Serviços Personalizados
Journal
Artigo
Indicadores
-
Citado por SciELO -
Acessos
Links relacionados
-
Citado por Google -
Similares em
SciELO -
Similares em Google
Compartilhar
Revista Colombiana de Reumatología
versão impressa ISSN 0121-8123
Rev.Colomb.Reumatol. vol.29 no.2 Bogotá abr./jun. 2022 Epub 21-Fev-2023
https://doi.org/10.1016/j.rcreu.2021.01.009
Investigación original
Resultados de gestión en una cohorte de pacientes con artritis reumatoide en una institución de atención integral especializada en Colombia
a Medicina Integral IPS S.A., Barranquilla, Colombia
b GSA Salud, Ciencia y Tecnología SAS, Bogotá, Colombia
Objetivo:
Conocer los resultados de gestión en una cohorte de pacientes con artritis reumatoide en una institución de atención integral especializada en esta enfermedad en Colombia.
Materiales y métodos:
Estudio descriptivo de corte transversal, a partir de una cohorte de pacientes de artritis reumatoide, según criterios ACR/EULAR 2010. La información se analizó con base en los datos consolidados de historia clínica y reportes nacionales en el periodo 2015-2018. Se tuvieron en cuenta los registros administrativos relacionados con autorizaciones y prescripciones de medicamentos. Se evaluaron variables sociodemográficas, indicadores de resultado relacionados con el estado de actividad de la enfermedad y porcentaje de uso de medicamentos.
Resultados:
A 30 de junio de 2018, se identificaron 698 pacientes, de los cuales el 83,8% correspondió a sexo femenino; el promedio general de edad fue de 55,47 años y el grupo de edad de 60 a 64 años concentró el mayor número de casos. El 68,3% se ubicó entre remisión y actividad baja de la enfermedad. El 73,1% se encontró manejado con fármacos antirreumáticos modificadores de enfermedad convencionales y se registró una reducción de uso de terapia biológica desde el 27,2% en 2016 al 17,8% al final del periodo.
Conclusiones:
Este estudio presenta los resultados de gestión de un modelo de atención integral para pacientes con artritis reumatoide en Colombia, que logró mantener la mayor proporción de pacientes en actividad baja y remisión a medida que estos contaban con mayor tiempo de seguimiento, también logró disminuir el porcentaje de uso de FARME biológicos y establecer los FARME convencionales como la principal alternativa terapéutica.
Palabras clave: Artritis reumatoide Antirreumáticos Programas de salud Evaluación de resultados
Objective:
To determine the management results in a cohort of patients with rheumatoid arthritis in a specialized integral healthcare institution for this disease in Colombia.
Materials and methods:
Descriptive cross-sectional study based on a cohort of rheumatoid arthritis patients according to ACR/EULAR 2010 criteria. The information was analysed based on consolidated data from clinical records and national reports in the period 2015-2018. Administrative records related to medication authorizations and prescriptions were considered. Sociodemographic variables, outcome indicators related to disease activity status and medication use percentage were evaluated.
Results:
As of June 30th 2018, 698 patients were identified, of which the female sex represented 83.8%, the general average age was 55.47 years, and the highest number of cases were in the 60-64 year age group. Of the patients, 68.3% were between remission and low disease activity. Seventy-three point one percent were managed with conventional disease-modifying antirheumatic drugs and a reduction in the use of biological therapy was recorded from 27.2% in 2016 to 17.8% at the end of the period.
Conclusions:
This study presents the management results of a comprehensive care model for patients with rheumatoid arthritis in Colombia, which managed to maintain the highest proportion of patients in low activity and remission as they had a longer follow-up time, to decrease the percentage of biological DMARDs use, and establish conventional DMARDs as the main therapeutic alternative.
