zonas deprimidas y las más bajas del eje longitudinal (norte-sur de la ciudad) llegan al 49,2%.
Tal y como se podrá apreciar en este estudio, los resultados iniciales, al estimar el modelo de ponderaciones geográficas, muestran que el comportamiento de los precios presenta un estrecho vínculo con los potenciales de accesibilidad de cada lugar, la segregación residencial y los patrones de uso del suelo (comercial, residencial e industrial), teniendo en cuenta que el modelo introduce variable de control que revelan información sustantiva sobre la configuración urbana y el ordenamiento del territorio.
La estructura del artículo es la siguiente: en la sección dos se aborda la literatura relacionada y se introducen algunas consideraciones conceptuales pertinentes, en la sección tres se describen los datos y los métodos utilizados, en la sección cuatro se exponen las estimaciones y en el apartado cinco se discute y se concluye alrededor de los principales hallazgos del estudio.
2. Revisión de la literatura
Los precios y los patrones de uso del suelo urbano y sus determinantes se encuentran entre las principales preocupaciones de la economía urbana, y hoy en día gozan de una extensa tradición de estudios y enfoques teóricos y empíricos que no resulta fácil abordar en extenso.
Los referentes teóricos sobre la relación entre los precios del suelo y la accesibilidad se apoyan en los trabajos de Wingo (1961), Alonso (1964), Mills (1967) y Muth (1969), en los que la configuración de la estructura urbana resulta de la agregación de decisiones racionales de localización, que buscan compensar los costos generalizados del desplazamiento hacia las centralidades por motivos de trabajo y de consumo.
La síntesis de estos modelos, y que resulta de gran utilidad para este trabajo, plantea la maximización de funciones de utilidad con las viviendas, la distancia al distrito central y un bien agregado a la Marshall-Hicks como argumentos (Duranton y Puga, 2015). Partiendo de un ingreso disponible que se utiliza para la adquisición de vivienda, al precio unitario del m2, el programa de optimización lleva a la condición en la que el alquiler por unidad adicional de distancia al centro cae en proporción al costo de transporte, lo que equivale a decir que la caída en la renta de alquiler por unidad adicional de distancia al centro es igual al gasto incremental en transporte por unidad de superficie, derivando así la denominada condición Alonso-Muth, que se puede expresar como - dP(x) h(x) = τd(x), en donde h es la demanda de vivienda, P el precio, τ el costo unitario de transporte y d la distancia al centro.
De este modo, los mayores costos de accesibilidad a las zonas centrales implican gastos incrementales en transporte, que permiten deducir funciones de renta con pendiente negativa, en las que las disposiciones máximas que se deben pagar por unidad de espacio residencial decrecen con los costos de desplazamiento (Fujita, 1989; Duranton y Puga, 2015) e involucran efectos de sustitución intraurbana de factores. Estos efectos se expresan en los diferenciales de las densidades y en la composición de capital por unidad de suelo en el espacio geográfico de la ciudad. A esto se debe el uso recurrente de la especificación tradicional de las funciones de densidad y de precio por m² con gradientes negativos, que está presente en toda la literatura urbana basada en el modelo canónico (función bid-rent).
Vale la pena anotar aquí que la demanda de suelo y su distribución para usos residenciales se deriva de la producción de vivienda y tiene una naturaleza residual. Su precio está ligado al mercado de la vivienda, a su localización y a otros factores asociados, que explican las diferenciales (segregación, normas urbanísticas, entre otros factores asociados) (Borrero, 2018). Desde la perspectiva teórica del modelo canónico, la demanda de suelo se extiende a partir de los costos condicionados en la producción de vivienda. Otro punto esencial del modelo es que permite inferir, a partir de la condición Alonso-Muth, que las mejoras en la accesibilidad o la disminución de los costos de transporte, en general, promueven la suburbanización y los desarrollos dispersos de las ciudades.
Ahora bien, en otro frente de análisis teórico y empírico, emergieron los refinamientos que relajan los supuestos del modelo canónico monocéntrico y avanzan hacia el modelado de estructuras policéntricas. Entran en consideración, además del distrito central de los modelos clásicos, nuevos subcentros de empleo en los que las densidades empresariales son relativamente altas y en donde los precios del suelo tienden a aumentar, respecto a las zonas con predominio de localizaciones residenciales (Anas, Arnott y Small, 1998; Giuliano, Gordon, Pan y Park, 2010; McDonald y Bowman, 1979; McDonald y McMillen, 1998; White, 1976; Yinger, 1992; Dowall y Treffeisen, 1991).
En relación con el abordaje de los trabajos empíricos, se destaca la literatura sobre precios hedónicos y sus variantes. En conjunto, estos métodos configuran una manera especial de estudiar los determinantes de los precios de las viviendas y del suelo urbano, a partir de la estimación de modelos en función de los atributos estructurales que caracterizan a los inmuebles en diferentes localizaciones, las características del entorno y las amenidades urbanas (Rosen, 1974; Can, 1992; Yu, Wei y Wu, 2007; Daniels, 1975; Duque, Velásquez y Agudelo, 2011). Muy cercana a esta literatura se encuentra otro acervo de trabajos que centra su atención en los efectos generados por la presencia y distribución urbana de las amenidades, como determinantes fundamentales de los precios del suelo y de las viviendas (Cheshire y Sheppard, 1995; Thériault y Des Rosiers, 2011; Barthelemy, 2016). Así, la distribución de los equipamientos educativos, culturales y de salud, además de los equipamientos privados y centros comerciales, inciden en la formación de precios y conllevan a la ocupación estratificada del suelo urbano. Esto favorece en muchos casos la posición de los grupos sociales de altos ingresos y desmejora la situación relativa de las poblaciones vulnerables, localizadas en los suburbios o en las zonas periféricas.
Otro extenso cuerpo de literatura, de gran relevancia para este artículo, centra su interés en los usos del suelo (puros y mixtos), los sistemas de transporte masivo, la conectividad (Anantsuksomsri y Tontisirin, 2015) y la accesibilidad a los centros de provisión de servicios y equipamientos (Des Rosiers, Thériault y Villeneuve, 2000; Thériault y Des Rosiers, 2011; Giuliano et al., 2010). La localización residencial y la accesibilidad aparecen en esta literatura como esenciales a la hora de entender la variabilidad de los precios y su relación con alguna métrica de accesibilidad. La distancia euclidiana o por ruteo de los modelos tradicionales se sustituye en muchos trabajos empíricos por medidas de accesibilidad, en la línea de los modelos de gravedad espacial y, en particular, los que siguen de cerca la formulación de Hansen (1959), que entiende la accesibilidad al empleo como el potencial de oportunidades para la interacción en el interior de las ciudades. Algunos estudios miden la accesibilidad al trabajo mediante el inverso de la distancia y un sistema de ponderaciones de los centros de empleo, mientras que otros utilizan directamente los tiempos de viaje o alguna métrica de accesibilidad que calibra funciones de costo generalizado de viaje (Noland, 1979; Waddell, 2002; Osland y Thorsen, 2008).
La investigación aplicada sobre precios hedónicos utiliza a menudo técnicas de regresión multivariadas (Munroe, 2007), y en los últimos tiempos avanzó hacia la especificación de modelos de econometría espacial, considerando de manera explícita la correlación espacial sustantiva y en los errores (Bourassa, Cantoni y Hoesli, 2007; LeSage y Pace, 2009).
La autocorrelación espacial en los precios y la heterogeneidad sustantiva implica la violación de los supuestos de los Mínimos Cuadrados Ordinarios (MCO), en la medida que la distribución no aleatoria de las variables en el espacio y la presencia de clústeres introducen sesgos e inconsistencias en las estimaciones ordinarias que es preciso corregir (Anselin, 1988; Can, 1992). Así mismo, los procesos no estacionarios en el espacio, con la variación consustancial de los precios del suelo y de las viviendas, implican tener en cuenta de manera explícita la localización específica o la presencia de mercados segmentados del suelo (Bourassa et al., 2003), lo que lleva a identificar indirectamente la valoración de los atributos con sus efectos significativamente distintos en el espacio geográfico.
Los métodos de expansión introducidos por Cassetti (1972) para el estudio de mercados segmentados o submercados de vivienda (Jones y Cassetti, 1992; Can, 1992), así como los modelos GWR, aparecen como alternativas exploratorias que permiten estudiar la variabilidad de los precios y los gradientes en el espacio (Fotheringham, Brunsdon y Charlton, 2002; Farber y Yates, 2006; Páez, 2005; Páez, Uchida y Miyamoto, 2001), bajo la condición de perturbaciones aleatorias no esféricas. Bitter, Mulligan y Dall’erba (2007) aportan evidencia sobre las diferencias significativas en las valoraciones marginales de los atributos en el espacio, sobre todo en grandes mercados de vivienda, utilizando los dos métodos, el de expansión y el GWR en Arizona.
Otras investigaciones utilizan modelos jerárquicos en las estimaciones con microdatos de valores del suelo o transacciones efectivas de viviendas en el interior de las áreas urbanas (Giuliano et al., 2010). Estos modelos permiten estilizar la variabilidad espacial de los precios y controlar los efectos de vecindad mediante la estructura multinivel definida. En esta misma línea, se identifica el trabajo de Hou (2017) para Los Ángeles, con una estructura multinivel que, además, incluye los efectos de la congestión sobre la accesibilidad a los empleos y los precios de las viviendas.
Un aspecto de suma relevancia en los modelos de precios hedónicos aplicados es el de la endogeneidad. Incluso en los modelos con información extensa de microdatos y que disponen de transacciones efectivas en el espacio, la estimación de las funciones hedónicas -que suponen en el modelo puro mercados competitivos con información completa y perfecta de compradores y vendedores-, con las características propias de las viviendas, las vecindades y la accesibilidad o proximidad a las facilidades urbanas como argumentos de la función, presenta correlación y efectos contextuales que resulta difícil identificar y separar. En tales casos es muy probable que exista endogeneidad por omisión de variables relevantes o, en muchos casos, por la existencia de simultaneidad en la estructura de relaciones entre las variables.
Este es un asunto de gran alcance que, por supuesto, implica interpretar con sumo cuidado los resultados obtenidos, cuando no es posible hallar variables instrumentales fuertes que ayuden a disminuir el efecto de la endogeneidad sobre la robustez de los modelos. Algunos trabajos solo asumen que la omisión de variables opera por la vía de los errores y que puede tratarse con éxito mediante regresiones espaciales. Los mejores ejemplos de las dificultades inherentes al tratamiento de la endogeneidad se pueden apreciar en los modelos hedónicos de precios del suelo y discriminación o etnicidad, tal y como lo estudian en detalle Zabel (2008) y Bayer y McMillan (2008).
3. Datos y métodos
Para contrastar la hipótesis central del estudio, se especifican y se estima, en primer lugar, regresiones clásicas de precios del suelo en función de un índice de accesibilidad, un índice de segregación de población afrodescendiente, la densidad poblacional y los usos del suelo en actividades comerciales, industriales y residenciales. También se incluyen variables de control, propias de la configuración espacial extraídas del POT (piezas urbanas, áreas de actividad, zonas de tratamiento) de Cali. Estas estimaciones, junto con algunos modelos de regresión espacial y sus diagnósticos iniciales, sirven de base para la especificación y estimación de un modelo GWR que intenta, como un primer ejercicio exploratorio, estudiar la variabilidad de los parámetros en el espacio. A partir de las estimaciones del modelo de regresión global, se realizan algunos contrastes de endogeneidad del indicador de accesibilidad y se intenta avanzar hacia alguna solución.
Las unidades de análisis del estudio son los barrios o sectores urbanos, de acuerdo con la cartografía censal y de Planeación Municipal. Los precios promedios del suelo provienen de la información catastral sobre avalúos de 2008-2013 y los ajustes realizados con los datos disponibles de precios comerciales de la Lonja de Propiedad Raíz de Cali y el Valle del Cauca (Lonja de Propiedad Raíz, 2008, 2010, 2013).