Keywords: Rheumatoid arthritis; Antirheumatic agents; Healthcare programmes; Outcome assessment
Introducción
La artritis reumatoide (AR) es una enfermedad crónica y auto-inmune caracterizada por dolor, inflamación y afectación de la membrana sinovial. Aunque su etiología es desconocida, se han relacionado posibles factores ambientales, endocrinos y genéticos asociados con su inicio, desarrollo y progresión1,2. Puede estar acompañada de manifestaciones cardiovasculares, pulmonares, óseas, dermatológicas y psicológicas, que pueden conllevar discapacidad y, por consiguiente, generar un impacto negativo sobre la productividad laboral del individuo, su función social y su calidad de vida3-5.
En países desarrollados se ha registrado una prevalencia de AR que se sitúa entre el 0,5 de Norteamérica y el 1,1% del norte de Europa6, mientras que en Latinoamérica se encuentran registros que se ubican entre el 0,4 y el 1,6%2. En el caso colombiano, se han realizado diversos estudios epidemiológicos que señalan una prevalencia general de entre el 0,52 y el 0,9%. Las mujeres son las que tienen mayor proporción de casos registrados y los adultos mayores de 40 años son el grupo de edad más afectado. Lo anterior plantea un problema de salud pública frente a las perspectivas de cronicidad de la enfermedad y envejecimiento poblacional2-4.
El avance científico y el conocimiento de los factores fisiopatológicos de la enfermedad han llevado a desarrollar nuevas tecnologías que han reducido de forma importante la morbilidad, la mortalidad prematura, la discapacidad y las comorbilidades asociadas; sin embargo, también traen consigo un aumento de los costos directos de la atención médica, principalmente asociados con el uso de nuevos medicamentos en un ámbito de cronicidad de la enfermedad5,7.
Las anteriores consideraciones plantean un contexto para los diferentes actores de los sistemas de salud en el que se hace necesario realizar de forma articulada un diagnóstico temprano, un tratamiento oportuno y un seguimiento continuo, con el fin de reducir el proceso inflamatorio y retrasar la progresión de la enfermedad y sus respectivas implicaciones funcionales1,8,9. En este escenario, un enfoque de atención integral cobra importancia en la medida en que se promueva el uso racional de tecnologías de acuerdo con la evidencia científica, la adherencia al tratamiento y el control de la enfermedad10,11. Sin embargo, la información sobre resultados de gestión en programas de atención, consumo de medicamentos y desempeño de indicadores de conformidad con la población atendida aún es escasa, por lo tanto, el objetivo de este estudio es conocer los resultados de gestión en una cohorte de pacientes con AR en una institución de atención integral especializada en esta enfermedad en Colombia.
Materiales y métodos
Se llevó a cabo un estudio descriptivo de corte transversal, a partir de una cohorte de pacientes con diagnóstico de AR, en una clínica de atención integral para la enfermedad con presencia en 6 ciudades colombianas. Estos pacientes fueron incluidos, tratados y seguidos dentro de un modelo de atención integral estándar para pacientes con AR que incluyó atenciones periódicas de reumatología, medicina interna, medicina general con capacitación en la AR, enfermería y psicología, todos liderados por un médico especialista en reumatología, además de apoyos diagnósticos (laboratorio clínico e imagenología) y medicamentos, de conformidad con las recomendaciones nacionales de la guía de práctica clínica para la detección temprana, el diagnóstico y el tratamiento de la AR10.
La información se analizó con base en los datos consolidados por el prestador entre el 2015 y el 2018 para el reporte a la cuenta de alto costo (CAC) de AR, con corte a 30 de junio de cada año, de conformidad con lo establecido en la normativa vigente12. Estos registros se construyeron a partir de información disponible en la historia clínica y se tuvieron en cuenta diagnósticos relacionados con los códigos J990, M051, M052, M053, M058, M059, M060, M062, M063, M068 y M069 de la Clasificación Internacional de Enfermedades, 10.a versión (CIE-10) (13 y el cumplimiento de los criterios ACR/EULAR 201014. No se incluyó a pacientes con diagnóstico de AR juvenil ni otras enfermedades musculoesqueléticas. De igual forma, se tuvieron en cuenta los registros de prescripciones de fármacos antirreumáticos modificadores de enfermedad (FARME), tanto sintéticos convencionales como biológicos, así como los registros de autorizaciones de este tipo de medicamentos con las respectivas aseguradoras con contrato vigente. La construcción de la base de datos se realizó en cada periodo anual, a partir de los sistemas de información de historia clínica del prestador de servicios, para lo cual un equipo de profesionales y técnicos en salud hicieron la verificación de cada caso, a fin de garantizar la calidad de la información objeto de auditoría por parte de la CAC.