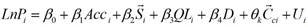
El modelo planteado se desprende de un enfoque pseudohedónico con variables agregadas por barrios, de tal manera que los precios del suelo (Pi) son función del índice de accesibilidad (Acc), un indicador de concentración de población afrodescendiente que intenta medir la composición social de cada barrio (QL) (segregados o con mayor nivel de diversidad), la densidad poblacional (D), la distribución de los usos del suelo (S) y un conjunto de variables de control (C). Ui es el término estocástico de error.
Se espera que la accesibilidad afecte de manera positiva la estructura de precios en todo el espacio urbano y que la concentración de población afrodescendiente presente una relación negativa con los precios del suelo.
3.1. Variables e indicadores
3.1.1. Precios
La variable de respuesta se expresa en logaritmos, Ln(P), y corresponde a los precios promedio del m2 de suelo en cada uno de los barrios. Estos últimos excluyen las zonas institucionales (universidades, base aérea, coliseos deportivos, zonas institucionales, etc.). Las figuras 2 y 3 muestran la distribución de estos precios, expresados en millones de pesos.

Fuente: elaboración propia
Figura 2 Distribución de los precios del suelo (millones de pesos colombianos/m²)
El eje longitudinal norte-sur presenta los mayores valores del suelo, a diferencia de las zonas oriental y la ladera occidental, que se caracterizan por precios bajos del suelo y composición social de alta vulnerabilidad. Sobresalen los barrios de la zona oriental, con predominio de población afrodescendiente, y de las comunas 18 y 20 de la ladera occidental, con elevada proporción de población mestiza.
La base estadística de precios del m², ajustada para 326 barrios, se controló en los modelos mediante la distribución de los polígonos normativos, las áreas de actividad, las zonas de tratamiento del POT y las centralidades, definidas por la administración municipal en el modelo de ordenamiento vigente, para efectos de intervención en los planes parciales y en los macroproyectos de la ciudad. Las áreas de actividad consideradas se recodificaron en tres categorías: (i) residenciales netas y predominantes, (ii) centralidad, mixta e institucional y (iii) comercial e industrial predominantes. Las piezas urbanas definidas por el POT corresponden a la urbana regional, la pieza norte de la ciudad, la pieza ciudad sur, la oriental y la suroccidental. Asimismo, la estructura de precios se controló mediante el reagrupamiento de trece zonas de tratamiento en tres grupos: (a) la zona de consolidación urbanística, cambios de patrón y consolidación; (b) zonas de reordenamiento, mejoramiento integral e intervenciones complementarias y estructurantes; y (c) zonas de desarrollo, renovación y preservación.
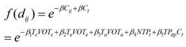
3.1.2. Accesibilidad
El indicador compuesto de accesibilidad (Acc), utilizado en las regresiones, corresponde a una métrica entre 0 y 100, que hace referencia al número potencial de empleos alcanzados en el centro y los subcentros de empleo, en función de los costos (temporales y monetarios) del desplazamiento entre cada uno de los barrios y dichas aglomeraciones. La formulación del índice empleado corresponde a una variación del indicador de Hansen (1959), el cual integra costos de transporte y localización de actividades (ecuación 2). La variación del indicador integra algunos elementos propuestos por Bocarejo y Oviedo (2012), en las cuales se introducen valoraciones monetarias del tiempo y el concepto de asequibilidad. La formulación empleada en este estudio corresponde a la desarrollada en el trabajo de Restrepo y Rodríguez (2018), que se presenta en la ecuación 3.
Donde Acci corresponde a la accesibilidad potencial en i, αj al número de empleos en j y ƒ(dij) es el componente de fricción asociado a la distancia que separa i de j.
ƒ(dij) es una variación de la función de costo generalizado de viaje. Donde ϐCij es el parámetro de impedancia del componente no monetario asociado al viaje y ϐCt es el parámetro de impedancia del componente monetario. En cuanto a la expresión expandida, se incluyó el valor del tiempo (representado por sus siglas en inglés VOT) y los componentes temporales del desplazamiento Tc, Te y Ta, que corresponden al tiempo de caminata, espera y a bordo del vehículo. El número de trasbordos NT corresponde a una penalidad por trasbordos expresado en pesos Pt. La tarifa del tiquete de ingreso al sistema Ct es el porcentaje del ingreso destinado al transporte público Pitp y T es una variable dicotómica, que toma el valor de 1 si hay ingreso al Sistema Integrado de Transporte Masivo de Occidente (SITM-MIO) o 0 en el caso contrario (Rodríguez, Vivas, Pinzón y Jaramillo, 2017; Restrepo y Rodríguez, 2018).
La valoración del tiempo y los parámetros corresponden a los valores estimados en la encuesta de movilidad de Cali 2015 (Steer Davies Gleave y Centro Nacional de Consultoría, 2015). Los parámetros β fueron estimados por medio de un modelo logit, agrupados por estratos 1-2, 3-4 y 5-6, para los componentes de tiempos, trasbordos y tarifa. Los tiempos corresponden a simulaciones de viaje estimados por el laboratorio urbano, del Centro de Investigación y Documentación Socioeconómica (CIDSE) de la Universidad del Valle (Cali), por medio de la plataforma Google Maps. Los datos de frecuencia del SITM-MIO fueron suministrados por Metrocali S. A. La estructura de participaciones del ingreso (proporciones) fue tomada de la encuesta de empleo y de calidad de vida.
Las figuras 4 y 5 muestran la distribución de este indicador en la escala 0-100. De acuerdo con los cálculos, los valores más altos se aprecian en el eje longitudinal, precisamente donde se ubican el centro histórico y dos subcentros de empleo. Esto implica que los habitantes localizados en las inmediaciones de las zonas centrales consumen tiempos reducidos de desplazamiento (alrededor de 30 minutos en promedio). Este premio de localización refleja un mejor acceso a las oportunidades potenciales para alcanzar los centros de empleo de la ciudad. Los habitantes localizados en las zonas periféricas (zonas de ladera y los lugares extremos de la zona oriental), en cambio, reciben un castigo, por la vía de la función de costo generalizado de viaje, expresado en tiempos de desplazamiento, que incluso llegan a superar los 90 minutos.
3.1.3. Concentración y diversidad étnica
Este estudio considera un índice de concentración local QL para el grupo i en el barrio j (en este caso población afrodescendiente según el autorreconocimiento étnico para cada uno de los 326 barrios). Se considera la población Nij como proporción de la población total del sector urbano y se calcula en términos relativos al peso proporcional de esta población en el agregado de la ciudad. Los valores superiores a la unidad indican concentración y los valores bajos denotan un peso relativo de esta población en el barrio, inferior al peso agregado en la ciudad (Apparicio, Petkevitch y Charron, 2008).
Los datos de los censos de población y vivienda constatan que Cali ocupa en Colombia el primer lugar en la concentración de población afrodescendiente en términos absolutos, lo que equivale en términos relativos a un 26,2% del agregado poblacional urbano y a un 12,6% del total nacional (Vivas, 2013; Viáfara, 2008). Tal y como lo analizan en detalle Barbary y Urrea (2004), Cali se consolidó como el principal epicentro receptor de la población afrocolombiana proveniente del Pacífico chocoano, caucano y nariñense.
Uno de los rasgos de Cali es su marcada estratificación de la población, de acuerdo con los niveles de ingreso y la calidad de las viviendas. Tal y como sucede con la mayoría de las ciudades de América Latina, esta disposición de la población en el espacio urbano revela información pertinente sobre la prevalencia de arreglos sociales, segregados por condición socioeconómica y por etnia, que aparecen “mezclados”, por lo que resulta difícil separar el componente estrictamente socioeconómico de la segregación del componente étnico. En este artículo se utiliza el índice de concentración de población afrodescendiente, el cual muestra una distribución de valores relativamente altos hacia la zona oriental de la ciudad (figuras 6 y 7).
El modelo considera, de manera adicional, variables de usos del suelo a partir de la información sobre la distribución porcentual de los predios residenciales, comerciales e industriales.
3.2. Modelos
El modelo de MCO toma la forma de la ecuación 5, con pa-rámetros constantes en todo el espacio geográfico, y asume en principio los supuestos clásicos en el comportamiento del término estocástico de error, Ui.
En los regresores, aparece el índice de accesibilidad potencial del tipo Hansen (Acc), un vector de usos del suelo comercial, residencial e industrial (S), el coeficiente de segregación (QL), la densidad poblacional (D) y un vector de variables de control (C).
3.2.1. Endogeneidad
Tal y como se anotó antes, el modelo clásico de regresión asume valoración marginal constante en el espacio y presenta problemas de endogeneidad, además de que no considera la correlación espacial.
La endogeneidad se explica con base en el índice de segregación (QL), que presenta covarianza no nula con el término de error. El contraste de Ramsey de especificación muestra que, en efecto, se rechaza la hipótesis nula de exogeneidad, lo que obliga a pensar en alguna estrategia.
Diversos trabajos han intentado formular vías de solución, para superar esta dificultad inherente a las regresiones hedónicas, cuando se consideran variables de estratificación o de composición étnica de los barrios. Kiel y Zabel (1996) anotan que encontrar instrumentos adecuados para considerar los efectos de vecindad no es una tarea fácil y, cuando se cuenta con microdatos, la estrategia de utilizar valores agregados no soluciona por completo el problema. La coexistencia de la estratificación y segregación étnica genera efectos de espejo, en el sentido que le confiere Manski (1993), y lleva a problemas serios de identificación. Para Zabel (2008) y Bayer y McMillan (2008), la solución, cuando se cuente con microdatos, que no es el caso de este estudio, implica tener información repetida de transacciones para las mismas unidades. Sin embargo, es posible que persista la endogeneidad si hay efectos de tipping point no identificados.
A partir de estas consideraciones, evidentemente, existe sorting socioeconómico en la composición étnica de las vecindades en Cali, tal y como se pudo apreciar en la descripción de las variables e indicadores; el coeficiente QL no es exógeno, por tal razón, se optó por realizar estimaciones en dos etapas, tomando variables instrumentales.
Así, teniendo en cuenta que Pi = ƒ(Acci,D,QLi,Si,Cci) + Ui y bajo Cov(QL,U)≠0 (estimadores inconsistentes), se propone, en una primera etapa, modelar QL en función de las distancias inversas a los centros y subcentros de empleo: QLi = ƒ(Inv_disio, Inv_disi1,Inv_disi2; Z) + єi , con el vector Z indican-do el conjunto de factores exógenos del modelo Z = (Acc,D,S) y el vector de instrumentos I = (Inv_disio,Inv_disi1,Inv_disi2).
Este intento de solución adapta las sugerencias de Kim y Jin (2019), quienes utilizan las distancias a las autopistas, troncales y pretroncales, también las distancias a los subcentros de empleo, como variables instrumentales en su modelo de precios de las viviendas para Chicago. Bayer y McMillan (2008) sugirieron utilizar distancias a los distritos escolares más próximos, en el caso de Estados Unidos, o modelar con efectos fijos de frontera, bajo la consideración de alta segregación por raza.
En el caso particular de Cali, las distancias a las centralidades tienen una relación significativa con el coeficiente QL, debido al arreglo social segregado que predomina en la ciudad, cumpliendo así la condición de relevancia del instrumento. Las fronteras que delimitan la localización de los barrios con coeficientes cercanos y superiores a 1 en QL (concentración de población afrodescendiente) de alguna forma quedan captadas a través de las distancias a las centralidades.
En este orden de ideas, la segunda etapa de la estimación toma la siguiente forma Pi = ƒ(QLi,Z,Cci) + vi (con Z el vector de variables consideradas previamente y v el término estocástico de error del modelo).
Una vez realizada la estimación de dos etapas, se pudo contrastar satisfactoriamente la identificación del modelo con instrumentos (underidentification test de Anderson), además de la hipótesis de que los instrumentos son válidos, Cov(I,u) = 0, y correctamente excluidos de la ecuación estimada (Sargan statistic). El contraste de identificación débil también resultó satisfactorio (tabla 2).