Se analizaron variables sociodemográficas como sexo, ciudad de prestación de servicio, grupo de edad, tipo de tratamiento farmacológico y tiempo de seguimiento. De la misma manera, se evaluaron indicadores de resultado relacionados con el estado de actividad actual de la enfermedad medido con DAS28 en cada periodo anual, así como el porcentaje de uso de medicamentos y actividad de la enfermedad por tipo de FARME.
El procesamiento general de los datos se hizo en Microsoft Excel® para estadísticos descriptivos como frecuencias y medidas de tendencia central. Se llevaron a cabo evaluaciones de normalidad, comparaciones de proporciones con el estadístico x 2 y de promedios de edad mediante la distribución t de Student en el software IBM SPSS 22 ®. Esta evaluación se consideró sin riesgo, dado que se hizo con base en registros de historia clínica, no se efectuó ninguna intervención en las variables biológicas, fisiológicas o sociales de los individuos y se conservó estrictamente la confidencialidad de la información. Así mismo, se llevó a cabo siguiendo las normas colombianas e internacionales en materia de investigación en salud15,16 y fue aprobada por el Comité de Ética e Investigación de la institución prestadora de servicios de salud en la que se hizo el estudio (código de aprobación: MI-CEI-2019-01).
Resultados
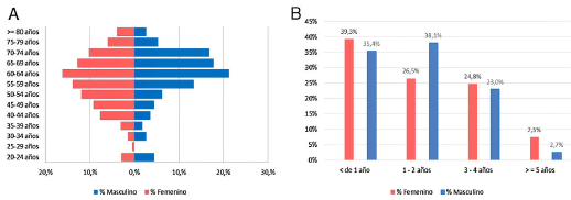
Con corte a 30 de junio del 2018 se identificó a 698 individuos con diagnóstico de AR a escala nacional, de los cuales el sexo femenino representó el 83,8%, para una razón mujer: hombre de 5,2:1. El promedio (desviación estándar) de edad general de la población fue de 55,47 años (12,75), que resultó mayor para los hombres: 57,92 años (12,01) p<0,05). El grupo de edad que registró una mayor concentración de casos fue el de 60-64 años (17%), en tanto que las ciudades con mayor registro de casos fueron Manizales (37,8%), Barranquilla (25,4%) y Bucaramanga (15,3%). Con respecto al manejo terapéutico, el 73,1% se manejó con FARME convencionales, mientras que en el 17,8% se empleó terapia biológica. En cuanto al tiempo de seguimiento en la cohorte, la mayoría de los pacientes presentaba una captación reciente: el 38,7% ingresó durante el último año previo a la fecha de corte, mientras que un 28,4% contaba con seguimiento en el programa de atención de entre uno y 2 años. Los detalles de estos datos se presentan en la tabla 1 y en la figura 1.

Figura 1 Distribución de la población por grupo de edad (A) y tiempo de seguimiento en la institución prestadora de salud (B).
Como parte de los resultados de gestión, fue posible poner en evidencia durante el último periodo, en cuanto al estado de actividad actual de la enfermedad a escala nacional, que la mayor proporción de individuos se ubicó entre remisión y actividad baja (68,3%), mientras que esta proporción en las ciudades con mayor número de casos, como Manizales, Barranquilla y Bucaramanga, fue del 66,7%; 73,4% y 57,9%, respectivamente. Con respecto a la relación entre el tiempo de seguimiento y la actividad de la enfermedad, se observó que a medida que los pacientes eran más antiguos en el modelo de atención, se registraba una mayor proporción de actividad baja y remisión: del 80,9% entre aquellos con más de 5 años en el programa, del 74,9% entre 3 y 4 años y del 73,2% entre uno y 2 años. Estos datos se pueden apreciar en la figura 2.