3.2.2. Modelos espaciales de interacción
Debido a la presencia de patrones de segregación residencial y variables de barrio no observables, los modelos de precios del suelo presentan correlación espacial, que de no considerarse puede implicar serios problemas de endogeneidad y dependencia espacial conjuntas (Kim y Jin, 2019).
En la línea de lo señalado por Elhorst (2014), los enfoques de regresión espacial utilizados con frecuencia se han centrado en los modelos autorregresivos (SAR) y los de error espacial, que presentan limitaciones para el estudio de los efectos de interacción. Por tales razones, autores como Halleck y Elhorst (2015) y Elhorst (2014) sugieren estimar modelos espaciales de Durbin (SDM, por sus siglas en inglés) y de error espacial de Durbin (SDEM, por sus siglas en inglés), con el propósito de extender y analizar los efectos directos e indirectos (Kelejian y Prucha, 1998; LeSage y Peace, 2009), que se aprecian con especificaciones de mayor riqueza en el modelamiento de las interacciones.
Ahora bien, debido a que los spillovers son sensibles a las especificaciones de las matrices de pesos espaciales, estos autores invitan a utilizar protocolos de contrastación con mayor rigor econométrico, que permitan estudiar la estabilidad de los efectos de interacción cuando se introducen matrices de contacto (W) diferentes. Precisamente, Halleck y Elhorst (2015) analizan los efectos que se desprenden de estos ejercicios a través de los modelos de rezago espacial en el vector de variables exógenas (SLX), y concluyen que efectivamente existe tal sensibilidad en la estimación de los spillovers y que, en rigor, sería necesario parametrizar las matrices W.
En este artículo se estiman varios de estos modelos espaciales y se exploran las magnitudes de los efectos de interacción (directos e indirectos). Sin embargo, no se realizan ejercicios de parametrización de las matrices de pesos, lo cual supera los propósitos ya trazados, pero podría ser objeto de futuras investigaciones.
Además del modelo de MCO y los ajustes y diagnósticos con variables instrumentales, se estimaron cinco modelos de regresión espacial siguiendo las sugerencias de Elhorst (2014) (tabla 1). El modelo menos restringido en ese caso considera las interacciones de las variables endógenas y el término de error SDEM, tal y como se puede apreciar en la tabla 1 de especificación de los modelos y los efectos directos e indirectos (Elhosrst, 2014; LeSage y Pace, 2009).
Tabla 1 Especificaciones econométricas de los modelos espaciales
| SLX: Spatial lag of X model Efectos directos: βk Efectos indirectos (spillovers): Ѳk | (6a) | |
| SAC: Spatial autoregressive combined model Efectos directos: βk (I-ρW)-1 (diagonal principal) Efectos indirectos (spillovers): βk (I-ρW)-1 (por fuera de la diagonal) | (6b) | |
| SDM(1): Spatial Durbin model Efectos directos: (βk +WΘk)(I-ρW)-1(diagonal principal) Efectos indirectos (spillovers) (por fuera de la diagonal) | (6c) | |
| SDM(2): Spatial Durbin model Efectos directos: (βk+WΘk)(I-ρW)-1 (diagonal principal) Efectos indirectos (spillovers) (por fuera de la diagonal) | (6d) | |
| SDEM: Spatial Durbin error model Efectos directos: Efectos directos: βk Efectos indirectos (spillovers): Θk | (6e) |
Fuente: elaboración propia.
3.2.3. Regresión local
Para contrastar la variabilidad espacial de los parámetros en la ciudad, este estudio también específica y estima un modelo de regresión local con ponderaciones geográficas. Esta técnica fue propuesta primero por Brunsdon, Fotheringham y Charlton (1996), Fotheringham, Charlton y Brunsdon (1998) y Fotheringham, Brunsdon y Charlton (2000, 2002). El propósito de esta formulación es poder estudiar la variabilidad espacial de las relaciones de precios en el espacio urbano. Los modelos locales cubren un total de 326 barrios y utiliza coordenadas cartesianas (xi, yi), a partir de los centroides.
En las especificaciones GWR, cada uno de los parámetros φki(x,y) aproxima la relación con la variable de respuesta alrededor de la localización (xi, yi), que resulta propia de esa ubicación, captando así la heterogeneidad espacial en la intensidad de las relaciones (ecuación 7).
Se espera que Acc afecte de manera positiva los precios del suelo, de tal manera que aquellas localizaciones cercanas a las centralidades de empleo y de servicios presenten precios del m2 mayores y las zonas lejanas, precios menores. También se espera una relación positiva con las proporciones de usos comerciales, aunque con gran variabilidad espacial. En lo que atañe al índice de localización de población afrodescendiente (que corresponde a las estimaciones con variables instrumentales), se espera un valor global negativo, que denota menores precios del suelo en aquellas zonas con mayor concentración de esta población.
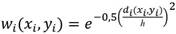
En el caso particular del modelo GWR, la estructura de ponderaciones geográficas, contenida en la matriz de pesos espaciales, se calibra en este caso mediante un kernel estocástico Gaussiano (ecuación 8), en el que cada peso del i-ésimo polígono con distancia euclidiana desde el centroide (xi, yi) y con un ancho de banda h (bandwidth) toma la siguiente forma:
El estimador de este modelo GWR para el vector de regresores R y la matriz de pesos W en la variable de respuesta P se expresa en la ecuación 9.
El valor óptimo del ancho de banda finalmente escogido tiene en cuenta en este caso el criterio de información Akaike, AICc (valor más bajo) para la estimación paramétrica, mediante un conjunto de coeficientes que varía en el espacio geográfico de la ciudad. Así, la intensidad del efecto de los predictores sobre la variable de respuesta puede ser mapeada. Sin duda, es preciso anotar que entre los resultados se pueden reafirmar las relaciones bivariadas, postuladas en algunas localizaciones, mientras que en otras la significancia estadística de los estimadores y el grado de bondad del ajuste microlocal pueden ser muy bajos o no significativos.
4. Resultados
Los valores de los coeficientes y las estadísticas de selección de las regresiones de MCO (tabla 2) muestran que no es una buena estrategia de estimación, pero, a su vez, es preciso reconocer que constituye un buen punto de partida para identificar los problemas econométricos y sus posibles soluciones.
Tabla 2 Estimaciones econométricas
| Variables | MCO | MCO-VI(a) | SLX | SAC | SDM(1) | SDM(2) | SDEM | GWR | |||||||||
|---|---|---|---|---|---|---|---|---|---|---|---|---|---|---|---|---|---|
| Variable de respuesta Ln(P) | Coef | Sig. | Coef | Sig. | Coef | Sig. | Coef | Sig. | Coef | Sig. | Coef | Sig. | Coef | Sig. | Q1 | Mediana Q2 | Q3 |
| Intercepto | 13,1026 | *** | 13,0535 | *** | 12,6723 | *** | 2,2411 | ns | 7,0291 | *** | 7.250 | *** | 12,7412 | *** | 11,8586 | 12,4859 | 13,5429 |
| Coeficiente de variable QL | -0,2360 | *** | -0,1905 | ** | 0,1884 | * | -0,0968 | ns | -0,299 | ns | -0,284 | ** | -0,2313 | ** | -0,6253 | -0,3014 | 0,2830 |
| Coeficiente de la variable Acc | 0,0026 | *** | 0,0025 | ** | v0,0014 | ns | 0,0017 | ** | 0,0014 | ** | 0,0021 | * | 0,0017 | ns | -0,0037 | 0,0017 | 0,0063 |
| Uso comercial del suelo (%) | 0,0075 | *** | 0,0061 | ** | 0,0123 | *** | 0,0055 | *** | 0,0124 | *** | 0,0076 | *** | 0,0122 | *** | -0,0067 | 0,0149 | 0,0244 |
| Uso industrial (%) | -0,0098 | ns | -0,0040 | ns | 0,0149 | ns | -0,0066 | ns | 0,0152 | ns | -0,0064 | ns | 0,0129 | ns | -0,0378 | 0,0129 | 0,0169 |
| Uso residencial (%) | 0,0055 | *** | 0,0055 | *** | 0,0075 | *** | 0,0015 | *** | 0,0076 | ** | 0,0068 | ** | 0,0079 | ** | -0,0008 | 0,0099 | 0,0088 |
| Densidad poblacional | -0,0009 | *** | -0,0009 | *** | -0,0008 | *** | -0,0006 | *** | -0,0008 | *** | -0,0008 | *** | -0,0009 | *** | -0,0020 | -0,0009 | 0,0004 |
| Variables de control | |||||||||||||||||
| Áreas de Actividad (3 áreas) | No | Sí | No | No | No | No | No | ||||||||||
| Zonas de Tratamiento (3 áreas) | No | No | No | No | No | No | No | ||||||||||
| Piezas Urbanas (5 piezas) | No | No | No | No | No | No | No | Sí | Sí | Sí | |||||||
| Observaciones (N) | 326 | 326 | 326 | 326 | 326 | 326 | 326 | 326 | |||||||||
| W*QL | -0,4937 | ** | -0,4611 | ** | -0,4274 | *** | -0,5697 | ** | |||||||||
| W*Acc | 0,0046 | * | 0,0033 | ns | 0,0048 | * | |||||||||||
| Rho ::W*Ln(P) | 0,7982 | *** | 0,4333 | *** | 0,4265 | *** | |||||||||||
| Lambda ::W*Error | 0,4998 | ns | 0,4449 | *** | |||||||||||||
| Bondad del ajuste R2 | 45,3 | 47,1 | 0,4775 | 0,5168 | 0,6610 | ||||||||||||
| LM_LAG | *** | ||||||||||||||||
| LM_LAG Robusto | ns | ||||||||||||||||
| LM_ERR | *** | ||||||||||||||||
| LM_E RR Robusto | *** | ||||||||||||||||
| Akaike | 159,6 | 137,26 | 126,06 | 121,6 | 126,63 | 118,04 | |||||||||||
| Moran I (error) | 0,19 | *** | 0,05 | ns | |||||||||||||
| Sargan Statistic (overidentif) (b) | 5,7 (ns) | ||||||||||||||||
| Underidentif test (Anderson) (b) | 39,8*** | ||||||||||||||||
| Weak Identif (Cragg-Donald) (b) | 14,6 >10 |
Nota: Ln(P) logaritmo natural de los precios del suelo urbano en Cali. LM los multiplicadores de Lagrange Sig. Se refiere a los p-value: ns no sign; *** 1%; **5% y *10%. (a) Modelo con variables instrumentales para QL; (b) Estadísticos de prueba para evaluar endogeneidad (Stata-Ivreg2). Los modelos espaciales se estimaron en R (spatialreg package: https://github.com/r-spatial/spatialreg).
Fuente: elaboración propia.
Debido a la presencia de patrones sistemáticos de dependencia espacial en los residuos (índice de Moran de 0,36), es mejor estimar modelos de regresión espacial o local. Estas estrategias permiten superar en este caso los problemas que genera el modelo por MCO cuando existe dependencia espacial (matriz de varianzas y covarianzas no esféricas y varianza residual sesgada).
En principio, se especifican modelos espaciales con los regresores definidos previamente y se considera una matriz de contigüidad binaria de primer grado, la cual tiene en cuenta las fronteras comunes entre los 326 barrios. Los resultados para diferentes estructuras de interacciones que modelan la presencia y la magnitud de los efectos de spillovers sobre el espacio urbano de Cali se pueden apreciar en la tabla 2.
De acuerdo con el conjunto de resultados obtenido en los modelos de regresión espacial, las especificaciones SDEM y SDM1 son quizá las de mayor consistencia y las más informativas sobre el comportamiento de los precios del suelo en Cali. El Spatial autoregressive combined model o modelo de Cliff-Ord (SAC) considera los efectos simultáneos de interacción de la variable endógena y de los términos de error, aunque, debido a su especificación, es claro que se anida en los otros dos. En particular, el SDEM proporciona los spillovers locales y las magnitudes de los efectos directos e indirectos de cada una de las variables exógenas (tabla 1), las cuales resultaron estadísticamente significativas y con los impactos esperados.