Figura 2 Indicadores de resultado de gestión de la cohorte de artritis reumatoide 2016-2018. bFARME: fármacos modificadores de la enfermedad biológicos.
En cuanto al uso de medicamentos, a escala nacional se pudo determinar una reducción en el porcentaje de FARME biológicos en los últimos 3 años, que había pasado del 27,2% en el 2016 al 17,8% en el 2018, con un comportamiento similar para cada una de las ciudades. De igual forma y por tiempo de seguimiento para estos pacientes, se observó una reducción de uso de este tipo de fármacos tanto entre los individuos más antiguos, que había pasado del 38,9% en el 2017 al 23,4% en el 2018 en aquellos con más de 5 años en el programa, como en los que se captaron en el último año a la fecha de corte, en los que se pasó del 22% en 2017 al 12,6% en 2018 (fig. 2). De otro lado, los FARME convencionales con mayor proporción de uso en la cohorte son leflunomida y metotrexato; el primero ha experimentado un aumento como terapia de elección (ha pasó del 31,3% en el 2015 al 48,7% en el 2018), mientras que el segundo pasó del 55,7% al 46,8% (tabla 2).
Con respecto a la relación entre el tipo de medicamento y la actividad de la enfermedad, fue posible advertir que los FARME convencionales se establecen como la principal alternativa terapéutica en cada uno de los grupos y que son los pacientes en remisión y actividad baja los que mayor número de individuos y proporción de uso registran: 260 (72,6%) y 89 (74,8%), respectivamente, mientras que del total de pacientes con FARME biológicos el 71% presenta actividad baja y remisión (tabla 3).
Discusión
El reporte anual de AR a la CAC ha contribuido al mejoramiento de la disponibilidad de información de la enfermedad durante los últimos años, esto en atención a que se ha establecido como una condición de interés para el país, debido a los costos directos generados como consecuencia del uso de terapia farmacológica, servicios de apoyo y atención de las complicaciones asociadas. Esta iniciativa ha permitido que cada uno de los actores del sistema de salud haga esfuerzos importantes con respecto a la adherencia a las guías de manejo terapéutico de los pacientes, la consignación de datos en la historia clínica, el reporte y el mejoramiento continuo de la calidad de los datos10,12,17.
En términos de población, los resultados del presente trabajo fueron concordantes con estudios nacionales que muestran un predominio del sexo femenino, con una relación mujer: hombre de entre 6:1 y 4:11-4. En cuanto al promedio de edad, solamente los estudios de Machado-Alba et al. y Bautista-Molano et al. registraron valores de 53,2 y 58 años, respectivamente; el primero desarrollado en 5 ciudades y el segundo concentrado en una única ciudad1,3. Con respecto a grupos de edad, los resultados también coincidieron con lo puesto de manifiesto por la CAC para el 2018 y por otros estudios nacionales previos, que ubican al grupo de entre 50 y 64 años como el que mayor proporción de casos concentra1,4,17.
Con referencia a la gestión de resultados del programa de atención en estos pacientes, de conformidad con mediciones estandarizadas de la CAC y del Ministerio de Salud y Protección Social18, este estudio logró poner en evidencia que la proporción de pacientes con AR que lograron remisión de la enfermedad y obtuvieron baja actividad (medida por DAS28 en los últimos 6 meses), de forma general, fue superior (51,3% y 17%, respectivamente) a los resultados generales de país para el mismo año (8,6% y 2,2%) y a la meta nacional (20% y 40%)17. Este mismo comportamiento fue posible observarlo para cada una de las ciudades en que opera la institución especializada, de las que se destacan Montería (62,2% y 13,5%), Valledupar (57,6% y 18,2%) y Barranquilla (56,5% y 16,9%). De igual forma, en el presente trabajo se halló que los pacientes que contaron con un seguimiento superior a un año registraron una proporción mayor de remisión y actividad baja (entre 51,1% y 57,1%, y entre 16,2% y 29,8%, respectivamente), lo cual refleja de forma general los resultados del programa en términos de procesos de atención, terapia adecuada y seguimiento, una vez que los individuos completaron el tiempo mínimo entre el inicio del tratamiento y el logro de los objetivos, así como el cumplimiento de las condiciones de continuidad y adherencia al modelo de atención.
En relación con el manejo terapéutico, los resultados del estudio muestran una proporción de uso de FARME sintéticos (73,1%) inferior a la reportada por la CAC a escala nacional para el mismo año (79,4%), mientras que el uso de FARME biológicos fue superior (17,8%) a lo reportado por el ente nacional (4,7%)17. Sin embargo, al analizar el tiempo de seguimiento en quienes usan FARME biológicos, se observó en los 2 últimos años que más de la mitad de los pacientes (74,4% en el 2017 y 50,3% en el 2018) llevaba más de 2 años en el programa de atención. Estos resultados fueron concordantes con los hallazgos de Bautista-Molano et al., quienes registraron un porcentaje de uso de FARME sintéticos y biológicos en monoterapia y combinados que se ubicó en el 74,8% y el 20,9%, respectivamente1. Puesto que ambos estudios provienen de instituciones especializadas en la atención de la AR, es probable que los pacientes hayan ingresado con altos criterios de gravedad o con tratamientos de última generación instaurados, como consecuencia de un abordaje terapéutico que no ha seguido las recomendaciones de la evidencia científica en los primeros niveles de atención; no obstante, este aspecto se convierte en un tema de interés para futuras investigaciones10.
De otro lado, fue posible evidenciar, en términos de actividad de la enfermedad medida por DAS 28, que en el año 2018 la mitad de los pacientes se encontraba con FARME sintéticos y que, con independencia del tipo de FARME empleado, la proporción de pacientes que lograron o se mantuvieron en remisión y actividad baja fue de 64,9% a 71%, lo cual se considera un logro del programa al comparar la proporción de uso de FARME sintéticos y biológicos en años previos. Al momento de este análisis no se identificaron estudios similares que evaluaran este aspecto.
El uso de la terapia farmacológica es motivo de preocupación, dado que representa hasta el 86% de los costos de atención de la AR y puede aumentar hasta 40 veces con el uso de FARME biológicos5. Este tipo de medicamentos se han considerado la terapia sucesiva a los FARME convencionales cuando estos no consiguen una respuesta terapéutica de control de los síntomas y de progresión de la enfermedad, por lo tanto, un especialista experto y adherente a las recomendaciones de la evidencia científica que evalúe tanto las características clínicas del desarrollo de la enfermedad como las del individuo es clave en la indicación de estas terapias. También lo es cuando considere disminuir las dosis manteniendo el equilibrio entre eficacia y seguridad, o suspender la medicación cuando determine como inapropiado su uso10,19-21.
El curso crónico y progresivo de la enfermedad, así como el avance en el desarrollo de nuevas tecnologías cada vez más costosas, en un contexto de recursos finitos y necesidad de mantener la sostenibilidad financiera de los sistemas de salud, hacen que la gestión de resultados en este tipo de pacientes sea clave frente al diagnóstico temprano, el acceso oportuno a la consulta con un reumatólogo, la evaluación de las comorbilidades, la pertinencia y la adherencia al tratamiento, y la identificación de potenciales oportunidades de mejora, con el fin de prevenir el daño estructural, las complicaciones asociadas y mejorar la calidad de vida de los individuos con la enfermedad.
En conclusión, este estudio se constituye en una aproximación para evaluar los resultados en una población con AR en una institución especializada en Colombia, en el que ha sido posible presentar una experiencia mediante la gestión de un modelo de atención integral. Dicho modelo se basa en el seguimiento por parte de un equipo interdisciplinar y se alinea con las recomendaciones de la evidencia científica respecto a las estrategias de abordaje terapéutico y de rehabilitación. De esta manera, se logró mantener la mayor proporción de pacientes en actividad baja y remisión a medida que contaban con mayor tiempo de seguimiento, además de disminuir el porcentaje de uso de FARME biológicos y, por ende, establecer los FARME convencionales como la principal alternativa terapéutica, principalmente en los pacientes en actividad baja y remisión. Por tanto, será de utilidad en la comparación de resultados y como línea de base para el planteamiento de nuevos estudios en el ámbito de la atención de la enfermedad.