Es preciso tener en cuenta que los modelos SDM1 y SDM2 implican que los efectos de las variables exógenas se extienden en toda la superficie urbana, independiente de la contigüidad espacial de los barrios (spillovers globales). En este caso, la presencia de altas (bajas) concentraciones de población afrodescendiente en un barrio extiende sus efectos diferenciados a todos los demás al valor promedio que indican los coeficientes estimados (fila W*QL en la tabla 2).
Las estimaciones de los efectos directos del modelo SLX no fueron significativas, pero los spillovers (efectos indirectos) de la variable étnica sí resultaron significativos y con un impacto relativamente alto, lo que indica que la concentración de problación afrodescendiente en algunos barrios afecta de manera negativa los precios de las demás unidades espaciales de la ciudad. Esta presencia de spillovers negativos se corroboró con las estimaciones de los modelos SDM2 y SDEM (tabla 2).
Los spillovers locales, que se pueden ver claramente en la especificación SDEM (Halleck y Elhorst, 2015), corresponden a las unidades barriales que presentan contigüidad física directa. Los valores de los coeficientes en la columna SDEM de la tabla 2 muestran la magnitud promedio, en este caso negativa, lo cual significa que la presencia de alta (baja) concentración de población afrodescendiente en el barrio j afecta de manera negativa (positiva) los precios del suelo urbano de los demás barrios que tienen contacto directo con j. Obsérvese que el efecto local es mayor en valores absolutos que el global e incluso que el estimado con el modelo SLX.
En términos generales, al comparar los anteriores resultados, los hallazgos son consistentes con la hipótesis inicialmente formulada en este artículo. Los valores globales de los coeficientes no difieren en gran magnitud, pero, teniendo en cuenta el propósito de este artículo, el modelo GWR resultó más adecuado a la hora de evaluar la variabilidad espacial de las relaciones y de los efectos que tienen los regresores sobre los precios del suelo.
Es preciso anotar que las corridas finales del modelo GWR utilizaron las estimaciones de la primera etapa de la variable endógena de segregación: QLi. Se trata de un modelo exploratorio-descriptivo que estima diferencias de 71,7% en los precios del eje longitudinal y los barrios de población afrodescendiente, diferencias que resultan mucho más ajustadas a las efectivamente observadas (73,9%).
Valga anotar que la contrastación del modelo global frente al modelo GWR mediante una prueba F muestra que, en efecto, mejora la estimación. El coeficiente de determinación fue de 66,1% y el contraste de Moran para los residuos muestra una correlación espacial de 0,08, sustancialmente inferior a la de MCO. Estos resultados exploratorios con el modelo GWR sugieren que no hay estacionariedad espacial en los precios del suelo. Los coeficientes de las variables consideradas resultaron significativos en las zonas esperadas. El coeficiente QL mantuvo su significancia en una proporción importante del espacio urbano con el signo esperado en los valores cuartílicos (tabla 2, figura 8).

Nota: distribución del coeficiente estimado para el índice de concentración de población afrodescendiente. Los polígonos remarcados corresponden a los barrios con valores superiores a 1 en el coeficiente QL. Los puntos oscuros indican la significancia estadística local del coeficiente. Fuente: elaboración propia
Figura 8 Coefientes GWR del índice de concentración de población afrodescendiente, QL
Las diferencias en la estructura de precios que se derivan del modelo sugieren la presencia de un orden social segregado y un premio de ciudad elevado para las familias que se localizan sobre el eje central norte-sur de la ciudad. Esto se refleja en los valores comerciales de los inmuebles y los arrendamientos, en donde se localiza la población de mejor condición social y económica, con una fuerte preferencia por la segregación (eje longitudinal de la ciudad) según el color de piel y las condiciones sociales. Al tomar las diferencias entre los cuartiles 1 y 3 en el coeficiente de la variable QL -ceteris paribus-, se estima un impacto diferencial sobre los precios del suelo con valores más bajos en un 27,2% en la zona oriente de la ciudad, respecto al agregado municipal. De acuerdo con la distribución local de este coeficiente, los efectos diferenciales sobre los precios del suelo varían en gran medida en todo el espacio geográfico. Llama también la atención el significativo y fuerte impacto sobre los precios que se observa en el nororiente de la ciudad.
Las zonas de ladera localizadas en la franja occidental también presentan valores altos de los coeficientes en las inmediaciones de la Comuna 18, en donde los barrios no presentan una alta composición de población afrodescendiente, pero sí se localiza población de estratos socioeconómicos bajos, incluyendo algunos sectores con asentamientos predominantemente informales.
La accesibilidad a los centros de empleo también resultó estadísticamente significativa en una gran proporción de barrios de la ciudad (figura 9). El estimador local de la variable de accesibilidad, ACC, muestra que al calcular los diferenciales de precios en los extremos de la distribución estos llegan a 22,1%. Las zonas con impactos marginales más altos de este índice, tal y como se esperaba, se localizan sobre el eje longitudinal y algunos polígonos de la franja occidental. En la zona oriente se estimaron impactos negativos sobre los precios (primer cuartil de la distribución del coeficiente), precisamente en el margen de la zona oriental en la que el coeficiente de concentración de población afrodescendiente llega a un valor medio relativamente alto de 1,65.

Nota: el cuadrante resaltado de la izquierda muestra los barrios con menor accesibilidad y concentración de población afrodescendiente (QL > 1). El mapa muestra la distribución de las estimaciones del coeficiente de accesibilidad. La escala de colores indica los efectos altos, medios y las zonas con impactos negativos sobre los precios del suelo urbano. Los puntos más oscuros muestran la significancia de las estimaciones locales. Fuente: elaboración propia
Figura 9 Coeficientes GWR del índice de Accesibilidad, Acc
En relación con los usos del suelo, los impactos diferenciales estimados entre los cuartiles 1 y 3 (coeficientes GWR) implican diferencias locales en los precios del m2 de 27,1% para los usos comerciales (tabla 2). Los mayores impactos se pudieron apreciar en la pieza sur de la ciudad, sobre todo en donde se vienen presentando en las últimas décadas cambios en los usos del suelo, de residenciales a comerciales, y en donde se aprecia un proceso de conurbación acelerado hacia el municipio de Jamundí. En cuanto a los usos industriales, tal y como se pudo apreciar en las otras especificaciones, la significancia local del coeficiente fue baja y solo en unas pocas zonas se confirmó su relación negativa con los valores del m2.