Es importante señalar que este trabajo se desarrolló con población captada en una única institución de atención integral, concentrada en grandes ciudades y afiliada a una sola aseguradora, principalmente del régimen contributivo, por lo que los hallazgos deben considerarse dentro de ese contexto. En segundo lugar, cabe resaltar que la información analizada forma parte de los reportes obligatorios a la CAC y no fue diseñada con fines académicos ni de investigación en salud.
REFERENCIAS
1. Bautista-Molano W,Fernández-Ávila D, Jiménez R, Cardozo R, Marín A, Soler M, et al. Perfil epidemiológico de pacientes colombianos con artritis reumatoide evaluados en una clínica especializada de atención integral. Reumatol Clin. 2016;12:313-8. [ Links ]
2. Fernández-Ávila DG, Rincón-Riañío DN, Bernal-Macías S, Gutiérrez Dávila JM, Rosselli D. Prevalencia de la artritis reumatoide en Colombia según información del Sistema Integral de Información de la Protección Social. Rev Colomb Reumatol. 2019;26:83-7, http://dx.doi.org/10.1016/j.rcreu.2019.01.003. [ Links ]
3. Machado-Alba JE, Ruiz AF, Morales DAM. The epidemiology of rheumatoid arthritis in a cohort of Colombian patients. Rev Colomb Reumatol . 2015;22:148-52, http://dx.doi.org/10.10167j.rcreu.2015.05.006. [ Links ]
4. Díaz-Rojas JA, Dávila-Ramírez FA, Quintana-López G, Aristizábal-Gutiérrez F, Brown P. Prevalencia de artritis reumatoide en Colombia: una aproximación basada en la carga de la enfermedad durante el ano 2005. Rev Colomb Reumatol . 2016;23:11-6, http://dx.doi.org/10.1016/j.rcreu.2015.12.004. [ Links ]
5. Mora C, Díaz-Rojas JA, Gerardo Q. Costos directos de la artritis reumatoide temprana en el primer ano de atención: simulación de tres situaciones clínicas en un hospital universitario de tercer nivel en Colombia. Biomédica. 2009;29:43-50 [Accessed 9 August 2019]. Available from: Available from: http://www.scielo.org.co/scielo.php?script=sci_arttext&pid= S0120-41572009000100007&lang=pt [ Links ]
6. Tobón GJ, Youinou P, Saraux A. The environment, geo-epidemiology, and autoimmune disease: rheumatoid arthritis. J Autoimmun. 2010;35:10-4, http://dx.doi.org/10.1016/j.autrev.2009.11.019. [ Links ]
7. National Institute for Health and Care Excellence. Rheumatoid arthritis in adults: management (NG100). NICE guidelines. 2018. [Accessed 23 August 2019]. p. 1-32. Available from: Available from: https://www.nice.org.uk/guidance/ng100/resources/ rheumatoid-arthritis-in-adults-management-pdf-66141531233989 . [ Links ]
8. Finckh A, Liang MH, Van Herckenrode CM, de Pablo P. Long-term impact of early treatment on radiographic progression in rheumatoid arthritis: a meta-analysis. Arthritis Care Res. 2006;55:864-72, http://dx.doi.org/10.1002/art.22353. [ Links ]
9. Marion CE, Balfe LM. Potential advantages of interprofessional care in rheumatoid arthritis. J Manag Care Pharm. 2011;17 9 Suppl B:25-9, http://dx.doi.org/10.18553/jmcp.2011.17.s9-b.S25. [ Links ]
10. Ministerio de Salud y Protección Social [Accessed 23 August 2019]. Available from: Guía de práctica clínica para la detección temprana, diagnóstico y tratamiento de la artritis reumatoide. Bogotá: Ministerio de Salud y Protección Social; 2014 Available from: Guía de práctica clínica para la detección temprana, diagnóstico y tratamiento de la artritis reumatoide. Bogotá: Ministerio de Salud y Protección Social; 2014 http://gpc.minsalud.gov.co/gpc_sites/Repositorio/Conv363/GPC_art_reumatoide/G%0APC _AR_COMPLETA.pdf [ Links ]