El grado de bondad del ajuste del modelo GWR, medido por el coeficiente de determinación local (Deviance en este caso), muestra que la relación propuesta entre la variable endógena y los regresores estuvo bien soportada en el interior del área urbana. La parte sistemática del modelo explica una proporción importante de la varianza de los precios en toda el área, de tal modo que en más de la mitad de los polígonos (barrios) los R2 fueron superiores a un 47%, y solo en un 17% de los polígonos fue inferior al 34% de explicación sistemática.
Por último, es preciso anotar que las estimaciones del modelo GWR permiten estilizar la relación entre los precios del suelo y la distancia a las zonas de centralidad, las cuales no son en sentido estricto monótonas, tal y como lo plantea el modelo canónico de la tradición urbano-regional. La relación no se mantiene en todo el espacio geográfico de la ciudad y al representar la superficie de precios con las variables de segregación y accesibilidad, controlando por las áreas de actividad del POT, se puede ver con claridad que los precios aumentan con la accesibilidad (sobre el eje longitudinal) y declinan a medida que la variable QL aumenta hacia la zona oriental (figura 10).
5. Conclusiones
Los resultados del apartado anterior sugieren varios puntos de reflexión sobre el modelo de ocupación del suelo observado en la ciudad de Cali. Estos resultados se podrían extender a muchas otras ciudades en las que prevalecen arreglos espaciales segregados y con deficiencias severas en la provisión de transporte público. En sintonía con los plan-teamientos de Scholl, Bouillon, Oviedo, Corsetto y Jansson (2016), acceder a la vivienda en las proximidades de los centros de empleo es indisociable del diseño de los sistemas de trans-porte masivo (Bus Rapid Transit, BRT), por tal razón, la accesibilidad implica un tratamiento integral de las políticas de usos del suelo, así como de los planes y diseños para facilitar el acceso a la vivienda social y al sistema de transporte.
Este trabajo planteó que los precios del suelo revelan información sustantiva que resulta crucial a la hora de entender la estructura urbana y los patrones de distribución intraurbana de la población alrededor de las principales aglomeraciones. Este es el caso del estudio realizado para Cali, en el que se estimaron modelos de ponderaciones geográficas, las cuales relajan el supuesto de homogeneidad espacial y consideran de manera explícita los patrones de segregación y un índice de accesibilidad como variables explicativas. Los hallazgos obtenidos aportan al conocimiento de estas relaciones en el caso particular de Cali, lo cual no resulta fácil de aplicar en muchas ciudades, debido a la ausencia de información fluida sobre los precios del suelo y la accesibilidad a los centros de empleo.
Los ejercicios econométricos propuestos permitieron constatar, una vez considerada la endogeneidad presente en el modelo inicial, que la prevalencia de la segregación y de las deficiencias en el transporte público, captadas mediante un índice de accesibilidad, afecta de manera negativa las posibilidades para el aprovechamiento de las oportunidades de empleo y el acceso a los equipamientos básicos que ofrece la ciudad. Además, los fuertes obstáculos para la adquisición de los bienes inmobiliarios en zonas diferentes a la periferia por parte de la población vulnerable afecta más a los grupos sociales con desventajas acumuladas y promueve la marginalización.
En el caso de Cali, los elevados precios del suelo sobre la franja longitudinal y otras zonas -además del redireccionamiento de la oferta de la vivienda de interés social (VIS) hacia los municipios circunvecinos (Jamundí, Candelaria, Yumbo, Palmira, Florida, Puerto Tejada) y las zonas rurales y periurbanas- promueven costos sociales y económicos suplementarios a segmentos poblacionales que tienen que afrontar mayores distancias y erogaciones en transporte. Tal y como lo señala el estudio del Banco de Desarrollo de América Latina (2017) (antes Corporación Andina de Fomento, CAF), los hogares de las zonas urbanas gastan en promedio hasta un 19% de sus ingresos mensuales en transporte, además de los costos no monetarios que implican los desplazamientos des-de las zonas lejanas hacia los centros y subcentros de empleo.
Las deficiencias de los sistemas de transporte masivo agravan esta situación y castigan a unos grupos sociales más que a otros, que no pueden acceder a modos diferentes al BRT y que reciben el embate de las externalidades negativas asociadas a su mal funcionamiento (Delmelle y Casas, 2012; Jaramillo, Lizárraga y Grindlay, 2012; Rodríguez et al., 2017).
Aunque en apariencia el BRT alcanzó una cobertura espacial aceptable, diversos estudios muestran que las bajas frecuencias de buses y los elevados tiempos de trasbordo restringen la oferta, entendida como la provisión de plazas en horas pico; esto afecta en gran medida a las zonas de mayor pobreza (Scholl et al., 2016).
Los resultados obtenidos en esta investigación sugieren que un modelo integral de planificación urbana exige articular de manera virtuosa los elementos críticos (usos del suelo y transporte). De no ser así, se agudizarían los efectos negativos de la segregación residencial y se afectaría en mayor proporción a la población vulnerable que se localiza en las zonas alejadas de las centralidades de empleo y de los servicios.
Para sopesar con éxito las dificultades que enfrentan los grupos poblacionales en desventaja es necesario adoptar un modelo de planificación urbana que integre los usos del suelo con el diseño de sistemas y tecnologías eficientes de transporte. Este es el desafío para las capitales departamentales y aquellos epicentros regionales y subregionales que configuran la red urbana de Colombia y que seguirán recibiendo la presión de demandas crecientes por sistemas de transporte y los usos (residenciales, comerciales, industriales y de servicios) del suelo.

