11. Tornero Molina J, Sanmartí Sala R, Rodríguez Valverde V, Martín Mola E, Marenco de la Fuente JL, González Álvaro I, et al. Actualización del Documento de Consenso de la Sociedad Españíola de Reumatología sobre el uso de terapias biológicas en la artritis reumatoide. Reumatol Clin. 2010;6:23-36, http://dx.doi.org/10.1016/j.reuma.2009.10.006. [ Links ]
12. Ministerio de Salud y Protección Social. Resolución 1393 de 2015, Por la cual se establece el reporte para el registro de pacientes con Artritis Reumatoide a la Cuenta de Alto Costo. Bogotá: Ministerio de Salud y Protección Social ; 2015. [ Links ]
13. World Health Organization. International Classification of Diseases (ICD). 2011 [Accessed 30 August 2019]. Available from: Available from: http://www.who.int/classifications/icd/en/ . [ Links ]
14 Neogi T, Aletaha D, Silman AJ, Naden RL, Felson DT The 2010 American College of Rheumatology/European League Against Rheumatism classification criteria for rheumatoid arthritis: phase II methodological report. Ann Rheum Dis. 2010;62:2582-91, http://dx.doi.org/10.1002/art.27580. [ Links ]
15. Ministerio de Salud. Resolución 8430 de 1993 - Por la cual se establecen las normas científicas, técnicas y administrativas para la investigación en salud. Bogotá: Ministerio de Salud; 1993. [ Links ]
16. World Medical Association. World Medical Association Declaration of Helsinki: ethical principles for medical research involving human subjects. J Am Med Assoc. 2013;310:2191-4, http://dx.doi.org/10.1001/jama.2013.281053. [ Links ]
17. Fondo Colombiano de Enfermedades de Alto Costo - Cuenta de Alto Costo. Situación de la Artritis reumatoide en Colombia 2018. Bogotá: Fondo Colombiano de Enfermedades de Alto Costo; 2019. [ Links ]
18. Fondo Colombiano de Enfermedades de Alto Costo - Cuenta de Alto Costo. Consenso basado en la evidencia: indicadores de gestión del riesgo en pacientes con artritis reumatoide en Colombia. Bogotá: Fondo Colombiano de Enfermedades de Alto Costo ; 2018. [ Links ]
19. Jáuregui E, Bautista W, Beltrán A, Felipe O, Fernández A, Fernández D, et al. Asociación Colombiana de Reumatología. Consenso sobre recomendaciones para disminución y descontinuación de la terapia biológica en pacientes con artritis reumatoide, espondilitis anquilosante y artritis psoriásica. Rev Colomb Reumatol . 2019;26:11-23, http://dx.doi.org/10.1016/j.rcreu.2018.10.011. [ Links ]
20. Smolen JS, Landewé R, Bijlsma J, Burmester G, Chatzidionysiou K, Dougados M, et al. EULAR recommendations for the management of rheumatoid arthritis with synthetic and biological disease-modifying antirheumatic drugs: 2016 update. Ann Rheum Dis. 2017;76:960-77, http://dx.doi.org/10.1136/annrheumdis-2016-210715. [ Links ]
21. González-Álvaro I, Martínez-Fernández C, Dorantes-Calderón B, García-Vicuna R, Hernández-Cruz B, Herrero-Ambrosio A, et al. Spanish Rheumatology Society and Hospital Pharmacy Society Consensus on recommendations for biologics optimization in patients with rheumatoid arthritis, ankylosing spondylitis and psoriatic arthritis. Rheumatology (Oxford). 2015;54:1200-9, http://dx.doi.org/10.1093/rheumatology/keu461. [ Links ]
Recibido: 15 de Septiembre de 2020; Aprobado: 12 de Enero de 2021; Publicado: 04 de Mayo de 2022










texto em 





